Abstract
Plant-based proteins are important macronutrients in the human diet, crucial for cell development in our bodies and for supporting the immune system. Given their nutritional and functional properties, plant-based proteins are excellent candidates for the development of plant-based food. Among other things, plant-based cheese has been identified as a potential enabler for future innovation through improvements in ingredient technology. Unlike traditional dairy cheeses, plant-based cheeses are made from a variety of ingredients such as nuts and legumes that can be fortified with nutrients also found in traditional cheese. Of course, plant-based cheeses still have some nutritional drawbacks, and most of them are processed, which means they contain preservatives, colour additives and high sodium content. Nevertheless, the physicochemical and functional properties of plant-based proteins are of great interest to the food industry and the initial interest in natural sources of plant proteins has recently shifted to the field of modification and processing. This review discusses the natural sources and classification of plant-based proteins and summarises recent studies on processing methods in the production of plant-based cheese.
1. Introduction
Plant-derived products are excellent sources of micronutrients and nutrients with health benefits that could be effective in the treatment of diverse kinds of diseases [1]. Food based on plant-derived products are favourable, because almost all parts of the plant can be utilised as seeds, roots, flowers, fruits, and leaves. Particularly, plant-based proteins are studied as a group of useful ingredients with diverse applications in food industry such as thickening/gelling agents, stabilisers of emulsions and foams, and binding agents for lipids and water [2]. As is well known, proteins are the essential structural constituents of living organisms and they have an important role in performing biological processes. Their nutritional value depends on the profile and composition of essential amino acids, digestibility, bioavailability, processing, etc.
Consumer awareness of the importance of food plant origin on their health and their interest in natural and sustainable sources has contributed to the recent rise in the popularity of plant proteins. According to market research data, the plant-based markets are experiencing unprecedented growth in the last decade. It was forecast that plant-based markets will grow from USD 29.4 billion in 2020 to USD 162 billion in 2030 [3]. Based on available information from the Global Vegan Cheese market 2019–2023, Europe has the highest market share of 43% followed by North America, Asia, South America, Middle East, and Africa [4]. Although plant-based proteins are widely represented on the global market and recognised by customers, there is still scope for their further development.
Proteins in plant tissues can be classified into four groups based on their solubility in water (albumins), saline (globulins), alcohol/water (prolamins), and acid/base media (glutelins). The primary challenges with proteins in food processing are their low aqueous solubility as well as sensitivity to pH, ionic strength, and temperature. In order to improve protein properties, a modification of their attributes is required. Physical, chemical, or biological modifications are suitable to increase the water solubility, emulsifying, foaming, and gelling properties of the proteins [2,5,6].
The growing interest in a plant-based diet is due to the increased awareness of food effects on human health. Various health benefits of plant-based proteins, e.g., increases in lean body mass [7], improved bone density [8], and gait speed [9] are supported by clinical studies. The motives as to why consumers are turning to the consumption of plant-based alternatives can be related to the increasingly present human intolerance to lactose or milk allergies. Over the years, growing concerns over health has resulted in a gradually increased demand for dietary food production as opposed to animal food [10]. Protein quality depends on the amino acid composition and digestibility. For optimal health, our bodies require the intake of all nine essential amino acids in the appropriate amounts [11]. Unlike animal protein sources, plant-based proteins are lower in certain amino acids (e.g., methionine, lysine, tryptophan), but through a well-planned diet they can be compensated [12].
However, the production of plant-based analogues is a challenge because it is difficult to mimic the structural and compositional complexity of traditional cheese using plant-based ingredients. Plant-based cheese is made from ingredients derived from vegetables and it is seen as a healthier alternative. One of the earliest types of plant-based cheese in the form of fermented tofu appeared in the 16th century in China [13]. They became commercially available and made their debut in the period between 1970 and 1980 [13]. Since then, various kinds of plant-based cheeses are diversified. Nowadays, the most eminent manufacturers that can be found on the market are Treeline Cheese (Kingston, NY, USA), Parmela Creamery (Fontana, CA, USA), Violife (Thessalonica, Greece), Myoko’s Creamery (Sonoma, CA, USA), Daiya Foods Inc. (Burnaby, BC, Canada), TreeNut Cheezery (Bali, Indonesia), Tofutti Brands Inc. (Cranford, NJ, USA), and Tyne Cheese Limited (Wallsend, UK). Some examples of plant-based cheeses manufactured or distributed through this market are Mozzarella, Parmesan, Cheddar, Camembert, Edam, Feta, Red Leicester, Gouda, and Cream cheese [14].
The objective of this review is to provide the readers with a comprehensive and concise overview of main natural sources and different modification approaches of plant-based proteins which can be used in plant-based cheese production. Furthermore, trends in research and development in the field of processing of plant-based cheese are highlighted.
2. Natural Sources and Classification of Plant-Based Proteins
Among others, cereals, legumes, seeds, and nuts make the most common sources and take the biggest share of plant-based proteins (Figure 1).
Figure 1.
Natural sources of plant-based proteins, reproduced under CC BY 4.0 license from [2].
Cereals belong to the Gramineae phylogenetic family with a significant amount of proteins, fibres, carbohydrates, and other nutrients. Their highly nutritious edible seeds are morphologically composed of endosperm, embryo, and seed coat also known as pericarp or bran. Cereals are known as starchy crops, as they are composed of 75% carbohydrates, 6–15% proteins, and 1–3% lipids [15]. On a worldwide basis, the most widespread cereal crops are wheat, barley, oats, corn, and rice.
Pseudo-cereals, on the other hand, are underutilised crops that are considered neither grasses nor true cereal grains, but they are botanically assigned to the Dicotyledonae class [16]. Pseudo-cereals are known as gluten-free grains that are enriched with amino acids, antioxidants, polyphenols, flavonoids, and other essential components [17]. Apart from having an excellent nutritional profile, pseudo-cereals are rich in phenolic phytochemicals.
Table 1 presents the energy (Kcal) and nutritional quality (per 100 g) of major whole grains.
Table 1.
Nutritional composition of whole grains (per 100 g), data taken from [18].
Legumes belong to the Fabaceae family that grow in pods. They are highly nutritious plants that have a major role as staple food in most cultures and civilisations. Leguminous plants are low in lipids and high in fibre, potassium, iron, and magnesium. On the other hand, they are rich in proteins, carbohydrates, minerals, vitamins, and bioactive compounds. However, they have low sulphur-containing amino acids and therefore it is recommended they be supplemented with additional protein sources [19]. Table 2 presents the most consumed kinds of legumes with their average nutritional composition (per 100 g) and energy (Kcal).
Table 2.
Nutritional composition of legumes (per 100 g), data taken from [20].
Oilseeds are primarily grown for industrial purposes and for production of edible oils. They can be classified into two categories as edible (e.g., rapeseed, safflower, sunflower, soybean, etc.) and non-edible oilseeds (e.g., castor, linseed, etc.). The oil content in edible seeds ranges from 20% to over 40% for soybean and sunflower, respectively [21]. These crops are also known as one of the major sources of biofuel (e.g., biodiesel). The use of biodiesel, compared to fossil fuels, is more suitable for the environment due to less emissions of harmful gases and side products (glycerol and oil sludge). Among various oilseed crops, Table 3 presents the major sources of edible oils along with their nutritional composition (per 100 g) and energy (Kcal).
Table 3.
Nutritional composition of oilseeds (per 100 g), data taken from [22,23].
The side products that occur during oil extraction comprise anti-nutrients (e.g., tannins, inositol, phosphates, etc.) that are unfavourable for protein digestion. The presence of anti-nutrients can limit the product utilisation since they reduce nutritional values. However, anti-nutrients are present in such small quantities that they cause no harm.
Nuts are highly nutritious food, rich in healthy mono- and polyunsaturated fatty acids (MUFAs and PUFAs) and bioactive compounds, proteins, fibres, and minerals. Nuts contain a high level of lipid content ranging from 46% in cashews and pistachios to 76% in macadamia nuts [24,25]. The contained lipids are mainly unsaturated, while the amount of saturated lipids ranges between 4 and 15% [24,26]. They can be classified as tree nuts (almonds, cashews, hazelnuts, macadamia, etc.) and legumes (peanut, sacha inchi). Table 4 presents the most widespread edible tree nuts with their nutritional composition (per 100 g) and energy (Kcal).
Table 4.
Nutritional composition of nuts (per 100 g) [27].
Nut consumption represents an indispensable part of a healthy diet. Nuts have a wide variety of health benefits, but on the other hand, nuts are the most common type of food that causes allergic reactions (anaphylaxis). Peanut and tree nut allergies are usually lifelong that are well described and reported with population prevalence estimates between 1 and 6% [28].
