On Using the BMCSL Equation of State to Renormalize the Onsager Theory Approach to Modeling Hard Prolate Spheroidal Liquid Crystal Mixtures
Abstract
1. Introduction
2. Theoretical Methods
2.1. Calculating the Excluded Volume of Two Prolate Spheroids Given a Relative Orientation
2.2. Onsager Theory with the Lee–Parsons Resummation Term for a Pure Component Liquid Crystal Phase
2.3. Onsager Theory with the Lee–Parsons Resummation Terms Derived from the BMCSL Equation of State for a Liquid Crystal Mixture
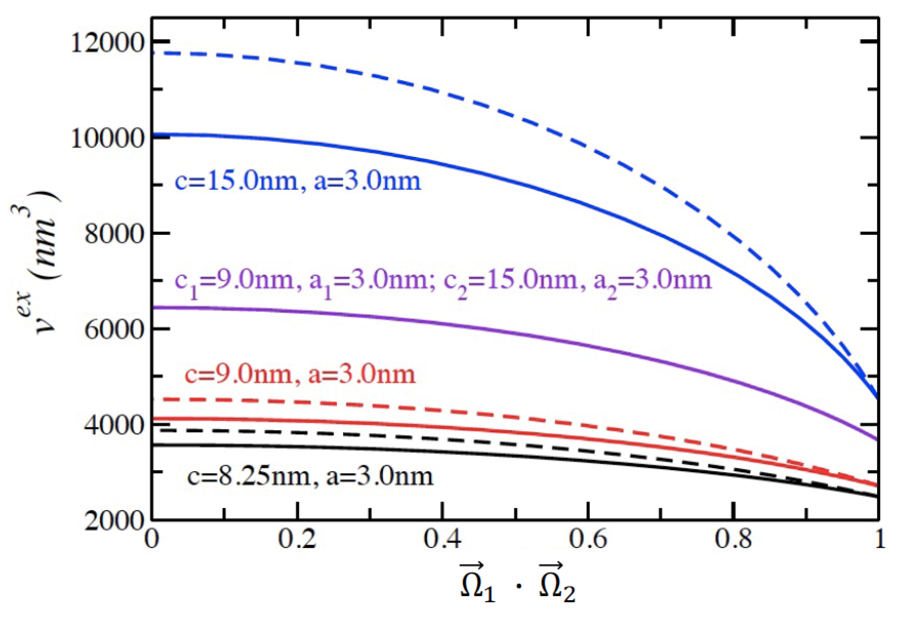
3. Results and Discussion
4. Conclusions
Author Contributions
Funding
Data Availability Statement
Conflicts of Interest
References
- Onsager, L. The effects of shape on the interaction of colloidal particles. Ann. N. Y. Acad. Sci. 1949, 51, 627–659. [Google Scholar] [CrossRef]
- Barrat, J.L.; Hansen, J.P. Basic Concepts for Simple and Complex Liquids; Cambridge University Press: Cambridge, UK, 2003. [Google Scholar]
- Vroege, G.J.; Lekkerkerker, H.N. Phase transitions in lyotropic colloidal and polymer liquid crystals. Rep. Prog. Phys. 1992, 55, 1241–1309. [Google Scholar] [CrossRef]
- Allen, M.P.; Evans, G.T.; Frenkel, D.; Mulder, B.M. Hard convex body fluids. Adv. Chem. Phys. 1993, 86, 1–66. [Google Scholar]
- Parsons, J.D. Nematic ordering in a system of rods. Phys. Rev. A 1979, 19, 1225–1230. [Google Scholar] [CrossRef]
- Lee, S.-D. A numerical investigation of nematic ordering based on a simple hard-rod model. J. Chem. Phys. 1987, 87, 4972–4974. [Google Scholar] [CrossRef]
- Lee, S.-D. The Onsager-type theory for nematic ordering of finite-length hard ellipsoids. J. Chem. Phys. 1988, 89, 7036–7037. [Google Scholar] [CrossRef]
- Carnahan, N.F.; Starling, K.E. Equation of state for nonattracting rigid spheres. J. Chem. Phys. 1969, 51, 635–636. [Google Scholar] [CrossRef]
- Uline, M.J.; Meng, S.; Szleifer, I. Surfactant driven surface anchoring transitions in liquid crystal thin films. Soft Matter 2010, 6, 5482–5490. [Google Scholar] [CrossRef]
- Tjipto-Margo, B.; Evans, G.T. The Onsager theory of the isotropic–nematic liquid crystal transition: Incorporation of the higher virial coefficients. J. Chem. Phys. 1990, 93, 4254–4265. [Google Scholar] [CrossRef]
- Tjipto-Margo, B.; Evans, G.T. The Onsager theory of the isotropic–nematic liquid–crystal transition: Biaxial particles in uniaxial phases. J. Chem. Phys. 1991, 94, 4546–4556. [Google Scholar] [CrossRef]
- Colot, J.L.; Wu, X.G.; Xu, H.; Baus, M. Density-functional, Landau, and Onsager theories of the isotropic-nematic transition of hard ellipsoids. Phys. Rev. A 1988, 38, 2022–2036. [Google Scholar] [CrossRef]
- Mansoori, G.A.; Carnahan, N.F.; Starling, K.E.; Leland, T.W., Jr. Equilibrium thermodynamic properties of the mixture of hard spheres. J. Chem. Phys. 1971, 54, 1523–1525. [Google Scholar] [CrossRef]
