Abstract
Southern Portugal has high natural variability of Cynara cardunculus L. (Cc) at biochemical and morphological levels, creating a need for genetic diversity studies. Cc represents a natural source of sesquiterpene lactones (SL), particularly cynaropicrin. Previously, 175 wild Cc individuals (generation F0) from different geographical locations in the Alentejo region were identified, collected and chemically and genetically characterized. To improve the biotechnological benefits of the cardoon, a transcriptomic analysis based on the SL chemical profile is ongoing to select the best genotypes for cynaropicrin production. This knowledge is crucial for identifying molecular markers related to characteristics of interest for future cardoon breeding programs.
1. Introduction
Cynara cardunculus L. (Cc) (2n = 2x = 34) is a perennial herbaceous species belonging to the Asteraceae (Compositae) family that is well-adapted to the Mediterranean climate. It includes the artichoke (var. scolymus (L.) Fiori), the wild cardoon (var. sylvestris (Lamk) Fiori) and the cultivated cardoon (var. altilis DC) [1], each one having distinct biological characteristics.
A wide spectrum of potential applications for Cc have been described. Its lignocellulosic fraction has great potential as a solid biofuel [2]; it can also be used to produce biogas [3,4], and bioethanol [5,6]. Cc seed oil, because of its fatty acid composition, also shows considerable potential to produce biodiesel [2,7]. Cc stalks can be used to produce cellulose fibers [2,8,9]. The inflorescence pistils are a source of aspartic proteases, namely cardosines, used for cheesemaking [10]. Cc leaves are a valuable natural source of sesquiterpene lactones (SLs), in particular, cynaropicrin (Cyn), a secondary metabolite [11,12]. Cyn has huge biological potential capable of valorization within different industries, the most favorable and with the highest potential added value including the pharmaceutical and biotechnology industries [12,13,14,15,16].
Previous studies from our research group revealed wide variation in the biochemical and genetic profiles of Cc for 25 Cc F0 naturally growing populations obtained from the Alentejo region [13]. Cynaropicrin chemical variation within Cc plants belonging to the same, or different, geographic populations has not so far been investigated in consecutive years. The identification of the genetic markers associated with Cc secondary metabolites of industrial interest, such as Cyn, is of great importance for plant selection. Current next-generation sequencing technologies, and the release of the globe artichoke genome sequence [14], have created new possibilities for molecular investigation of Cyn biosynthetic pathways.
Our research group set up two Cynara cardunculus experimental fields (F1 generation with a total of 1061 individuals) with chemical and genetic characterization ongoing. It is our goal to identify and select high-added-value cardoon plants according to cynaropicrin production profiles over time, and to evaluate the differential expression of relevant transcripts involved in the Cyn biosynthetic pathways. A better understanding of the variety of genotypic groups is essential, not only to assist plant breeders in selecting plants for optimal production but also to provide a more rational basis for expanding the gene pool and identifying materials which may contain valuable alleles for Cc breeding.
2. Materials and Methods
2.1. F0 Populations and Individuals Collection
For a better understanding of Cyn variation across years, F0 (naturally occurring) populations (a pool of 7 individuals in a defined geographic area) and individual leaves, were collected in June 2016 and June 2017. The samples were air-dried at room temperature until dry and then ground using a domestic grinder (Moulinex, Normandy, France). Dried samples were stored prior to cynaropicrin extraction and quantification.
2.2. F1 Individuals Collection
Within the experimental fields set up (generation F1), 49 identified plants of Cc leaves were collected over four consecutive months (March, April, May and June 2020). The samples were air-dried at room temperature until dry and then ground with a domestic grinder (Moulinex).
2.3. Cynaropicrin Extraction and Quantification
Cynaropicrin extraction was performed according to previously described studies from our research group [15,16]. Cc leaf ethanolic extract cynaropicrin content was quantified using high performance liquid chromatography (HPLC) and the results were expressed in terms of mg/g dry weight (DW).
2.4. Transcriptome Analysis
Total RNA was extracted from the leaves of the 49 identified Cc genotypes (high (H) versus low (L) Cyn levels from the experimental fields (F1)). The concentration and integrity of RNA was evaluated by UV-vis spectrophotometry, agarose gel electrophoresis (2%) and using an Agilant BioAnalyzer. cDNA libraries were prepared for stranded paired-end sequencing through the Illumina platform and further bioinformatics analysis.
