Metal Ion-Induced Formation of Metallogels by Visible-Light-Responsive Phenylalanine-Functionalized Arylazopyrazole Ligands
Abstract
:1. Introduction
2. Materials and Methods
2.1. General Information
2.2. Spectroscopic Measurements
2.3. Experimental Procedure
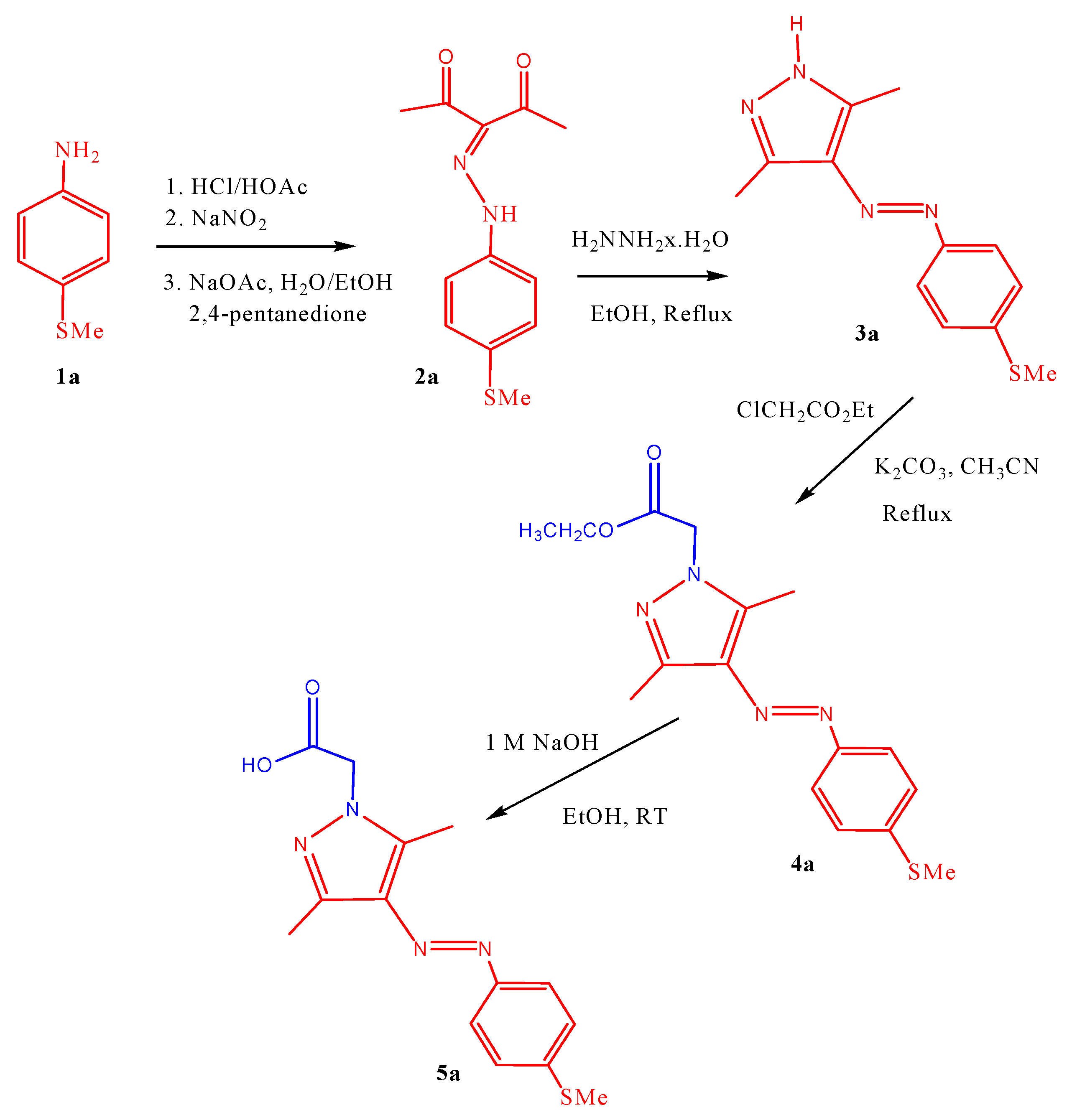
2.3.1. Synthesis of 2-(Methylthio)-3-(2-phenylhydrazono)pentane-2,4-dione (2a)
2.3.2. Synthesis of 2-(Methylthio)-3,5-dimethyl-(4-phenyldiazenyl)-1H-pyrazole (3a)
2.3.3. Synthesis of 2-(Methylthio)-3,5-dimethyl-(4-phenyldiazenyl)-N-CH2CO2CH2CH3 (4a)
2.3.4. Synthesis of-2-(Methylthio)-3,5-dimethyl-(4-phenyldiazenyl)-N-CH2CO2H (5a)
2.3.5. Synthesis of 2-(Methylthio)-3,5-dimethyl-(4-phenyldiazenyl)-N-methylenel-L-phenylalanine (4-MeS-AAP-NF; 6a)
3. Results and Discussion
3.1. Synthesis and Characterization
3.1.1. Synthesis of 4-MeS-AAP-CH2CO2H (5a)
3.1.2. Synthesis of 4-MeS-AAP-NF (6a)
3.1.3. Gelation Study
3.1.4. Photoisomerization Properties of 4-MeS-AAP-NF
3.1.5. Light-Responsive Behavior of the Metallogels
4. Scanning Electron Microscopy (SEM) Study
5. Rheological Study
6. Fourier Transform Infrared Spectroscopy (FT-IR) Studies
7. Mass Spectra (ESI-MS) Studies
8. Conclusions
Supplementary Materials
Author Contributions
Funding
Acknowledgments
Conflicts of Interest
References
- Nakajima, K.; Hauser, H.; Li, T.; Pfeifer, R. Exploiting the Dynamics of Soft Materials for Machine Learning. Soft Robot. 2018, 5, 339–347. [Google Scholar] [CrossRef]
- Loos, J.N.; Boott, C.E.; Hayward, D.W.; Hum, G.; MacLachlan, M.J. Exploring the Tunable Optical and Mechanical Properties of Multicomponent Low-Molecular-Weight Gelators. Langmuir 2021, 37, 105–114. [Google Scholar] [CrossRef]
- Basak, S.; Singh, I.; Kraatz, H.-B. Ion-Dependent Modulation of Self-Healing Hydrogels. ChemistrySelect 2017, 2, 451–457. [Google Scholar] [CrossRef]
- Biswas, P.; Ganguly, S.; Dastidar, P. Stimuli-Responsive Metallogels for Synthesizing Ag Nanoparticles and Sensing Hazardous Gase. Chem. Asian J. 2018, 13, 1941–1949. [Google Scholar] [CrossRef]
- Malviya, N.; Sonkar, C.; Ganguly, R.; Mukhopadhyay, S. Cobalt Metallogel Interface for Selectively Sensing l-Tryptophan among Essential Amino Acids. Inorg. Chem. 2019, 58, 7324–7334. [Google Scholar] [CrossRef]
- Canrinus, T.R.; Lee, W.W.Y.; Feringa, B.L.; Bell, S.E.; Browne, W.R. Supramolecular Low-Molecular-Weight Hydrogelator Stabilization of SERS-Active Aggregated Nanoparticles for Solution and Gas Sensing. Langmuir 2017, 33, 8805–8812. [Google Scholar] [CrossRef] [PubMed]
