Numerical Analysis of the Stress Shadow Effects in Multistage Hydrofracturing Considering Natural Fracture and Leak-Off Effect
Abstract
1. Introduction
2. Adaptive FE-DE Modeling for Multistage Fracturing
2.1. Numerical Methods for TH Coupling
- Initiation of model effective stress, pore-forces, and fracturing fluid pressures;
- Implementation of pad hydraulic fracturing;
- Execution of slurry hydraulic fracturing procedure;
- Flow-back and cleanup operations;
- Gas production.
2.1.1. Basic Equations
2.1.2. Model of Leak-Off and Proppant Movement
- The liquid cannot be compacted or condensed.
- The flow is locally analogous to the movement between two smooth, parallel surfaces.
- The flow is streamlined, characterized by a low Reynolds number.
2.1.3. Coupling Strategy
2.2. Adaptive Re-Meshing and Coarsening Strategy
3. Numerical Models and Procedure
4. Results
4.1. Basic Parameters
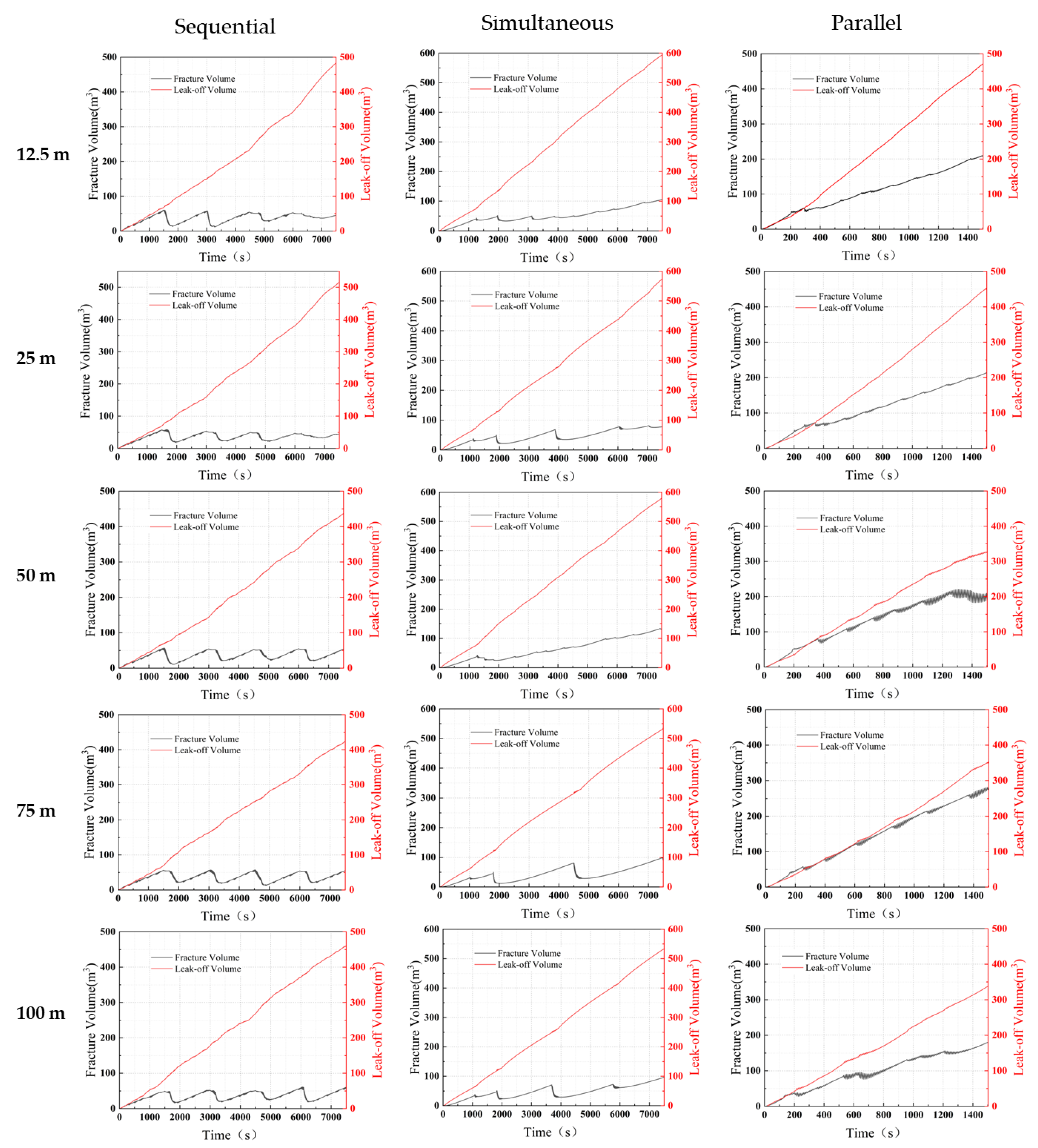
4.2. Effect of Fracture Sequence and Cluster Spacing
4.3. Effect of Pre-Existing Natural Fractures on Fracture Propagation
5. Discussion
6. Conclusions
- (1)
- Within the range of spacings evaluated in our model, the stress shadow effect modulates the direction of fracture propagation to some extent without significantly altering the total length in sequential fracturing scenarios. The impact of the stress shadow effect on fracturing is more subdued in this context when compared with other scenarios scrutinized in this study.
