Calculating the Effectiveness of COVID-19 Non-Pharmaceutical Interventions with Interrupted Time Series Analysis via Clustering-Based Counterfactual Country †
Abstract
1. Introduction
2. Materials
- Public event cancelation implemented at 3 levels: no measure (0), recommended cancelation (1), and required cancelation (2).
- Restrictions on gatherings, which limits the number of people in gatherings to less than 10 (4), 10 to 100 (3), 100 to 1000 (2), limiting only very large gatherings (>1000 people) (1), no limit (0) (five levels).
- Workplace closure implemented at four levels: no closure (0), recommended closure (1), required closure for some (2), and required closure for all (3).
- School closure implemented at four levels: no closure (0), recommended closure (1), required closure for some (2), and required closure for all (3).
- Restriction on internal movement is implemented at three levels: no measure (0), recommend movement restriction (1), and required movement restriction (2).
- International travel ban implemented at five levels: no measures (0), screening (1), quarantining of arrivals from high-risk regions (2), banning high-risk regions (3), and total border closure (4).
- Public transport closure implemented at three levels: no measures (0), recommend closing (or significantly reduced volume/route/means of available transport) (1), required closure (or prohibiting most people from using it) (2).
- Stay-at-home requirements implemented at four levels, including no measure (0), recommending not leaving the house (1); requiring not leaving the house, with exceptions for grocery shopping, essential trips, etc. (2); requiring not leaving the house with minimal exceptions like once every few days, etc. (3).
3. Methods
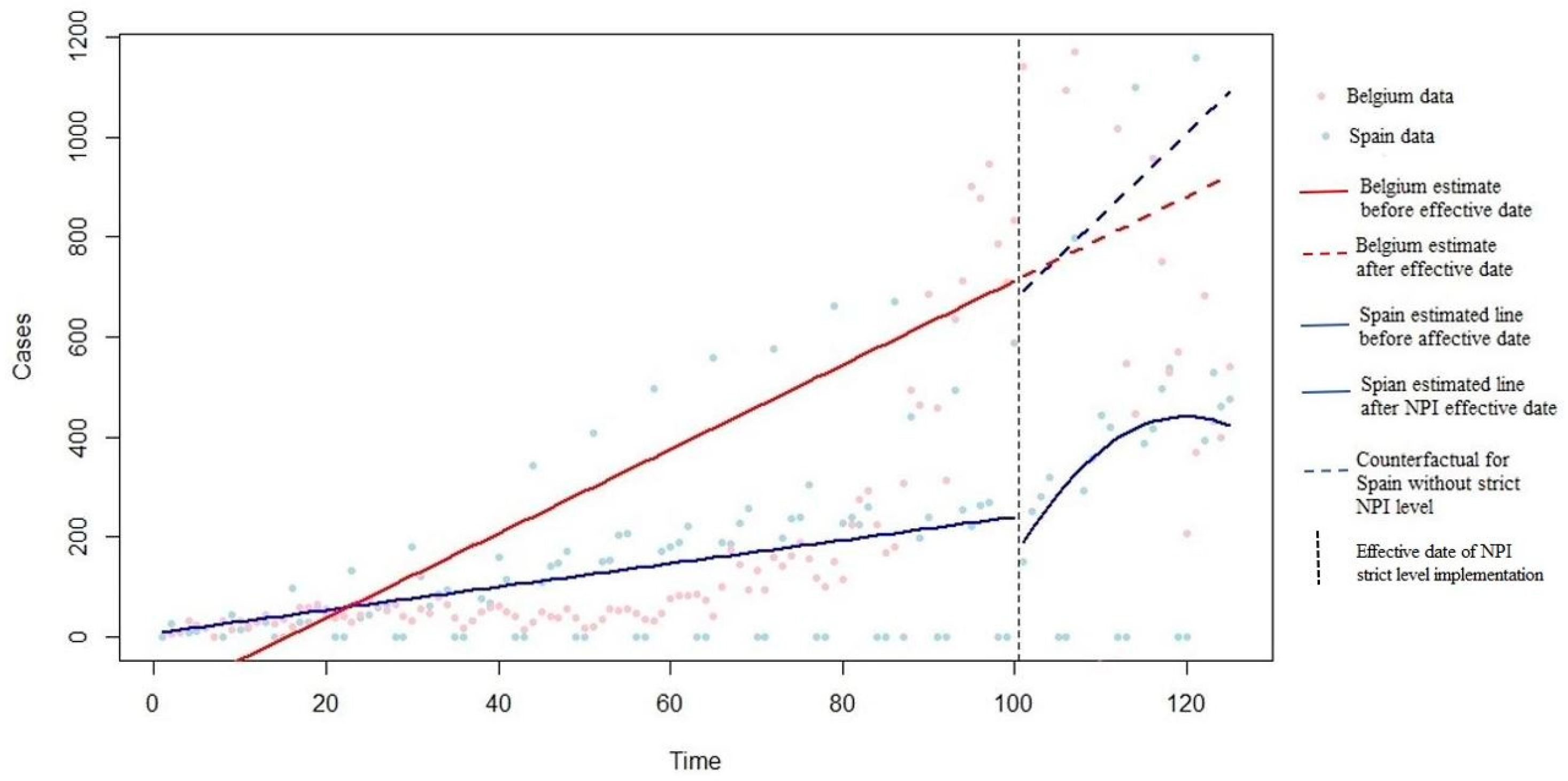
4. Results and Discussion
5. Conclusions
Author Contributions
Funding
Institutional Review Board Statement
Informed Consent Statement
Data Availability Statement
Conflicts of Interest
References
- Navazi, F.; Yuan, Y.; Archer, N. The effect of the Ontario stay-at-home order on COVID-19 third wave infections including vaccination considerations: An interrupted time series analysis. PLoS ONE 2022, 17, e0265549. [Google Scholar] [CrossRef] [PubMed]
- Saki, M.; Ghanbari, M.K.; Behzadifar, M.; Imani-Nasab, M.H.; Behzadifar, M.; Azari, S.; Bakhtiari, A.; Wu, J.; Bragazzi, N.L. The impact of the social distancing policy on COVID-19 incidence cases and deaths in Iran from february 2020 to january 2021: Insights from an interrupted time series analysis. Yale J. Biol. Med. 2021, 94, 13–21. [Google Scholar] [PubMed]
- Auger, K.A.; Shah, S.S.; Richardson, T.; Hartley, D.; Hall, M.; Warniment, A.; Timmons, K.; Bosse, D.; Ferris, S.A.; Brady, P.W.; et al. Association between Statewide School Closure and COVID-19 Incidence and Mortality in the US. JAMA-J. Am. Med. Assoc. 2020, 324, 859–870. [Google Scholar] [CrossRef] [PubMed]
