Binding and Recombination Energies of Quasi-One-Dimensional Excitonic Complexes in Ellipsoidal Quantum Dot
Abstract
:1. Introduction
2. Materials and Methods
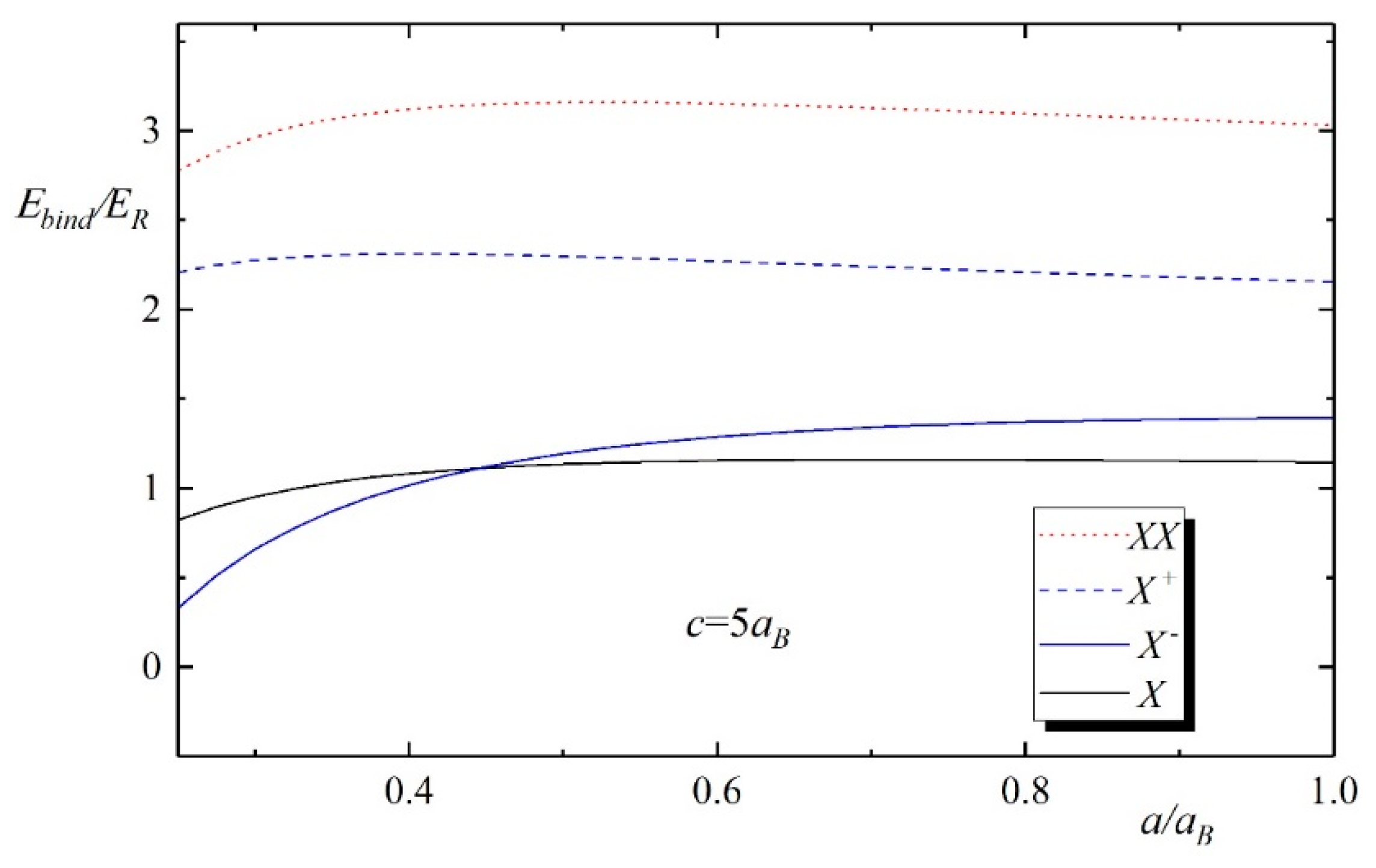
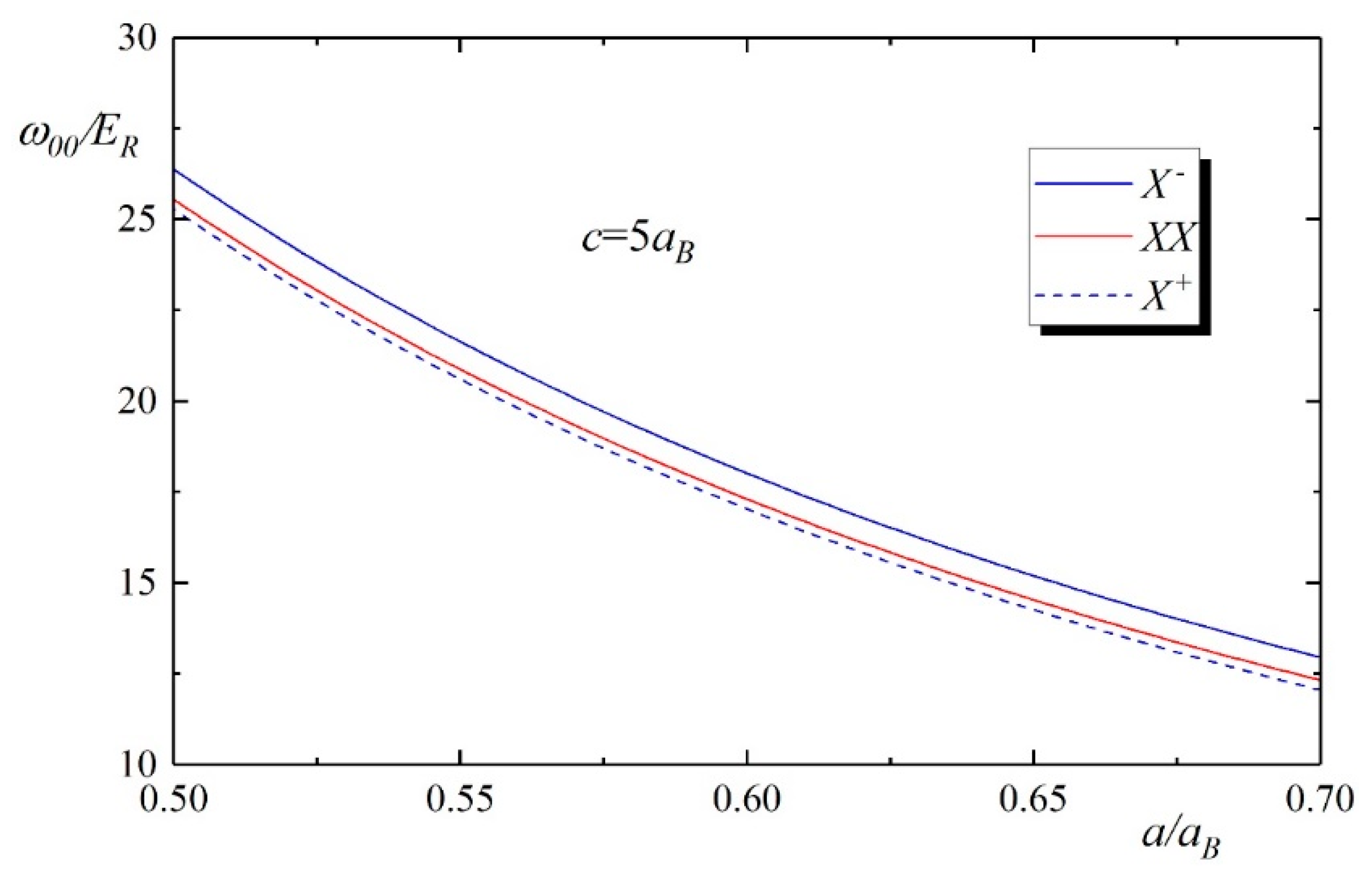
3. Results
4. Conclusions
Funding
Institutional Review Board Statement
Informed Consent Statement
Acknowledgments
Conflicts of Interest
References
- Hu, Y.Z.; Koch, S.W.; Lindberg, M.; Peyghambarian, N.; Pollock, E.L.; Abraham, F.F. Biexcitons in semiconductor quantum dots. Phys. Rev. Lett. 1990, 64, 1805. [Google Scholar] [CrossRef] [PubMed]
- Patton, B.; Langbein, W.; Woggon, U. Trion, biexciton, and exciton dynamics in single self-assembled CdSe quantum dots. Phys. Rev. B 2003, 68, 125316. [Google Scholar] [CrossRef]
- Bacher, G.; Weigand, R.; Seufert, J.; Kulakovskii, V.D.; Gippius, N.A.; Forchel, A.; Leonardi, K.; Hommel, D. Biexciton versus exciton lifetime in a single semiconductor quantum dot. Phys. Rev. Lett. 1999, 83, 4417. [Google Scholar] [CrossRef] [Green Version]
- Peter, E.; Hours, J.; Senellart, P.; Vasanelli, A.; Cavanna, A.; Bloch, J.; Gérard, J.M. Phonon sidebands in exciton and biexciton emission from single GaAs quantum dots. Phys. Rev. B 2004, 69, 041307. [Google Scholar] [CrossRef]
- Besombes, L.; Kheng, K.; Martrou, D. Exciton and biexciton fine structure in single elongated islands grown on a vicinal surface. Phys. Rev. Lett. 2000, 85, 425. [Google Scholar] [CrossRef]
- Makarov, N.S.; Guo, S.; Isaienko, O.; Liu, W.; Robel, I.; Klimov, V.I. Spectral and dynamical properties of single excitons, biexcitons, and trions in cesium–lead-halide perovskite quantum dots. Nano Lett. 2016, 16, 2349–2362. [Google Scholar] [CrossRef]
- Nasilowski, M.; Spinicelli, P.; Patriarche, G.; Dubertret, B. Gradient CdSe/CdS quantum dots with room temperature biexciton unity quantum yield. Nano Lett. 2015, 15, 3953–3958. [Google Scholar] [CrossRef]
