Abstract
The high proportion of CO2/CH4 in low aggregated value natural gas compositions can be used strategically and intelligently to produce more hydrocarbons through oxidative methane coupling (OCM). The main goal of this study was to optimize direct low-value natural gas conversion via CO2-OCM on metal oxide catalysts using robust multi-objective optimization based on an entropic measure to choose the most preferred Pareto optimal point as the problem’s final solution. The responses of CH4 conversion, C2 selectivity, and C2 yield are modeled using the response surface methodology. In this methodology, decision variables, e.g., the CO2/CH4 ratio, reactor temperature, wt.% CaO and wt.% MnO in ceria catalyst, are all employed. The Pareto optimal solution was obtained via the following combination of process parameters: CO2/CH4 ratio = 2.50, reactor temperature = 1179.5 K, wt.% CaO in ceria catalyst = 17.2%, wt.% MnO in ceria catalyst = 6.0%. By using the optimal weighting strategy w1 = 0.2602, w2 = 0.3203, w3 = 0.4295, the simultaneous optimal values for the objective functions were: CH4 conversion = 8.806%, C2 selectivity = 51.468%, C2 yield = 3.275%. Finally, an entropic measure used as a decision-making criterion was found to be useful in mapping the regions of minimal variation among the Pareto optimal responses and the results obtained, and this demonstrates that the optimization weights exert influence on the forecast variation of the obtained response.
1. Introduction
A mixture of various hydrocarbons such as methane (CH4), ethane (C2H6), propane (C3H8), butane (C4H10) and inert diluents such as molecular nitrogen (N2) and carbon dioxide (CO2) are found in natural gas compositions. Natural gas composition variations are affected by several parameters such as the geographical source, the time of year, and the treatment applied during production or transportation [1,2,3].
CH4 and CO2 are believed to contribute to the greenhouse effect [4]. Although the amount of CH4 in the atmosphere is less than CO2, its global warming potential is approximately 25 times greater [5]. Large amounts of methane are widely available in nature in the form of natural gas, although methane is a greatly underutilized resource for chemical and liquid fuels [6].
Large amounts of natural gas reserves are located in remote areas [7,8] and pipelines may not be available to transport that remote gas to regions where it can be used, and liquefication for transportation via ship is quite expensive. Almost 11% of this gas is reinjected, while another 4% is flared or vented [5,9,10], generating waste [10].
The conversion of CH4 and CO2 into value-added chemicals has attracted attention from the academic community and industries [4,11,12,13]. The abundance of these two gases makes them stand out as raw materials for fuels and chemical synthesis. Furthermore, CH4 is considered to be the cheapest carbon source for the petrochemical industry [14].
Among these reserves, there are large amounts of low-value natural gas containing a high concentration of CO2. Currently this natural gas is sold as liquefied natural gas after a carbon dioxide clean up using CO2 separation facilities. The impurities from both the separation stages are then injected underground to dispose of the waste using a sub-surface aquifer, but at an estimated 49% of the total cost of the project [15]. The high CO2/CH4 ratio in low-value natural gas compositions could be strategically utilized to produce value-added chemicals, such as higher hydrocarbons and liquid fuels without having to separate the CO2 first [16]. The synthesis of liquid fuels and commodity chemicals from CO2 is a promising approach for clean energy production. For this reason, much academic and industrial effort has been devoted to exploring efficient means of reducing CO2 [17].
Several studies have been undertaken with the objective of making conversion of methane viable, either by direct or indirect routes. The indirect routes focus on steam reform to produce synthesis gas (CO + H2), which can be converted into the liquid fuels [18]. The direct route, on the other hand, converts methane into higher hydrocarbons in one step through oxidative methane coupling reactions (OCM). Therefore, it is considered more economically viable and, consequently, it has been the subject of several studies [4,12,14,16,19,20,21,22,23,24,25,26,27,28,29,30,31]. The general reactions for the formation of C2 hydrocarbons from methane and carbon dioxide are expressed by [24]:
Although the OCM reaction is a highly exothermic reaction, it requires high temperatures and a suitable catalyst because the binding energy of hydrogen-carbon in methane is very large [32] and the bond dissociation energy of CO-O is also high. Because of the low reactivity of CO2, the product (C2H4, C2H6) of the OCM reaction, with CO2 as an oxidant, is less likely to react with CO2. Therefore, high C2 (C2H4, C2H6) selectivity is expected in the CO2-OCM [31].
Nevertheless, a possible increase in temperature will result in total oxidation instead of partial oxidation of C2 hydrocarbons, such as ethylene [6]. We therefore see the importance of catalyst selection for the OCM reaction. The catalyst determines at what temperature and composition the maximum yield and selectivity for the reaction will be defined [30].
Considerable efforts have been placed on developing OCM catalysts in order to make the product yields commercially feasible [4,12,14,19,20,21,23,24,27,29,30,31].
Of the various catalysts for CO2 activation, ceria (CeO2) is attracting increased interest due to its high oxygen storage capacity [11]. Indeed, oxidation and reduction reactions of Ce4+ and Ce3+ are effective in activating carbon dioxide to form oxygen active species, while the C2 selectivity is related to the basicity of a catalyst due to enhanced CO2 chemisorption on the catalyst surface [11,27]. Wang et al. [25] and Wang et al. [26] proposed using a ceria catalyst modified with CaO. According to these authors the CaO/CeO2 is the most effective catalyst for conversion at high temperatures of CH4 to C2H6 and C2H4 by CO2 among a series of CeO2 catalysts modified with alkali and alkaline earth metal oxides. Istadi and Amin [28] and Istadi and Amin [16] proposed using CaO/CeO2 and MnO/CeO2 catalysts in the multi-objective optimization of CO2-OCM process. According to these authors, the optimal operating parameters, such as the CO2/CH4 ratio and reactor temperature, and the catalyst compositions in the ceria catalyst, provide essential information for industrial CO2-OCM processes.
At the same time, multi-objective optimization allows one to find the point that represents the final solution to the problem, in addition to treating the reliability of that solution as an important factor. It then follows that the variance of the prediction would be of great concern [33].
The aim of this study is to optimize the conversion of natural gas, rich in carbon dioxide, using robust multi-criteria decision-making processes, based on an entropic measure, to determine the ideal Pareto point as the final solution to the problem. The normal boundary intersection method (NBI) together with the mixture design of experiments (MDE), will be used to optimize these responses simultaneously.
