Routing Strategies for Isochronal-Evolution Random Matching Network
Abstract
1. Introduction
1.1. Background
1.2. Related Works on Models for Real-World Networks
- These models do not consider cases where the edges of the aforementioned network are pairwise disjoint at any time.
- The lifetime of each edge of the aforementioned network may not be continuous and follow a certain probability distribution, which does not meet the conditions of these models.
- The time scale of the aforementioned network is different from those of these models, because the aforementioned network pays more attention to the value of all slots than to the duration of a slot.
1.3. Model of the Isochronal-Evolution Random Matching Network
1.4. Related Works on Routing Strategies
2. Isochronal-Evolution Random Matching Network
2.1. Introduction of IERMN
2.2. Introduction of Traffic Dynamics in IERMN
- At each time step, packets with random SVF and DVF are generated in the IERMN, and is called the packet generation rate.
- Once a packet has been generated, it is stored in the queue of its source vertex. When a packet is transmitted, it is stored in the queue of the vertex, which is not its destination. If a packet has been delivered to its destination, it will be deleted permanently.
- At each time step, each vertex can send, at most, packets () to its successor, and represents the delivery capability of a vertex.
- A successor vertex receives any packets sent by its predecessor vertex.
- The queue of each vertex is infinite.
- Each packet can be transmitted from a predecessor vertex to its successor vertex in one slot.
3. Path Planning and Routing Decision-Making in the IERMN
3.1. Definition and Expression of the Path
3.2. Path Planning
3.3. Routing Decision-Making
- First-in-first-out (FIFO). The packet that is created or received by a vertex is placed at the end of its queue. The vertex always chooses to send the packet that is at the head of the queue.
- Path iteration avoidance (PIA). Any edge or vertex cannot be visited more than twice by the same packet.
| Algorithm 1. Routing decision-making algorithm for a vertex in an IERMN | 
| Input: Queue of  and current slot Output: The routing action taken by in slot 
 | 
4. Two Routing Strategies
4.1. Shortest Paths in the IERMN
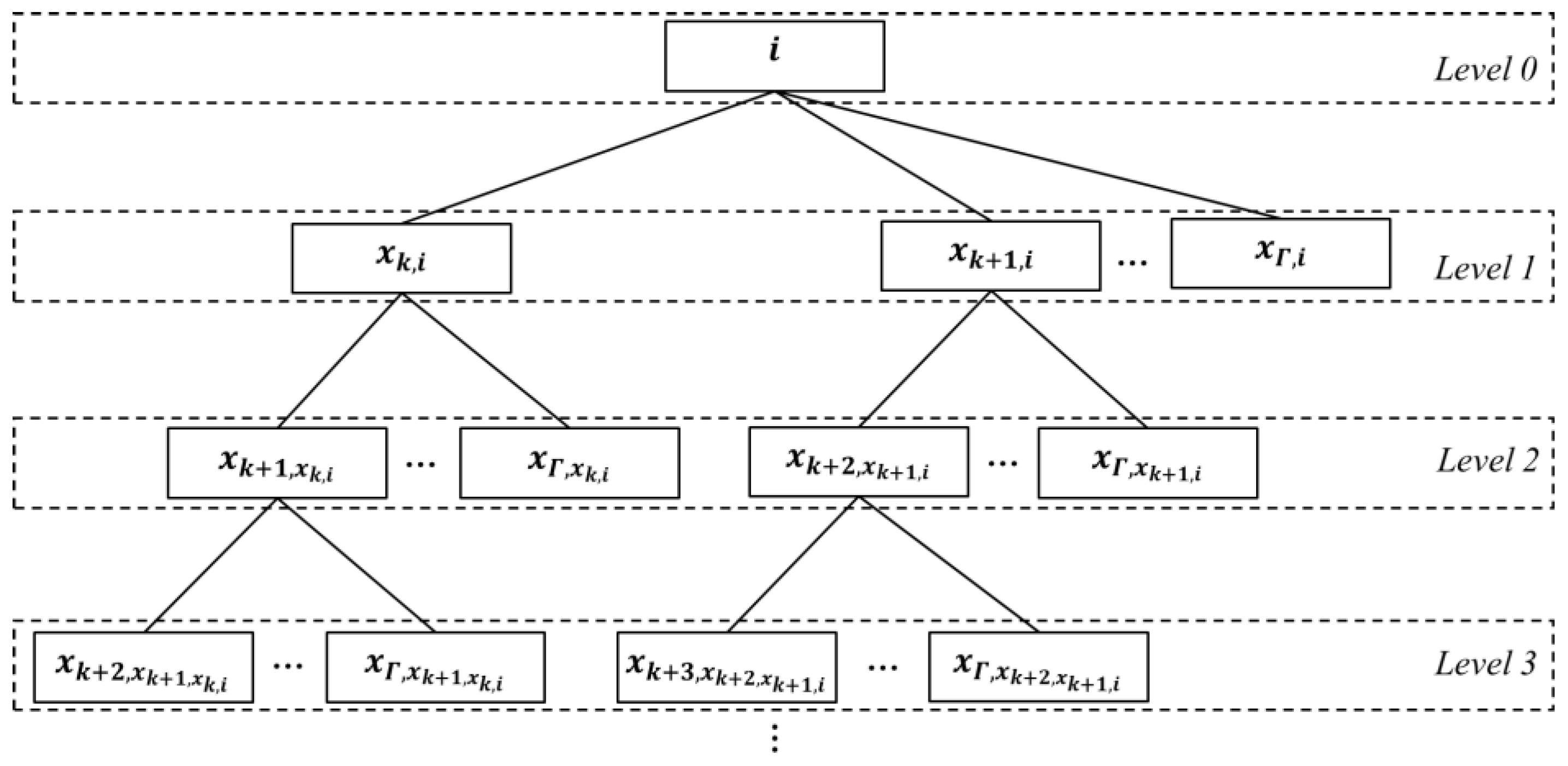