- Park, Y.S.; Bae, W.K.; Pietryga, J.M.; Klimov, V.I. Auger recombination of biexcitons and negative and positive trions in individual quantum dots. ACS Nano 2014, 8, 7288–7296. [Google Scholar] [CrossRef]
- Ding, F.; Singh, R.; Plumhof, F.J.; Zander, T.; Křápek, V.; Chen, Y.H.; Benyoucef, M.; Zwiller, V.; Dörr, K.; Bester, G.; et al. Tuning the exciton binding energies in single self-assembled InGaAs/GaAs quantum dots by piezoelectric-induced biaxial stress. Phys. Rev. Lett. 2010, 104, 067405. [Google Scholar] [CrossRef] [Green Version]
- Boero, M.; Rorison, J.M.; Duggan, G.; Inkson, J.C. A detailed theory of excitons in quantum dots. Surf. Sci. 1997, 377, 371–375. [Google Scholar] [CrossRef]
- Li, X.; Wu, Y.; Steel, D.; Gammon, D.; Stievater, T.H.; Katzer, D.S.; Park, D.; Piermarocchi, C.; Sham, L.J. An all-optical quantum gate in a semiconductor quantum dot. Science 2003, 301, 809–811. [Google Scholar] [CrossRef] [PubMed] [Green Version]
- Biolatti, E.; Iotti, R.C.; Zanardi, P.; Rossi, F. Quantum information processing with semiconductor macroatoms. Phys. Rev. Lett. 2000, 85, 5647. [Google Scholar] [CrossRef] [PubMed] [Green Version]
- Holovatsky, V.A.; Holovatskyi, I.V.; Yakhnevych, M.Y. Joint effect of electric and magnetic field on electron energy spectrum in spherical nanostructure ZnS/CdSe/ZnS. Phys. E Low Dimens. Syst. Nanostruct. 2018, 104, 58–63. [Google Scholar] [CrossRef]
- Zeng, Z.; Garoufalis, C.S.; Baskoutas, S. Combination effects of tilted electric and magnetic fields on donor binding energy in a GaAs/AlGaAs cylindrical quantum dot. J. Phys. D Appl. Phys. 2012, 45, 235102. [Google Scholar] [CrossRef]
- Londoño, M.A.; Restrepo, R.L.; Ojeda, J.H.; Vinh Phuc, H.; Mora-Ramos, M.E.; Kasapoglu, E.S.İ.N.; Morales, A.L.; Duque, C.A. Donor impurity-related optical absorption in gaas elliptic-shaped quantum dots. J. Nanomater. 2017, 2017, 5970540. [Google Scholar] [CrossRef] [Green Version]