2.5. Statistical Analysis
The F0 generation data was analyzed using the PROC GLM option of SAS (SAS Institute Inc., Cary, NC, USA). The least square means and standard errors of the mean (SEM) were presented in tables. When significant effects (p < 0.05) were detected, multiple comparison of means was conducted following Tukey’s method.
The F1 generation data was first submitted for evaluation of normality (Shapiro-Wilk test) and homogeneity (Bartlett’s test of homogeneity of variance). The data considered normal, and which demonstrated homogeneity of variance, was subject to analysis of variance (ANOVA). Interactions between treatments (months variation) and populations were included in the model. The model was used for each period of the evaluation. When differences were detected by ANOVA, the means were compared using Tukey’s test (p < 0.05), using R software (R Core Team, 2014), and the ExpeDes, Lattice, and ggplot packages.
3. Results and Discussion
Using SSR markers characterized for the different Cc geographic locations (generation F0) in the Alentejo region, southern Portugal, the highest proportion of Cc genetic variation was observed within a geographic group, while the variation was smaller between groups [13]. The geographic areas with the greatest genetic diversity were found in the populations from the north of Alentejo compared to the populations in the south of Alentejo [13].
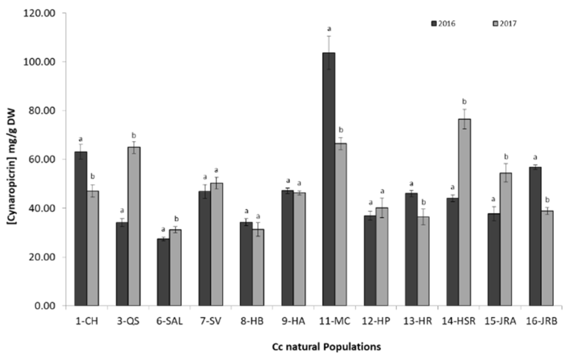
With respect to Cyn variation among the different geographic locations, a remarkable degree of variation of between 27 and 103 mg/g DW of Cyn extract content was observed for 2016 (Figure 1). When comparing the results obtained for 2017, it was observed that some populations showed low Cyn content (1-CH, 11-MC, 13-HR, and 16-JRB), in contrast to other populations which showed high Cyn content (3-QS and 14-HSR). The great majority presented statistically equal Cyn content. An explanation for the differences observed will be the objective of future research.
Figure 1.
Graphical representation of the results from cynaropicrin content (mg/g DW) analysis of F0 populations (natural populations of Cc, represented by different letters and numbers: 1-CH; 3-QS; 6-SAL; 7-SV; 8-HB; 9-HA; 11-MC; 12-HP; 13-HR; 14-HSR; 15-JRA and 16-JRB) in two consecutive years (2016 and 2017). Columns with different letters (a, b) represent means significantly different only between populations in the two different years (one-factor ANOVA analysis, Duncan’s test, p < 0.05).
The results indicate considerable variability in chemical profiles within populations, and within the same populations in different years.
Seven individuals from the Monte da Chaminé population (CM) were analyzed due to the great variation in Cyn content. As can be observed in Figure 2, all plants presented higher values than 40 mg/g DW of Cyn. In addition, in 2017, a clear decrease in Cyn content was observed for the same individuals (F0 2016 vs. F0 2017).
Figure 2.
Graphical representation of the results from cynaropicrin content (mg/g DW) analysis of the F0 population (natural population of Cc—Monte da Chaminé) in two consecutive years. Columns with different letters (a, b) represent means significantly different only between individuals in two different years (one-factor ANOVA analysis, Duncan’s test, p < 0.05).
To understand the Cyn concentration profile during the same season, and to further explore the production capacities, as well as the chemical stability, of daughter plants, seeds of all individuals were germinated, and experimental fields were set up in different areas of Alentejo (F1 generation).
In the different experimental fields, 49 plants (F1 generation) were selected. The results obtained for the Cyn content in the different plants over a four-month collection period showed great variability with respect to the genotype and the collection period. The different chemical profiles were identified: Cynara cardunculus leaf ethanolic extracts presented a remarkable range between 12.7 (low Cyn content) and 80.7 (high Cyn content) mg/g DW of cynaropicrin (Figure 3).
Figure 3.