4.2. Planning Algorithm for the LDPMH
| Algorithm 2. Planning algorithm for the LDPMH | 
| Input: , source vertex , destination vertex , planning slot Output: the LDPMH from to 
 | 
4.3. Planning Algorithm for the LHPMD
| Algorithm 3. Planning algorithm for the LHPMD | 
| Input: , source vertex , destination vertex , planning slot Output: the LHPMD from to 
 | 
5. Simulation Experiments and Analyses
5.1. Simulation Design
5.2. Simulation Analyses
5.2.1. Simulation Analyses of the Critical Packet Generation Rate
5.2.2. Simulation Analyses of the Number of Delivered Packets
- When , the IERMNs in Scenario and Scenario are in the free-flow state and there are tiny differences in the number of delivered packets between them.
- When , the IERMNs in Scenario and Scenario are in the congestion state and there are large gaps in the number of delivered packets between them.
5.2.3. Simulation Analyses of the Posterior Path Length
- When , the gap between Scenario 1 and Scenario 2 in the APPSL is narrowed with an increase in , and the APPSLs of Scenario 1 are always larger than those of Scenario 2, so the APPTLs are too.
- When , the APPSLs and the APPTLs of Scenario 5 are larger than those of Scenario 6 in the beginning; afterwards, Scenario 6 overtakes Scenario 5 as increases.
- When (), the gap between Scenario and Scenario in terms of the APPSLs becomes a little smaller, and the APPSLs of Scenario outnumber those of Scenario , so the APPTLs do too.
5.3. Comparison with the Benchmark Method
6. Discussion and Conclusions
- In terms of the maximum traffic capability of the IERMN, the LHPMD routing strategy performs better than the LDPMH routing strategy.
- In terms of the capability of delivering packets to their destinations, when the IERMN is in the free-flow state, the performance of the LDPMH routing strategy nearly equals that of the LHPMD routing strategy; when the IERMN is congested, the LHPMD routing strategy overwhelms the LDPMH routing strategy.
- In terms of the average posterior path length of the delivered packets, when the IERMN is in the free-flow state, the LHPMD routing strategy is better than the LDPMH routing strategy; when the IERMN is in the congestion state, the LHPMD routing strategy is better in some cases, and the LDPMH routing strategy is better in other cases.