- Jiang, Z.; Tan, M.L.; Taheri, M.; Yan, Q.; Tsuzuki, T.; Gardiner, M.G.; Diggle, B.; Connal, L.A. Strong, Self-Healable, and Recyclable Visible-Light-Responsive Hydrogel Actuators. Angew. Chem. 2020, 132, 7115–7122. [Google Scholar] [CrossRef]
- Giammanco, G.E.; Sosnofsky, C.T.; Ostrowski, A.D. Light-Responsive Iron(III)-Polysaccharide Coordination Hydrogels Controlled Delivery. ACS Appl. Mater. Interfaces 2015, 7, 3068–3076. [Google Scholar] [CrossRef]
- Archer, J.; Pianowski, Z.L.; Karcher, J.; Schneider, K. Photoresponsive self-healing supramolecular hydrogels for light-induced release of DNA and doxorubicin. Chem. Commun. 2016, 52, 3143–3146. [Google Scholar] [CrossRef]
- Tao, M.; Xu, K.; He, S.; Li, H.; Zhang, L.; Luo, X.; Zhong, W. Zin-ion-Mediated Self-Assembly of Forky Peptides for Prostate Cancer-Specific Drug Delivery. Chem. Commun. 2018, 54, 4673–4676. [Google Scholar] [CrossRef] [PubMed]
- Zhang, J.; Liu, S.; Li, H.; Tian, X.; Li, X. Tryptophan-Based Self-Assembling Peptides with Bacterial Flocculation and Antimicrobial Properties. Langmuir 2020, 36, 11316–11323. [Google Scholar] [CrossRef]
- Das, T.; Häring, M.; Haldar, D.; Díaz, D.D. Phenylalanine and derivatives as versatile low-molecular-weight gelators: Design, structure and tailored function. Biomater. Sci. 2018, 6, 38–59. [Google Scholar] [CrossRef] [PubMed]
- Shao, T.; Falcone, N.; Kraatz, H.-B. Supramolecular Peptide Gels: Influencing Properties by Metal Ion Coordination and Their Wide-Ranging Applications. ACS Omega 2020, 5, 1312–1317. [Google Scholar] [CrossRef] [PubMed]
- Ghrayeb, M.; Chai, L. Demonstrating Principles Aspects of Peptide-and Protein-Based Hydrogels Using Metallogels Examples. Isr. J. Chem. 2022, 62, e202200011. [Google Scholar] [CrossRef]
- Sallee, A.; Ghebreyessus, K. Photoresponsive Zn2+-specific metallohydrogels coassembled from imidazole containing phenylalanine and arylazopyrazole derivatives. Dalton Trans. 2020, 49, 10441–10451. [Google Scholar] [CrossRef]
- Li, Y.; Wei, C.-W.; Wang, X.-J.; Gao, S.-Q.; Lin, Y.-W. Amino Acid Derivative-based Ln-Metallohydrogels with Multi-Stimuli-Responsiveness and Applications. Mol. Biomol. Spectrosc. 2022, 271, 120901. [Google Scholar] [CrossRef]
- Li, J.; Li, W.; Xia, D.; Xiang, C.; Chen, Y.; Li, G. Dynamic Coordination of Natural Amino Acids-Lanthanides to Control Reversible Luminescent Switching of Hybrid Hydrogels and Anti-Counterfeiting. Dye. Pigm. 2019, 166, 375–380. [Google Scholar] [CrossRef]