- (2)
- The prominence of the stress shadow effect increases in simultaneous fracturing scenarios when implemented with closer spacing, precipitating hydraulic interconnections between neighboring perforation clusters. This facilitates the extension of edge fractures into farther areas and amplifies the leak-off effect. On the contrary, larger spacing encourages the development of central fractures without contributing to an increase in total length. In simultaneous settings, parallel fracturing results in a more extended fracture length.
- (3)
- The distance between adjacent clusters primarily dictates the stress perturbation effect surrounding the natural fractures (NFs). In scenarios with closer spacing, adjacent fractures converge and propagate in a specific direction. In contrast, propagation is primarily along the maximum in situ stress direction in more extensive spacing settings.
- (4)
- The role of the leak-off effect in the hydraulic fracturing process is critical. It impacts the fracture length and volume and significantly influences the stress shadow effect among various fractures. The leak-off volume generally decreases with increasing perforation spacing attributable to the diminishing stress shadow effect among different fracturing sequences.
Author Contributions
Funding
Data Availability Statement
Conflicts of Interest
Nomenclature
| Symbol | Explanation |
| L | Spatial differential operator |
| Effective stress tensor | |
| Biot’s coefficient | |
| m | Identity tensor |
| ps | Pore fluid pressure in the rock formation |
| ρB | Wet bulk density |
| k | Intrinsic permeability of the rock formation |
| Viscosity of the pore liquid | |
| Pore liquid pressure | |
| Density of the pore liquid | |
| Porosity of the rock formation | |
| Bulk stiffness of the pore liquid | |
| Bulk stiffness of the solid grains | |
| Volumetric strain of the rock formation | |
| kfr | Intrinsic permeability of hydraulic fractures |
| Viscosity of the fracturing fluid | |
| Fracture fluid pressure | |
| Fracture fluid density | |
| Sfr | Storage coefficient |
| Aperture strain rate | |
| Sh | Horizontal in situ stress in the x direction |
| Sv | Vertical in situ stress in the y direction |
| Q | Fluid injection rate |
| Proppant concentration | |
| Pv | Proppant volume in one sequential fracturing stage |
| CI,CII | Leak-off coefficient |
| ps | Pore pressure |
| ρb | Density |
| E | Young’s modulus |
| ν | Poisson’s ratio |
| k | Permeability |
| c | Cohesion |
| φf | Friction angle |
| σt | Tensile strength |
| Gf | Fracture energy |
| μg | Dynamic viscosity coefficient of the pore fluid |
| μn | Dynamic viscosity coefficient of the fracturing fluid |
| ρg | Liquid density of the pore fluid |
| ρfn | Liquid density of the fracturing fluid |
| Kg | Bulk modulus of the pore fluid |
| Bulk modulus of the fracturing fluid |
References
- Li, Q.; Liu, J.; Wang, S.; Guo, Y.; Han, X.; Li, Q.; Cheng, Y.; Dong, Z.; Li, X.; Zhang, X. Numerical insights into factors affecting collapse behavior of horizontal wellbore in clayey silt hydrate-bearing sediments and the accompanying control strategy. Ocean Eng. 2024, 297, 117029. [Google Scholar] [CrossRef]
- Wang, Y.; Li, Q.; Dong, W.; Li, Q.; Wang, F.; Bai, H.; Zhang, R.; Ausustus, B.O. Effect of different factors on the yield of epoxy-terminated polydimethylsiloxane and evaluation of CO2 thickening. RSC Adv. 2018, 8, 39787–39796. [Google Scholar] [CrossRef]