2. Multi-Objective Optimization
Industrial processes, when translated into optimization problems, are usually treated as multi-objective problems, since they involve more than one desirable resource. When the objective functions are not in conflict, each objective function reaches its optimal value, and a solution is found, without the need for any special method [34]. These objectives are often conflicting [35]. A multi-objective optimization (MOP) problem can be formulated in order to study the tradeoffs between these conflicting objectives, as in:
where Λ is the vector of the objective functions that comprise the conflicting k criteria and Fi is the vector of the decision variables x belonging to the viable set Ω.
Their restrictions are represented in the form of inequalities or equalities, according to:
where gr and hq are the inequality and equality constraint functions, respectively and I and J are the index sets containing as many elements as there are inequality and equality constraints, respectively.
When looking for an MOP solution, the goal is to find efficient solutions. Some variations in the concept of efficiency are concepts of local efficiency, weak efficiency, and weakly local efficiency. Hence, a solution is locally efficient if such that is efficient in , where . A solution is weakly efficient if there is no other point such that . A solution is locally weakly efficient if such that is weakly efficient in .
However, for a given decision vector to be the solution to an optimization problem, it must satisfy some conditions, which we call optimality conditions. The simplest situation for which we can define the optimality conditions is that in which we have a single function for which we wish to find the optimal point, and there are no constraints. In the case of unconstrained optimization, the necessary first-order condition is:
If is to be a local minimizer of the function f(x), differentiable at , then .
At this point, Miettinen [34] is used, which shows that a function is differentiable at if:
where is the gradient of and as .
Furthermore, is continuously differentiable at if all of its partial derivatives , i.e., all the gradient components, are continuous at . Still, with respect to the unconstrained optimization, the necessary second-order condition is:
If is to be a local minimizer of the function f(x), twice differentiable at , then and must be positive semidefinite, i.e., it has eigenvalues () greater than or equal to zero.
According to Miettinen [34], a function is twice differentiable at if:
where: is the gradient, the symmetric matrix, ; is a Hessian matrix of ; and as .
The Hessian matrix of a twice differentiable function consists of second-order partial derivatives , and it can be presented as:
Furthermore, is twice continuously differentiable at if all of its second-order partial derivatives are continuous at .
With respect to optimality conditions in unconstrained optimization, we see that only the presented conditions are necessary, since the first and second order terms can be null, still leaving doubt about the nature of . Therefore, a sufficient condition for to be a strict local minimizer of the function f(x), twice differentiable at , is and as a positive definite, i.e., it has eigenvalues () greater than zero.
To analyze the critical points the second order derivatives of the function must exist and be different from zero, which can be verified by performing a Taylor series expansion around the optimal point. Since the first derivative is null, we have:
The values of the function near the critical point depend on the Hessian. In summary, we have the following relation between the Hessian matrix eigenvalue signals and the critical point:
- if all eigenvalues are positive, we have a minimum point;
- if all eigenvalues are negative, we have a maximum point; and
- if the eigenvalues show different signs, we have a saddle point.
This analysis still allows us to deduce the convexity of the function. Similarly, when working with Response Surface Methodology (RSM), the determination of the convexity of a function is done by characterizing the nature of the stationary point. The stationary point is the level of x1, x2, …, xk, that optimizes the predicted response. This point, if it exists, will be the set of x1, x2, …, xk, for which the partial derivatives are equal to zero. A general mathematical solution for locating the stationary point may be obtained. The second-order model is expressed in the matrix notation as [36]:
where:
The derivative of with respect to the elements of the vector x equated to zero is:
The stationary point described in Equation (12) is the solution of Equation (11):
The predicted response at the stationary point is given by:
In general terms, the nature of a stationary point can be determined from the sign of the eigenvalues or root characteristics of a given matrix B. The eigenvalues () of the matrix B are the solutions to the following equation:
Then, these are defined as follows:
- if the values of are all negative, the function is concave and xS is a maximum point;
- if the values of are all positive, the function is convex, and xS is a minimum point;
- if the values of present different signs, the function is neither concave nor convex, and xS is a saddle point.
In multi-objective optimization two approaches can be used to aid in solving problems: (i) converting all objective functions into a single problem; (ii) optimizing one objective, considering other objectives as constraints [37]. In this second approach, the objective function is prioritized and the relevance of the others is relegated to a lower extent.
According to Shahraki and Noorossana [37], the methods that result in obtaining a set of optimal Pareto solutions are recommended, since they provide the best solutions among all other given options in terms of efficiency. The weighted sum method (WSM) is widely used to obtain optimal Pareto solutions in MOP, as it is easy to implement and interpret. However, if the set of Pareto optimal solutions is nonconvex, the frontier becomes nonconvex and discontinuous, forming clusters of solutions in regions of great curvature, yet discontinuous in the solution space. In such situations, the WSM, which is the standard method for generating the Pareto set in MOP, barely finds solutions in the nonconvex section. Moreover, the WSM cannot generate an equally spaced frontier, even if the distribution of weights is uniform [38,39], which can confuse the decision maker by not clarifying the conflicting behavior and the trade-offs between different objective functions.
Das and Dennis [40] presented the Normal Border Intersection (NBI) method as an option that can overcome the disadvantages presented by the WSM method. This method presents the Pareto surface distributed evenly independent of relative scales and the convexity of the objective functions.
However, Das and Dennis [40] argue that a disadvantage, inherent to methods that seek to find a large number of efficient points in MOP, is that these methods cannot find globally Pareto optimal points. The points generated by the NBI are only locally guaranteed as Pareto optimal points. Nevertheless, we will use the NBI method in this study, given its robustness when working with nonconvex problems.
Thus, the NBI method is used to solve the MOP using the following equation [40]:
where w is the convex weighting; D is the distance between the Utopia line and the Pareto frontier; is the vector containing the individual values of the normalized objectives in each run; is a column vector of one and and are the payoff and normalized payoff matrices, respectively, and can be written as:
3. Criteria for Defining the Ideal Pareto Solution
When solving an MOP, there are usually an infinite number of efficient solutions that form the ideal set of Pareto (called efficient set) points [34]. The process that seeks to generate optimal Pareto alternatives is known as multi-objective optimization. From a mathematical standpoint, every Pareto ideal point is an acceptable solution for a MOP, if the objective is to obtain a point as the final solution [41].
It is difficult to define the degree of importance to be attributed to each objective [42]. The definition of the weights for each function can be influenced by the preferences of the decision maker. This affects the influence of weights used to determine the relative importance of the functions, in order to identify the most important parameters during the optimization process, and the preferences are selected [43].
