Real-Time Jaundice Detection in Neonates Based on Machine Learning Models
Abstract
1. Introduction
2. Materials and Methods
2.1. Data Collection
2.2. Experimental Setup
2.3. System Design
2.3.1. Skin Detection and ROI Selection
2.3.2. Image Analysis
2.3.3. Matlab App Designer
2.4. Implementation of Machine Learning Models as Classifiers
2.4.1. Support Vector Machine (SVM)
2.4.2. k-Nearest Neighbor (k-NN)
2.4.3. Random Forest (RF)
2.4.4. Extreme Gradient Boost (XGBoost)
2.5. Evaluation Metrics
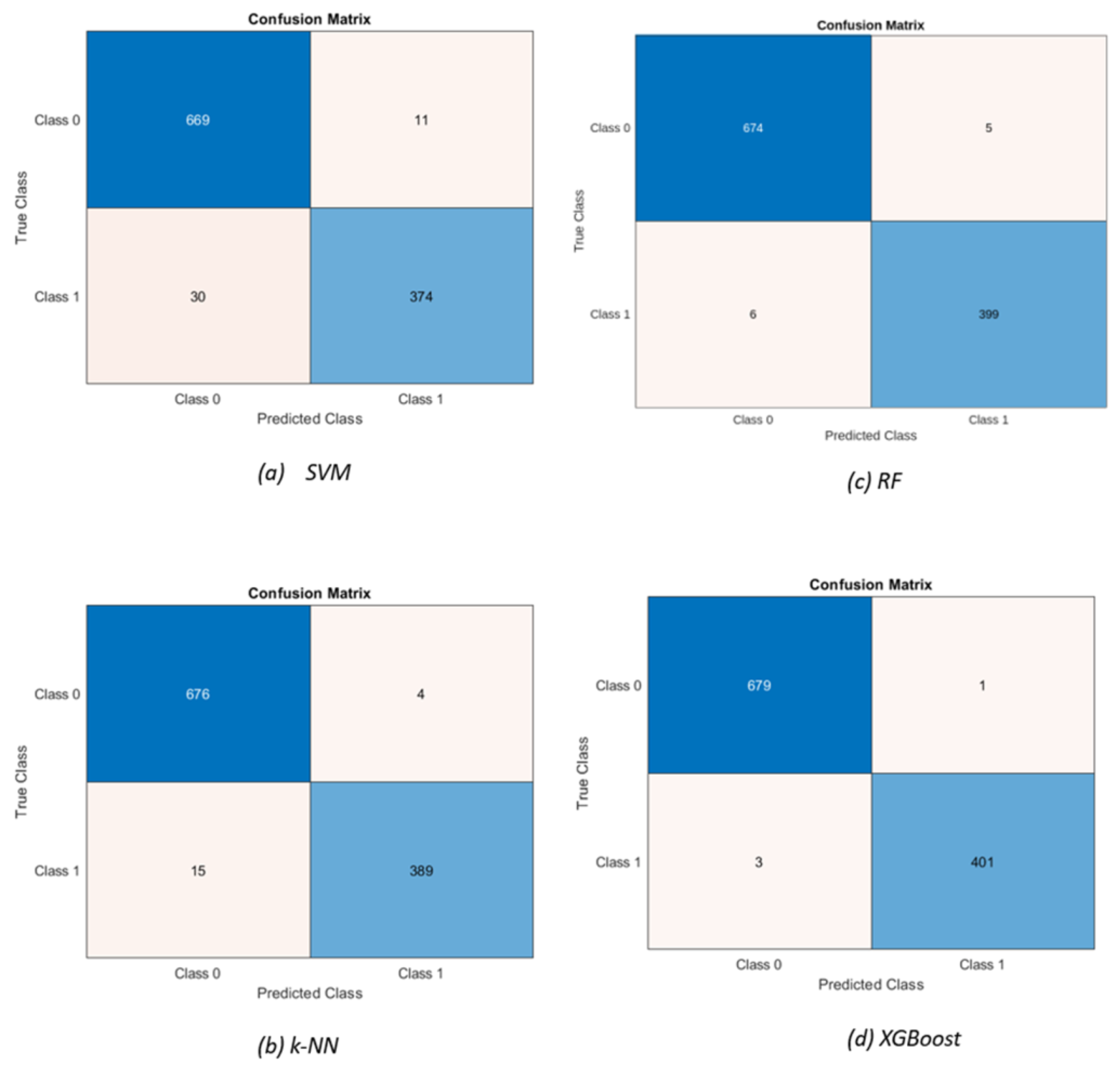
3. Experimental Results and Discussion
4. Conclusions
Author Contributions
Funding
Institutional Review Board Statement
Informed Consent Statement
Data Availability Statement
Acknowledgments
Conflicts of Interest
References
- Dzulkifli, F.A.; Mashor, M.Y.; Khalid, K. Methods for determining bilirubin level in neonatal jaundice screening and monitoring: A literature review. J. Eng. Res. Educ. 2018, 10, 1–10. [Google Scholar]
- Brits, H.; Adendorff, J.; Huisamen, D.; Beukes, D.; Botha, K.; Herbst, H.; Joubert, G. The prevalence of neonatal jaundice and risk factors in healthy term neonates at National District Hospital in Bloemfontein. Afr. J. Prim. Health Care Fam. Med. 2018, 10, 1–6. [Google Scholar] [CrossRef]
- Bhutani, V.; Zipursky, A.; Blencowe, H.; Khanna, R.; Sgro, M.; Ebbesen, F.; Bell, J.; Mori, R.; Slusher, T.; Fahmy, N.; et al. Neonatal hyperbilirubinemia and rhesus disease of the newborn: Incidence and impairment estimates for 2010 at regional and global levels. Pediatr. Res. 2013, 74, 86–100. [Google Scholar] [CrossRef]
- Hyperbilirubinemia, S.o. Management of hyperbilirubinemia in the newborn infant 35 or more weeks of gestation. Pediatrics 2004, 114, 297–316. [Google Scholar] [CrossRef]
- Mansouri, M.; Mahmoodnejad, A.; Taghizadeh Sarvestani, R.; Gharibi, F. A comparison between transcutaneous bilirubin (TcB) and total serum bilirubin (TSB) measurements in term neonates. Int. J. Pediatr. 2015, 3, 633–641. [Google Scholar]
- Alsaedi, S.A. Transcutaneous bilirubin measurements can be used to measure bilirubin levels during phototherapy. Int. J. Pediatr. 2018, 2018, 4856390. [Google Scholar] [CrossRef]
- Aydın, M.; Hardalaç, F.; Ural, B.; Karap, S. Neonatal jaundice detection system. J. Med. Syst. 2016, 40, 1–11. [Google Scholar] [CrossRef]
- Munkholm, S.B.; Krøgholt, T.; Ebbesen, F.; Szecsi, P.B.; Kristensen, S.R. The smartphone camera as a potential method for transcutaneous bilirubin measurement. PLoS ONE 2018, 13, e0197938. [Google Scholar] [CrossRef]