Author Contributions
Funding
Institutional Review Board Statement
Data Availability Statement
Conflicts of Interest
Abbreviation
| Abbreviation | Meaning | 
| ABMS | Agent Based Modeling and Simulation | 
| APPSL | Average Posterior Path Spatial Length | 
| APPTL | Average Posterior Path Temporal Length | 
| BDS | BeiDou Navigation Satellite System | 
| LDPMH-BST | Binary Search Tree for planning LDPMH | 
| DVF | Destination Vertex Field | 
| FIFO | First-In-First-Out | 
| FPF | Future Path Field | 
| ISL | Inter-Satellite Links | 
| IEN | Isochronal-Evolution Networks | 
| IERMN | Isochronal-Evolution Random Matching Network | 
| IERPMN | Isochronal-Evolution Random Perfect-Matching Network | 
| LDP | Least Delay Path | 
| LDPMH | Least Delay Path with Minimum Hop | 
| LHP | Least Hop Path | 
| LHPMD | Least Hop Path with Minimum Delay | 
| MCN | mobile call network | 
| LHPMD-OT | Ordered Tree for planning LHPMD | 
| PIA | Path Iteration Avoidance | 
| RMN | Random Matching Network | 
| RPMN | Random Perfect-Matching Network | 
| SVVF | Set of Visited Vertices Field | 
| SVF | Source Vertex Field | 
| SEAS | System-of-systems Effectiveness Analysis Simulation | 
| Notation | Meaning | 
| number of all vertices in a network | |
| number of all edges in a network | |
| matrix that shows which edges exist at some slot | |
| vertex number | |
| vertex number | |
| vertex whose number is | |
| slot number | |
| vertex that is connected by vi in slot k | |
| edge between vi and vj in slot k | |
| order parameter to characterize the congestion phase transition | |
| packet generation rate | |
| delivering capability of a vertex | |
| path which is from to and planned at slot | |
| departure slot of | |
| arrival slot of | |
| planning time window | |
| queue of | |
| ength of | |
| -th packet in | |
| level number of an LDPMH-BST or an LHPMD-OT | |
| Node number in a level of an LDPMH-BST or an LHPMD-OT | |
| set of vertices that have been added in a LDPMH-BST | |
| set of nodes of the LHPMD-OT whose value are | |
| scenario number | 
References
- Ren, Z.M. Node influence of the dynamic networks. Acta Phys. Sin. 2020, 69, 048901. [Google Scholar] [CrossRef]
- Han, Z.M.; Li, S.N.; Zheng, C.Y.; Duan, D.G.; Yang, W.J. Link prediction model based on dynamic network representation. Acta Phys. Sin. 2020, 69, 168901. [Google Scholar] [CrossRef]
- Wang, X.W.; Jiang, G.P.; Wu, X. State Estimation for General Complex Dynamical Networks with Incompletely Measured Information. Entropy 2018, 20, 5. [Google Scholar] [CrossRef] [PubMed]
- Brinkmann, G.; Crevals, S.; Frye, J. An independent set approach for the communication network of the GPS III system. Discret. Appl. Math. 2013, 161, 573–579. [Google Scholar] [CrossRef]
- Francisco, A.F. Inter-satellite ranging and inter-satellite communication links for enhancing GNSS satellite broadcast navigation data. Adv. Space Res. 2011, 47, 786–801. [Google Scholar]
- Yan, J.G.; Xing, L.N.; Wang, P.; Sun, L.Y.; Chen, Y.W. A scheduling strategy to inter-satellite links assignment in GNSS. Adv. Space Res. 2021, 67, 198–208. [Google Scholar] [CrossRef]
- Yang, D.; Yang, J.; Xu, P. Timeslot scheduling of inter-satellite links based on a system of a narrow beam with time division. GPS Solut. 2017, 21, 999–1011. [Google Scholar] [CrossRef]
- Yu, X.P.; Pei, T. Analysis on degree characteristics of mobile call network. Acta Phys. Sin. 2013, 62, 208901. [Google Scholar]