3. Plant-Based Cheese
Plant-based or vegan cheeses have been recognised as a nutritious food that can be prepared from diverse plant-derived sources as vegetables (leaves, stems, flowers, tubers) and fruit seeds [29]. Plant-based cheeses have gained much higher attention in the last decade due to the fact that natural plant-based lipids are seen as being healthier compared to ingredients that can be found in dairy products made from cow’s milk [30]. Furthermore, plant-based cheese is an alternative choice for those people who are intolerant to dairy ingredients. However, the allergenicity is still the biggest deficiency of plant-based proteins. The allergic reaction usually occurs as a result of a specific immune response to a given food, where symptoms range from mild to life-threatening. Typically, the main ingredients in plant-based cheese formulations are proteins, starches, and vegetable oils (Table 5).
Table 5.
The main ingredients of processed plant-based cheeses [31,32].
Plant-based proteins are major constituents which are often combined with non-protein binders such as polysaccharides (starches, alginate, carrageen, or guar gum). Protein isolates can be obtained from the plant protein powder by extraction (e.g., alkaline extraction/isoelectric precipitation), where the process consists of tissue disruption and protein solubilisation. However, shifts of pH can affect organoleptic properties or even cause protein denaturation if the values are too low [33,34]. Therefore, it is necessary to optimise the purification conditions based on protein source, as proteins from different natural sources possess different structural properties that affect protein solubility. Furthermore, starches such as main polysaccharide-based constituents are obtained from cereal and legume seed endosperm. Their main role in plant-based cheese production is based on starch aptitude to form a viscous paste upon heating/cooling, which entraps fluids and other ingredients within the 3D-polysaccharide-formed network [35]. Starches occur in two forms: (a) native starch (white to off-white powder) obtained from agricultural raw materials and (b) modified starch obtained as a result of physical, enzymatic, or chemical processing processes. The main reason for the benefits of using modified starch over the native form is due to its functional properties, e.g., low viscosity, prevented granulation, improved binding properties, and prolonged shelf-life, etc. However, the selection of starch for plant-based cheese formulation depends on starch properties such as foam stabilisation, gelling, moisture retention, thickening, etc. Moreover, the presence of vegetable oil (extracted from coconut, sunflower, cotton seed, etc.) enhances cheese texture, tenderness, and nutritional profile [32]. Common plant-based oils contain substantial amounts of unsaturated fatty acids so they tend to be liquid at ambient temperature and cannot form fat crystal networks. Often, a blend of plant-based solid fats (e.g., coconut oils) with liquid oils is used to obtain required textural and melting characteristics [32]. Unsaturated fats, e.g., flaxseed or algal oils, may have beneficial health effects [36]. However, they are susceptible to lipid oxidation, which can reduce the acceptability of a product due to the creation of rancid odours [37]. Other essential ingredients in cheese formulations are texturisers (e.g., xanthan gum, pectin, methylcellulose) that act as water/oil binders and enhancers. In addition, the acidulants (lactic or citric acid) are employed to adjust the pH values [31], enhancing protein solubility [38]. Furthermore, the addition of acidulants improves taste and helps delay the oxidation of food components and preserves the quality and appearance of food [39].
Over the last few years, there has been a need to use casein substitutes in cheese production. Although dairy (milk) proteins provide adequate organoleptic, functional, and nutritional properties, there is an interest in the development of plant-based proteins that can mimic the structure and behaviour of casein micelles. Several natural plant sources, e.g., legumes, oilseeds, nuts, cereals, and pseudo-cereals are extensively used and studied as the main source of protein supplements. Taste, texture, nutrition, and functionality issues occur with the use of plant-based proteins [40]. One way to overcome taste issues is to find congruent flavour concepts and incorporate them into the cheese formulations. In general, grittiness, graininess, and roughness are undesired textural sensations in food products [41,42]. Plant-based proteins are naturally grittier due to the different sources they come from, explaining why different brands can have a different taste. The reason for the presence of grittiness can be related to the fact that plant-based proteins are less refined and more natural [2]. The texture depends on the ability of a plant-based protein to sustain its texture over time and to provide the intended benefits of including protein in the formulation. The addition of texturising agents such as hydrocolloids or modified starches can help to create the desired texture of the final product [43].
Another critical issue is related to protein solubility, since good solubility is required for better mouthfeel, smoothness, creaminess, low grittiness, and low viscosity. Parameters affecting protein solubility can be classified into two categories such as internal (amino acid profile) and external (pH, ionic strength, temperature). Proteins precipitate due to relatively low electrostatic repulsion between pH 4 and 7 [44], which means they can easily associate with each other through van der Waals, hydrophobic, or hydrogen forces. Conversely, the solubility of plant proteins usually increases when the pH moves away from their isoelectric point (IEP), because their charge and electrostatic repulsion increases. Furthermore, protein solubility increases at low salt concentrations because salt molecules stabilise protein by decreasing electrostatic forces between protein molecules [45]. On the other hand, protein precipitates when protein–protein forces become more energetically favourable compared to protein–solvent forces. In addition, protein solubility is also influenced by temperature, where protein denaturation occurs as a result of the temperature effect on the non-covalent bonds. Too high temperatures may cause protein denaturation, where the solubility is reduced and aggregates form, and the process cannot be reversed by reducing the temperature [46].
From a nutritional perspective, most protein sources are deficient in some essential amino acids as the amino acid profile is one of the most significant criteria for defining protein quality. Of the 20 amino acids, nine are considered essential and must be ingested through the diet, because human bodies cannot synthesise them on their own [11]. For instance, proteins of plant origin, e.g., legumes, are mainly low in sulphur-containing amino acids and they must be combined with complementary proteins necessary for endogenous synthesis [47]. However, considering the natural sources, plant-based proteins provide valuable nutrients that can reduce the risk of developing chronic diseases [48]. This is the reason why their nutritional quality is more valued, even though they do not contain all nine essential amino acids.
4. Modification Approaches of Plant-Based Proteins
In order to improve protein physicochemical properties such as solubility, gelation, and emulsification, plant-based proteins have to be modified. In general, modifications of plant-based proteins involve physical, chemical, and biological approaches (Figure 2). Therefore, in the following sections, we briefly describe modification approaches based on the mechanisms of operation.
Figure 2.
Modification approaches of plant-based proteins.
4.1. Physical Modification
Physical modification approaches lead to protein size reduction and size redistribution, unfolding, and changes in protein conformation. These modifications have advantages over chemical modifications, because this type of modification does not require the use of toxic chemical agents. Some kinds of physical modifications are widely studied such as high-pressure and ultrasound treatment, gamma irradiation extrusion, ultrafiltration, and pulsed electric field.
4.1.1. High-Pressure Treatment
High-pressure treatment (200–700 MPa) has been employed to inactivate spoilage and maintain food preservation [2,49]. Reduction of microbial contamination under high-pressure in various matrices is described and explained in few studies [50,51,52]. Application of high-pressure treatment can cause structural changes of soya bean proteins, where the destabilisation of structure depends on the amount of applied pressure [53]. Tang and his co-workers [54] studied the effects of high-pressure treatment on the solubility of soy protein isolate. It was stated that protein solubility is low at lower pressure (<200 MPa) due to the formation of insoluble aggregates of protein. On the other hand, protein solubility increases with pressure (>600 MPa), because the insoluble aggregates change into soluble ones [54,55]. This fact was supported by the study of Zhang and his co-workers [56], who performed electrophoresis before and after high-pressure treatment.
4.1.2. Ultrasound
Ultrasound or sonication is another method that is used to alter the structural and physiological properties of proteins. Different frequency ranges can be used. However, this method usually uses energy at higher frequencies (>20 kHz) to break large particles down through physical vibration. Conversely, lower frequencies are employed to modify the physical and chemical properties of food and to improve shelf-life [57]. Ultrasound destroys the secondary and partially tertiary and quaternary protein structure without changes in the primary structure [58]. Su and scholars [59] demonstrated sonochemical and sonomechanical effects on protein functionality. Sonochemical effects cause the bond cleavage and the modification of side groups, while sonomechanical effects induce the transient or permanent modification of the folded protein [59]. Regarding protein solubility, it was observed that solubility is influenced by the following factors: changing protein conformation and structure that leads to the exposure of hydrophilic parts of amino acids [60], decreasing in protein molecular weight that results in a larger area of protein covered by molecules of water [61], and increasing in temperature after ultrasound treatment [60].
4.1.3. Gamma Irradiation
Gamma irradiation is a non-thermal process that induces the formation of hydroxyl and superoxide anion radicals [62,63] and involves the denaturation of protein structure and forms a new conformation. Chemical changes that are induced by gamma irradiation are, e.g., disruption of protein structure, cross-linking, aggregation, and oxidation induced by oxygen radicals [64]. However, gamma irradiation can be employed to decrease protein oxidation, which is one of the major reasons for reducing protein nutritional value [65]. In addition, no changes in the molecular mass were observed [63]. The reason for this may lie in the lack of oxygen radicals generated by water radiolysis. On the other hand, some changes were observed in protein solutions due to the formation of hydroxyl and superoxide anion radicals by water radiolysis [63]. Fragmentation and aggregation are phenomena that occur in protein molecules as a result of radiation damage. These changes can affect protein solubility and other functional properties. Lower dose irradiation increases protein solubility, while higher dose decreases solubility due to protein aggregation.