- Kawano, S.; Zin, T.T.; Kodama, Y. A Study on Non-contact and Non-invasive Neonatal Jaundice Detection and Bilirubin Value Prediction. In Proceedings of the 2018 IEEE 7th Global Conference on Consumer Electronics (GCCE), Nara, Japan, 9–12 October 2018; pp. 401–402. [Google Scholar]
- Juliastuti, E.; Nadhira, V.; Satwika, Y.W.; Aziz, N.A.; Zahra, N. Risk zone estimation of newborn jaundice based on skin color image analysis. In Proceedings of the 2019 6th International Conference on Instrumentation, Control, and Automation (ICA), Bandung, Indonesia, 31 July–2 August 2019; pp. 176–181. [Google Scholar]
- Hashim, W.; Al-Naji, A.; Al-Rayahi, I.A.; Oudah, M. Computer vision for jaundice detection in neonates using graphic user interface. In Proceedings of the IOP Conference Series: Materials Science and Engineering, Sanya, China, 12–14 November 2021; p. 012076. [Google Scholar]
- Hashim, W.; Al-Naji, A.; Al-Rayahi, I.A.; Alkhaled, M.; Chahl, J. Neonatal jaundice detection using a computer vision system. Designs 2021, 5, 63. [Google Scholar] [CrossRef]
- Anggraeni, M.D.; Fatoni, A.; Rahmawati, E.; Nartiningsih, I. Estimation of Neonatal Jaundice from the Chest Images Captured with a Smartphone. In Proceedings of the Soedirman International Conference on Mathematics and Applied Sciences (SICOMAS 2021), Purwokerto, Indonesia, 20–21 October 2022; pp. 23–26. [Google Scholar]
- Anggraeni, M.D.; Fatoni, A.; Rahmawati, E. Non-invasive neonatal jaundice determination using smartphone camera. In Proceedings of the AIP Conference Proceedings, Purwokerto, Indonesia, 9 September 2021. [Google Scholar]
- Sreedha, B.; Nair, P.R.; Maity, R. Non-invasive early diagnosis of jaundice with computer vision. Procedia Comput. Sci. 2023, 218, 1321–1334. [Google Scholar] [CrossRef]
- Prajapati, J.; Das, D.; Venkanna, U.; Mahapatra, R.; Wasnik, P.N. jScan: Smartphone-assisted Bilirubin Quantification and Jaundice Screening. IEEE Sens. J. 2023, 23, 26654–26661. [Google Scholar] [CrossRef]
- Abdulrazzak, A.Y.; Mohammed, S.L.; Al-Naji, A.; Chahl, J. Computer-Aid System for Automated Jaundice Detection. J. Tech. 2023, 5, 8–15. [Google Scholar] [CrossRef]
- Abdulrazzak, A.Y.; Mohammed, S.L.; Al-Naji, A. NJN: A Dataset for the Normal and Jaundiced Newborns. BioMedInformatics 2023, 3, 543–552. [Google Scholar] [CrossRef]
- Kolkur, S.; Kalbande, D.; Shimpi, P.; Bapat, C.; Jatakia, J. Human skin detection using RGB, HSV and YCbCr color models. arXiv 2017, arXiv:1708.02694. [Google Scholar]
- Bangare, S.L.; Dubal, A.; Bangare, P.S.; Patil, S. Reviewing Otsu’s method for image thresholding. Int. J. Appl. Eng. Res. 2015, 10, 21777–21783. [Google Scholar] [CrossRef]