- Mayerhofer, M.J.; Lolon, E.P.; Warpinski, N.R.; Cipolla, C.L.; Walser, D.; Rightmire, C.M. What is stimulated reservoir volume? Spe Prod. Oper. 2010, 25, 89–98. [Google Scholar] [CrossRef]
- Mcneil, F.; van Gijtenbeek, K.; Van Domelen, M. New hydraulic fracturing process enables far-field diversion in unconventional reservoirs. In Proceedings of the SPE/EAGE European Unconventional Resources Conference & Exhibition-From Potential to Production, Vienna, Austria, 20–22 August 2012; pp. 249–285. [Google Scholar]
- Daneshy, A.; Au-Yeung, J.; Thompson, T.; Tymko, D. Fracture shadowing: A direct method for determination of the reach and propagation pattern of hydraulic fractures in horizontal wells. In Proceedings of the SPE Hydraulic Fracturing Technology Conference, The Woodlands, TX, USA, 6–8 February 2012. [Google Scholar]
- Zhang, Q.; Yin, Z.; Yan, X. Material constants of anisotropic poroelasticity and its impacts on shale gas production. Energy Fuels 2023, 37, 18722–18734. [Google Scholar] [CrossRef]
- Warpinski, N.R.; Teufel, L.W. Influence of geologic discontinuities on hydraulic fracture propagation (includes associated papers 17011 and 17074). J. Pet. Technol. 1987, 39, 209–220. [Google Scholar] [CrossRef]
- Bunger, A.P.; Jeffrey, R.G.; Kear, J.; Zhang, X.; Morgan, M. Experimental investigation of the interaction among closely spaced hydraulic fractures. In Proceedings of the ARMA US Rock Mechanics/Geomechanics Symposium, San Francisco, CA, USA, 26–29 June 2011; pp. 11–318. [Google Scholar]
- Fisher, K.; Warpinski, N. Hydraulic-fracture-height growth: Real data. Spe Prod. Oper. 2012, 27, 8–19. [Google Scholar] [CrossRef]
- Maxwell, S.C.; Urbancic, T.I.; Steinsberger, N.; Zinno, R. Microseismic imaging of hydraulic fracture complexity in the Barnett shale. In Proceedings of the SPE Annual Technical Conference and Exhibition? San Antonio, TX, USA, 29 September–2 October 2002; p. 77440. [Google Scholar]
- Maxwell, S.C.; Waltman, C.K.; Warpinski, N.R.; Mayerhofer, M.J.; Boroumand, N. Imaging seismic deformation induced by hydraulic fracture complexity. Spe Reserv. Eval. Eng. 2009, 12, 48–52. [Google Scholar] [CrossRef]
- Soliman, M.Y.; East, L.; Adams, D. Geomechanics aspects of multiple fracturing of horizontal and vertical wells. Spe Drill. Complet. 2008, 23, 217–228. [Google Scholar] [CrossRef]
- Cheng, Y. Boundary element analysis of the stress distribution around multiple fractures: Implications for the spacing of perforation clusters of hydraulically fractured horizontal wells. In Proceedings of the SPE Eastern Regional Meeting, Charleston, WV, USA, 23–25 September 2009; p. 125769. [Google Scholar]
- Roussel, N.P.; Sharma, M.M. Optimizing fracture spacing and sequencing in horizontal-well fracturing. Spe Prod. Oper. 2011, 26, 173–184. [Google Scholar] [CrossRef]
- Sharma, M.M.; Manchanda, R. The role of induced un-propped (IU) fractures in unconventional oil and gas wells. In Proceedings of the SPE Annual Technical Conference and Exhibition, Houston, TX, USA, 27–30 September 2015. [Google Scholar]
- Sobhaniaragh, B.; Mansur, W.J.; Peters, F.C. The role of stress interference in hydraulic fracturing of horizontal wells. Int. J. Rock Mech. Min. Sci. 2018, 106, 153–164. [Google Scholar] [CrossRef]