- Gayen, K.; Basu, K.; Bairagi, D.; Castelletto, V.; Hamley, I.W.; Banerjee, A. Amino-Acid-Based Metallo-Hydrogel That Acts Like an Esterase. ACS Appl. Bio Mater. 2018, 1, 1717–1724. [Google Scholar] [CrossRef]
- Liu, Z.; Zhao, X.; Chu, Q.; Feng, Y. Recent Advances in Stimuli-Responsive Metallogels. Molecules 2023, 28, 2274. [Google Scholar] [CrossRef]
- Basak, S.; Nanda, J.; Banerjee, A. Multi-stimuli Responsive Self-healing Metallo-Hydrogels: Tuning of the Gel Recovery Property. Chem. Commun. 2014, 50, 2356–2359. [Google Scholar] [CrossRef]
- de Luna, M.S.; Marturano, V.; Manganelli, M.; Santillo, C.; Ambrogi, V.; Filippone, G.; Cerruti, P. Light-responsive and self-healing behavior of azobenzene-based supramolecular hydrogels. J. Colloid Sci. 2020, 568, 16–24. [Google Scholar] [CrossRef] [PubMed]
- Bindu, H.; Palanisamy, A. Polyethylene-Glycol-Based Thermoreversible Biscarbamate Hydrogels and Metallogels Synthesized through Non-Isocyanate Route. ChemistrySelect 2019, 4, 11052–11060. [Google Scholar] [CrossRef]
- Dawn, A.; Pajoubpong, J.; Mesmer, A.; Mirzamani, M.; He, L.; Kumari, H. Manipulating Assemblies in Metallosupramolecular Gels, Driven by Isomeric Ligands, Metal Coordination, and Adaptive Binary Gelator Systems. Langmuir 2022, 38, 1705–1715. [Google Scholar] [CrossRef] [PubMed]
- Xiong, W.; Zhou, H.; Zhang, C.; Lu, H. An Amino Acid-Based Gelator for Injectable and Multi-Responsive Hydrogel. Chin. Chem. Lett. 2017, 28, 2125–2128. [Google Scholar] [CrossRef]
- Weston, C.E.; Richardson, R.D.; Haycock, P.R.; White, A.J.P.; Fuchter, M.J. Arylazopyrazoles: Azoheteroarene Photoswitches Offering Quantitative Isomerization and Long Thermal Half-Lives. J. Am. Chem. Soc. 2014, 136, 11878–11881. [Google Scholar] [CrossRef]
- Gibson, R.S.L.; Calbo, J.; Fuchter, M.J. Chemical Z-E isomer switching of arylazopyrazols using acid. ChemPhotoChem 2019, 3, 372–377. [Google Scholar] [CrossRef]
- Chu, C.-W.; Stricker, L.; Kirse, T.M.; Hayduk, M.; Ravoo, B.J. Light-responsive arylazopyrazolegelator: From organic to aqueous media and from supramolecular to dynamic covalent chemistry. Chem. Eur. J. 2019, 25, 6131–6140. [Google Scholar] [CrossRef]
- Bhunia, S.; Dolai, A.; Samanta, S. c. Chem. Commun. 2020, 56, 10247–10250. [Google Scholar] [CrossRef]
- Bhunia, S.; Dolai, A.; Bera, S.; Samanta, S. Near-Complete Bidirectional Photoisomerization of para-Dialkylamino-Substituted Arylazopyrazoles under Violet and Green or Red Lights. J. Org. Chem. 2022, 87, 4449–4454. [Google Scholar] [CrossRef]