- Adib, M.A.H.M.; Rahim, M.H.A.; Sahat, I.M.; Hasni, N.H.M. Pediatrics Technology Applications: Enhance the Bilirubin Jaundice (BiliDice) Device for Neonates Using Color Sensor. In Proceedings of the Recent Trends in Mechatronics Towards Industry 4.0: Selected Articles from iM3F 2020, Pekan, Malaysia, 6 August 2020; pp. 839–847. [Google Scholar]
- Chowdhary, A.K.; Dutta, S.; Ghosh, R. Neonatal Jaundice Detection using Colour Detection Method. Int. Adv. Res. J. Sci. Eng. Technol. 2017, 46, 197–203. [Google Scholar]
- Cortes, C.; Vapnik, V. Support-vector networks. Mach. Learn. 1995, 20, 273–297. [Google Scholar] [CrossRef]
- Harirchian, E.; Kumari, V.; Jadhav, K.; Raj Das, R.; Rasulzade, S.; Lahmer, T. A machine learning framework for assessing seismic hazard safety of reinforced concrete buildings. Appl. Sci. 2020, 10, 7153. [Google Scholar] [CrossRef]
- Guo, G.; Wang, H.; Bell, D.; Bi, Y.; Greer, K. KNN model-based approach in classification. In Proceedings of the On The Move to Meaningful Internet Systems 2003: CoopIS, DOA, and ODBASE: OTM Confederated International Conferences, CoopIS, DOA, and ODBASE 2003, Catania, Sicily, Italy, 3–7 November 2003; pp. 986–996. [Google Scholar]
- Hasan, M.J.; Kim, J.-M. A hybrid feature pool-based emotional stress state detection algorithm using EEG signals. Brain Sci. 2019, 9, 376. [Google Scholar] [CrossRef] [PubMed]
- Nguyen, H.; Bui, X.-N.; Bui, H.-B.; Cuong, D.T. Developing an XGBoost model to predict blast-induced peak particle velocity in an open-pit mine: A case study. Acta Geophys. 2019, 67, 477–490. [Google Scholar] [CrossRef]
- Breiman, L. Random forests. Mach. Learn. 2001, 45, 5–32. [Google Scholar] [CrossRef]
- Breiman, L. Bagging predictors. Mach. Learn. 1996, 24, 123–140. [Google Scholar] [CrossRef]
- Kabiraj, S.; Raihan, M.; Alvi, N.; Afrin, M.; Akter, L.; Sohagi, S.A.; Podder, E. Breast cancer risk prediction using XGBoost and random forest algorithm. In Proceedings of the 2020 11th International Conference on Computing, Communication and Networking Technologies (ICCCNT), Kharagpur, India, 1–3 July 2020; pp. 1–4. [Google Scholar]
- Ramraj, S.; Uzir, N.; Sunil, R.; Banerjee, S. Experimenting XGBoost algorithm for prediction and classification of different datasets. Int. J. Control. Theory Appl. 2016, 9, 651–662. [Google Scholar]
- Kemper, A.R.; Newman, T.B.; Slaughter, J.L.; Maisels, M.J.; Watchko, J.F.; Downs, S.M.; Grout, R.W.; Bundy, D.G.; Stark, A.R.; Bogen, D.L. Clinical practice guideline revision: Management of hyperbilirubinemia in the newborn infant 35 or more weeks of gestation. Pediatrics 2022, 150, e2022058859. [Google Scholar] [CrossRef]