The priority given to the criteria significantly affects the final result, since this result depends on the importance attached to each objective [44,45,46]. This can become a problem as decision makers are often unsure about the exact weights of objective functions [44]. Considerable cognitive effort is necessary [47] in order to obtain information on direct preference from the analyst,
The Pareto set includes rational options, from which the analyst can select the final solution by comparing several objectives with each other [44]. As such, the search is for a set of ideal solutions in the broadest sense (Pareto optimal). Several techniques from literature address optimal Pareto solutions in the solution space. However, the disadvantage of these methods is the variety of solutions from which one must choose. We therefore can identify a need to bridge the gap between exclusive solutions and Pareto ideal sets [44].
When solving a linear multi-objective optimization problem, Zeleny [48,49] sought to answer the following questions: (i) what is the most preferred solution among the generated, non-dominated and extreme solutions? (ii) Can the set of non-dominated solutions be reduced to consist of fewer points to determine a final decision? To answer these questions, he proposed the “traditional measure of entropy” as a parameter to assess the importance of functions and define the weights to be used in solving the problem.
Following a different approach, some authors (see [50,51,52]) used the Shannon entropy index [53] associated with an error measure, to determine the most preferred Pareto ideal point in a MOP in a vertical turning process, resolved using the NBI method. The authors state that Shannon’s entropy index can provide a more reliable assessment of the relative weights of objectives in the absence of analyst preferences. Furthermore, the authors state that when combined with an error measure, it minimized the error of Pareto’s preferred point related to individual optimal responses. The weighting metric ξ is obtained by [50,52]:
where wi are the weights to be assigned to the objectives that are to be optimized.
The Entropy equation can be calculated by [53]:
The GPE equation is represented by [54]:
where is the value of the Pareto-optimal responses; is equal to the defined target and m is equal to the number of objectives.
As discussed earlier, many of the weighting strategies used during the optimization and decision-making process rely on inaccurate and subjective elements in at least one of the stages. Thus, weighting method analysis shows that significant contributions can be made, since a large portion of these strategies still employ elements susceptible to error.
Only Shahraki and Noorossana [34] proposed a way of evaluating any variability parameter when selecting the best Pareto optimal solution. We therefore see the theoretical gap, that we intend to address in this study: the behavior of the prediction variance in relation to the weighting strategies.
Now, consider the following problem [55]:
where fi(x) are the objective functions to be optimized and wi are the weights assigned to each objective function.
In order to calculate the variance for the function described in Equation (20), the following process is considered:
where is the correlation between the functions fi and fj.
Considering that it is possible to calculate the variance of fi (x) at a certain point , as , Equation (21) can be modified to:
Now, consider the term as constant for each function at a given point. Analyzing Equation (22), we see that the variance of the estimated responses is minimized by diversification, i.e., by the uniform distribution of weights among the functions involved in the MOP. Furthermore, negative correlations between responses tend to decrease variance. We propose the following: using entropic metrics to choose the optimal weights in MOP can reduce prediction variance.
Figure 1 shows the step-by-step proposal.
Figure 1.
Step-by-step of the adopted methodology. Source: Adapted of Rocha et al. [55].
4. Experimental Design
The experimental data presented by Istadi and Amin [28] and Istadi and Amin [16] were used in this study. The authors sought to optimize a CO2-OCM process, by determining the condition that led to maximum CH4 conversion, C2 selectivity, and C2 yield.
The CaO/CeO2 and MnO/CeO2 catalysts were prepared by impregnating ceria (CeO2) with aqueous solutions of Ca(NO3)2 and Mn(NO3)2, respectively, as described in Istadi and Amin [56] and Istadi and Amin [16]. The catalytic performances were tested in an experimental set-up as described in Istadi and Amin [56]. The CH4 conversion, C2 selectivity, and C2 yield are calculated as defined by Wang et al. [26], considering that the carbon in methane is converted to C2H6, C2H4 and CO.
The most frequently used experimental design for data collection, for modeling the response surface functions, is a Central Composite Design (CCD). According to Myers et al. [36], a CCD is chosen because it is an efficient design for sequential experimentation, allowing a reasonable amount of information to test the error without requiring a large number of experiments. Additionally, the design accommodates a spherical region with five levels for each factor, which is advantageous from an experimental region point of view. The CCD was then employed in the experimental design. Using CO2/CH4 ratio (dimensionless), reactor temperature (K), wt.% CaO in ceria catalyst and wt.% MnO in ceria catalyst as the decision variables, a full factorial design 24 was performed with eight axial points and two center points, generating 26 experiments. The experimental matrix is shown in Table 1 in which x1 is the CO2/CH4 ratio, x2 is the reactor temperature, x3 is the wt.% CaO in ceria catalyst, x4 is the wt.% MnO in ceria catalyst, y1 is the CH4 conversion (%), y2 is the C2 selectivity (%), and y3 is the C2 yield (%). The fixed experimental conditions are [16,28]: catalyst weight = 2 g; total feed flow rate = 100 mL/min; total pressure = 1 atm; gas hourly space velocity = 3000 mL/(g h).
Table 1.
CCD for CH4 conversion (y1), C2 selectivity (y2) and C2 yield (y3).
It is important to note that the experimental matrix presented in Table 1 was planned using only 2 CP. This can be very detrimental to the stability of the prediction variance. Myers et al. [36] do not recommend using a CCD with only two CP, because this practice does not guarantee good dispersion of the prediction variance throughout the experimental region, and analyzing how the proposed method behaves in such designs is important. This was why we chose this experimental matrix.
The decision variables were analyzed in coded form. They were decoded only at the end of the analyses. This was done using the following equation [51]:
where: Hi and Lo are related to the values of level +1 and −1, respectively.
The parameters used in the experiments and their levels are shown in Table 2.
Table 2.
Parameters used in the experiments.
In the search for an optimization model that allows for the simultaneous conversion of CH4, C2 selectivity, and C2 yield, the decision-making process, based on multiple criteria, proposed by Rocha et al. [52] can be used. The authors sought to build a uniformly distributed Pareto frontier and a way to select the preferred Pareto optimal points as the ideal solution to a given problem. The authors used the NBI method, overcoming the disadvantages of the WSM method. To verify the robustness of the final result obtained, a variance metric was adopted. Although there are different measures of prediction performance to compare experimental designs, SPV is commonly adopted [57]. However, if direct comparisons between the expected variation of estimation are desired, UPV may be more appropriate.
5. Results and Discussion
The analysis of experimental data shown in Table 1 generated the mathematical modeling presented in Table 3.
Table 3.
Objective functions mathematical models.