4.1.4. Extrusion
Furthermore, extrusion is used for texturising plant-based proteins where higher temperature initiates protein unfolding due to the breakage of hydrogen bonds [31]. Proteins lose their structure when they are undergoing thermal and mechanical stresses. At higher temperatures during extrusion, intramolecular disulphide bonds are broken down, while new intermolecular bonds are formed as a result of aggregates formation [66]. Application of higher pressure and temperature during extrusion reduces anti-nutrients and enhances the digestibility of plant proteins by increasing amino acids availability [2]. Nosworthy et al. [67] demonstrated the extrusion process as an optimal method for altering chickpea protein quality through changes in the amino acid composition or digestibility. In other studies, the effects of the extrusion process on the reduction of anti-nutritional factors and the digestibility of soybean and maize proteins are shown [68]. In addition, Manoi et al. [69] observed that the protein solubility of whey was reduced after they applied supercritical fluid extrusion.
4.1.5. Ultrafiltration
Ultrafiltration is a non-thermal method that is used for the separation and isolation of proteins. In addition, the process shows some impact on the protein structure depending on the membrane molecular size cut-off, pH, and applied pressure [70]. The secondary and tertiary structures of proteins show their tendency to aggregate due to the low membrane cut-off [71]. The study of Boye et al. [71] showed that the protein solubility was higher in ultrafiltered proteins than in those that precipitated near the isoelectric point.
4.1.6. Pulsed Electric Field
The pulsed electric field processing is used for microorganisms and enzymes inactivation, where the sample is exposed to short high-power electrical pulses (μs or ms) [72]. The electric field is made between two electrodes due to potential differences and energy that results in protein unfolding. The effect of the pulsed electric field on the protein solubility depends on the intensity of treatment, e.g., the solubility of soy protein is improved with increasing electric field strength and time until 30 kV/cm and 288 μs, while further increases in strength and time lead to reduced solubility due to protein denaturation and aggregation [73,74].
4.2. Chemical Modification
Chemically modified proteins display better physicochemical properties compared to native proteins. Derivatisation is one example of a chemical reaction, where reactive functional groups are chemically altered. Derivatisation mainly occurs in the functional groups such as amino, carboxyl, disulfide, imidazole, indole, phenolic, sulfhydryl, thioether, and guanidine. However, the applications of chemical modification for plant-based proteins are limited due to the restriction of hazardous or carcinogenic chemicals. Thus, glycation and pH-shifting are the most suitable chemical modifications that can be performed for plant-based proteins [58]. In addition, acylation, deamidation, and phosphorylation are also employed for protein modification [2].
4.2.1. Glycation
Glycation is the most desired chemical modification because it is safe and there are no side products. Glycation can be carried out through Maillard reactions or by enzymatic cross-linking via transglutaminase or laccase [2]. Enzymatic cross-linking is discussed in the biological modification section. As Figure 3 shows, the Maillard reaction is a non-enzymatic chemical reaction that occurs when free amino acids of proteins react with the carbonyl groups of reducing carbohydrates. Some examples of Maillard reaction applications and its kinetic aspects are studied and described in the example of wheat germ protein in the following studies [75,76].
Figure 3.
Synthesis of proteincarbohydrates complex via Maillard reaction.
4.2.2. pH Shifting
Moreover, pH-shifting initiates changes in the protein structural and functional properties because pH is one of the major effective variables on protein structure. Many proteins undergo conformational changes when they are exposed to pH-shifting (acid/base environment). Silventoinen and co–workers [77] studied how ultrasound treatment improves barley protein solubility in alkaline and acidic medium. Shifting from alkaline to neutral pH keep on colloidal stability compared to proteins treated with ultrasound at neutral pH [77]. Other studies showed improved soy protein isolate emulsifying properties, solubility, and thermal stability [78] when soy protein was exposed to extreme pH-shifting.
4.2.3. Acylation
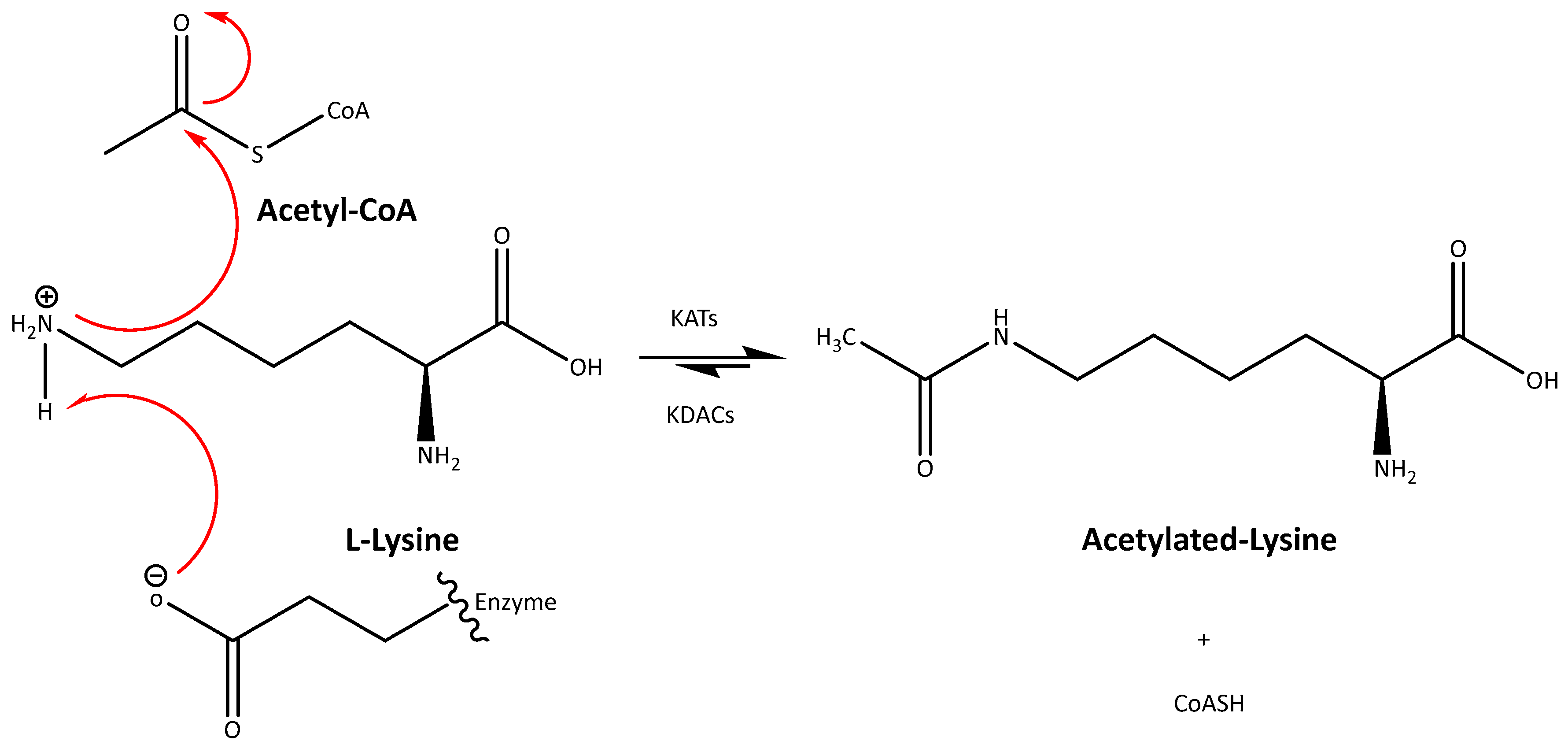
Acylation is a chemical reaction where an acyl group is added to the substrate using acyl anhydrides or halides. Acylation can be classified into acetylation and succinylation based on the acylating agent used. Acetylation is the reaction of introducing an acetyl group where acetyl transferase catalyse the transfer of the acetyl group to the target protein [79]. During acetylation, basic groups are converted into neutral ones, while in succinylation, the net positive charge is replaced with a negative charge in the hydroxyl and amino group of proteins [70]. Figure 4 shows an example of a lysine acetylation mechanism catalysed by lysine acetyltransferases.
Figure 4.
Synthesis of acetylated lysine via acetylation (KATs–lysine acetyltransferase; KDACs–lysine deacetylase.
The acylation has an influence on secondary and tertiary structure of plant proteins converting them into more hydrophobic molecules [80,81]. Zhao and scholars revealed [82] that the application of acetylation and succinylation causes changes in the secondary and tertiary structure of oat protein and molecular weight. The influence of succinylation on thermal stability, solubility, and emulsifying properties of mucuna bean and palm pollen protein was discussed in the following articles, respectively [83,84].
4.2.4. Deamidation
Deamidation is a chemical reaction where amide groups of glutamine and asparagine residues are converted into carboxyl groups within protein. The process can be performed under mild conditions and is a common modification for proteins from legumes and cereals because of the high content of glutamine and asparagine. Figure 5 displays the mechanism of deamidation to asparagine.
Figure 5.
Synthesis of asparagine peptide via deamidation.