- Baskoutas, S.; Terzis, A.F. Biexciton luminescence in InAs nanorods. J. Appl. Phys. 2005, 98, 044309. [Google Scholar] [CrossRef]
- Xie, W. Exciton states in a disk-like quantum dot. Phys. B Condens. Matter 2000, 279, 253–256. [Google Scholar] [CrossRef]
- Baghdasaryan, D.A.; Hayrapetyan, D.B.; Kazaryan, E.M.; Sarkisyan, H.A. Thermal and magnetic properties of electron gas in toroidal quantum dot. Phys. E Low-Dimens. Syst. Nanostruct. 2018, 101, 1–4. [Google Scholar] [CrossRef]
- Zeng, Z.; Garoufalis, C.S.; Baskoutas, S.; Bester, G. Electronic and optical properties of ZnO quantum dots under hydrostatic pressure. Phys. Rev. B 2013, 87, 125302. [Google Scholar] [CrossRef]
- Lampert, M.A. Mobile and immobile effective-mass-particle complexes in nonmetallic solids. Phys. Rev. Lett. 1958, 1, 450. [Google Scholar] [CrossRef]
- Moskalenko, S.A.E.; Moskalenko, S.A.; Snoke, D.W. Bose-Einstein Condensation of Excitons and Biexcitons: And Coherent Nonlinear Optics with Excitons; Cambridge University Press: Cambridge, UK, 2000. [Google Scholar]
- Hasuo, M.; Nagasawa, N.; Itoh, T.; Mysyrowicz, A. Progress in the bose-einstein condensation of biexcitons in CuCl. Phys. Rev. Lett. 1993, 70, 1303. [Google Scholar] [CrossRef] [PubMed]
- Read, D.; Liew, T.C.H.; Rubo, Y.G.; Kavokin, A.V. Stochastic polarization formation in exciton-polariton bose-einstein condensates. Phys. Rev. B 2009, 80, 195309. [Google Scholar] [CrossRef] [Green Version]
- Kavokin, A.; Malpuech, G. Cavity Polaritons; Elsevier: Amsterdam, The Netherlands, 2003. [Google Scholar]
- Hayrapetyan, D.B.; Kazaryan, E.M.; Sarkisyan, H.A. Implementation of Kohn’s theorem for the ellipsoidal quantum dot in the presence of external magnetic field. Phys. E Low Dimens. Syst. Nanostruct. 2016, 75, 353–357. [Google Scholar] [CrossRef]