Table 3 shows that the R2 values indicate a good fit for the model. The lack-of-fit test is shown in Table 3. In the lack-of-fit test, small p-values are undesirable. At a 5% significance level, all presented models were adequate.
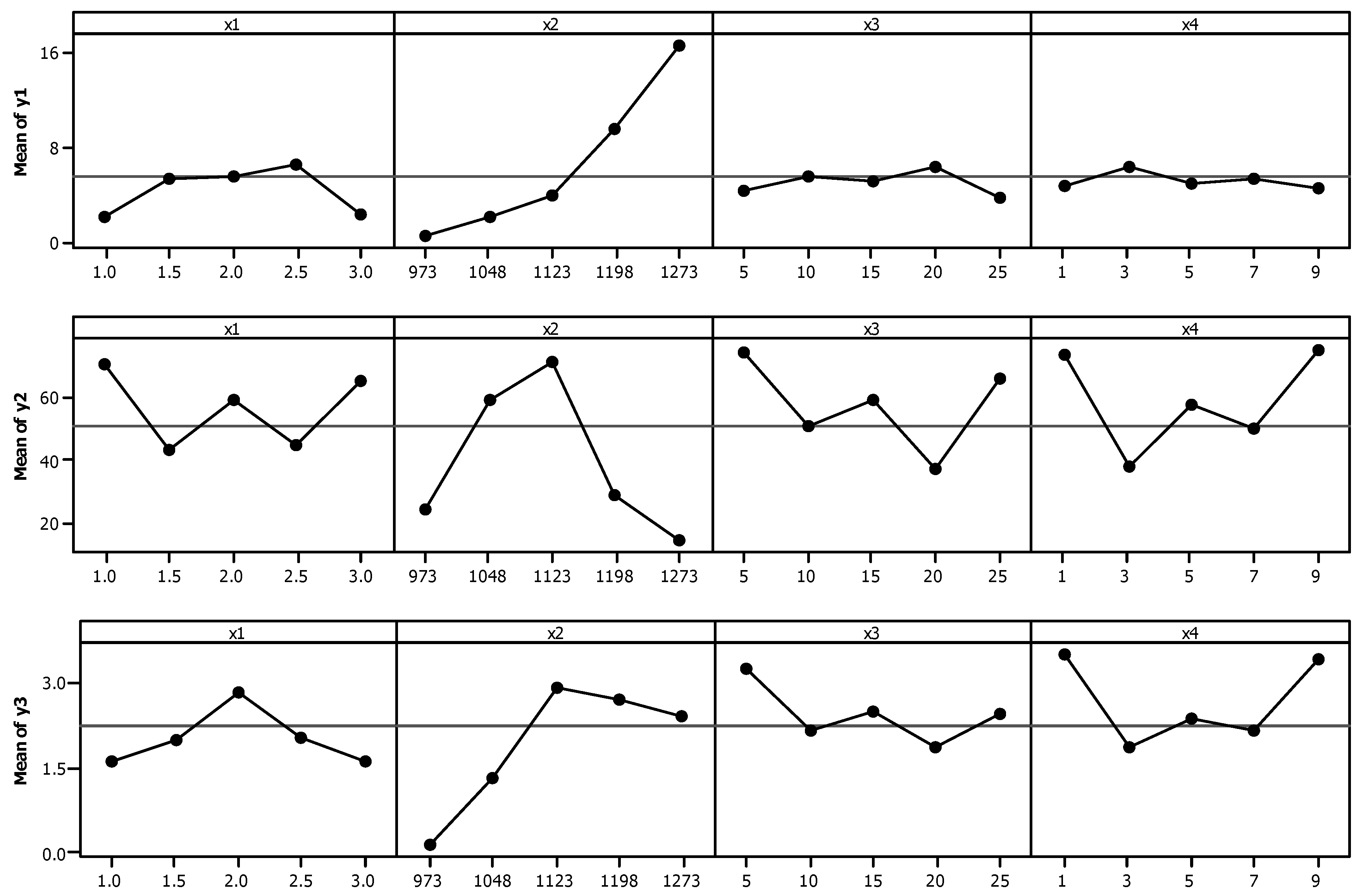
In order to establish a comparison of how each decision variable affects each response, the main effect plots for CH4 conversion (y1), C2 selectivity (y2) and C2 yield (y3) are shown in Figure 2.
Figure 2.
Main effect plots for CH4 conversion (y1), C2 selectivity (y2) and C2 yield (y3).
According to this analysis, the reactor temperature (x2) is the most significant factor in increasing CH4 conversion (y1). The reactor temperature (x2) is also an important factor when analyzing C2 selectivity (y2) and C2 yield (y3), but in a different way. The reactor temperature (x2) increases the C2 selectivity (y2) and C2 yield (y3) until reaching 1123 K. When increasing the temperature above 1123 K, C2 selectivity (y2) and C2 yield (y3) decrease. The drop is greater when analyzing the values of C2 selectivity (y2), and this could be attributed to more CH4 being converted into CO rather than C2H4 and/or C2H6 [16]. For C2 selectivity (y2) and C2 yield (y3) the factors wt.% CaO in ceria catalyst (x3) and wt.% MnO in ceria catalyst (x4) showed very similar behavior, and the highest values for the responses obtained were extreme factor values, i.e., 5 and 25% CaO, and 1 and 9% MnO in ceria catalyst. The considerable impact that these factors have on C2 selectivity (y2) and C2 yield (y3) highlights the importance of the catalysts in promoting the product selectivity to C2H4 and/or C2H6, and in inhibiting the reaction to form CO and H2O [16]. The CO2/CH4 ratio (x1) had different behavior for C2 selectivity (y2) and C2 yield (y3). While the highest value for C2 yield (y3) was observed for the CO2/CH4 ratio (x1) 2, the highest values for the C2 selectivity (y2) obtained were in the extreme CO2/CH4 ratio (x1) range. The 2.5 CO2/CH4 ratio (x1) led to the highest CH4 (y1) conversion value with a drop in the value of this response at CO2/CH4 ratio (x1) 3. The abundance of CO2 in the high CO2/CH4 ratio most likely decreased the catalyst activity by covering the catalyst active sites [16]. When analyzing only reactor temperature (x2), we saw that increased CH4 conversion (y1), C2 selectivity (y2) and C2 yield (y3) would be negatively affected, which corroborates the results presented by other authors [25,26,27]. We can see how these objectives are, thus, conflicting.
Figure 3 shows the response surfaces for CH4 conversion (y1), C2 selectivity (y2) and C2 yield (y3).
