Analysis of AgRED Performance in LR-WPAN Dense Ad-Hoc Networks †
Abstract
1. Introduction
2. Related Work
3. Methodology
4. Simulation Parameters
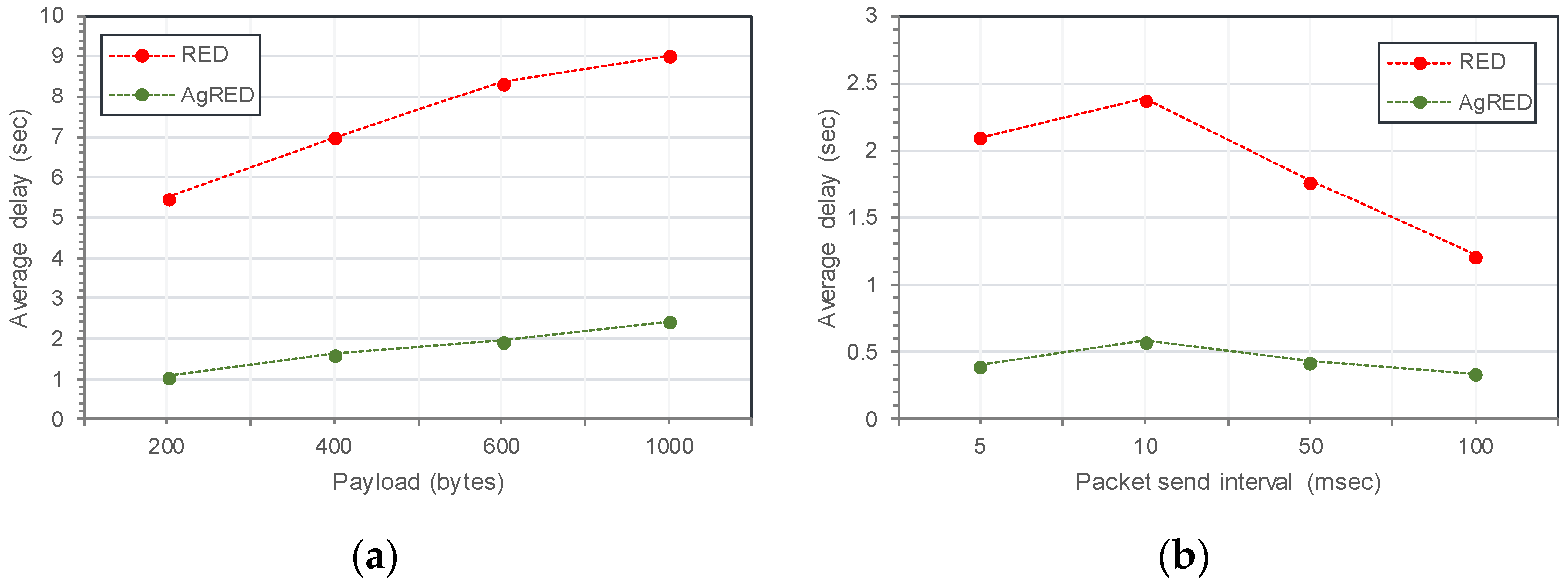
5. Results
6. Conclusions
Author Contributions
Funding
Institutional Review Board Statement
Informed Consent Statement
Data Availability Statement
Conflicts of Interest
References
- Abbas, T.; Qamar, F.; Hindia, M.N.; Hassan, R.; Ahmed, I.; Aslam, M.I. Performance analysis of ad hoc on-demand distance vector routing protocol for MANET. In Proceedings of the 2020 IEEE Student Conference on Research and Development (SCOReD), Batu Pahat, Malaysia, 27–29 September 2020; pp. 194–199. [Google Scholar]
- Danbatta, S.J.; Varol, A. Comparison of Zigbee, Z-Wave, Wi-Fi, and bluetooth wireless technologies used in home automation. In Proceedings of the 2019 7th International Symposium on Digital Forensics and Security (ISDFS), Barcelos, Portugal, 10–12 June 2019; pp. 1–5. [Google Scholar]
- Hindia, M.N.; Qamar, F.; Abbas, T.; Dimyati, K.; Abu Talip, M.S.; Amiri, I.S. Interference cancelation for high-density fifth-generation relaying network using stochastic geometrical approach. Int. J. Distrib. Sens. Netw. 2019, 15, 1550147719855879. [Google Scholar] [CrossRef]
- Molisch, A.F.; Balakrishnan, K.; Chong, C.-C.; Emami, S.; Fort, A.; Karedal, J.; Kunisch, J.; Schantz, H.; Schuster, U.; Siwiak, K. IEEE 802.15. 4a channel model-final report. IEEE P802 2004, 15, 0662. [Google Scholar]
- Ramonet, A.G.; Noguchi, T. IEEE 802.15. 4 now and then: Evolution of the LR-WPAN standard. In Proceedings of the 2020 22nd International Conference on Advanced Communication Technology (ICACT), PyeongChang, Republic of Korea, 16–19 February 2020; pp. 1198–1210. [Google Scholar]
- Jafri, S.T.A.; Ahmed, I.; Ali, S. Queue-Buffer Optimization Based on Aggressive Random Early Detection in Massive NB-IoT MANET for 5G Applications. Electronics 2022, 11, 2955. [Google Scholar] [CrossRef]
- Floyd, S.; Jacobson, V. Random early detection gateways for congestion avoidance. IEEE/ACM Trans. Netw. 1993, 1, 397–413. [Google Scholar] [CrossRef]
- Pan, R.; Natarajan, P.; Baker, F.; White, G. Proportional Integral Controller Enhanced (PIE): A Lightweight Control Scheme to Address the Bufferbloat Problem; IETF: Fremont, CA, USA, 2017. [Google Scholar]
- Nichols, K.; Jacobson, V.; McGregor, A.; Iyengar, J. Controlled Delay Active Queue Management; IETF: Fremont, CA, USA, 2018. [Google Scholar]
- Hoeiland-Joergensen, T.; McKenney, P.; Taht, D.; Gettys, J.; Dumazet, E. The Flow Queue Codel Packet Scheduler and Active Queue Management Algorithm; IETF: Fremont, CA, USA, 2018. [Google Scholar]