- Roussel, N.P.; Sharma, M.M. Strategies to minimize frac spacing and stimulate natural fractures in horizontal completions. In Proceedings of the SPE Annual Technical Conference and Exhibition? Denver, CO, USA, 30 October–2 November 2011; p. 146104. [Google Scholar]
- Roussel, N.P.; Manchanda, R.; Sharma, M.M. Implications of fracturing pressure data recorded during a horizontal completion on stage spacing design. In Proceedings of the SPE Hydraulic Fracturing Technology Conference and Exhibition, The Woodlands, TX, USA, 6–8 February 2012; p. 152631. [Google Scholar]
- Nagel, N.; Zhang, F.; Sanchez-Nagel, M.; Lee, B.; Agharazi, A. Stress shadow evaluations for completion design in unconventional plays. In Proceedings of the SPE Unconventional Resources Conference Canada, Calgary, AB, Canada, 5–7 November 2013. [Google Scholar]
- Zhang, X.; Jeffrey, R.G.; Thiercelin, M. Mechanics of fluid-driven fracture growth in naturally fractured reservoirs with simple network geometries. J. Geophys. Res. Solid Earth 2009, 114, B12. [Google Scholar] [CrossRef]
- Blanton, T.L. An experimental study of interaction between hydraulically induced and pre-existing fractures. In Proceedings of the SPE Unconventional Resources Conference/Gas Technology Symposium, Pittsburgh, PA, USA, 16–18 May 1982; p. 10847. [Google Scholar]
- Gu, H.; Weng, X.; Lund, J.; Mack, M.; Ganguly, U.; Suarez-Rivera, R. Hydraulic fracture crossing natural fracture at nonorthogonal angles: A criterion and its validation. Spe Prod. Oper. 2012, 27, 20–26. [Google Scholar] [CrossRef]
- Gu, H.; Weng, X. Criterion for fractures crossing frictional interfaces at non-orthogonal angles. In Proceedings of the ARMA US Rock Mechanics/Geomechanics Symposium, Salt Lake City, UT, USA, 27–30 June 2010; pp. 10–198. [Google Scholar]
- Bahorich, B.; Olson, J.E.; Holder, J. Examining the effect of cemented natural fractures on hydraulic fracture propagation in hydrostone block experiments. In Proceedings of the SPE Annual Technical Conference and Exhibition, San Antonio, TX, USA, 8–10 October 2012. [Google Scholar]
- Olson, J.E.; Bahorich, B.; Holder, J. Examining hydraulic fracture-natural fracture interaction in hydrostone block experiments. In Proceedings of the SPE Hydraulic Fracturing Technology Conference and Exhibition, The Woodlands, TX, USA, 6–8 February 2012; p. 152618. [Google Scholar]
- Luo, S.; Zhao, Y.; Zhang, L.; Chen, Z.; Zhang, X. Integrated simulation for hydraulic fracturing, productivity prediction, and optimization in tight conglomerate reservoirs. Energy Fuels 2021, 35, 14658–14670. [Google Scholar] [CrossRef]
- Wheeler, M.F.; Wick, T.; Wollner, W. An augmented-Lagrangian method for the phase-field approach for pressurized fractures. Comput. Meth. Appl. Mech. Eng. 2014, 271, 69–85. [Google Scholar] [CrossRef]
- Ouchi, H.; Katiyar, A.; York, J.; Foster, J.T.; Sharma, M.M. A fully coupled porous flow and geomechanics model for fluid driven cracks: A peridynamics approach. Comput. Mech. 2015, 55, 561–576. [Google Scholar] [CrossRef]
- Yao, J.; Zeng, Q.; Huang, Z.; Sun, H.; Zhang, L. Numerical modeling of simultaneous hydraulic fracturing in the mode of multi-well pads. Sci. China Technol. Sci. 2017, 60, 232–242. [Google Scholar] [CrossRef]
- Chen, Z. Finite element modelling of viscosity-dominated hydraulic fractures. J. Pet. Sci. Eng. 2012, 88, 136–144. [Google Scholar] [CrossRef]
- Gordeliy, E.; Peirce, A. Coupling schemes for modeling hydraulic fracture propagation using the XFEM. Comput. Meth. Appl. Mech. Eng. 2013, 253, 305–322. [Google Scholar] [CrossRef]