Guan and co-workers [85] described how alkaline deamidation improves the solubility of rice bran protein. However, enzymatic deamidation is one of the most common modifications because of the particularity of substrate and minor side-chain reactions. Enzymatic deamidation can be performed under deamidase, transglutaminase, and protease, but the most employed enzymes are glutaminase. The application of glutaminase in deamidation displayed better solubility, foaming, and emulsifying properties as shown in the example of primrose protein [86] and oat protein [87].
4.2.5. Phosphorylation
Phosphorylation is a chemical reaction where the phosphate group is introduced to the protein primary sequence. The covalent bonding between the phosphate and amino group is catalysed by enzymes called kinase (Figure 6). Chemical phosphorylation can be useful for the improvement of protein functional properties. The most common reagents used in phosphorylation are phosphoric acid (H3PO4), phosphorous oxylchloride (POCl3), and sodium trimetaphosphate (STMP) [88]. Phosphorylation performed with STMP enhances the solubility and emulsifying properties of proteins. STMP is an organic salt that is approved as a food additive and is more efficient compared to other phosphates. For instance, phosphorylation of rice ban protein with STMP is described in the following article [89]. On the other hand, the phosphorylation of proteins with POCl3 improves gel- forming properties and water-binding capacity [90]. Phosphorous oxychloride is a reactive reagent that can be used in an aqueous or non-aqueous system.
Figure 6.
Synthesis of tyrosine peptide via phosphorylation.
4.3. Biological Modification
Other functionalisation strategies include biological modifications that can be classified into enzymatic hydrolysis, cross-linking [2,49], and fermentation [2]. These modification approaches have the ability to enhance protein functionality and stability during processing.
4.3.1. Enzymatic Hydrolysis
Enzymatic hydrolysis is the most employed modification in the food industry that includes the disruption of peptide bonds followed by the creation of hydrolysates [58].
Hydrolysates are made from free amino acids and small and large peptides, in proportions that depend on the type of enzyme and the source. The advantage of enzymatic hydrolysis over chemical modification is the absence of toxic compounds and quick action time. The type of enzyme (e.g., trypsin, pepsin, chymosin, etc.) plays an important role in affecting the functional properties and modifying plant proteins. Enzymatic hydrolysis can be carried out as a pre- or post-treatment for modification approaches such as ultrafiltration and high-pressure treatment [91,92]. The degree of hydrolysis is determined by the number of peptide-cleaved bonds, which is divided by the total number of peptide bonds in protein and multiplied by 100 [93]. The hydrolysis itself is intricate and some of the following factors affect the process, e.g., the nature of substrate, numerous substrates and reactions, heterogenous system, and thermal inactivation of enzymes modulated by peptide products [94]. Some of the studies have considered Michaelis–Menten modelling for displaying enzymatic hydrolysis with diverse protein sources and enzymes [95,96,97].
4.3.2. Enzymatic Cross-Linking
Conversely, enzymatic cross-linking is carried out using transglutaminase to initiate the cross-linking of proteins and to improve their textural properties by building up the polypeptides into stronger structures [58]. There are many different types of enzymes that can be employed for protein-linking molecules through intra- and inter-covalent bonds. Transglutaminases are the most commonly used type of enzyme for protein-joining molecules. These enzymes modulate an acyl transfer reaction between the carboxamide group of glutamine residues and primary amines [98]. Another group of enzymes belong to the oxidoreductase family (e.g., laccase, peroxidase, and tyrosinase) [99]. Oxidoreductase are only used to instigate and create reactive species that spontaneously polymerises with other functional groups leading to covalent cross-linking [99]. Some examples of enzymatic cross-linking via tyrosinase, e.g., oat and faba bean proteins, are given in the research of Nivala et al. [100] and cross-linking of chickpea and pea proteins via transglutaminase [101,102,103]. The other examples of protein cross-linking are described in the following studies, e.g., cross-linking of whey and oat protein via laccase [104] and cross-linking of α–Lactalbumin and bovine serum albumin via peroxidase [105,106].
4.3.3. Fermentation
The fermentative process can be used as another modification approach for the preservation, improvement of micronutrients availability, and enhancement of the sensorial properties [107]. Fermentation is a conversion of organic matter by enzymes or microorganisms that enhances the nutritive properties of plant-based cheese and reduces its bitter flavours. Fermentation can be classified as traditional, biomass, and precision fermentation [108]. Traditional fermentation is the most common type, where lactic acid bacteria, yeasts, molds, Bacillus, and Staphylococcus stains are used as the main starter cultures. The fermentation includes the natural growth of microorganisms, e.g., fermenting soybeans for tempeh using lactic acid bacteria [109]. In addition, biomass fermentation involves the naturally occurring protein and rapid growth of microorganisms (e.g., algae or fungi) [110], while precision fermentation uses microbial cells to generate specific ingredients [111].
5. Processing Plant-Based Cheese
Traditional dairy cheese can be classified based on type: fresh, aged-fresh, blue, flavour-added cheese, or on textural properties: soft, semi-soft, semi-hard, and hard cheese and on the origin of the milk. Generally, the traditional cheese is prepared from animal milk (goat, cow, sheep), which is the main ingredient, and the process consists of several steps such as acidification, coagulation, curding and removal of whey, salting, and ripening (Figure 7). Since pasteurisation destroys lactose fermenters, it is necessary to add adjunct bacteria (Streptococcus or Lactococcus species) in order to facilitate the process. Throughout the curdling process, inorganic salt (CaCl2), acid (the acid in vinegar), or enzyme (calf rennet) are added to induce coagulation of proteins [112]. Formation of semisolids occurs during coagulation, where whey occurs as a byproduct that remains after milk has been curdled. In the last stage, the ripening process is carried out, where optimal ripeness is achieved by spraying Penicillium molds on the surface of the cheese (e.g., Camembert) or injecting molds under the surface of the cheese (e.g., blue cheese).
Figure 7.
Schematic visualisation of traditional and plant-based cheese production.
With respects to plant-based cheese, the method for their preparation is similar to traditional cheesemaking. They are made from plant-derived ingredients with a higher percentage of protein and fat content, which are responsible for physicochemical, mechanical, and sensorial properties, respectively [32]. Plant-based cheese prepared in this way retains similar desirable properties such as mouthfeel, melting, and high shelf-life compared to traditional cheese. In order to reduce the shortfalls of plant-based cheeses in comparison with their counterparts, the way of processing plant-based cheese can comprise an emulsifier, anti-foaming and colouring agents, nutritional yeast, and supplements. In addition, acidulants or acidic agents are used to adjust the pH of prepared cheese. The pH of cheese is an important parameter, because it affects protein–protein forces, and the optimum pH value of plant-based cheeses is in the range between 5.21 and 5.87 [113].
Bergsma [114] designated a path for plant-based cheese preparation, where waxy non-modified potato starch was used as a gelling agent. Starch mainly contributes to the better texture and nutritional properties of cheese and can be used as modified (chemically or enzymatically modified) or non-modified. The adequate concentrations are reported as follows: starch (10–24%), protein (0.5–8%), lipids (15–35%), and water (35–74.5%) based on the total weight [114]. The process induces gelatinisation of starch followed with cooling the mixture to instigate the sol–gel transition. The sol–gel transition enables viscoelastic and textural characteristics similar to those found in traditional cheese [32]. Moreover, Grossmann and co-workers [32] briefly described the route of plant-based cheese production based on phase transitions. The fractionation and tissue disruption paths can be differentiated by the main actor that instigates the sol–gel transition. For instance, the sol–gel transition in the fractionation path is induced with fractionated ingredients (from diverse sources), while in tissue, disruption is induced by the ingredients that can be found in raw materials. However, the tissue disruption path is more energy convenient because it employs two phase transitions compared to the fractionation path. Nevertheless, Wang and researchers [115] noted the importance of controlling the protein dimension and its impact on gelling properties. The gelation was induced using Ca2+ salt, leading to the formation of protein aggregates. The existence of the aggregates affects the properties of the gel matrices and their emulsion characteristics, such as the oil droplet size, leading to the formation of various gel network structures [115].
The disadvantage of plant proteins is based on their surface chemistries compared to casein micelles that leads to dissimilar gelation properties [116]. The processing behaviour and sensorial quality of cheese depends on the viscosity, emulsification, gelation, and meltability of the formed gel matrix during coagulation. The physicochemical properties of plant-based cheese may be affected through preparation, because the agitation speed disturbs the microstructure by decreasing the lipid globule size and improving their distribution throughout the protein matrix making the cheese whiter, possibly through increased light scattering [117]. Another desired characteristic of plant-based cheese is its meltability that is related to lipid globule size. It is known that plant-based cheeses have poor melting properties. In cases of increasing the agitation speed, the lipid globule size reduces and shears the protein matrix to create a more tightly knitted structure, in which lipid globules are finely distributed [118].