- Uline, M.J.; Szleifer, I. Mode specific elastic constants for the gel, liquid-ordered, and liquid-disordered phases of DPPC/DOPC/cholesterol model lipid bilayers. Faraday Discuss. 2013, 161, 177–191. [Google Scholar] [CrossRef][Green Version]
- Uline, M.J.; Corti, D.S. The ammonia synthesis reaction: An exception to the Le Châtelier principle and effects of nonideality. J. Chem. Educ. 2006, 83, 138–144. [Google Scholar] [CrossRef]
- Cuetos, A.; Martinez-Haya, B.; Lago, S.; Rull, L.F. Use of Parsons-Lee and Onsager theories to predict nematic and demixing behavior in binary mixtures of hard rods and hard spheres. Phys. Rev. E 2007, 75, 061701. [Google Scholar] [CrossRef] [PubMed]
- Uline, M.J.; Corti, D.S. Activated instability of homogeneous droplet nucleation and growth. J. Chem. Phys. 2008, 129, 234507. [Google Scholar] [CrossRef] [PubMed]
- Uline, M.J.; Torabi, K.; Corti, D.S. Homogeneous nucleation and growth in simple fluids. I. Fundamental issues and free energy surfaces of bubble and droplet formation. J. Chem. Phys. 2010, 133, 174511. [Google Scholar] [CrossRef] [PubMed]
- Yu, Y.X.; Wu, J. Structures of hard-sphere fluids from a modified fundamental-measure theory. J. Chem. Phys. 2002, 117, 10156–10164. [Google Scholar] [CrossRef]
- Perram, J.W.; Wertheim, M.S. Statistical mechanics of hard ellipsoids. I. Overlap algorithm and the contact function. J. Comput. Phys. 1985, 58, 409–416. [Google Scholar] [CrossRef]
- Frenkel, D.; Mulder, B.M. The hard ellipsoid-of-revolution fluid: I. Monte Carlo simulations. Mol. Phys. 1985, 55, 1171–1192. [Google Scholar] [CrossRef]
- Varga, S.; Purdy, K.; Galindo, A.; Fraden, S.; Jackson, G. Nematic-nematic phase separation in binary mixtures of thick and thin hard rods: Results from Onsager-like theories. Phys. Rev. E 2005, 72, 051704. [Google Scholar] [CrossRef] [PubMed]
- Lekkerkerker, H.N.; Coulon, P.; Van Der Haegen, R.; Deblieck, R. On the isotropic-liquid crystal phase separation in a solution of rodlike particles of different lengths. J. Chem. Phys. 1984, 80, 3427–3433. [Google Scholar] [CrossRef]
- Vroege, G.J.; Lekkerkerker, H.N. Theory of the isotropic-nematic-nematic phase separation for a solution of bidisperse rodlike particles. J. Phys. Chem. 1993, 97, 3601–3605. [Google Scholar] [CrossRef][Green Version]
- Dijkstra, M.; van Roij, R. Entropy-driven demixing in binary hard-core mixtures: From hard spherocylinders towards hard spheres. Phys. Rev. E 1997, 56, 5594. [Google Scholar] [CrossRef]
- Sadati, M.; Martinez-Gonzalez, J.A.; Zhou, Y.; Qazvini, N.T.; Kurtenbach, K.; Li, X.; Bukusoglu, E.; Zhang, R.; Abbott, N.L.; Hernandez-Ortiz, J.P.; et al. Prolate and oblate chiral liquid crystal spheroids. Sci. Adv. 2020, 6, 6728. [Google Scholar] [CrossRef]