Graphical representation of the results from cynaropicrin content (mg/g DW) analysis of the population F1 in 4 consecutive months (March, April, May, and June 2020). Box plot with different letters representing means significantly different between individuals in the different months sampled and in the different installed fields over time (ANOVA analysis, Tukey’s test, p < 0.05).
According to K. Eljounaidi et al. [17], an accumulation of cynaropicrin content in the leaves occurs at different stages in the development of the artichoke (Cynara cardunculus L. var. scolymus). The same finding was not observed according to the results obtained in our study with Cynara cardunculus L. var. sylvestris. According to the results obtained, there was an upward trend between the months of March, April, and May. In May the highest Cyn content was observed, followed by June showing a decreasing trend.
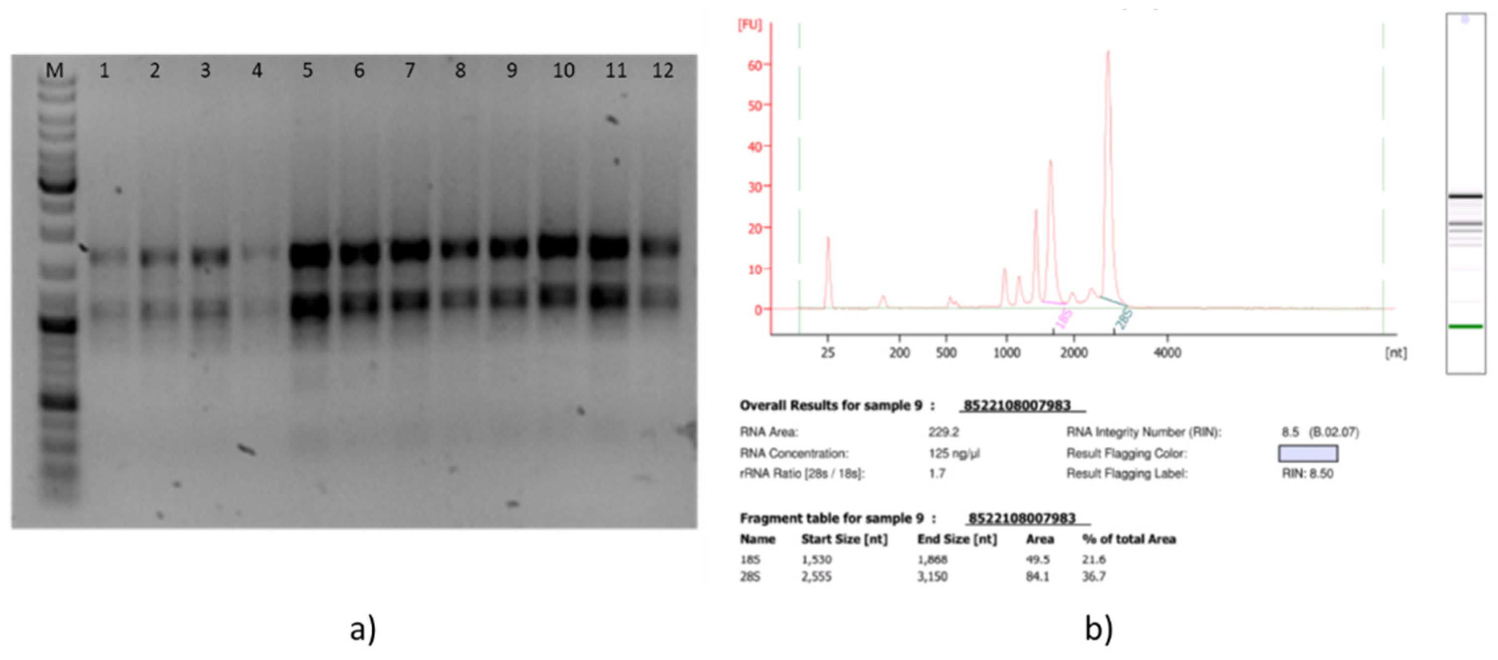
For the transcriptome analysis, total RNA was successfully extracted from the biological samples with high and low levels of cynaropicrin content. A total RNA amount of 1 µg and a RIN (RNA Integrity Number) higher than eight were confirmed by highly precise electrophoresis (Figure 4b).
Figure 4.
(a) Agarose gel electrophoresis (2%) of total RNA from different Cc leaf samples; (b) Electropherograms (Agilent Technologies) of total RNA from cardoon leaves.