6. Conclusions and Future Perspectives
During the last decades, attention has been paid to developing and investigating functionality differences between the proteins of animal and plant origins. Contrary to the origin of traditional cheese, plant-based cheese is derived from a diverse range of plant ingredients, which can be fortified with nutrients that also can be found in traditional cheese (e.g., calcium or vitamin B12). To satisfy consumer demand and eating requirements, the growth of non-protein ingredients is an essential for plant-based product development and manufacturing. The technology for development must catch up with the high demand for novel plant-based protein sources.
Certainly, plant-based cheeses are processed, which means they contain preservatives, colour additives, and a high level of sodium. Considering their nutritional and functional properties, plant-based proteins are recognised as a potential frontier in future innovations providing insights and the spurring of new developments in food chemistry. Modification approaches have a strong influence on the physicochemical properties of proteins in food matrixes. They provide a wide range of food and biotechnological applications due to their ability to alter and modify the functional properties of proteins. Chemical modification has gained significant interest due to its efficiency, low cost, and effortlessness of operation. However, one of the major disadvantages of chemical modification is certain effects on human health such as toxicity, food allergies, and reduced nutrition. On the other hand, enzymatic modification is mainly environmentally friendly and a low- energy consuming process, but it is not affordable for large-scale applications. The application of a physical modification is mostly used at the industrial level, but due to the lack of sufficient data, further studies are required. Furthermore, there are still a lack of data of understanding how molecular and colloidal interactions affect the textural features of plant-based cheeses. Due to the previously mentioned limitations, future investigations should be more focused on the following aspects such as structure, sensory and nutritional characteristics, safety, and melting properties of plant-based cheese.
Author Contributions
J.K.: Conceptualisation, Literature analysis, Writing—original draft, Visualisation. T.B.: Conceptualisation, Writing—review. T.P.: Conceptualisation, Resources, Writing—review and editing, Supervision, Funding acquisition. All authors have read and agreed to the published version of the manuscript.
Funding
This research was supported by funding from Land Vorarlberg under project grant number IIb–17.04–014.
Conflicts of Interest
The authors declare no conflicts of interest.
References
- Liu, R.H. Health Benefits of Fruit and Vegetables Are from Additive and synergistic combinations of phytochemicals. Am. J. Clin. Nutr. 2003, 78, 3–6. [Google Scholar] [CrossRef] [PubMed]
- Nikbakht Nasrabadi, M.; Sedaghat Doost, A.; Mezzenga, R. Modification Approaches of Plant-Based Proteins to Improve Their Techno-Functionality and Use in Food Products. Food Hydrocoll. 2021, 118, 106789. [Google Scholar] [CrossRef]
- Bloomberg. Plant-Based Foods Market to Hit $162 Billion in Next Decade, Projects Bloomberg Intelligence; Bloomberg: New York, NY, USA, 2021. [Google Scholar]
- Technavio. Vegan-Cheese Market by Source, Distribution Channel and Geography-Forecast and Analysis 2023–2027; Infiniti Research Limited: London, UK, 2023. [Google Scholar]
- Drozłowska, E.; Weronis, M.; Bartkowiak, A. The Influence of Thermal Hydrolysis Process on Emulsifying Properties of Potato Protein Isolate. J. Food Sci. Technol. 2020, 57, 1131–1137. [Google Scholar] [CrossRef] [PubMed]
- Avilés-Gaxiola, S.; Chuck-Hernández, C.; del Refugio Rocha-Pizaña, M.; García-Lara, S.; López-Castillo, L.M.; Serna-Saldívar, S.O. Effect of Thermal Processing and Reducing Agents on Trypsin Inhibitor Activity and Functional Properties of Soybean and Chickpea Protein Concentrates. LWT 2018, 98, 629–634. [Google Scholar] [CrossRef]
- Houston, D.K.; Nicklas, B.J.; Ding, J.; Harris, T.B.; Tylavsky, F.A.; Newman, A.B.; Jung, S.L.; Sahyoun, N.R.; Visser, M.; Kritchevsky, S.B. Dietary Protein Intake Is Associated with Lean Mass Change in Older, Community-Dwelling Adults: The Health, Aging, and Body Composition (Health ABC) Study. Am. J. Clin. Nutr. 2008, 87, 150–155. [Google Scholar] [CrossRef]
- Hannan, M.T.; Felson, D.T.; Dawson-Hughes, B.; Tucker, K.L.; Cupples, L.A.; Wilson, P.W.F.; Kiel, D.P. Risk Factors for Longitudinal Bone Loss in Elderly Men and Women: The Framingham Osteoporosis Study. J. Bone Miner. Res. 2000, 15, 710–720. [Google Scholar] [CrossRef]
- Park, Y.; Choi, J.E.; Hwang, H.S. Protein Supplementation Improves Muscle Mass and Physical Performance in Undernourished Prefrail and Frail Elderly Subjects: A Randomized, Double-Blind, Placebo-Controlled Trial. Am. J. Clin. Nutr. 2018, 108, 1026–1033. [Google Scholar] [CrossRef]
- Kearney, J. Food Consumption Trends and Drivers. Philos. Trans. R. Soc. B Biol. Sci. 2010, 365, 2793–2807. [Google Scholar] [CrossRef]
- National Research Council (US) Subcommittee on the Tenth Edition of the Recommended Dietary. Recommended Dietary Allowances; National Academies Press: Washington, DC, USA, 1989; ISBN 978-0-309-04633-6. [Google Scholar]
- Berrazaga, I.; Micard, V.; Gueugneau, M.; Walrand, S. The Role of the Anabolic Properties of Plant- versus Animal-Based Protein Sources in Supporting Muscle Mass Maintenance: A Critical Review. Nutrients 2019, 11, 1825. [Google Scholar] [CrossRef]
- Shurtleff, W.; Aoyagi, A. History of Soymilk and Other Non-Dairy Milks (1226 to 2013); Soyinfo Center: Lafayette, CA, USA, 2013; ISBN 9781928914587. [Google Scholar]
- Saraco, M. Functionality of the Ingredients Used in Commercial Dairy-Free Imitation Cheese and Analysis of Cost-Related, Food Safety and Legal Implications; Department of Healthcare and Food, Cardiff School of Sport & Health Sciences: Cardiff, UK, 2019; Volume 2019, pp. 1–15. [Google Scholar]
- Pickard, R.S.; McKevith, B.J. The Role of Cereals in the Diet. In Using Cereal Science and Technology for the Benefit of Consumers; Cauvain, S.P., Salmon, S.S., Young, L.S., Eds.; Woodhead Publishing: Sawston, UK, 2005; ISBN 9781845690632. [Google Scholar]
- Alvarez-Jubete, L.; Arendt, E.K.; Gallagher, E. Nutritive Value of Pseudocereals and Their Increasing Use as Functional Gluten-Free Ingredients. Trends Food Sci. Technol. 2010, 21, 106–113. [Google Scholar] [CrossRef]
- Pirzadah, T.B.; Malik, B. Pseudocereals as Super Foods of 21st Century: Recent Technological Interventions. J. Agric. Food Res. 2020, 2, 100052. [Google Scholar] [CrossRef]
- USDA US Department of Agriculture, Agricultural Research Service. ARS Annual Report on Science 2020. Available online: https://www.ars.usda.gov/research/ars-annual-report-on-science/2020-ars-annual-report-on-science/ (accessed on 15 October 2023).
- Kelly, A.; Becker, W.; Helsing, E. Food Balance Sheets; WHO: Geneva, Switzerland, 1991; pp. 39–48. [Google Scholar]
- Augustin, J.; Klein, B. Legumes: Chemistry, Technology, and Human Nutrition Food Science and Technology; Mattwes, R.M., Ed.; Marcel Dekker: New York, NU, USA, 1989; ISBN 978-0824780425. [Google Scholar]
- Waseem, S.; Imadi, S.R.; Gul, A.; Ahmad, P. Oilseed Crops: Present Scenario and Future Prospects. In Oilseed Crops: Yield and Adaptations under Environmental Stress; Wiley: Hoboken, NJ, USA, 2017; pp. 1–306. [Google Scholar]
- Ibrahim, O.S. Chemical Composition and Nutritional Characterization of Cotton Seed as Potential Feed Supplement. J. Turk. Chem. Soc. Sect. A Chem. 2021, 8, 977–982. [Google Scholar]
- USDA. USDA Department of Agriculture, National Nutrient Database for Standard Reference; 2018. Available online: https://www.ars.usda.gov/research/publications/publication/?seqno115=349687 (accessed on 15 October 2023).
