Abstract
The reaction of interaction of benzhydroxamic and 4-nitrobenzhydroxamic acids with succinyl chloride, carried out in an acetonitrile medium during boiling, was studied. It was revealed that the result of the reaction is the formation of N,N′-[succinylbis(oxy)]dibenzamides, the structure of which was proved by 1H, 13C NMR. Using the online program PASS, the biological activity of the obtained compounds was predicted. It was found that N,N′-[succinylbis(oxy)]dibenzamides can inhibit cathepsins (enzymes that degrade protein) with a high probability. Using the online program Mcule, the molecular docking of the obtained dibenzamides and their analogs with cathepsin S and cathepsin K was carried out, and ligands with the highest affinity for the cathepsin family were identified. Using the HyperChem program, semiempirical methods were used to analyze the possibility of synthesizing suitable ligands.
1. Introduction
Recently, the study of the chemistry of hydroxamic acids has become relevant, associated with their wide range of biological activity: antifungal, antibacterial, hypotensive and hypocholesterolemic [1]; in addition, there are data on antitumor activity [2]. In particular, suberoylanilide of hydroxamic acid, available under the trade name Vorinostat, has been used as a drug in the treatment of T-cell lymphoma [3] (Figure 1).
Figure 1.
Hydroxamic acid suberoylanilide (Vorinostat).
Obtaining compounds of a similar structure, namely, containing in their structure a hydroxamic component, an aromatic ring and a saturated hydrocarbon radical can be a step towards the creation of new drugs.
One of the possible ways to obtain linear structures is the interaction of hydroxamic acids with derivatives of carboxylic acids [4]. At the same time, the reactions of O-acylation of benzhydroxamic acids by derivatives of dicarboxylic acids remain poorly studied.
2. Results and Discussion
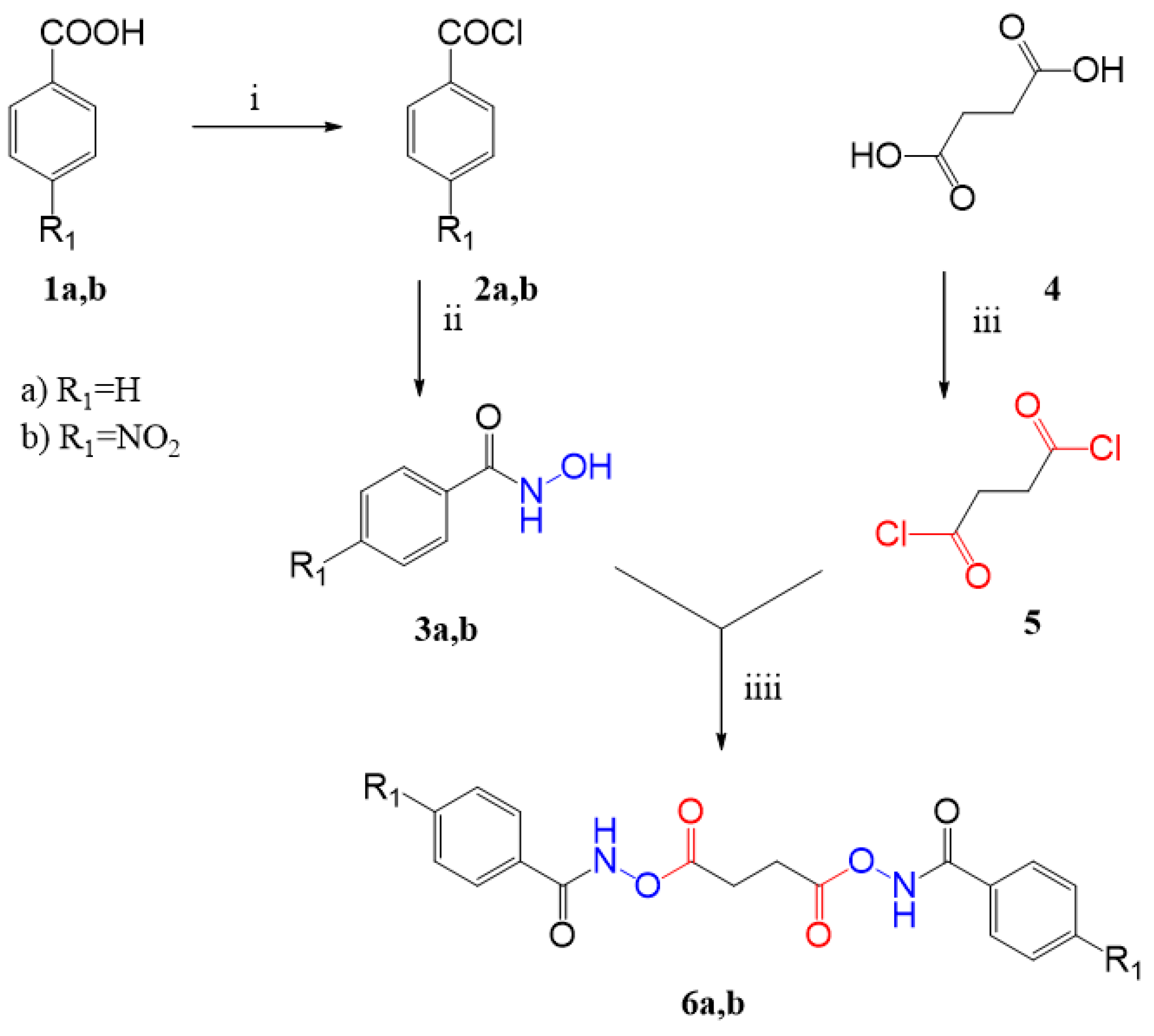
We have studied the reaction of interaction of benzhydroxamic acids with succinyl chloride. It was found that during boiling in acetonitrile N,N′-[succinylbis(oxy)]dibenzamides 6a,b are formed.
Commercially available benzoic acids 1a,b were used as starting reagents for the synthesis of 6a,b. The synthesis was carried out in three stages (Figure 2).