After cDNA libraries preparation, stranded paired-end sequencing will be performed on Illumina sequencers. The next step will be bioinformatics analysis of the transcriptome data.
4. Conclusions
According to the results obtained for the F0 populations, considerable chemical and genetic variability occurs in natural Cc populations. The natural variability in the chemical and genetic profiles suggests enormous agronomic potential, which will ultimately require the selection of the best producers and guarantee of the maintenance of production throughout the plant’s development cycle. The best plants must be selected, taking advantage of their great heterogeneity, for sustainable economic exploitation of Cynara cardunculus.
The setting up of the experimental Cc fields provides access to Cc plants with different genetic, morphological, and chemical profiles, and can contribute to Cc gene conservation, as well as provide a feedstock for future studies and applications.
In the F1 plants, an increasing trend in cynaropicrin content was observed in all the experimental fields sampled over the month’s March to May, with Cyn content decreasing subsequently. We can also conclude that there was great chemical variability among different individuals.
This research represents an important step for the improved conservation of the wild cardoon gene pool and the more efficient use of Cynara cardunculus in future reproduction programs.
Author Contributions
Methodology, A.P., T.B., D.R., R.C.P., J.S. and M.P.; formal analysis, A.P., J.S. and R.C.P.; investigation, A.P., L.M., O.S.P. and M.F.D.; writing—original draft preparation, A.P.; writing—review and editing, A.P., T.B., L.M. and M.F.D. All authors have read and agreed to the published version of the manuscript.
Funding
This research is supported by Program Alentejo 2020, through the European Fund for Regional Development (FEDER), within the scope of the MedCynaraBioTec project—Selection of Cynara cardunculus genotypes for new biotechnological applications: the value chain improvement of cardoon, a well-adapted Mediterranean crop (ALT20-03-0145-FEDER-039495). The authors also acknowledge FCT for Contrato–Programa to L. Marum (CEECINST/00131/2018), PhD grants to A. Paulino (SFRH/BD/145383/2019) and D. Rosa (SFRH/BD/143845/2019), and Project UIDB/05183/2020 of the Mediterranean Institute for Agriculture, Environment and Development (MED).
Institutional Review Board Statement
Not applicable.
Informed Consent Statement
Not applicable.
Conflicts of Interest
The authors declare no conflict of interest.
References
- Wiklund, A. The Genus Cynnra L. (Asteraceae-Cardueae). Genus 1992, 109, 75–123. [Google Scholar]
- Fernández, J.; Curt, M.D.; Aguado, P.L. Industrial Applications of Cynara cardunculus L. for Energy and Other Uses. Ind. Crops Prod. 2006, 24, 222–229. [Google Scholar] [CrossRef]
- Fritsche, J.; Beindorff, C.M.; Dachtler, M.; Zhang, H.; Lammers, J.G. Isolation, Characterization and Determination of Minor Artichoke (Cynara scolymus L.) Leaf Extract Compounds. Eur. Food Res. Technol. 2002, 215, 149–157. [Google Scholar] [CrossRef]
- Oliveira, I.; Gominho, J.; Diberardino, S.; Duarte, E. Characterization of Cynara cardunculus L. Stalks and Their Suitability for Biogas Production. Ind. Crops Prod. 2012, 40, 318–323. [Google Scholar] [CrossRef]
- Fernandes, M.C.; Ferro, M.D.; Paulino, A.F.C.; Mendes, J.A.S.; Gravitis, J.; Evtuguin, D.V.; Xavier, A.M.R.B. Enzymatic Saccharification and Bioethanol Production from Cynara cardunculus Pretreated by Steam Explosion. Bioresour. Technol. 2015, 186, 309–315. [Google Scholar] [CrossRef] [PubMed]