- Jardim, T.; Domingues, M.R.M.; Alves, E. An Overview on Lipids in Nuts and Oily Fruits: Oil Content, Lipid Composition, Health Effects, Lipidomic Fingerprinting and New Biotechnological Applications of Their by-Products. Crit. Rev. Food Sci. Nutr. 2023, 1–29. [Google Scholar] [CrossRef] [PubMed]
- Ros, E. Health Benefits of Nut Consumption. Nutrients 2010, 2, 652–682. [Google Scholar] [CrossRef]
- Vinson, J.A.; Cai, Y. Nuts, Especially Walnuts, Have Both Antioxidant Quantity and Efficacy and Exhibit Significant Potential Health Benefits. Food Funct. 2012, 3, 134–140. [Google Scholar] [CrossRef] [PubMed]
- USDA. Food Composition Database; USDA: Washington, DC, USA, 2018. [Google Scholar]
- Lieberman, J.A.; Gupta, R.S.; Knibb, R.C.; Haselkorn, T.; Tilles, S.; Mack, D.P.; Pouessel, G. The Global Burden of Illness of Peanut Allergy: A Comprehensive Literature Review. Allergy 2021, 76, 1367–1384. [Google Scholar] [CrossRef]
- Pua, A.; Tang, V.C.Y.; Goh, R.M.V.; Sun, J.; Lassabliere, B.; Liu, S.Q. Ingredients, Processing, and Fermentation: Addressing the Organoleptic Boundaries of Plant-Based Dairy Analogues. Foods 2022, 11, 875. [Google Scholar] [CrossRef]
- Walther, B.; Guggisberg, D.; Badertscher, R.; Egger, L.; Portmann, R.; Dubois, S.; Haldimann, M.; Kopf-Bolanz, K.; Rhyn, P.; Zoller, O.; et al. Comparison of Nutritional Composition between Plant-Based Drinks and Cow’s Milk. Front. Nutr. 2022, 9, 2645. [Google Scholar] [CrossRef]
- Pam Ismail, B.; Senaratne-Lenagala, L.; Stube, A.; Brackenridge, A. Protein Demand: Review of Plant and Animal Proteins Used in Alternative Protein Product Development and Production. Anim. Front. 2020, 10, 53–63. [Google Scholar] [CrossRef]
- Grossmann, L.; McClements, D.J. The Science of Plant-Based Foods: Approaches to Create Nutritious and Sustainable Plant-Based Cheese Analogs. Trends Food Sci. Technol. 2021, 118, 207–229. [Google Scholar] [CrossRef]
- Tang, Q.; Roos, Y.H.; Miao, S. Plant Protein versus Dairy Proteins: A PH-Dependency Investigation on Their Structure and Functional Properties. Foods 2023, 12, 368. [Google Scholar] [CrossRef]
- Foh, M.B.K.; Wenshui, X.; Amadou, I.; Jiang, Q. Influence of PH Shift on Functional Properties of Protein Isolated of Tilapia (Oreochromis niloticus) Muscles and of Soy Protein Isolate. Food Bioprocess Technol. 2012, 5, 2192–2200. [Google Scholar] [CrossRef]
- Kasprzak, M.M.; Macnaughtan, W.; Harding, S.; Wilde, P.; Wolf, B. Stabilisation of Oil-in-Water Emulsions with Non-Chemical Modified Gelatinised Starch. Food Hydrocoll. 2018, 81, 409–418. [Google Scholar] [CrossRef]
- Saini, R.K.; Keum, Y.-S. Omega-3 and Omega-6 Polyunsaturated Fatty Acids: Dietary Sources, Metabolism, and Significance—A Review. Life Sci. 2018, 203, 255–267. [Google Scholar] [CrossRef]
- Nogueira, M.S.; Scolaro, B.; Milne, G.L.; Castro, I.A. Oxidation Products from Omega-3 and Omega-6 Fatty Acids during a Simulated Shelf Life of Edible Oils. LWT 2019, 101, 113–122. [Google Scholar] [CrossRef]
- Pelegrine, D.H.G.; Gasparetto, C.A. Whey Proteins Solubility as Function of Temperature and PH. LWT Food Sci. Technol. 2005, 38, 77–80. [Google Scholar] [CrossRef]
- Deshpande, S.S.; Salunkhe, D.K.; Deshpande, U.S. Food Additive Toxicology; Maga, J.A., Tu, A.Y., Eds.; Marcel Dekker: New York, NY, USA, 1994; pp. 11–88. ISBN 0-8247-9245-9. [Google Scholar]
- Short, E.C.; Kinchla, A.J.; Nolden, A.A. Plant-Based Cheeses: A Systematic Review of Sensory Consumer Acceptance. Foods 2021, 10, 725. [Google Scholar] [CrossRef] [PubMed]
- Santagiuliana, M.; Broers, L.; Marigómez, I.S.; Stieger, M.; Piqueras-Fiszman, B.; Scholten, E. Strategies to Compensate for Undesired Gritty Sensations in Foods. Food Qual. Prefer. 2020, 81, 103842. [Google Scholar] [CrossRef]
- Lopez, F.L.; Mistry, P.; Batchelor, H.K.; Bennett, J.; Coupe, A.; Ernest, T.B.; Orlu, M.; Tuleu, C. Acceptability of Placebo Multiparticulate Formulations in Children and Adults. Sci. Rep. 2018, 8, 9210. [Google Scholar] [CrossRef]
- Saha, D.; Bhattacharya, S. Hydrocolloids as Thickening and Gelling Agents in Food: A Critical Review. J. Food Sci. Technol. 2010, 47, 587–597. [Google Scholar] [CrossRef]
- Novák, P.; Havlíček, V. Protein Extraction and Precipitation. In Proteomic Profiling and Analytical Chemistry, 2nd ed.; Elsevier: Amsterdam, The Netherlands, 2016; pp. 52–62. [Google Scholar] [CrossRef]
- Dahal, Y.R.; Schmit, J.D. Ion Specificity and Nonmonotonic Protein Solubility from Salt Entropy. Biophys. J. 2018, 114, 76–87. [Google Scholar] [CrossRef]
- Pelegrine, D.H.G.; Gomes, M.T.d.M.S. Whey Proteins Solubility Curves at Several Temperatures Values. Cienc. Nat. 2008, 30, 17–25. [Google Scholar]
- Pandurangan, S.; Sandercock, M.; Beyaert, R.; Conn, K.L.; Hou, A.; Marsolais, F. Differential Response to Sulfur Nutrition of Two Common Bean Genotypes Differing in Storage Protein Composition. Front. Plant Sci. 2015, 6, 92. [Google Scholar] [CrossRef]
- Hertzler, S.R.; Lieblein-Boff, J.C.; Weiler, M.; Allgeier, C. Plant Proteins: Assessing Their Nutritional Quality and Effects on Health and Physical Function. Nutrients 2020, 12, 3704. [Google Scholar] [CrossRef]
- Akharume, F.U.; Aluko, R.E.; Adedeji, A.A. Modification of Plant Proteins for Improved Functionality: A Review. Compr. Rev. Food Sci. Food Saf. 2021, 20, 198–224. [Google Scholar] [CrossRef]
- Bermúdez-Aguirre, D.; Barbosa-Cánovas, G.V. An Update on High Hydrostatic Pressure, from the Laboratory to Industrial Applications. Food Eng. Rev. 2011, 3, 44–61. [Google Scholar] [CrossRef]
- Martínez-Rodríguez, Y.; Acosta-Muñiz, C.; Olivas, G.I.; Guerrero-Beltrán, J.; Rodrigo-Aliaga, D.; Sepúlveda, D.R. High Hydrostatic Pressure Processing of Cheese. Compr. Rev. Food Sci. Food Saf. 2012, 11, 399–416. [Google Scholar] [CrossRef]
- Rastogi, N.K.; Raghavarao, K.S.M.S.; Balasubramaniam, V.M.; Niranjan, K.; Knorr, D. Opportunities and Challenges in High Pressure Processing of Foods. Crit. Rev. Food Sci. Nutr. 2007, 47, 69–112. [Google Scholar] [CrossRef] [PubMed]
- Puppo, M.C.; Speroni, F.; Chapleau, N.; De Lamballerie, M.; Añón, M.C.; Anton, M. Effect of High-Pressure Treatment on Emulsifying Properties of Soybean Proteins. Food Hydrocoll. 2005, 19, 289–296. [Google Scholar] [CrossRef]
- Tang, C.H.; Ma, C.Y. Effect of High Pressure Treatment on Aggregation and Structural Properties of Soy Protein Isolate. LWT 2009, 42, 606–611. [Google Scholar] [CrossRef]
- Wang, X.S.; Tang, C.H.; Li, B.S.; Yang, X.Q.; Li, L.; Ma, C.Y. Effects of High-Pressure Treatment on Some Physicochemical and Functional Properties of Soy Protein Isolates. Food Hydrocoll. 2008, 22, 560–567. [Google Scholar] [CrossRef]
- Zhang, H.; Li, L.; Tatsumi, E.; Isobe, S. High-Pressure Treatment Effects on Proteins in Soy Milk. LWT 2005, 38, 7–14. [Google Scholar] [CrossRef]
- Soria, A.C.; Villamiel, M. Effect of Ultrasound on the Technological Properties and Bioactivity of Food: A Review. Trends Food Sci. Technol. 2010, 21, 323–331. [Google Scholar] [CrossRef]