- Thayer, W.M.; Hasan, M.Z.; Sankhla, P.; Gupta, S. An interrupted time series analysis of the lockdown policies in India: A national-level analysis of COVID-19 incidence. Health Policy Plan. 2021, 36, 620–629. [Google Scholar] [CrossRef] [PubMed]
- Emeto, T.I.; Alele, F.O.; Ilesanmi, O.S. Evaluation of the effect of border closure on COVID-19 incidence rates across nine African countries: An interrupted time series study. Trans. R. Soc. Trop. Med. Hyg. 2021, 115, 1174–1183. [Google Scholar] [CrossRef] [PubMed]
- Ballard, M.; Olsen, H.E.; Millear, A.; Yang, J.; Whidden, C.; Yembrick, A.; Thakura, D.; Nuwasiima, A.; Christiansen, M.; Ressler, D.J.; et al. Continuity of community-based healthcare provision during COVID-19: A multicountry interrupted time series analysis. BMJ Open 2022, 12, e052407. [Google Scholar] [CrossRef] [PubMed]
- Shah, S.A.; Brophy, S.; Kennedy, J.; Fisher, L.; Walker, A.; Mackenna, B.; Curtis, H.; Inglesby, P.; Davy, S.; Bacon, S.; et al. Articles Impact of fi rst UK COVID-19 lockdown on hospital admissions: Interrupted time series study of 32 million people. eClinicalMedicine 2022, 49, 101462. [Google Scholar] [CrossRef] [PubMed]
- Linden, A. Challenges to validity in single-group interrupted time series analysis. J. Eval. Clin. Pract. 2017, 23, 413–418. [Google Scholar] [CrossRef] [PubMed]
- Hale, T.; Angrist, N.; Goldszmidt, R.; Kira, B.; Petherick, A.; Phillips, T.; Webster, S.; Cameron-Blake, E.; Hallas, L.; Majumdar, S.; et al. A global panel database of pandemic policies (Oxford COVID-19 Government Response Tracker). Nat. Hum. Behav. 2021, 5, 529–538. [Google Scholar] [CrossRef] [PubMed]
- Johns Hopkins University. Johns Hopkins Coronavirus Resource Center. 2021. Available online: https://coronavirus.jhu.edu/ (accessed on 26 October 2021).
- Navazi, F.; Sazvar, Z.; Tavakkoli-Moghaddam, R. A sustainable closed-loop location-routing-inventory problem for perishable products. Sci. Iran. 2023, 30, 757–783. [Google Scholar] [CrossRef]
- Hartigan, J.A.; Wong, M.A. Algorithm AS 136: A K-Means Clustering Algorithm. J. R. Stat. Soc. Ser. C Appl. Stat. 1979, 28, 100–108. [Google Scholar] [CrossRef]
- Verleysen, M.; François, D. The curse of dimensionality in data mining and time series prediction. In Computational Intelligence and Bioinspired Systems, Proceedings of the 8th International Work-Conference on Artificial Neural Networks, IWANN 2005, Vilanova i la Geltrú, Spain, 8–10 June 2005; Springer: Berlin/Heidelberg, Germany, 2005; pp. 758–770. [Google Scholar]
- Memari, P.; Navazi, F.; Jolai, F. Hybrid wind-municipal solid waste biomass power plant location selection considering waste collection problem: A case study. Energy Sources Part B Econ. Plan. Policy 2021, 16, 719–739. [Google Scholar] [CrossRef]
- Pinheiro, J.; Bates, D.; DebRoy, S.; Sarkar, D.; R Core Team. nlme: Linear and Nonlinear Mixed Effects Models, R Package version 3; R Core Team: Vienna, Austria, 2021; pp. 1–153. Available online: https://cran.r-project.org/package=nlme (accessed on 30 May 2023).