- Hayrapetyan, D.B.; Bleyan, Y.Y.; Baghdasaryan, D.A.; Sarkisyan, H.A.; Baskoutas, S.; Kazaryan, E.M. Biexciton, negative and positive trions in strongly oblate ellipsoidal quantum dot. Phys. E Low Dimens. Syst. Nanostruct. 2019, 105, 47–55. [Google Scholar] [CrossRef]
- Cantele, G.; Ninno, D.; Iadonisi, G. Confined states in ellipsoidal quantum dots. J. Phys. Condens. Matter 2000, 12, 9019. [Google Scholar] [CrossRef]
- Baghdasaryan, D.A.; Hayrapetyan, D.B.; Kazaryan, E.M. Oblate spheroidal quantum dot: Electronic states, direct interband light absorption and pressure dependence. Eur. Phys. J. B 2015, 88, 223. [Google Scholar] [CrossRef]
- Dujardin, F.; Feddi, E.; Assaid, E. Excitonic binding energy in prolate and oblate spheroidal quantum dots. Superlattices Microstruct. 2018, 114, 296–304. [Google Scholar] [CrossRef]
- Hayrapetyan, D.B. Direct interband light absorption in a strongly prolated ellipsoidal quantum dot. J. Contemp. Phys. 2007, 42, 292–297. [Google Scholar] [CrossRef]
- Takagahara, T. Biexciton states in semiconductor quantum dots and their nonlinear optical properties. Phys. Rev. B 1989, 39, 10206. [Google Scholar] [CrossRef]
- Szafran, B.; Stébé, B.; Adamowski, J.; Bednarek, S. Recombination energy for excitonic trions in quantum dots. J. Phys. Condens. Matter 2000, 12, 2453. [Google Scholar] [CrossRef]
- Szafran, B.; Stébé, B.; Adamowski, J.; Bednarek, S. Excitonic trions in single and double quantum dots. Phys. Rev. B 2002, 66, 165331. [Google Scholar] [CrossRef]
- Narvaez, G.A.; Bester, G.; Zunger, A. Excitons, biexcitons, and trions in self-assembled (In, Ga) As/GaAs quantum dots: Recombination energies, polarization, and radiative lifetimes versus dot height. Phys. Rev. B 2005, 72, 245318. [Google Scholar] [CrossRef] [Green Version]
- Fonoberov, V.A.; Balandin, A.A. Origin of ultraviolet photoluminescence in ZnO quantum dots: Confined excitons versus surface-bound impurity exciton complexes. Appl. Phys. Lett. 2004, 85, 5971–5973. [Google Scholar] [CrossRef]