- Mohammadnejad, T.; Khoei, A.R. An extended finite element method for hydraulic fracture propagation in deformable porous media with the cohesive crack model. Finite Elem. Anal. Des. 2013, 73, 77–95. [Google Scholar] [CrossRef]
- Weng, X.; Kresse, O.; Cohen, C.; Wu, R.; Gu, H. Modeling of hydraulic-fracture-network propagation in a naturally fractured formation. Spe Prod. Oper. 2011, 26, 368–380. [Google Scholar]
- Yao, C.; Jiang, Q.H.; Shao, J. Numerical simulation of damage and failure in brittle rocks using a modified rigid block spring method. Comput. Geotech. 2015, 64, 48–60. [Google Scholar] [CrossRef]
- Fu, P.; Johnson, S.M.; Carrigan, C.R. An explicitly coupled hydro-geomechanical model for simulating hydraulic fracturing in arbitrary discrete fracture networks. Int. J. Numer. Anal. Methods Geomech. 2013, 37, 2278–2300. [Google Scholar] [CrossRef]
- Riahi, A.; Damjanac, B. Numerical study of interaction between hydraulic fracture and discrete fracture network. In Proceedings of the ISRM International Conference for Effective and Sustainable Hydraulic Fracturing, Brisbane, Australia, 20–22 May 2013; pp. 2013–2037. [Google Scholar]
- Kolditz, O.; Delfs, J.; Bürger, C.; Beinhorn, M.; Park, C. Numerical analysis of coupled hydrosystems based on an object-oriented compartment approach. J. Hydroinform. 2008, 10, 227–244. [Google Scholar] [CrossRef]
- Kolditz, O.; Shao, H.; Wang, W.; Bauer, S. Thermo-Hydro-Mechanical Chemical Processes in Fractured Porous Media: Modelling and Benchmarking; Springer: Berlin/Heidelberg, Germany, 2016. [Google Scholar]
- Li, S.; Zhang, D. A fully coupled model for hydraulic-fracture growth during multiwell-fracturing treatments: Enhancing fracture complexity. Spe Prod. Oper. 2018, 33, 235–250. [Google Scholar] [CrossRef]
- Owen, D.; Feng, Y.T.; de Souza Neto, E.A.; Cottrell, M.G.; Wang, F.; Andrade Pires, F.M.; Yu, J. The modelling of multi-fracturing solids and particulate media. Int. J. Numer. Methods Eng. 2004, 60, 317–339. [Google Scholar] [CrossRef]
- Nassir, M.; Settari, A.; Wan, R. Prediction and optimization of fracturing in tight gas and shale using a coupled geomechanical model of combined tensile and shear fracturing. In Proceedings of the SPE Hydraulic Fracturing Technology Conference and Exhibition, The Woodlands, TX, USA, 6–8 February 2012; p. 152200. [Google Scholar]
- Munjiza, A.A. The Combined Finite-Discrete Element Method; John Wiley & Sons: Hoboken, NJ, USA, 2004; ISBN 0470020172. [Google Scholar]
- Lisjak, A.; Liu, Q.; Zhao, Q.; Mahabadi, O.K.; Grasselli, G. Numerical simulation of acoustic emission in brittle rocks by two-dimensional finite-discrete element analysis. Geophys. J. Int. 2013, 195, 423–443. [Google Scholar] [CrossRef]
- Ju, Y.; Wang, Y.; Chen, J.; Gao, F.; Wang, J. Adaptive finite element-discrete element method for numerical analysis of the multistage hydrofracturing of horizontal wells in tight reservoirs considering pre-existing fractures, hydromechanical coupling, and leak-off effects. J. Nat. Gas Sci. Eng. 2018, 54, 266–282. [Google Scholar] [CrossRef]
- Elfen. TGR User and Theory Manual; Rockfield Software Ltd.: Swansea, UK, 2016. [Google Scholar]
- Profit, M.; Dutko, M.; Yu, J.; Cole, S.; Angus, D.; Baird, A. Complementary hydro-mechanical coupled finite/discrete element and microseismic modelling to predict hydraulic fracture propagation in tight shale reservoirs. Comput. Part. Mech. 2016, 3, 229–248. [Google Scholar] [CrossRef]