- Dyagilev, K.; Mannor, S.; Yom-Tov, E. On information propagation in mobile call networks. Soc. Netw. Anal. Min. 2013, 3, 521–541. [Google Scholar] [CrossRef]
- Rodriguez-Carrion, A.; Garcia-Rubio, C.; Campo, C. Detecting and Reducing Biases in Cellular-Based Mobility Data Sets. Entropy 2018, 20, 736. [Google Scholar] [CrossRef]
- Wu, X.; Jiang, G.P.; Wang, X.W. A New Model for Complex Dynamical Networks Considering Random Data Loss. Entropy 2019, 21, 797. [Google Scholar] [CrossRef] [PubMed]
- Starnini, M.; Baronchelli, A.; Pastor-Satorras, R. Modeling Human Dynamics of Face-to-Face Interaction Networks. Phys. Rev. Lett. 2013, 110, 168701. [Google Scholar] [CrossRef] [PubMed]
- Rocha, L.; Blondel, V.D. Bursts of Vertex Activation and Epidemics in Evolving Networks. PLoS Comput. Biol. 2013, 9, e1002974. [Google Scholar] [CrossRef] [PubMed]
- Perra, N.; Gonçalves, B.; Pastor-Satorras, R.; Vespignani, A. Activity driven modeling of time varying networks. Sci. Rep. 2012, 2, 469. [Google Scholar] [CrossRef] [PubMed]
- Ramiro, V.; Lochin, E.; Senac, P.; Rakotoarivelo, T. Temporal random walk as a lightweight communication infrastructure for opportunistic networks. In Proceedings of the 2014 IEEE 15th International Symposium on “A World of Wireless, Mobile and Multimedia Networks” (WoWMoM), Sydney, NSW, Australia, 19 June 2014; pp. 1–6. [Google Scholar]
- Vestergaard, C.L.; Génois, M.; Barrat, A. How memory generates heterogeneous dynamics in temporal networks. Phys. Rev. E 2014, 90, 042805. [Google Scholar] [CrossRef]
- Zhang, X.; Feng, L.; Zhu, R.; Stanley, H.E. Applying temporal network analysis to the venture capital market. Eur. Phys. J. B 2015, 88, 260. [Google Scholar] [CrossRef]
- Cioabă, S.; Murty, R. A First Course in Graph Theory and Combinatorics; Hindustan Book Agency: New Delhi, India, 2009. [Google Scholar] [CrossRef]
- Erdős, P.; Rényi, A. On the evolution of random graphs. Publ. Math. Inst. Hung. Acad. Sci. 1960, 5, 17–61. [Google Scholar]
- Wu, J.X.; Pu, C.L.; Li, L.B.; Cao, G. Traffic dynamics on multilayer networks. Digit. Commun. Netw. 2020, 6, 58–63. [Google Scholar] [CrossRef]
- Ma, J.L.; Li, M.; Li, H.J. Traffic Dynamics on Multilayer Networks with Different Speeds. IEEE Trans. Circuits Syst. II Express Briefs 2022, 69, 1697–1701. [Google Scholar] [CrossRef]
- Ma, J.L.; An, Z.S.; Zhou, Y.; Zhang, Y.; Xu, X.Y.; Li, S.F. Traffic dynamics on homogeneous networks with community structure. Int. J. Mod. Phys. C 2022, 33, 2250048. [Google Scholar]
- Ma, J.L.; Zhang, J.F.; Zhang, D.W.; Zhang, H.B. Quantifying complex network traffic capacity based on communicability sequence entropy. Acta Phys. Sin. 2021, 70, 078902. [Google Scholar] [CrossRef]
- Ma, J.L.; Du, C.F.; Sui, W.; Xu, X.Y. Data traffic capability of double-layer network based on coupling strength. Acta Phys. Sin. 2020, 69, 188901. [Google Scholar] [CrossRef]
- Wu, Q.; Liu, Q.-Y.; Ling, X.; Zhang, L.-J. The self-adaptive routing strategy to alleviate packet loss in finite buffer networks. J. Stat. Mech. -Theory Exp. 2021, 2021, 123402. [Google Scholar] [CrossRef]
- Wu, Q.; Liu, Q.Y.; Jing, X.L.; Zhang, L.J. Traffic dynamics based on dynamic local routing protocol in a finite buffer network. Int. J. Mod. Phys. C 2022, 33, 2250133. [Google Scholar] [CrossRef]
- Zhang, J.F.; Ma, J.L.; Li, H.J. An efficient link closing strategy for improving traffic capacity on scale-free networks. Phys. A Stat. Mech. Its Appl. 2022, 604, 127887. [Google Scholar] [CrossRef]
- Brualdi, R.A. Introductiory Combinatiorics; Pearson Education, Inc.: New York, NY, USA, 2009. [Google Scholar]