- Kua, J.; Nguyen, S.H.; Armitage, G.; Branch, P. Using active queue management to assist IoT application flows in home broadband networks. IEEE Internet Things J. 2017, 4, 1399–1407. [Google Scholar] [CrossRef]
- Kim, M.; Jaseemuddin, M.; Anpalagan, A. Deep reinforcement learning based active queue management for iot networks. J. Netw. Syst. Manag. 2021, 29, 34. [Google Scholar] [CrossRef]
- Koo, J.; Song, B.; Chung, K.; Lee, H.; Kahng, H. MRED: A new approach to random early detection. In Proceedings of the 15th International Conference on Information Networking, Beppu City, Japan, 31 January–2 February 2001; pp. 347–352. [Google Scholar]
- Jafri, S.T.A.; Ahmed, I.; Ali, S.; Yahaya, J.; Qamar, F.; Abdullah, Z.H. Split Hop Penalty for Transmission Quality Metrics in a Better Approach to Mobile Ad Hoc Networking (BATMAN) for IoT-Based MANET. Symmetry 2023, 15, 969. [Google Scholar] [CrossRef]





| Parameter | Value |
|---|---|
| MAC protocol | IEEE 802.15.4 |
| Node data rate | 250 Kbps (LR-WPAN) |
| Communication range | 100 m (BB-WSD2C21150 sensor) |
| Area | 500 m × 500 m |
| AQM techniques | RED, AgRED |
| Routing scheme | AODV |
| Payload | 200, 400, 600, 1000 (bytes) |
| Packet send interval | 5, 10, 50, 100 (ms) |
| Transport protocol | UDP |
| Node speed average | 3 m/s |
| Queue capacity | 100 |
| Maximum probability Pmax | 0.02 |
| Minimum threshold | 20 packets |
| Maximum threshold | 100 packets |
Disclaimer/Publisher’s Note: The statements, opinions and data contained in all publications are solely those of the individual author(s) and contributor(s) and not of MDPI and/or the editor(s). MDPI and/or the editor(s) disclaim responsibility for any injury to people or property resulting from any ideas, methods, instructions or products referred to in the content. |
© 2023 by the authors. Licensee MDPI, Basel, Switzerland. This article is an open access article distributed under the terms and conditions of the Creative Commons Attribution (CC BY) license (https://creativecommons.org/licenses/by/4.0/).
Share and Cite
Jafri, S.T.A.; Ahmed, I.; Ali, S.; Qamar, F. Analysis of AgRED Performance in LR-WPAN Dense Ad-Hoc Networks. Eng. Proc. 2023, 32, 5. https://doi.org/10.3390/engproc2023032005
Jafri STA, Ahmed I, Ali S, Qamar F. Analysis of AgRED Performance in LR-WPAN Dense Ad-Hoc Networks. Engineering Proceedings. 2023; 32(1):5. https://doi.org/10.3390/engproc2023032005
Chicago/Turabian StyleJafri, Syed Talib Abbas, Irfan Ahmed, Sundus Ali, and Faizan Qamar. 2023. "Analysis of AgRED Performance in LR-WPAN Dense Ad-Hoc Networks" Engineering Proceedings 32, no. 1: 5. https://doi.org/10.3390/engproc2023032005
APA StyleJafri, S. T. A., Ahmed, I., Ali, S., & Qamar, F. (2023). Analysis of AgRED Performance in LR-WPAN Dense Ad-Hoc Networks. Engineering Proceedings, 32(1), 5. https://doi.org/10.3390/engproc2023032005