- Lobao, M.C. Finite Element Modelling of Hydraulic Fracture Flow in Porous Media; Swansea University: Swansea, UK, 2007; ISBN 0355840596. [Google Scholar]
- Snow, D.T. A Parallel Plate Model of Fractured Permeable Media; University of California: Berkeley, CA, USA, 1965; ISBN 1085548813. [Google Scholar]
- Crook, A.; Willson, S.M.; Yu, J.G.; Owen, D. Predictive modelling of structure evolution in sandbox experiments. J. Struct. Geol. 2006, 28, 729–744. [Google Scholar] [CrossRef]
- Howard, G.; Fast, C.R. Optimum Fluid Characteristics for Fracture Extension. In Drilling and Production Practice; API-57-261; American Petroleum Institute: New York, NY, USA, 1957; Volume 24, pp. 261–270. [Google Scholar]
- Kresse, O.; Cohen, C.; Weng, X.; Wu, R.; Gu, H. Numerical modeling of hydraulic fracturing in naturally fractured formations. In Proceedings of the 45th US rock mechanics/geomechanics symposium, San Francisco, CA, USA, 21–29 June 2011. [Google Scholar]
- Wu, S.R.; Gu, L. Introduction to the Explicit Finite Element Method for Nonlinear Transient Dynamics; John Wiley & Sons: Hoboken, NJ, USA, 2012; ISBN 1118382072. [Google Scholar]
- Kim, J. Sequential Methods for Coupled Geomechanics and Multiphase Flow; Stanford University: Stanford, CA, USA, 2010; ISBN 1109712782. [Google Scholar]
- Bai, M. Improved Understanding of Fracturing Tight-Shale Gas Formations. In Proceedings of the SPE Production and Operations Symposium, Oklahoma City, Oklahoma, USA, 27–29 March 2011. [Google Scholar]
- Huang, M.; Yue, Z.Q.; Tham, L.G.; Zienkiewicz, O.C. On the stable finite element procedures for dynamic problems of saturated porous media. Int. J. Numer. Methods Eng. 2004, 61, 1421–1450. [Google Scholar] [CrossRef]
- Huang, M.; Wu, S.; Zienkiewicz, O.C. Incompressible or nearly incompressible soil dynamic behaviour—A new staggered algorithm to circumvent restrictions of mixed formulation. Soil Dyn. Earthq. Eng. 2001, 21, 169–179. [Google Scholar] [CrossRef]
- Ju, Y.; Wang, Y.; Xu, B.; Chen, J.; Yang, Y. Numerical analysis of the effects of bedded interfaces on hydraulic fracture propagation in tight multilayered reservoirs considering hydro-mechanical coupling. J. Pet. Sci. Eng. 2019, 178, 356–375. [Google Scholar] [CrossRef]
- Ishida, T.; Aoyagi, K.; Niwa, T.; Chen, Y.; Murata, S.; Chen, Q.; Nakayama, Y. Acoustic emission monitoring of hydraulic fracturing laboratory experiment with supercritical and liquid CO2. Geophys. Res. Lett. 2012, 39, 16. [Google Scholar] [CrossRef]
- Mccraw, C.; Edlmann, K.; Miocic, J.; Gilfillan, S.; Haszeldine, R.S.; Mcdermott, C.I. Experimental investigation and hybrid numerical analytical hydraulic mechanical simulation of supercritical CO2 flowing through a natural fracture in caprock. Int. J. Greenh. Gas Control 2016, 48, 120–133. [Google Scholar] [CrossRef]











| Stage | Duration (s) |
|---|---|
| Initial balance | 2 |
| 1st fracturing | 1500 |
| 2nd fracturing | 1500 |
| 3rd fracturing | 1500 |
| 4th fracturing | 1500 |
| 5th fracturing | 1500 |
| Flow-back time | 300 |
| Gas production | 32,400,000 |
| Stage | Duration (s) |
|---|---|
| Initial balance | 2 |
| Fracturing | 1500 |
| Flow-back time | 300 |
| Gas production | 32,400,000 |
| Parameters | Value |
|---|---|
| Horizontal in situ stress in the x direction Sh (MPa) | 40 |