- Sahin, M.; Koç, F. A model for the recombination and radiative lifetime of trions and biexcitons in spherically shaped semiconductor nanocrystals. Appl. Phys. Lett. 2013, 102, 183103. [Google Scholar] [CrossRef] [Green Version]




| Large Semiaxis | Small Semiaxis | Lifetime, ps | |||
|---|---|---|---|---|---|
| Exciton | Positive TRION | Negative TRION | Biexciton | ||
| 29.32 | 25.96 | 15.67 | 7.33 | ||
| 56.57 | 50.08 | 30.24 | 14.14 | ||
| 112.78 | 99.84 | 60.31 | 28.19 | ||
| 29.66 | 26.26 | 15.85 | 7.41 | ||
| 57.48 | 50.88 | 30.72 | 14.37 | ||
| 115.32 | 102.09 | 61.65 | 28.83 | ||
| 29.92 | 26.49 | 15.97 | 7.48 | ||
| 58.17 | 51.54 | 31.16 | 14.54 | ||
| 117.29 | 103.84 | 62.71 | 29.32 | ||
Publisher’s Note: MDPI stays neutral with regard to jurisdictional claims in published maps and institutional affiliations. |
© 2022 by the author. Licensee MDPI, Basel, Switzerland. This article is an open access article distributed under the terms and conditions of the Creative Commons Attribution (CC BY) license (https://creativecommons.org/licenses/by/4.0/).
Share and Cite
Hayrapetyan, D.B. Binding and Recombination Energies of Quasi-One-Dimensional Excitonic Complexes in Ellipsoidal Quantum Dot. Foundations 2022, 2, 219-227. https://doi.org/10.3390/foundations2010015
Hayrapetyan DB. Binding and Recombination Energies of Quasi-One-Dimensional Excitonic Complexes in Ellipsoidal Quantum Dot. Foundations. 2022; 2(1):219-227. https://doi.org/10.3390/foundations2010015
Chicago/Turabian StyleHayrapetyan, David B. 2022. "Binding and Recombination Energies of Quasi-One-Dimensional Excitonic Complexes in Ellipsoidal Quantum Dot" Foundations 2, no. 1: 219-227. https://doi.org/10.3390/foundations2010015
APA StyleHayrapetyan, D. B. (2022). Binding and Recombination Energies of Quasi-One-Dimensional Excitonic Complexes in Ellipsoidal Quantum Dot. Foundations, 2(1), 219-227. https://doi.org/10.3390/foundations2010015