Figure 3.
Response surface for CH4 conversion (y1), C2 selectivity (y2) and C2 yield (y3) (hold values: x3 = 15, x4 = 5).
In order to check the convexity of the functions, before performing the multi-objective optimization, the nature of the stationary point was analyzed using Equation (14). For CH4 conversion (y1) the eigenvalues () are [1.2205; −0.5222; −0.1821; 0.1263], i.e., the different eigenvalues signs indicate that the function is neither concave nor convex and the stationary point is a saddle point. For C2 selectivity (y2) the eigenvalues () are [−17.1859; −4.6067; −2.3090; −1.3305]. Thus, the eigenvalue signs indicate that the function is concave and the stationary point is a maximum point. For C2 yield (y3) the eigenvalues () are [−0.7656; −0.5133; −0.2047; −0.0781]. The eigenvalue signs indicate that the function is concave and the stationary point is a maximum point. Through an analysis of the nature of the stationary point, we see that the functions have different convexities. Thus, the weighted sum method for multi-objective optimization is not adequate [58]. We therefore adopted the NBI method. To implement the NBI optimization routine, initially, the payoff matrix was estimated, obtaining the results shown in Table 4.
Table 4.
Payoff matrix for the objective functions.
The payoff matrix is an underlying part of the NBI implementation. After this step, a mixture design for the weights of each objective function was defined, as presented in Table 5.
Table 5.
Mixture design.
Table 5 presents the Pareto optimal set for the MOP under analysis. As shown in Rocha et al. [59], the prediction variance was affected by the weights assigned to the objectives.
Table 6 shows the Pearson Correlation analysis between the values that were previously presented in Table 5. Using the Pearson Correlation analysis we see that the ξ weighting metric has a statistically negative and significant correlation with the UPV. Therefore, when maximizing this metric, the variance values tend to be lower. This information indicates that the search for the most preferred Pareto optimal point in multi-objective optimization using this metric leads to a robust response from a variability point of view.
Table 6.
Pearson correlation coefficients.
Using data presented in Table 5, the entropy modeling, GPE, weighting metric (ξ), and UPV were performed. Their canonical mixing polynomials (Equations (24)–(27)), response surfaces and contour graphics were obtained (Figure 4, Figure 5, Figure 6 and Figure 7), which are presented below:
Figure 4.
Entropy response surface and contour plot.
Figure 5.
GPE response surface and contour plot.

Figure 6.
ξ response surface and contour plot.
Figure 7.
UPV response surface and contour plot.
It is interesting to note that all canonical polynomials of mixtures showed a good fit, with R2 close to 100%. The adopted variance metric, UPV, had the worst adjustments, with an R2 value equal to 82.83%. However, this value may be acceptable [36]. This analysis highlights the fact that it is possible to model the variance metric in terms of weights. This is because the weights interfere in the solution space. However, since the optimization of distinct functions is performed simultaneously, the solution space is not the same as the initial area of the DOE, and therefore, its shape is distinguished from the Hat Matrix shape when modeling the variance.
Lastly, when maximizing ξ, as described in Equation (26), weights w1, w2, and w3, related to the final solution, were identified as being w1 = 0.2603, w2 = 0.3202, and w3 = 0.4195. These optimal weights were used in a multi-objective optimization of CH4 conversion (y1), C2 selectivity (y2), and C2 yield (y3), reaching 8.806%, 51.468%, and 3.275%, respectively. This result is different from that obtained by Istadi and Amin [28] and Istadi and Amin [16]. When optimizing the responses using a bio-objective optimization process, the authors neglected the real trade-off behavior between the responses. The lower diversification among the responses almost led to a single-response optimization. The greatest challenge of this process is to achieve both high CH4 conversion (y1) and high C2 selectivity (y2), since it has been proven that these responses are in conflict one with the other [25,26,27]. Despite this trade-off, the results are acceptable [25] especially with respect to using low-valued natural gas.
The optimal coded values of the decision variables are CO2/CH4 ratio (x1) = 1.0060, reactor temperature (x2) = 0.7536, wt.% CaO in ceria catalyst (x3) = 0.4358, and wt.% MnO in ceria catalyst (x4) = 0.4822. Using Equation (23), the encoded values were transformed into uncoded values. Therefore, the optimal values of the decision variables are CO2/CH4 ratio (x1) = 2.50, reactor temperature (x2) = 1179.5 K, wt.% CaO in ceria catalyst (x3) = 17.2%, and wt.% MnO in ceria catalyst (x4) = 6.0%. The high CO2/CH4 ratio (x1) favors CH4 conversion (y1) [26]. A high reactor temperature (x2) leads to high CH4 conversion (y1), but the C2 yield (y3) decreases at reactor temperatures higher than 1173 K, due to low C2 selectivity (y2) [26,27]. The high wt.% CaO (x3) and wt.% MnO (x4) in ceria catalyst increases CH4 conversion (y1) and C2 selectivity (y2). According to Wang and Ohtsuka [27], these catalysts can activate CO2 to produce active oxygen for CH4 conversion (y1) and their basicity leads to improvements in C2 selectivity (y2).
The data presented in Table 5 were used to construct Figure 8. Here, the Pareto frontier constructed using the NBI method is presented, with the ideal point highlighted.
Figure 8.
Pareto frontier for CH4 conversion (y1), C2 selectivity (y2) and C2 yield (y3) optimization.
Figure 8 shows the uniform distribution of the optimal Pareto points on the frontier. This also presents the most preferrable Pareto point, which is the final solution for the MOP. The confidence interval values are shown in Table 7.
Table 7.
Confidence interval values for the responses.
For , the confidence interval of , for the mean response, at point is:
When analyzing the question involving variability, the final solution obtained that maximizes the ξ metric is robust, since this metric leads the solution in a region of minimum variance, with less variability, and greater reliability. However, the confidence interval of the C2 selectivity (y2) is higher than the other responses. This demonstrates that C2 selectivity (y2) is the most difficult parameter to control in the process.
Figure 9 shows the overlap of the different objective functions defining the feasible region for the analyzed problem.
Figure 9.
Point of optimization for CH4 conversion (y1), C2 selectivity (y2), and C2 yield (y3) optimization.
Figure 9 shows the conflicting nature between CH4 conversion (y1) and C2 selectivity (y2). An increase in CH4 conversion (y1) leads to a decrease in C2 selectivity (y2). In this study, the optimum point was chosen based on the maximization of metric ξ, and still, it was shown to be the most robust point. However, one can see that the region of maximum C2 yield (y3) lies within the feasible region for the problem, and is obtainable, even though this is not the most reliable, from a statistical process control point of view.