- Chu, C.-W.; Ravoo, B.J. Hierarchical supramolecular hydrogels: Self-assembly by peptides and photo-controlled release via host-guest interaction. Chem. Commun. 2017, 53, 12450–12453. [Google Scholar] [CrossRef]
- Schnurbus, M.; Stricker, L.; Bart Jan Ravoo, B.J.; Braunschweig, B. Smart Air−Water Interfaces with Arylazopyrazole Surfactants and Their Role in Photoresponsive Aqueous Foam. Langmuir 2018, 34, 6028–6035. [Google Scholar] [CrossRef] [PubMed]
- Lamping, S.; Stricker, L.; Bart Jan Ravoo, B.J. Responsive surface adhesion based on host–guest interaction of polymer brushes with cyclodextrins and arylazopyrazoles. Polym. Chem. 2019, 10, 683–690. [Google Scholar] [CrossRef]
- Adam, V.; Prusty, D.K.; Centola, M.; Škugor, M.; Hannam, J.S.; Valero, J.; Bernhard Klockner, B.; Famulok, M. Expanding the Toolbox of Photoswitches for DNA Nanotechnology Using Arylazopyrazoles. Chem. Eur. J. 2018, 24, 1062–1066. [Google Scholar] [CrossRef] [PubMed]
- Ghebreyessus, K.; Cooper, S.M., Jr. Photoswitchable Arylazopyrazole-Based Ruthenium(II)-Arene Complexes. Organometallics 2017, 36, 3360–3370. [Google Scholar] [CrossRef]
- Kumar, N.; Masanori, J.; Wada, F.A. Polarity Controlled Reaction Path and Kinetics of Thermal Cis-to-Trans Isomerization of 4-Aminoazobenzene. J. Phys. Chem. B 2014, 118, 1891–1899. [Google Scholar] [CrossRef]
- Peng, S.; Guo, Q.; Hartley, P.G.; Hughes, T.C. Azobenzene Moiety Variation Directing Self-Assembly and Photoresponsive Behavior of Azo-Surfactants. J. Mater. Chem. C 2014, 2, 8303–8312. [Google Scholar] [CrossRef]
- Angelini, G.; Canilho, N.; Emo, M.; Kingsley, M.; Gasbarri, C. Role of Solvent and Effect of Substituent on Azobenzene Isomerization by Using Room-Temperature Ionic Liquids as Reaction Media. J. Org. Chem. 2015, 80, 7430–7434. [Google Scholar] [CrossRef]
- Simon, T.; Wu, C.-S.; Liang, J.-C.; Cheng, C.; Ko, F.-H. Facile Synthesis of a Biocompatible Silver Nanoparticle Derived Tripeptide Supramolecular Hydrogel for Antibacterial Would Dressing. New J. Chem. 2016, 40, 2036–2045. [Google Scholar] [CrossRef]
- Shriver, D.F.; Atkins, P.; Langford, C.H. Inorganic Chemistry, 2nd ed.; W. H. Freeman and Co.: New York, NY, USA, 1997. [Google Scholar]
- Stendahl, J.C.; Rao, M.S.; Guler, M.O.; Stupp, S.I. Intermolecular Forces in the Self-Assembly of Peptide Amphiphile Nanofibers. Adv. Funct. Mater. 2006, 16, 499–508. [Google Scholar] [CrossRef]