- Sim, S.Y.J.; Srv, A.; Chiang, J.H.; Henry, C.J. Plant Proteins for Future Foods: A Roadmap. Foods 2021, 10, 1967. [Google Scholar] [CrossRef]
- Su, J.; Cavaco-Paulo, A. Effect of Ultrasound on Protein Functionality. Ultrason. Sonochem. 2021, 76, 105653. [Google Scholar] [CrossRef] [PubMed]
- Jambrak, A.R.; Mason, T.J.; Lelas, V.; Herceg, Z.; Herceg, I.L. Effect of Ultrasound Treatment on Solubility and Foaming Properties of Whey Protein Suspensions. J. Food Eng. 2008, 86, 281–287. [Google Scholar] [CrossRef]
- Jiang, L.; Wang, J.; Li, Y.; Wang, Z.; Liang, J.; Wang, R.; Chen, Y.; Ma, W.; Qi, B.; Zhang, M. Effects of Ultrasound on the Structure and Physical Properties of Black Bean Protein Isolates. Food Res. Int. 2014, 62, 595–601. [Google Scholar] [CrossRef]
- Davies, K.J.; Delsignore, M.E. Protein Damage and Degradation by Oxygen Radicals. III. Modification of Secondary and Tertiary Structure. J. Biol. Chem. 1987, 262, 9908–9913. [Google Scholar] [CrossRef]
- Lee, S.; Lee, S.; Song, K. Bin Effect of Gamma-Irradiation on the Physicochemical Properties of Porcine and Bovine Blood Plasma Proteins. Food Chem. 2003, 82, 521–526. [Google Scholar] [CrossRef]
- Cho, Y.; Song, K. Bin Effect of γ-Irradiation on the Molecular Properties of Bovine Serum Albumin and β-Lcatoglobulin. J. Biochem. Mol. Biol. 2000, 33, 133–137. [Google Scholar]
- Štajner, D.; Milošević, M.; Popović, B.M. Irradiation Effects on Phenolic Content, Lipid and Protein Oxidation and Scavenger Ability of Soybean Seeds. Int. J. Mol. Sci. 2007, 8, 618–627. [Google Scholar] [CrossRef]
- Samard, S.; Gu, B.Y.; Ryu, G.H. Effects of Extrusion Types, Screw Speed and Addition of Wheat Gluten on Physicochemical Characteristics and Cooking Stability of Meat Analogues. J. Sci. Food Agric. 2019, 99, 4922–4931. [Google Scholar] [CrossRef] [PubMed]
- Nosworthy, M.G.; Medina, G.; Franczyk, A.J.; Neufeld, J.; Appah, P.; Utioh, A.; Frohlich, P.; Tar’an, B.; House, J.D. Thermal Processing Methods Differentially Affect the Protein Quality of Chickpea (Cicer arietinum). Food Sci. Nutr. 2020, 8, 2950–2958. [Google Scholar] [CrossRef]
- Omosebi, M.O.; Osundahunsi, O.F.; Fagbemi, T.N. Effect of Extrusion on Protein Quality, Antinutritional Factors, and Digestibility of Complementary Diet from Quality Protein Maize and Soybean Protein Concentrate. J. Food Biochem. 2018, 42, e12508. [Google Scholar] [CrossRef]
- Manoi, K.; Rizvi, S.S.H. Emulsification Mechanisms and Characterizations of Cold, Gel-like Emulsions Produced from Texturized Whey Protein Concentrate. Food Hydrocoll. 2009, 23, 1837–1847. [Google Scholar] [CrossRef]
- Aryee, A.N.A.; Agyei, D.; Udenigwe, C.C. Impact of Processing on the Chemistry and Functionality of Food Proteins, 2nd ed.; Elsevier Ltd.: Amsterdam, The Netherlands, 2017; ISBN 9780081007228. [Google Scholar]
- Boye, J.I.; Aksay, S.; Roufik, S.; Ribéreau, S.; Mondor, M.; Farnworth, E.; Rajamohamed, S.H. Comparison of the Functional Properties of Pea, Chickpea and Lentil Protein Concentrates Processed Using Ultrafiltration and Isoelectric Precipitation Techniques. Food Res. Int. 2010, 43, 537–546. [Google Scholar] [CrossRef]
- Doost, A.S.; Nasrabadi, M.N.; Van Der Meeren, P.; Chemistry, S. Production of Food Nanomaterials by Specialized Equipment 5. In Handbook of Food Nanotechnology: Applications and Approaches; Academic Press: London, UK, 2020; ISBN 9780128158661. [Google Scholar]
- Li, Y.; Chen, Z.; Mo, H. Effects of Pulsed Electric Fields on Physicochemical Properties of Soybean Protein Isolates. LWT 2007, 40, 1167–1175. [Google Scholar] [CrossRef]
- Xiang, B.Y.; Ngadi, M.O.; Ochoa-Martinez, L.A.; Simpson, M.V. Pulsed Electric Field-Induced Structural Modification of Whey Protein Isolate. Food Bioprocess Technol. 2011, 4, 1341–1348. [Google Scholar] [CrossRef]
- Van Boekel, M.A.J.S. Kinetic Aspects of the Maillard Reaction: A Critical Review. Nahrung Food 2001, 45, 150–159. [Google Scholar] [CrossRef] [PubMed]
- de Oliveira, F.C.; Coimbra, J.S.d.R.; de Oliveira, E.B.; Zuñiga, A.D.G.; Rojas, E.E.G. Food Protein-Polysaccharide Conjugates Obtained via the Maillard Reaction: A Review. Crit. Rev. Food Sci. Nutr. 2016, 56, 1108–1125. [Google Scholar] [CrossRef] [PubMed]
- Silventoinen, P.; Sozer, N. Impact of Ultrasound Treatment and Ph-Shifting on Physicochemical Properties of Protein-Enriched Barley Fraction and Barley Protein Isolate. Foods 2020, 9, 1055. [Google Scholar] [CrossRef]
- Jiang, J.; Xiong, Y.L.; Chen, J. PH Shifting Alters Solubility Characteristics and Thermal Stability of Soy Protein Isolate and Its Globulin Fractions in Different PH, Salt Concentration, and Temperature Conditions. J. Agric. Food Chem. 2010, 58, 8035–8042. [Google Scholar] [CrossRef]
- Li, Q.; Clarke, I.J.; Smith, A.I. Acetylation. In Handbook of Biologically Active Peptides; Elsevier: Amsterdam, The Netherlands, 2013; pp. 1711–1714. [Google Scholar]
- Ponnampalam, R.; Goulet, G.; Amiot, J.; Chamberland, B.; Brisson, G.J. Some Functional Properties of Acetylated and Succinylated Oat Protein Concentrates and a Blend of Succinylated Oat Protein and Whey Protein Concentrates. Food Chem. 1988, 29, 109–118. [Google Scholar] [CrossRef]
- Zhao, C.B.; Zhang, H.; Xu, X.Y.; Cao, Y.; Zheng, M.Z.; Liu, J.S.; Wu, F. Effect of Acetylation and Succinylation on Physicochemical Properties and Structural Characteristics of Oat Protein Isolate. Process Biochem. 2017, 57, 117–123. [Google Scholar] [CrossRef]
- Zhao, Y.; Sun, N.; Li, Y.; Cheng, S.; Jiang, C.; Lin, S. Effects of Electron Beam Irradiation (EBI) on Structure Characteristics and Thermal Properties of Walnut Protein Flour. Food Res. Int. 2017, 100, 850–857. [Google Scholar] [CrossRef] [PubMed]
- Sebii, H.; Karra, S.; Bchir, B.; Nhouchi, Z.; Ghribi, A.M.; Karoui, R.; Blecker, C.; Besbes, S. Effect of Succinylation on the Secondary Structures, Surface, and Thermal Properties of Date Palm Pollen Protein Concentrate. J. Food Sci. Technol. 2021, 58, 632–640. [Google Scholar] [CrossRef] [PubMed]
- Lawal, O.S.; Adebowale, K.O. Effect of Acetylation and Succinylation on Solubility Profile, Water Absorption Capacity, Oil Absorption Capacity and Emulsifying Properties of Mucuna Bean (Mucuna pruriens) Protein Concentrate. Nahrung Food 2004, 48, 129–136. [Google Scholar] [CrossRef] [PubMed]
- Guan, J.; Takai, R.; Toraya, K.; Ogawa, T.; Muramoto, K.; Mohri, S.; Ishikawa, D.; Fujii, T.; Chi, H.; Cho, S.J. Effects of Alkaline Deamidation on the Chemical Properties of Rice Bran Protein. Food Sci. Technol. Res. 2017, 23, 697–704. [Google Scholar] [CrossRef]
- Hadidi, M.; Ibarz, A.; Pouramin, S. Optimization of Extraction and Deamidation of Edible Protein from Evening Primrose (Oenothera biennis L.) Oil Processing by-Products and Its Effect on Structural and Techno-Functional Properties. Food Chem. 2021, 334, 127613. [Google Scholar] [CrossRef] [PubMed]
- Jiang, Z.-q.; Sontag-Strohm, T.; Salovaara, H.; Sibakov, J.; Kanerva, P.; Loponen, J. Oat Protein Solubility and Emulsion Properties Improved by Enzymatic Deamidation. J. Cereal Sci. 2015, 64, 126–132. [Google Scholar] [CrossRef]