- Gouveia, S.C.; Castilho, P.C. Phenolic Composition and Antioxidant Capacity of Cultivated Artichoke, Madeira Cardoon and Artichoke-Based Dietary Supplements. Food Res. Int. 2012, 48, 712–724. [Google Scholar] [CrossRef]
- Schütz, K.; Kammerer, D.; Carle, R.; Schieber, A. Identification and Quantification of Caffeoylquinic Acids and Flavonoids from Artichoke (Cynara scolymus L.) Heads, Juice, and Pomace by HPLC-DAD-ESI/MSn. J. Agric. Food Chem. 2004, 52, 4090–4096. [Google Scholar] [CrossRef] [PubMed]
- Gominho, J.; Lourenço, A.; Curt, M.; Fernández, J.; Pereira, H. Characterization of Hairs and Pappi from Cynara cardunculus Capitula and Their Suitability for Paper Production. Ind. Crops Prod. 2009, 29, 116–125. [Google Scholar] [CrossRef] [Green Version]
- Gominho, J.; Fernandez, J.; Pereira, H. Cynara cardunculus L.—A New Fibre Crop for Pulp and Paper Production. Ind. Crops Prod. 2001, 13, 1–10. [Google Scholar] [CrossRef]
- Conceição, C.; Martins, P.; Alvarenga, N.; Dias, J.; Lamy, E.; Garrido, L.; Gomes, S.; Freitas, S.; Belo, A.; Brás, T.; et al. Cynara cardunculus: Use in Cheesemaking and Pharmaceutical Applications. In Technological Approaches for Novel Applications in Dairy Processing; InTech: London, UK, 2018. [Google Scholar]
- Ramos, P.A.B.; Guerra, Â.R.; Guerreiro, O.; Freire, C.S.R.; Silva, A.M.S.; Duarte, M.F.; Silvestre, A.J.D. Lipophilic Extracts of Cynara cardunculus L. Var. Altilis (DC): A Source of Valuable Bioactive Terpenic Compounds. J. Agric. Food Chem. 2013, 61, 8420–8429. [Google Scholar] [CrossRef] [PubMed]
- Ramos, P.A.B.; Ferro, A.M.; Oliveira, M.M.; Gonçalves, S.; Freire, C.S.R.; Silvestre, A.J.D.; Duarte, M.F. Biosynthesis and Bioactivity of Cynara cardunculus L. Guaianolides and Hydroxycinnamic Acids: A Genomic. In Biochemical and Health-Promoting Perspective; Springer: Berlin/Heidelberg, Germany, 2019; Volume 4, ISBN 0123456789. [Google Scholar]
- Castro, M.M.; Rosa, D.; Ferro, A.M.; Faustino, A.; Paulino, A.; Brás, T.; Machado, E.; Cruz, C.P.; Belo, A.D.F.; Nozes, P.; et al. Genetic Diversity and Population Structure of Cynara cardunculus L. In Southern Portugal. PLoS ONE 2021, 16, e0252792. [Google Scholar] [CrossRef] [PubMed]
- Scaglione, D.; Reyes-Chin-Wo, S.; Acquadro, A.; Froenicke, L.; Portis, E.; Beitel, C.; Tirone, M.; Mauro, R.; lo Monaco, A.; Mauromicale, G.; et al. The Genome Sequence of the Outbreeding Globe Artichoke Constructed de Novo Incorporating a Phase-Aware Low-Pass Sequencing Strategy of F1 Progeny. Sci. Rep. 2016, 6, 19427. [Google Scholar] [CrossRef] [PubMed] [Green Version]
- Brás, T.; Neves, L.A.; Crespo, J.G.; Duarte, M.F. Effect of Extraction Methodologies and Solvent Selection upon Cynaropicrin Extraction from Cynara cardunculus Leaves. Sep. Purif. Technol. 2020, 236, 116283. [Google Scholar] [CrossRef]
- Brás, T.; Paulino, A.F.C.; Neves, L.A.; Crespo, J.G.; Duarte, M.F. Ultrasound Assisted Extraction of Cynaropicrin from Cynara Cardunculus Leaves: Optimization Using the Response Surface Methodology and the Effect of Pulse Mode. Ind. Crops Prod. 2020, 150, 112395. [Google Scholar] [CrossRef]
- Eljounaidi, K.; Comino, C.; Moglia, A.; Cankar, K.; Genre, A.; Hehn, A.; Bourgaud, F.; Beekwilder, J.; Lanteri, S. Accumulation of Cynaropicrin in Globe Artichoke and Localization of Enzymes Involved in Its Biosynthesis. Plant Sci. 2015, 239, 128–136. [Google Scholar] [CrossRef] [PubMed]
Publisher’s Note: MDPI stays neutral with regard to jurisdictional claims in published maps and institutional affiliations. |
© 2021 by the authors. Licensee MDPI, Basel, Switzerland. This article is an open access article distributed under the terms and conditions of the Creative Commons Attribution (CC BY) license (https://creativecommons.org/licenses/by/4.0/).