- Ray, S.; Das, A.K.; Banerjee, A. pH-Responsive, Bolaamphiphile-Based Smart Metallo-Hydrogels as Potential Dye-Adsorbing Agents, Water Purifier, and Vitamin B12 Carrier. Chem. Mater. 2007, 19, 1633–1639. [Google Scholar] [CrossRef]
- Wei, C.W.; Wang, X.J.; Gao, S.Q.; Wen, G.B.; Lin, Y.W. A Phenylalanine Derivative Containing a 4-Pyridine Group Can Construct Both Single Crystals and a Selective Cu-Ag Bimetallohydrogel. Eur. J. Inorg. Chem. 2019, 2019, 1349–1353. [Google Scholar] [CrossRef]
- Wei, C.W.; Wang, X.J.; Gao, S.Q.; Wen, G.B.; Lin, Y.W. A La 3+-selective metallohydrogel with a facile gelator of a phenylalanine derivative containing an imidazole group. Dalton Trans. 2018, 47, 13788–13791. [Google Scholar] [CrossRef] [PubMed]









Disclaimer/Publisher’s Note: The statements, opinions and data contained in all publications are solely those of the individual author(s) and contributor(s) and not of MDPI and/or the editor(s). MDPI and/or the editor(s) disclaim responsibility for any injury to people or property resulting from any ideas, methods, instructions or products referred to in the content. |
© 2023 by the authors. Licensee MDPI, Basel, Switzerland. This article is an open access article distributed under the terms and conditions of the Creative Commons Attribution (CC BY) license (https://creativecommons.org/licenses/by/4.0/).
Share and Cite
Browning, M.; Jefferson, A.; Geter, J.; Ghebreyessus, K. Metal Ion-Induced Formation of Metallogels by Visible-Light-Responsive Phenylalanine-Functionalized Arylazopyrazole Ligands. Photochem 2023, 3, 427-441. https://doi.org/10.3390/photochem3040026
Browning M, Jefferson A, Geter J, Ghebreyessus K. Metal Ion-Induced Formation of Metallogels by Visible-Light-Responsive Phenylalanine-Functionalized Arylazopyrazole Ligands. Photochem. 2023; 3(4):427-441. https://doi.org/10.3390/photochem3040026
Chicago/Turabian StyleBrowning, Mikayla, Alexandra Jefferson, Jazz Geter, and Kesete Ghebreyessus. 2023. "Metal Ion-Induced Formation of Metallogels by Visible-Light-Responsive Phenylalanine-Functionalized Arylazopyrazole Ligands" Photochem 3, no. 4: 427-441. https://doi.org/10.3390/photochem3040026
APA StyleBrowning, M., Jefferson, A., Geter, J., & Ghebreyessus, K. (2023). Metal Ion-Induced Formation of Metallogels by Visible-Light-Responsive Phenylalanine-Functionalized Arylazopyrazole Ligands. Photochem, 3(4), 427-441. https://doi.org/10.3390/photochem3040026