- Sadati, M.; Apik, A.; Armas-Perez, J.C.; Martinez-Gonzalez, J.; Hernandez-Ortiz, J.P.; Abbott, N.L.; de Pablo, J.J. Liquid crystal enabled early stage detection of beta amyloid formation on lipid monolayers. Adv. Funct. Mater. 2015, 25, 6050–6060. [Google Scholar] [CrossRef]
- Zhou, Y.; Guo, A.; Zhang, R.; Armas-Perez, J.C.; Martínez-González, J.A.; Rahimi, M.; Sadati, M.; de Pablo, J.J. Mesoscale structure of chiral nematic shells. Soft Matter 2016, 12, 8983–8989. [Google Scholar] [CrossRef]




| Pure Component Isotropic-Nematic Transition Data | |||
|---|---|---|---|
| Simulation Data [21] | Gaussian Overlap Excluded Volume with z = 4 | Rigorous Excluded Volume with z = 4 | Rigorous Excluded Volume with z = 3 |
| c = 8.25 nm, a = 3.0 nm | c = 8.25 nm, a = 3.0 nm | c = 8.25 nm, a = 3.0 nm | c = 8.25 nm, a = 3.0 nm |
| ηiso = 0.561 βP* = 30.0 | ηiso = 0.544 βP* = 25.2 | ηiso = 0.595 βP* = 38.4 | ηiso = 0.538 βP* = 29.6 |
| ηnem = 0.570 βμ* = 29.96 | ηnem = 0.552 βμ* = 25.5 | ηnem = 0.601 βμ* = 37.0 | ηnem = 0.544 βμ* = 31.9 |
| c = 9.0 nm, a = 3.0 nm | c = 9.0 nm, a = 3.0 nm | c = 9.0 nm, a = 3.0 nm | c = 9.0 nm, a = 3.0 nm |
| ηiso = 0.507 βP* = 18.69 | ηiso = 0.508 βP* = 19.07 | ηiso = 0.561 βP* = 28.95 | ηiso = 0.503 βP* = 22.38 |
| ηnem = 0.571 βμ* = 19.27 | ηnem = 0.517 βμ* = 19.77 | ηnem = 0.568 βμ* = 28.81 | ηnem = 0.511 βμ* = 25.01 |
Publisher’s Note: MDPI stays neutral with regard to jurisdictional claims in published maps and institutional affiliations. |
© 2021 by the authors. Licensee MDPI, Basel, Switzerland. This article is an open access article distributed under the terms and conditions of the Creative Commons Attribution (CC BY) license (https://creativecommons.org/licenses/by/4.0/).
Share and Cite
Ohadi, D.; Corti, D.S.; Uline, M.J. On Using the BMCSL Equation of State to Renormalize the Onsager Theory Approach to Modeling Hard Prolate Spheroidal Liquid Crystal Mixtures. Entropy 2021, 23, 846. https://doi.org/10.3390/e23070846
Ohadi D, Corti DS, Uline MJ. On Using the BMCSL Equation of State to Renormalize the Onsager Theory Approach to Modeling Hard Prolate Spheroidal Liquid Crystal Mixtures. Entropy. 2021; 23(7):846. https://doi.org/10.3390/e23070846
Chicago/Turabian StyleOhadi, Donya, David S. Corti, and Mark J. Uline. 2021. "On Using the BMCSL Equation of State to Renormalize the Onsager Theory Approach to Modeling Hard Prolate Spheroidal Liquid Crystal Mixtures" Entropy 23, no. 7: 846. https://doi.org/10.3390/e23070846
APA StyleOhadi, D., Corti, D. S., & Uline, M. J. (2021). On Using the BMCSL Equation of State to Renormalize the Onsager Theory Approach to Modeling Hard Prolate Spheroidal Liquid Crystal Mixtures. Entropy, 23(7), 846. https://doi.org/10.3390/e23070846