6. Conclusions
This paper studied direct low-value natural gas conversion using carbon dioxide oxidative coupling of methane over CaO/CeO2 and MnO/CeO2 catalysts to produce C2 hydrocarbons. The NBI method was adopted to simultaneously optimize CH4 conversion, C2 selectivity, and C2 yield. This method helped build an evenly distributed Pareto frontier for the three responses, regardless of the convexity of the functions.
The mathematical response model showed acceptable fitting, and the functions were proven adequate. Some results described in literature have been corroborated, e.g., the positive influence of reactor temperature in CH4 conversion, the negative influence of reactor temperature in C2 selectivity, the synergistic effect between reactor temperature, the wt.% CaO in ceria catalyst in increasing CH4 conversion and C2 yield, and the synergistic effect between reactor temperature and wt.% MnO in ceria catalyst in increasing C2 yield.
An entropic measure was used to select the most preferred ideal Pareto point for the final solution. The decision-making criteria was useful and fundamental in identifying and mapping regions with minimum variation within the optimal Pareto responses obtained in the optimization processes. Furthermore, this study demonstrates that the weights used in the multi-objective optimization process have an influence on the variation in the forecast of the responses obtained. This study also proves the robustness of the weighting process used in choosing the final solution.
The simultaneous optimal values for the objective functions were CH4 conversion = 8.806%, C2 selectivity = 51.468%, and C2 yield = 3.275%. These results were obtained by using the following process parameter combinations: CO2/CH4 ratio = 2.50, reactor temperature = 1179.5 K, wt.% CaO in ceria catalyst = 17.2%, and wt.% MnO in ceria catalyst = 6.0%. The analyses of the confidence interval for the responses showed that C2 selectivity has greater variability, and was the most difficult parameter to control in the process.
From an environmental point of view, this is an efficient process since it helps reduce CO2 and CH4 emissions and reduces waste, as hydrocarbon resources, specifically from low-value natural gas, can be used.
Author Contributions
Conceptualization, L.C.S.R., M.S.R.; methodology, L.C.S.R., P.R.J., G.A., R.S.P.; software, G.A.; validation, R.S.P.; formal analysis, L.C.S.R., M.S.R., G.A.; resources, M.S.R., G.A.; data curation, M.S.R.; writing—original draft preparation, M.S.R., R.O.A.; writing—review and editing, R.S.P., K.J.; visualization, L.C.S.R., P.R.J.; supervision, L.C.S.R., P.R.J.; project administration, L.C.S.R., P.R.J.; funding acquisition, P.R.J., K.J. All authors have read and agreed to the published version of the manuscript.
Funding
The APC was funded by Czech Science Foundation–Czech Republic (grant number 19-26812X).
Institutional Review Board Statement
Not applicable.
Informed Consent Statement
Not applicable.
Data Availability Statement
Not applicable.
Acknowledgments
The authors would like to thank the Czech Science Foundation–Czech Republic (grant number 19-26812X) for the financial support and research incentive. The authors also thank the Coordination for the Improvement of Higher Education Personnel–Capes Brazil (Process PVEX-88881.337019/2019-01), the Brazilian National Council for Scientific and Technological Development-CNPq Brazil (Processes 406769/2018-4, 308021/2019-3, 431546/2016-9 and 303852/2017-8) and the National School of Public Administration—ENAP Brazil (Process 04600.003102/2020-21).
Conflicts of Interest
The authors declare that there are no conflict of interest regarding the publication of this paper.
References
- Hajbabaeia, M.; Karavalakisa, G.; Johnsona, K.; Lee, L.; Durbina, T. Impact of natural gas fuel composition on criteria, toxic, and particle emissions from transit buses equipped with lean burn and stoichiometric engines. Energy 2013, 62, 425–434. [Google Scholar] [CrossRef]
- Karavalakisa, G.; Hajbabaeia, M.; Durbina, T.; Johnsona, K.; Zheng, Z.; Miller, W. The effect of natural gas composition on the regulated emissions, gaseous toxic pollutants, and ultrafine particle number emissions from a refuse hauler vehicle. Energy 2013, 50, 280–291. [Google Scholar] [CrossRef]
- Farzaneh-Gord, M.; Niazmand, A.; Deymi-Dashtebayaz, M.; Rahbari, H.R. Effects of natural gas compositions on CNG (compressed natural gas) reciprocating compressors performance. Energy 2015, 90, 1152–1162. [Google Scholar] [CrossRef]
- Shi, J.; Yao, L.; Hu, C. Effect of CO2 on the structural variation of Na2WO4/Mn/SiO2 catalyst for oxidative coupling of methane to ethylene. J. Energy Chem. 2015, 24, 394–400. [Google Scholar] [CrossRef]
- Yuliati, L.; Yoshida, H. Photocatalytic Conversion of Methane. Chem. Soc. Rev. 2008, 37, 1592–1602. [Google Scholar] [CrossRef] [PubMed]
- Esche, E.; Müller, D.; Song, S.; Wozny, G. Optimization during the process synthesis: Enabling the oxidative coupling of methane by minimizing the energy required for the carbon dioxide removal. J. Clean. Prod. 2015, 91, 100–108. [Google Scholar] [CrossRef]
- Holmen, A. Direct conversion of methane to fuels and chemicals. Catal. Today 2009, 142, 2–8. [Google Scholar] [CrossRef]
- Fonseca, M.N.; Pamplona, E.O.; Valerio, V.E.M.; Aquila, G.; Rocha, L.C.S.; Rotela, P., Jr. Oil price volatility: A real option valuation approach in an African oil field. J. Pet. Sci. Eng. 2017, 150, 297–304. [Google Scholar] [CrossRef]