- Joshi, G.; Jain, A.; Araveeti, S.R.; Adhikari, S.; Garg, H.; Bhandari, M. FDA approved Artificial Intelligence and Machine Learning (AI/ML)-enabled medical devices: An updated landscape. Electronics 2024, 13, 498. [Google Scholar] [CrossRef]









| Technique | Accuracy | Precision | Recall | F1 Score | MCC | 
|---|---|---|---|---|---|
| SVM | 96.22% | 95.74% | 98.38% | 97.03% | 0.9189 | 
| k-NN | 98.25% | 97.84% | 99.41% | 98.61% | 0.9625 | 
| RF | 98.99% | 99.12% | 99.26% | 99.19% | 0.9759 | 
| XGBoost | 99.63% | 99.57% | 99.85% | 99.71% | 0.9921 | 
| Patient | Age in Days | TSB mg/dL | Diagnosis | 
|---|---|---|---|
| 1 | 2 | 13.3 | Jaundiced | 
| 2 | 6 | 13.7 | Normal | 
| 3 | 5 | 19.2 | Jaundiced | 
| 4 | 1 | 4.9 | Normal | 
| 5 | 2 | 5.4 | Normal | 
| 6 | 3 | 14.8 | Jaundiced | 
| 7 | 6 | 13.2 | Normal | 
| 8 | 6 | 9.4 | Normal | 
| 9 | 2 | 9.9 | Jaundiced | 
| 10 | 5 | 13.4 | Normal | 
| Disclaimer/Publisher’s Note: The statements, opinions and data contained in all publications are solely those of the individual author(s) and contributor(s) and not of MDPI and/or the editor(s). MDPI and/or the editor(s) disclaim responsibility for any injury to people or property resulting from any ideas, methods, instructions or products referred to in the content. | 
© 2024 by the authors. Licensee MDPI, Basel, Switzerland. This article is an open access article distributed under the terms and conditions of the Creative Commons Attribution (CC BY) license (https://creativecommons.org/licenses/by/4.0/).
Share and Cite
Abdulrazzak, A.Y.; Mohammed, S.L.; Al-Naji, A.; Chahl, J. Real-Time Jaundice Detection in Neonates Based on Machine Learning Models. BioMedInformatics 2024, 4, 623-637. https://doi.org/10.3390/biomedinformatics4010034
Abdulrazzak AY, Mohammed SL, Al-Naji A, Chahl J. Real-Time Jaundice Detection in Neonates Based on Machine Learning Models. BioMedInformatics. 2024; 4(1):623-637. https://doi.org/10.3390/biomedinformatics4010034
Chicago/Turabian StyleAbdulrazzak, Ahmad Yaseen, Saleem Latif Mohammed, Ali Al-Naji, and Javaan Chahl. 2024. "Real-Time Jaundice Detection in Neonates Based on Machine Learning Models" BioMedInformatics 4, no. 1: 623-637. https://doi.org/10.3390/biomedinformatics4010034
APA StyleAbdulrazzak, A. Y., Mohammed, S. L., Al-Naji, A., & Chahl, J. (2024). Real-Time Jaundice Detection in Neonates Based on Machine Learning Models. BioMedInformatics, 4(1), 623-637. https://doi.org/10.3390/biomedinformatics4010034
 
         
                                                




 
       