- Fox, J.; Weisberg, S. Time-series regression and generalized least squares: An appendix. In An R Companion to Applied Regression; SAGE: Thousand Oaks, CA, USA, 2018; pp. 1–10. Available online: http://tinyurl.com/carbook (accessed on 28 June 2021).
- Navazi, F.; Yuan, Y.; Archer, N. A review of big data analytics models for assessing nonpharmaceutical interventions for COVID-19 pandemic management. in press.
- Li, Q.; Guan, X.; Wu, P.; Wang, X.; Zhou, L.; Tong, Y.; Ren, R.; Leung, K.S.M.; Lau, E.H.Y.; Wong, J.Y.; et al. Early Transmission Dynamics in Wuhan, China, of Novel Coronavirus–Infected Pneumonia. N. Engl. J. Med. 2020, 382, 1199–1207. [Google Scholar] [CrossRef] [PubMed]






| Country Pairs | Mean Difference | p-Value of t-Test |
|---|---|---|
| (Spain and Belgium) | 1 | 0 |
| (Spain and Denmark) | 1 | 0 |
| (Spain and Italy) | 0.8276 | <0.001 |
| (Spain and Germany) | 0.6897 | <0.001 |
| (Spain and UK) | 0.5517 | <0.001 |
| (Spain and Portugal) | 0 | NA |
| (Spain and Russia) | 0 | NA |
| Lag (Days) | Statistics | p-Value | Lag (Days) | Statistics | p-Value |
|---|---|---|---|---|---|
| 1 | 1.4840 | 0.000 | 8 | 2.0052 | 0.806 |
| 2 | 1.9166 | 0.292 | 9 | 2.1426 | 0.180 |
| 3 | 1.7634 | 0.024 | 10 | 1.8629 | 0.514 |
| 4 | 1.8283 | 0.104 | 11 | 1.8383 | 0.394 |
| 5 | 2.0698 | 0.674 | 12 | 1.8948 | 0.746 |
| 6 | 1.7943 | 0.082 | 13 | 1.7339 | 0.180 |
| 7 | 0.9090 | 0.000 | 14 | 1.0369 | 0.000 |
| Name of Component | Coefficient Estimates | p-Value |
|---|---|---|
| −130.2954 | 0.3478 | |
| 8.4291 | 0 *** | |
| 137.2721 | 0.4841 | |
| −6.1002 | 0.0208 * | |
| 434.8590 | 0 *** | |
| trend change | 14.9470 | 0.3280 |
| −511.7353 | 0 *** | |
| 10.6900 | 0.6206 | |
| −2.6273 | 0 *** | |
| 1.9237 | 0.0132 * |
Disclaimer/Publisher’s Note: The statements, opinions and data contained in all publications are solely those of the individual author(s) and contributor(s) and not of MDPI and/or the editor(s). MDPI and/or the editor(s) disclaim responsibility for any injury to people or property resulting from any ideas, methods, instructions or products referred to in the content. |
© 2023 by the authors. Licensee MDPI, Basel, Switzerland. This article is an open access article distributed under the terms and conditions of the Creative Commons Attribution (CC BY) license (https://creativecommons.org/licenses/by/4.0/).
Share and Cite
Navazi, F.; Yuan, Y.; Archer, N. Calculating the Effectiveness of COVID-19 Non-Pharmaceutical Interventions with Interrupted Time Series Analysis via Clustering-Based Counterfactual Country. Eng. Proc. 2023, 39, 51. https://doi.org/10.3390/engproc2023039051
Navazi F, Yuan Y, Archer N. Calculating the Effectiveness of COVID-19 Non-Pharmaceutical Interventions with Interrupted Time Series Analysis via Clustering-Based Counterfactual Country. Engineering Proceedings. 2023; 39(1):51. https://doi.org/10.3390/engproc2023039051
Chicago/Turabian StyleNavazi, Fatemeh, Yufei Yuan, and Norm Archer. 2023. "Calculating the Effectiveness of COVID-19 Non-Pharmaceutical Interventions with Interrupted Time Series Analysis via Clustering-Based Counterfactual Country" Engineering Proceedings 39, no. 1: 51. https://doi.org/10.3390/engproc2023039051
APA StyleNavazi, F., Yuan, Y., & Archer, N. (2023). Calculating the Effectiveness of COVID-19 Non-Pharmaceutical Interventions with Interrupted Time Series Analysis via Clustering-Based Counterfactual Country. Engineering Proceedings, 39(1), 51. https://doi.org/10.3390/engproc2023039051