Figure 2.
Synthesis of N,N′-[succinylbis(oxy)]dibenzamides 6a,b. (i) SOCl2, DMF, 40°C, 3 h; (ii) NH2OH*HCl, Na2CO3, DEE, 0–5 °C; (iii) SOCl2, Py, 40°C, 4 h; (iiii) acetonitrile, ∆, 2h.
The structure of the obtained N,N′-[succinylbis(oxy)]dibenzamides 6a,b was proved using 1H and 13C NMR spectroscopy (p. 3.1.4).
Using the PASS online software package, the biological activity 6a,b was predicted. It was found that compounds 6a,b with a high probability are growth hormone agonists, have antitumor, antiepileptic, antiviral and other activities. In particular, for both compounds 6a,b the property of inhibition of intracellular proteases, Cathepsins, was predicted with different probabilities, which, in our opinion, is of the greatest interest for further study.
Proteases are enzymes that have the ability to break down proteins by hydrolysis of peptide bonds that covalently bind amino acids (proteolysis). Proteolysis is an irreversible process that is strictly regulated by the body when it functions properly. At the same time, the loss of regulation leads to destructive consequences for the cellular and tissue environment, which leads to pathologies such as aberrant signal transmission, manipulation of cytokine expression, neoangiogenesis, and tissue remodeling [5].
In order to search for the most active inhibitors of cathepsin proteases, we studied the molecular docking of the obtained dibenzamides 6a,b and their analogs. The study was carried out in the online program Mcule, where cathepsins S (2hxz) and K (1tu6) were selected as a receptor.
It is known from recent scientific sources that improper regulation of cathepsin S involves it in various pathological processes, including arthritis, cardiovascular and oncological diseases, where it is secreted and can affect extracellular substrates [6].
Cathepsin K, in turn, exhibits the effect of bone resorption, which leads to osteoporosis [7].
It was found that methyl-, fluoro- and chlorine-substituted dibenzamides have a higher affinity for binding to cathepsins (Table 1, Figure 3). It should be noted that all compounds, with the exception of 6g, have a higher affinity for cathepsin K than for cathepsin S.
Table 1.
Affinity of substituted N,N′-[succinylbis(oxy)]dibenzamides with cathepsins S and K.
Figure 3.