- Lercher, J.A.; Bitter, J.H.; Steghuis, A.G.; Van Ommen, J.G.; Seshan, K. Methane Utilization via Synthesis Gas Generation—Catalytic Chemistry and Technology. In Environmental Catalysis; Jannsen, F.J.J.G., van Santen, R.A., Eds.; Imperial College Press: London, UK, 1999; pp. 103–126. [Google Scholar]
- Lunsford, J.H. Catalytic conversion of methane to more useful chemicals and fuels: A challenge for the 21st century. Catal. Today 2000, 63, 165–174. [Google Scholar] [CrossRef]
- Cheng, Z.; Sherman, B.J.; Lo, C.S. Carbon dioxide activation and dissociation on ceria (110): A density functional theory study. J. Chem. Phys. 2013, 138, 014702. [Google Scholar] [CrossRef]
- Krawczyk, K.; Młotek, M.; Ulejczyk, B.; Schmidt-Szałowski, K. Methane conversion with carbon dioxide in plasma-catalytic system. Fuel 2014, 117, 608–617. [Google Scholar] [CrossRef]
- Shahhosseini, H.R.; Farsi, M.; Eini, S. Multi-objective optimization of industrial membrane SMR to produce syngas for Fischer-Tropsch production using NSGA-II and decision makings. J. Nat. Gas Sci. Eng. 2016, 32, 222–238. [Google Scholar] [CrossRef]
- Vatani, A.; Jabbari, E.; Askarieh, M.; Torangi, M.A. Kinetic modeling of oxidative coupling of methane over Li/MgO catalyst by genetic algorithm. J. Nat. Gas Sci. Eng. 2014, 20, 347–356. [Google Scholar] [CrossRef]
- Suhartanto, T.; York, A.P.E.; Hanif, A.; Al-Megren, H.; Green, M.L.H. Potential utilisation of Indonesia’s Natuna natural gas field via methane dry reforming to synthesis gas. Catal. Lett. 2001, 71, 49–54. [Google Scholar] [CrossRef]
- Amin, N.A.S. Optimization of process parameters and catalyst compositions in carbon dioxide oxidative coupling of methane over CaO–MnO/CeO2 catalyst using response surface methodology. Fuel Process. Technol. 2006, 87, 449–459. [Google Scholar]
- Havran, V.; Duduković, M.P.; Lo, C.S. Conversion of Methane and Carbon Dioxide to Higher Value Products. Ind. Eng. Chem. Res. 2011, 50, 7089–7704. [Google Scholar] [CrossRef]
- Spinicci, R.; Marini, P.; De Rossi, S.; Faticanti, M.; Porta, P. Oxidative coupling of methane on LaAlO3 perovskites partially substituted with alkali or alkali-earth ions. J. Mol. Catal. A Chem. 2001, 176, 253–265. [Google Scholar] [CrossRef]
- Keller, G.E.; Bhasin, M.M. Synthesis of Ethylene via Oxidative Coupling of Methane: I. Determination of Active Catalysts. J. Catal. 1982, 73, 9–19. [Google Scholar] [CrossRef]
- Otsuka, K.; Shimizu, Y.; Komatsu, T. Ba Doped Cerium Oxides Active for Oxidative Coupling of Methane. Chem. Lett. 1987, 16, 1835–1838. [Google Scholar] [CrossRef]
- Hutchings, G.J.; Scurrell, M.S.; Woodhouse, J.R. Partial oxidation of methane over samarium and lanthanum oxides: A study of the reaction mechanism. Catal. Today 1989, 4, 371–381. [Google Scholar] [CrossRef]
- Kuo, J.W.C.; Kresge, C.T.; Palermo, R.E. Evaluation of direct methane conversion to higher hydrocarbons and oxygenates. Catal. Today 1989, 4, 463–470. [Google Scholar] [CrossRef]
- Cailin, T.; Jingling, Z.; Liwu, L. Roles of oxygen and carbon dioxide on methane oxidative coupling over CaO and Sm2O3 catalysts. App. Catal. A Gen. 1994, 115, 243–256. [Google Scholar] [CrossRef]
- Asami, K.; Fujita, T.; Kusakabe, K.; Nishiyama, Y.; Ohtsuka, Y. Conversion of methane with carbon dioxide into C2 hydrocarbons over metal oxides. Catal. A Gen. 1995, 126, 245–255. [Google Scholar] [CrossRef]
- Wang, Y.; Takahashi, Y.; Ohtsuka, Y. Carbon dioxide-induced selective conversion of methane to C2 hydrocarbons on CeO2 modified with CaO. Catal. A Gen. 1998, 172, L203–L206. [Google Scholar] [CrossRef]
- Wang, Y.; Takahashi, Y.; Ohtsuka, Y. Carbon dioxide as oxidant for the conversion of methane to ethane and ethylene using modified CeO2 catalyst. J. Catal. 1999, 186, 160–168. [Google Scholar] [CrossRef]
- Wang, Y.; Ohtsuka, Y. Mn-based binary oxides as catalyst for the conversion of methane to C2 hydrocarbon with carbon dioxide as an oxidant. Appl. Catal. A Gen. 2001, 219, 183–193. [Google Scholar] [CrossRef]
- Amin, N.A.S. A hybrid numerical approach for multi-responses optimization of process parameters and catalyst compositions in CO2 OCM process over CaO-MnO/CeO2 catalyst. Chem. Eng. J. 2005, 106, 213–227. [Google Scholar]
- Farsi, A.; Moradi, A.; Ghader, S.; Shadravan, V.; Manan, Z.A. Kinetics investigation of direct natural gas conversion by oxidative coupling of methane. J. Nat. Gas Sci. Eng. 2010, 2, 270–274. [Google Scholar] [CrossRef]
- Khammona, K.; Assabumrungrat, S.; Wiyaratn, W. Reviews on Coupling of Methane over Catalysts for Application in C2 Hydrocarbon Production. J. Eng. Appl. Sci. 2012, 7, 447–455. [Google Scholar]
- Oshima, K.; Tanaka, K.; Yabe, T.; Kikuchi, E.; Sekine, Y. Oxidative coupling of methane using carbon dioxide in an electric field over La–ZrO2 catalyst at low external temperature. Fuel 2013, 107, 879–881. [Google Scholar] [CrossRef]
- Crabtree, R.H. Aspects of Methane Chemistry. Chem. Rev. 1995, 95, 987–1007. [Google Scholar] [CrossRef]
- Anderson-Cook, C.M.; Borror, C.M.; Montgomery, D.C. Response surface design evaluation and comparison. J. Stat. Plan. Inference 2009, 139, 629–641. [Google Scholar] [CrossRef]
- Miettinen, K. Nonlinear Multiobjective Optimization; Kluwer Academic Publishers: Boston, MA, USA, 1999. [Google Scholar]
- Baril, C.; Yacout, S.; Clément, B. Design for Six Sigma through collaborative multiobjective optimization. Comput. Ind. Eng. 2011, 60, 43–55. [Google Scholar] [CrossRef]
- Myers, R.H.; Montgomery, D.C.; Anderson-Cook, C.M. Response Surface Methodology: Process and Product Optimization Using Designed Experiments, 3rd ed.; John Wiley & Sons: Hoboken, NJ, USA, 2009. [Google Scholar]