| Vertical in situ stress in the y direction Sv (MPa) | 44 |
| Fluid injection rate Q (m3/s) | 0.1 |
| Fluid injection volume in one sequential fracturing stage (m3) | 150 |
| Proppant concentration (kg/m3) | 200 |
| Proppant volume in one sequential fracturing stage (m3) | 11.45 |
| Leak-off coefficient CI (m3/s1/2) | 0.15 × 10−6 |
| Leak-off coefficient CII (m3/s1/2) | 0.15 × 10−6 |
| Pore pressure ps (MPa) | 30 |
| Density ρb (kg/m3) | 2.615 × 103 |
| Biot’s coefficient α | 0.8 |
| Young’s modulus E (GPa) | 32 |
| Poisson’s ratio ν | 0.2 |
| Permeability k (nD) | 50 |
| Porosity φ | 0.05 |
| Cohesion c (MPa) | 25 |
| Friction angle φf | 45 |
| Gravity g (N/kg) | 9.81 |
| Tensile strength σt (MPa) | 1.0 |
| Fracture energy Gf (N˙m) | 50 |
| Dynamic viscosity coefficient of the pore fluid μg (Pa˙s) | 1.00 × 10−3 |
| Dynamic viscosity coefficient of the fracturing fluid μn (Pa˙s) | 1.67 × 10−3 |
| Liquid density of the pore fluid ρg (kg/m3) | 1.00 × 103 |
| Liquid density of the fracturing fluid ρfn (kg/m3) | 1.00 × 103 |
| Bulk modulus of the pore fluid Kg (MPa) | 2050 |
| Bulk modulus of the fracturing fluid (MPa) | 2000 |
| Parameter | Value |
|---|---|
| Mesh Density Factor | 1 |
| Mesh Density Factor Density | 2 |
| Bubble Size | 3 |
| Coarsening Frequency | 10 |
| Coarsening Density Factor | 1 |
| Coarsening Density Factor Density | 2 |
| Coarsening Threshold Factor | 0.9 |
| Coarsening Threshold Factor Threshold | 1.8 |
| Non-coarsening Zone Factor | 5 |
| Non-coarsening Zone Factor Zone | 10 |
| Max-coarsening Zone Factor | 2 |
| Max-coarsening Zone Factor Zone | 4 |
| State | Pre-Existing Fracture Set 1 | Pre-Existing Fracture Set 2 |
|---|---|---|
| Orientation (degrees) | 60 | 120 |
| Spacing (m) | 15 | 15 |
| Fracture length (m) | 15 | 15 |
| Persistence (m) | 15 | 15 |
Disclaimer/Publisher’s Note: The statements, opinions and data contained in all publications are solely those of the individual author(s) and contributor(s) and not of MDPI and/or the editor(s). MDPI and/or the editor(s) disclaim responsibility for any injury to people or property resulting from any ideas, methods, instructions or products referred to in the content. |
© 2024 by the authors. Licensee MDPI, Basel, Switzerland. This article is an open access article distributed under the terms and conditions of the Creative Commons Attribution (CC BY) license (https://creativecommons.org/licenses/by/4.0/).
Share and Cite
Song, J.; Qiao, Q.; Chen, C.; Zheng, J.; Wang, Y. Numerical Analysis of the Stress Shadow Effects in Multistage Hydrofracturing Considering Natural Fracture and Leak-Off Effect. Water 2024, 16, 1308. https://doi.org/10.3390/w16091308
Song J, Qiao Q, Chen C, Zheng J, Wang Y. Numerical Analysis of the Stress Shadow Effects in Multistage Hydrofracturing Considering Natural Fracture and Leak-Off Effect. Water. 2024; 16(9):1308. https://doi.org/10.3390/w16091308
Chicago/Turabian StyleSong, Jinxin, Qing Qiao, Chao Chen, Jiangtao Zheng, and Yongliang Wang. 2024. "Numerical Analysis of the Stress Shadow Effects in Multistage Hydrofracturing Considering Natural Fracture and Leak-Off Effect" Water 16, no. 9: 1308. https://doi.org/10.3390/w16091308
APA StyleSong, J., Qiao, Q., Chen, C., Zheng, J., & Wang, Y. (2024). Numerical Analysis of the Stress Shadow Effects in Multistage Hydrofracturing Considering Natural Fracture and Leak-Off Effect. Water, 16(9), 1308. https://doi.org/10.3390/w16091308