Analysis in the Mcule program using the example of N,N′-(succinylbis(oxy))bis(3-methylbenzamide) 6e. (a) Cathepsin K; (b) cathepsin S.
In order to carry out further synthesis of the most promising molecules, a semiempirical calculation of charges on oxygen and nitrogen atoms in the corresponding initial benzhydroxamic acids was performed. The calculation was performed using the HyperChem software package using the AM1 method (Table 2).
Table 2.
Charges on oxygen and nitrogen atoms of benzohydroxamic acids.
According to the data obtained, methyl-substituted benzhydroxamic acids have a greater negative charge on the oxygen atom than on the nitrogen atom, so it can be assumed that acylation will mainly proceed by the oxygen atom with the formation of target dibenzamides. In compounds where the halogen plays the role of a substituent, the greatest negative charge is located on the nitrogen atom, which indicates the possibility of a side reaction of acylation by the nitrogen atom and, as a result, low yields of target dibenzamides will be observed.
Based on the above, it is more expedient to obtain methyl-substituted dibenzamides for further in vivo biological activity research.
3. Experimental Section
The NMR spectra of 1H, 13C solutions of compounds in DMSO-d6 were recorded on a Bruker Avance III spectrometer (400.13 MHz for 1H and 100.62 MHz for 13C) relative to TMS (1H, 13C) as an internal standard. Thin-layer chromatography to prove the identity of the compound and the completeness of the reaction was performed on plates of silica gel 60 F254 (Merck), eluent ethyl acetate, for the manifestation of UV light. The melting point was determined by the capillary method and was not corrected.
3.1. Synthesis
3.1.1. General Procedure for the Synthesis of Benzoyl Chlorides 2a,b
In a round-bottom flask with a volume of 250 mL, equipped with a reflux condenser, 0.1 mol of benzoic acid 1a,b was placed, 0.3 mol of thionyl chloride and a drop of DMF were added. Excess thionyl chloride was distilled off in vacuo. Beige crystals of benzoyl chlorides 2a,b were received with a yield of more than 90%.
3.1.2. General Procedure for the Synthesis of Benzhydroxamic Acids 3a,b
In a flat-bottomed flask with a volume of 100 mL, 0.1 mol of sodium carbonate dissolved in water and 0.1 mol of hydroxylamine hydrochloride dissolved in 100 mL of diethyl ether were mixed. Then, at a temperature of 0–5 °C, 0.1 mol of benzoyl chloride 2a,b in diethyl ether was added dropwise over 15 min and stirred for 30 min. Crystals 3a,b from white to pinkish color were obtained, filtered off, recrystallized from ethyl acetate, and dried.
3.1.3. General Procedure for the Synthesis of Succinyl Chloride 5
In a round-bottomed flask with a volume of 100 mL, equipped with a reverse refrigerator, 0.05 mol of succinic acid 4 and 0.25 mol of thionyl chloride were mixed, 2 drops of pyridine were added and boiled for 3 h. Succinyl chloride was distilled under vacuum, previously distilling thionyl chloride. A light yellow solution was obtained. The yield was 62.5%.
3.1.4. General Procedure for the Synthesis of N,N′-[succinylbis(oxy)]dibenzamides 6a,b
In a round-bottomed flask with a volume of 100 mL, equipped with a reverse refrigerator, benzhydroxamic acid 3a,b of 2.5 mmol was placed and suspended in acetonitrile. Then, 2.5 mmol of succinyl chloride 5 was added to the suspension through a drip funnel and boiled for 2 h. The completeness of the reaction was recorded by TLC (ethyl acetate).
N,N′-(succinylbis(oxy))dibenzamide 6a
C18H16N2O6; Cream solid; yield 73%; mp. 130–132 °C. NMR 1H δ, ppm: 2.93 (s, 4H), 7.54 (t, J = 7.8 Hz, 4H), 7.62 (t, J = 7.8 Hz, 2H), 7.84 (d, J = 7.2 Hz, 4H), 12.50 (s, 2H). NMR 13C δ, ppm: 124.27, 129.54, 136.95, 150.05, 163.08, 170.05.