- Shahraki, A.F.; Noorossana, R. Reliability-based robust design optimization: A general methodology using genetic algorithm. Comput. Ind. Eng. 2014, 74, 199–207. [Google Scholar] [CrossRef]
- Shukla, P.K.; Deb, K. On finding multiple Pareto-optimal solutions using classical and evolutionary generating methods. Eur. J. Oper. Res. 2007, 181, 1630–1652. [Google Scholar] [CrossRef]
- Vahidinasab, V.; Jadid, S. Normal boundary intersection method for suppliers’ strategic bidding in electricity markets: An environmental/economic approach. Energy Convers. Manag. 2010, 51, 1111–1119. [Google Scholar] [CrossRef]
- Das, I.; Dennis, J.E. Normal boundary intersection: A new method for generating the Pareto surface in nonlinear multicriteria optimization problems. SIAM J. Optim. 1998, 8, 631–657. [Google Scholar] [CrossRef]
- Mela, K.; Tiainen, T.; Heinisuo, M.; Baptiste, P. Comparative study of multiple criteria decision making methods for building design. Adv. Eng. Inform. 2012, 26, 716–726. [Google Scholar] [CrossRef]
- Szeląg, M.; Greco, S.; Słowiński, R. Variable consistency dominance-based rough set approach to preference learning in multicriteria ranking. Inf. Sci. 2014, 277, 525–552. [Google Scholar] [CrossRef]
- Ibáñes-Forés, V.; Bovea, M.D.; Pérez-Belis, V. A holistic review of applied methodologies for assessing and selecting the optimal technological alternative from a sustainability perspective. J. Clean. Prod. 2014, 70, 259–281. [Google Scholar] [CrossRef]
- Taboada, H.A.; Baheranwala, F.; Coit, D.W.; Wattanapongsakorn, N. Practical solutions for multi-objective optimization: An application to system reliability design problems. Reliab. Eng. Syst. Saf. 2007, 92, 314–322. [Google Scholar] [CrossRef]
- Gaudreault, C.; Samson, R.; Stuart, P. Implications of choices and interpretation in LCA for multi-criteria process design: De-inked pulp capacity and cogeneration at a paper mill case study. J. Clean. Prod. 2009, 17, 1535–1546. [Google Scholar] [CrossRef]
- Pilavachi, P.A.; Stephanidis, S.D.; Pappas, V.A.; Afgan, N.H. Multi-criteria evaluation of hydrogen and natural gas fuelled power plant technologies. Appl. Therm. Eng. 2009, 29, 2228–2234. [Google Scholar] [CrossRef]
- Figueira, J.R.; Greco, S.; Słowiński, R. Building a set of additive value functions representing a reference preorder and intensities of preference: GRIP method. Eur. J. Oper. Res. 2009, 195, 460–486. [Google Scholar] [CrossRef]
- Zeleny, M. A Concept of compromise solutions and the method of the displaced ideal. Comput. Oper. Res. 1974, 1, 479–496. [Google Scholar] [CrossRef]
- Zeleny, M. The theory of the displaced ideal. In Lecture Notes in Economics and Mathematical Systems, No. 123: Multiple Criteria Decision Making—Kyoto; Zeleny, M., Ed.; Springer: Berlin/Heidelberg, Germany, 1975. [Google Scholar]
- Rocha, L.C.S.; Paiva, A.P.; Balestrassi, P.P.; Severino, G.; Rotela, P., Jr. Entropy-Based weighting applied to normal boundary intersection approach: The vertical turning of martensitic gray cast iron piston rings case. Acta Sci. Technol. 2015, 37, 361–371. [Google Scholar] [CrossRef]
- Rocha, L.C.S.; Paiva, A.P.; Rotela, P., Jr.; Balestrassi, P.P.; Campos, P.H.S. Robust multiple criteria decision making applied to optimization of AISI H13 hardened steel turning with PCBN wiper tool. Int. J. Adv. Manuf. Technol. 2017, 89, 2251–2268. [Google Scholar] [CrossRef]
- Rocha, L.C.S.; Paiva, A.P.; Balestrassi, P.P.; Severino, G.; Rotela, P., Jr. Entropy-Based Weighting for Multiobjective Optimization: An Application on Vertical Turning. Math. Probl. Eng. 2015, 2015, 608325. [Google Scholar] [CrossRef]
- Shannon, C.E. A mathematical theory of communication. Bell Syst. Tech. J. 1948, 27, 379–423. [Google Scholar] [CrossRef]
- Rocha, L.C.S.; Paiva, A.P.; Paiva, E.J.; Balestrassi, P.P. Comparing DEA and principal component analysis in the multiobjective optimization of P-GMAW process. J. Braz. Soc. Mech. Sci. Eng. 2016, 38, 2513–2526. [Google Scholar] [CrossRef]
- Rocha, L.C.S.; Rotela, P., Jr.; Aquila, G.; Paiva, A.P.; Balestrassi, P. Toward a robust optimal point selection: A multiple-criteria decision-making process applied to multi-objective optimization using response surface methodology. Eng. Comput. 2020. [Google Scholar] [CrossRef]
- Amin, N.A.S. Screening of MgO- and CeO2-Based Catalysts for Carbon Dioxide Oxidative Coupling of Methane to C2+ Hydrocarbons. J. Nat. Gas Chem. 2004, 13, 23–35. [Google Scholar]
- Zahran, A.; Anderson-Cook, C.M.; Myers, R.H. Fraction of Design Space to Assess Prediction Capability of Response Surface Designs. J. Qual. Technol. 2003, 35, 377–386. [Google Scholar] [CrossRef]
- Das, I.; Dennis, J.E. A closer look at drawbacks of minimizing weighted sums of objectives for Pareto set generation in multicriteria optimization problems. Struct. Optim. 1997, 14, 63–69. [Google Scholar] [CrossRef]
- Rocha, L.C.; Paiva, A.P.; Rotela, P., Jr.; Balestrassi, P.P.; Campos, P.H.; Davim, J.P. Robust weighting applied to optimization of AISI H13 hardened-steel turning process with ceramic wiper tool: A diversity-based approach. Precis. Eng. 2017, 50, 235–247. [Google Scholar] [CrossRef]
Publisher’s Note: MDPI stays neutral with regard to jurisdictional claims in published maps and institutional affiliations. |
© 2021 by the authors. Licensee MDPI, Basel, Switzerland. This article is an open access article distributed under the terms and conditions of the Creative Commons Attribution (CC BY) license (http://creativecommons.org/licenses/by/4.0/).