- Pu, C.L.; Pei, W.J. A gobal routing method for weighted scale-free networks. Acta Phys. Sin. 2010, 59, 3841–3845. [Google Scholar]
- Wang, B.H.; Zhou, T. Traffic flow and efficient routing on scale-free networks: A survey. J. Korean Phys. Soc. 2007, 50, 134–141. [Google Scholar]
- Wang, D.; Jing, Y.W.; Zhang, S.Y. Traffic Dynamics Based on aTraffic Awareness Routing Strategy on Scale-free Networks. Phys. A Stat. Mech. Its Appl. 2008, 387, 3001–3007. [Google Scholar] [CrossRef]
- Arenas, A.; Díaz-Guilera, A.; Guimera, R. Communication in networks with hierarchical branching. Phys. Rev. Lett. 2001, 86, 3196. [Google Scholar] [CrossRef]
- Li, S.B.; Lou, L.L.; Chen, R.X.; Hong, L. A pervasive optimized algorithm for complex network routing strategy. Acta Phys. Sin. 2014, 63, 028901. [Google Scholar]
- Mergenci, C.; Korpeoglu, I. Routing in delay tolerant networks with periodic connections. EURASIP J. Wirel. Commun. Netw. 2015, 2015, 202. [Google Scholar] [CrossRef]
- Li, Q.; Huang, J.X.; Zhu, Y.F.; Li, R.J.; Lei, Y.L. System of Systems Computing Experiment and Application Based on ABMS; Publishing House of Electronics Industry: Beijing, China, 2018. [Google Scholar]
- Yang, X.X.; Pu, C.L.; Xu, Z.Q.; Chen, R.B.; Wu, J.X.; Li, L.B. Energy-based hybrid routing strategy for scale-free networks. Acta Phys. Sin. 2016, 65, 248901. [Google Scholar] [CrossRef]
- McDowell, J.C. The Low Earth Orbit Satellite Population and Impacts of the SpaceX Starlink Constellation. Astrophys. J. 2020, 892, L36. [Google Scholar] [CrossRef]
- Ge, L.G.; Jiang, S.M. An Efficient Routing Scheme Based on Node Attributes for Opportunistic Networks in Oceans. Entropy 2022, 24, 607. [Google Scholar] [CrossRef] [PubMed]

















| Scenario Number | Routing Strategy | Θ | C | 
|---|---|---|---|
| 1 | LDPMH | 30 | 1 | 
| 2 | LHPMD | 30 | 1 | 
| 3 | LDPMH | 400 | 1 | 
| 4 | LHPMD | 400 | 1 | 
| 5 | LDPMH | 30 | 10 | 
| 6 | LHPMD | 30 | 10 | 
| 7 | LDPMH | 400 | 10 | 
| 8 | LHPMD | 400 | 10 | 
| Scenario Number | Routing Strategy | Θ | C | 
|---|---|---|---|
| 9 | Flooding | 30 | 1 | 
| 10 | Flooding | 400 | 1 | 
| 11 | Flooding | 30 | 10 | 
| 12 | Flooding | 400 | 10 | 
| Disclaimer/Publisher’s Note: The statements, opinions and data contained in all publications are solely those of the individual author(s) and contributor(s) and not of MDPI and/or the editor(s). MDPI and/or the editor(s) disclaim responsibility for any injury to people or property resulting from any ideas, methods, instructions or products referred to in the content. | 
© 2023 by the authors. Licensee MDPI, Basel, Switzerland. This article is an open access article distributed under the terms and conditions of the Creative Commons Attribution (CC BY) license (https://creativecommons.org/licenses/by/4.0/).
Share and Cite
Lun, W.; Li, Q.; Zhu, Z.; Zhang, C. Routing Strategies for Isochronal-Evolution Random Matching Network. Entropy 2023, 25, 363. https://doi.org/10.3390/e25020363
Lun W, Li Q, Zhu Z, Zhang C. Routing Strategies for Isochronal-Evolution Random Matching Network. Entropy. 2023; 25(2):363. https://doi.org/10.3390/e25020363
Chicago/Turabian StyleLun, Weicheng, Qun Li, Zhi Zhu, and Can Zhang. 2023. "Routing Strategies for Isochronal-Evolution Random Matching Network" Entropy 25, no. 2: 363. https://doi.org/10.3390/e25020363
APA StyleLun, W., Li, Q., Zhu, Z., & Zhang, C. (2023). Routing Strategies for Isochronal-Evolution Random Matching Network. Entropy, 25(2), 363. https://doi.org/10.3390/e25020363
 
        



 
       