- Matheis, G.; Whitaker, J.R. Chemical Phosphorylation of Food Proteins: An Overview and a Prospectus. J. Agric. Food Chem. 1984, 32, 699–705. [Google Scholar] [CrossRef]
- Hu, Z.; Qiu, L.; Sun, Y.; Xiong, H.; Ogra, Y. Improvement of the Solubility and Emulsifying Properties of Rice Bran Protein by Phosphorylation with Sodium Trimetaphosphate. Food Hydrocoll. 2019, 96, 288–299. [Google Scholar] [CrossRef]
- Chemisto, F. Phosphorylation of Food Proteins with Phosphorus Oxychloridc Improvement of Functional and Nutritional Properties: A Review. Food Chem. 1991, 39, 13–26. [Google Scholar]
- Aguilar, J.G.d.S.; Granato Cason, V.; de Castro, R.J.S. Improving Antioxidant Activity of Black Bean Protein by Hydrolysis with Protease Combinations. Int. J. Food Sci. Technol. 2019, 54, 34–41. [Google Scholar] [CrossRef]
- Guan, H.; Diao, X.; Jiang, F.; Han, J.; Kong, B. The Enzymatic Hydrolysis of Soy Protein Isolate by Corolase PP under High Hydrostatic Pressure and Its Effect on Bioactivity and Characteristics of Hydrolysates. Food Chem. 2018, 245, 89–96. [Google Scholar] [CrossRef] [PubMed]
- Pasupuleti, V.K.; Demain, A.L. Protein Hydrolysates in Biotechnology; Springer: Berlin/Heidelberg, Germany, 2010; pp. 1–229. [Google Scholar] [CrossRef]
- Valencia, P.; Espinoza, K.; Ceballos, A.; Pinto, M.; Almonacid, S. Novel Modeling Methodology for the Characterization of Enzymatic Hydrolysis of Proteins. Process Biochem. 2015, 50, 589–597. [Google Scholar] [CrossRef]
- Barros, R.M.; Xavier Malcata, F. A Kinetic Model for Hydrolysis of Whey Proteins by Cardosin A Extracted from Cynara Cardunculus. Food Chem. 2004, 88, 351–359. [Google Scholar] [CrossRef]
- O’Meara, G.M.; Munro, P.A. Kinetics of the Hydrolysis of Lean Meat Protein by Alcalase: Derivation of Two Alternative Rate Equations and Their Fit to Experimental Data. Biotechnol. Bioeng. 1985, 27, 861–869. [Google Scholar] [CrossRef]
- Trusek-Holownia, A. Production of Protein Hydrolysates in an Enzymatic Membrane Reactor. Biochem. Eng. J. 2008, 39, 221–229. [Google Scholar] [CrossRef]
- Keillor, J.W.; Clouthier, C.M.; Apperley, K.Y.P.; Akbar, A.; Mulani, A. Acyl Transfer Mechanisms of Tissue Transglutaminase. Bioorg. Chem. 2014, 57, 186–197. [Google Scholar] [CrossRef]
- Isaschar-Ovdat, S.; Fishman, A. Crosslinking of Food Proteins Mediated by Oxidative Enzymes—A Review. Trends Food Sci. Technol. 2018, 72, 134–143. [Google Scholar] [CrossRef]
- Nivala, O.; Mäkinen, O.E.; Kruus, K.; Nordlund, E.; Ercili-Cura, D. Structuring Colloidal Oat and Faba Bean Protein Particles via Enzymatic Modification. Food Chem. 2017, 231, 87–95. [Google Scholar] [CrossRef]
- Glusac, J.; Isaschar-Ovdat, S.; Fishman, A. Transglutaminase Modifies the Physical Stability and Digestibility of Chickpea Protein-Stabilized Oil-in-Water Emulsions. Food Chem. 2020, 315, 126301. [Google Scholar] [CrossRef] [PubMed]
- Djoullah, A.; Husson, F.; Saurel, R. Gelation Behaviors of Denaturated Pea Albumin and Globulin Fractions during Transglutaminase Treatment. Food Hydrocoll. 2018, 77, 636–645. [Google Scholar] [CrossRef]
- Sun, X.D.; Arntfield, S.D. Gelation Properties of Salt-Extracted Pea Protein Isolate Catalyzed by Microbial Transglutaminase Cross-Linking. Food Hydrocoll. 2011, 25, 25–31. [Google Scholar] [CrossRef]
- Ma, H.; Forssell, P.; Partanen, R.; Buchert, J.; Boer, H. Improving Laccase Catalyzed Cross-Linking of Whey Protein Isolate and Their Application as Emulsifiers. J. Agric. Food Chem. 2011, 59, 1406–1414. [Google Scholar] [CrossRef]
- Heijnis, W.H.; Wierenga, P.A.; Van Berkel, W.J.H.; Gruppen, H. Directing the Oligomer Size Distribution of Peroxidase-Mediated Cross-Linked Bovine α-Lactalbumin. J. Agric. Food Chem. 2010, 58, 5692–5697. [Google Scholar] [CrossRef]
- Saricay, Y.; Wierenga, P.; De Vries, R. Nanostructure Development during Peroxidase Catalysed Cross-Linking of α-Lactalbumin. Food Hydrocoll. 2013, 33, 280–288. [Google Scholar] [CrossRef]
- Xiang, H.; Sun-Waterhouse, D.; Waterhouse, G.I.N.; Cui, C.; Ruan, Z. Fermentation-Enabled Wellness Foods: A Fresh Perspective. Food Sci. Hum. Wellness 2019, 8, 203–243. [Google Scholar] [CrossRef]
- Teng, T.S.; Chin, Y.L.; Chai, K.F. Fermentation for Future Food Systems. EMBO Rep. 2021, 22, e52680. [Google Scholar] [CrossRef]
- Barus, T.; Giovania, G.; Lay, B.W. Lactic Acid Bacteria from Tempeh and Their Ability to Acidify Soybeans in Tempeh Fermentation. Microbiol. Indones. 2020, 14, 149–155. [Google Scholar] [CrossRef]
- Garofalo, C.; Norici, A.; Mollo, L.; Osimani, A.; Aquilanti, L. Fermentation of Microalgal Biomass for Innovative Food Production. Microorganisms 2022, 10, 2069. [Google Scholar] [CrossRef]
- Augustin, M.A.; Hartley, C.J.; Maloney, G.; Tyndall, S. Innovation in Precision Fermentation for Food Ingredients. Crit. Rev. Food Sci. Nutr. 2023, 2023, 2166014. [Google Scholar] [CrossRef]
- Tarapata, J.; Smoczyński, M.; Maciejczyk, M.; Zulewska, J. Effect of Calcium Chloride Addition on Properties of Acid-Rennet Gels. Int. Dairy J. 2020, 106, 104707. [Google Scholar] [CrossRef]
- Grasso, N.; Roos, Y.H.; Crowley, S.V.; Arendt, E.K.; O’Mahony, J.A. Composition and Physicochemical Properties of Commercial Plant-Based Block-Style Products as Alternatives to Cheese. Future Foods 2021, 4, 100048. [Google Scholar] [CrossRef]
- Bergsma, J. Vegan Cheese Analogue. Patent WO2017150973A1, 1 March 2017. pp. 1–28. [Google Scholar]
- Wang, X.; He, Z.; Zeng, M.; Qin, F.; Adhikari, B.; Chen, J. Effects of the Size and Content of Protein Aggregates on the Rheological and Structural Properties of Soy Protein Isolate Emulsion Gels Induced by CaSO4. Food Chem. 2017, 221, 130–138. [Google Scholar] [CrossRef] [PubMed]
- Chen, M.; Lu, J.; Liu, F.; Nsor-Atindana, J.; Xu, F.; Goff, H.D.; Ma, J.; Zhong, F. Study on the Emulsifying Stability and Interfacial Adsorption of Pea Proteins. Food Hydrocoll. 2019, 88, 247–255. [Google Scholar] [CrossRef]
- Gonzalez Rodriguez, A. Vegetable-Based Cheese and Method of Making the Same. U.S. Patent 15/166,127, 26 May 2016. pp. 1–39. [Google Scholar]
- Janahar, J.J.; Balasubramaniam, V.M.; Jiménez-Flores, R.; Campanella, O.H.; Patel, B.; Ortega-Anaya, J. Impact of Ultra-Shear Technology on Quality Attributes of Model Dairy-Pea Protein Dispersions with Different Fat Levels. Curr. Res. Food Sci. 2023, 6, 100439. [Google Scholar] [CrossRef]
Disclaimer/Publisher’s Note: The statements, opinions and data contained in all publications are solely those of the individual author(s) and contributor(s) and not of MDPI and/or the editor(s). MDPI and/or the editor(s) disclaim responsibility for any injury to people or property resulting from any ideas, methods, instructions or products referred to in the content. |
© 2024 by the authors. Licensee MDPI, Basel, Switzerland. This article is an open access article distributed under the terms and conditions of the Creative Commons Attribution (CC BY) license (https://creativecommons.org/licenses/by/4.0/).