N,N′-(succinylbis(oxy))bis(4-nitrobenzamide) 6b
C18H14N4O10; Cream solid; yield 60%; mp. 242–244 °C. NMR 1H δ, ppm: 2.95 (s, 4H), 8.10 (d, J = 8.8 Hz, 4H), 8.36 (d, J = 8.8 Hz, 4H), 13.10 (s, 2H). NMR 13C δ, ppm: 124.26, 129.53, 136.94, 150.04, 163.07, 170.52.
4. Conclusions
As a result of the reaction of acylation of benzhydroxamic acids with succinyl chloride in acetonitrile medium, N,N′-[succinylbis(oxy)]dibenzamides were obtained. Their structure was proved by 1H and 13C NMR. Using the PASS program, information on the biological activity of the new molecules was obtained, in particular, the property of inhibition of cathepsin proteases was found. Using the Mcule program, the values of the affinity of the synthesized dibenzamides and their analogs with cathepsins S and K were obtained. It was revealed that fluoro-, methyl-, and chlorine-substituted dibenzamides have the highest affinity for cathepsins S and K. Using the HyperChem program, the possibility of obtaining the dibenzamides of interest was analyzed and a conclusion was made about the feasibility of obtaining methyl-substituted dibenzamides in order to further study the biological activity in vivo.
Supplementary Materials
The following are available online at https://www.mdpi.com/article/10.3390/ecsoc-25-11637/s1, Figure S1: Synthesis and Molecular Docking of N,N′-[succinylbis(oxy)]dibenzamides as Inhibitors of Cathepsin S and Cathepsin K.
Author Contributions
Conceptualization, Y.A.T. and A.A.V.; methodology, Y.A.T. and A.A.V.; writing—review and editing, Y.A.T.; supervision, B.Y.L. All authors have read and agreed to the published version of the manuscript.
Funding
This research received no external funding.
Institutional Review Board Statement
Not applicable.
Informed Consent Statement
Informed consent was obtained from all subjects involved in the study.
Data Availability Statement
Not applicable.
Conflicts of Interest
The authors declare no conflict of interest.
References
- Bauer, L.; Exner, O. The Chemistry of Hydroxamic Acids and N-Hydroxyimides. Angew. Chem. Int. Ed. Engl. 1974, 13, 376–384. [Google Scholar] [CrossRef]
- Van’t Riet, B.; Wampler, G.L. Synthesis of hydroxy- and aminosubstituted benzohydroxamic acids: Inhibition of ribonucleotide reductase and antitumor activity. J. Med. Chem. 1979, 22, 589. [Google Scholar] [CrossRef] [PubMed]
- Huang, L.; Arthur, B.P. Suberoylanilide Hydroxamic Acid as a Potential Therapeutic Agent for Human Breast Cancer Treatment. Mol. Med. 2003, 58, 1283–1288. [Google Scholar] [CrossRef]
- Al-Faiyz, Y.S.S.; Clark, A.J.; Filik, R.P.; Peacock, J.L.; Thomas, G.H. Rearrangements of activated O-acyl hydroxamic acid derivatives. Tetrahedron Lett. 1998, 39, 1269–1272. [Google Scholar] [CrossRef]
- Turk, V.; Kos, J.; Turk, B. Cysteine Cathepsins (proteases)—On the main stage of cancer? Cancer Cell 2004, 5, 409–410. [Google Scholar] [CrossRef] [Green Version]
- Wilkinson, R.D.A.; Williams, R.; Scott, C.J.; Burden, R.E. Cathepsin S: Therapeutic, diagnostic, and prognostic potential. Biol. Chem. 2015, 396, 867–882. [Google Scholar] [CrossRef] [PubMed]
- Brömme, D.; Lecaille, F. Cathepsin K inhibitors for osteoporosis and potential off-target effects. Expert Opin. Investig. Drugs 2009, 18, 585–600. [Google Scholar] [CrossRef] [PubMed] [Green Version]
Publisher’s Note: MDPI stays neutral with regard to jurisdictional claims in published maps and institutional affiliations. |
© 2021 by the authors. Licensee MDPI, Basel, Switzerland. This article is an open access article distributed under the terms and conditions of the Creative Commons Attribution (CC BY) license (https://creativecommons.org/licenses/by/4.0/).



