Abstract
A new kinetic equation for the adsorption and desorption of H2 on graphite is derived based on the adsorption and desorption equilibrium rates obtained from the molecular dynamics. These rates are proportional to the activity in the gas and the adsorbed phase and thus do not obey Langmuir kinetics. The new equation offers a new route for understanding experimental results. It is used to simulate the kinetics under different thermodynamic conditions, both isothermal and non-isothermal. The characteristic times of adsorption and desorption are in good agreement with the data from the literature. The relation between the kinetics and the mass flow equation is discussed within the framework of the non-equilibrium thermodynamics of heterogeneous systems. Finally, expressions for the transport coefficients are proposed for both the transfer of mass and the coupling between the mass and heat fluxes.
1. Introduction
Hydrogen-based technologies are an alternative for reducing the production of greenhouse gases like CO2. The current research aims to optimise the handling of this resource under safe and economically viable conditions [1,2,3]. Its production through electrolysis as a solution for storing energy and the recent discovery of geosourced hydrogen [4,5,6] have generated growing interest in its recovery and valorisation. However, a better understanding of the physical chemistry of hydrogen is essential to addressing challenges related to its production, storage, transport, and final use.
The traditional methods of storage, like mechanical compression at high pressure or liquefaction at cryogenic temperatures, though effective, must overcome challenges related to safety, corrosion, and energy costs. New solutions are exploring the interaction between hydrogen and different types of materials [1,2,3]. It can simply be adsorbed onto adsorbent materials such as nanostructured carbon materials, Metal– and Covalent Organic Frameworks (MOFs and COFs), polymers, or zeolites. These materials are generally characterised by their safe and good reversibility in use (adsorption/desorption) and can offer high storage capacities. For the development of safe and efficient conditions of storage, it is important to consider not only the thermodynamics of adsorption but its kinetics as well.
In order to investigate the interplay between the thermodynamics and dynamics in physical adsorption processes, Simon et al., in a previous paper [7], studied a simple system using molecular dynamics: a gas phase of di-hydrogen in contact with a graphite surface. Equilibrium states were simulated at temperatures ranging from 70 K to 390 K using different amounts of hydrogen molecules. The population of adsorbed molecules was recorded, and the thermodynamic isotherms were computed. The results showed good agreement with Langmuir’s adsorption isotherm:
where , p, , and are the activity of the gas phase and its pressure, normal pressure (1 bar), and the coverage under equilibrium conditions. The definition of in the equations above follows Langmuir’s original definition, which is the fractional coverage of a monolayer. In other words, this is the ratio between the surface concentration, , and the saturated surface concentration, . K is Langmuir’s constant. Langmuir’s model is based on non-interacting and non-mobile adsorbed molecules, while the simulations clearly evidence that the hydrogen molecules are mobile and interact between themselves. An interesting discussion on the interpretation of the ideality or non-ideality of the adsorbed phase in terms of the interaction between the adsorbed molecules is proposed in [8] based on the results [7]. The qualitative results we present here do not change with the choice of one interpretation over another; however, quantitative differences may appear.
Following [7], the adsorbed phase shows non-ideal behaviour that falls outside of Henry’s regime (at low coverage), which is revealed in the expression of the chemical potential:
Here, T and R are the temperature (K) and the perfect gas constant, and is the standard state in Henry’s law. is the chemical activity of the adsorbed phase, and is the activity coefficient. Outside of Henry’s regime (), deviates from one, which is a sign of non-ideal thermodynamic behaviour.
The condition of equilibrium demands that the chemical potential of the adsorbed phase and that of the gas phase are equal. Using , the standard state of the gas phase, the chemical potential of the gas phase is
In the same molecular dynamics study, Simon et al. [7] computed the unidirectional rates of adsorption and desorption under equilibrium conditions. They proposed new kinetic equations for the adsorption/desorption of mobile hydrogen molecules that did not agree with the non-mobile model of Langmuir kinetics. The rates, (adsorption) and (desorption), are shown to be proportional to the thermodynamic activity of the gas, , and of the adsorbed phase, :
The coefficients and are the adsorption and desorption rate constants, respectively. Using Equations (4) and (5) with , the equilibrium conditions, we obtain the adsorption Langmuir equation:
Compared with Equation (1), the Langmuir constant is given by the ratio .
For the adsorption of hydrogen on graphite, it was reported [7] that both the rate constant and the saturated surface concentration follow an Arrhenius law:
The units of the activation energy and of the constant are, respectively, J/mol and mol/m2s, while is given in mol/m2.
The equations are consistent with the thermodynamics of a Langmuir process (isothermal adsorption) but, as mentioned above, not with Langmuir kinetics:
Here, , , , and are the Langmuir adsorption and desorption fluxes and rate constants.
It is worth noticing that for a low coverage limit, in Henry’s regime with , both the Langmuir and the proposed kinetic models lead to the same expressions for the fluxes:
where , , , and are Henry’s adsorption and desorption fluxes and rate constants, respectively. So, when , we have the following:
One particular feature of the proposed model is that it takes into account the non-ideality of the adsorbed phase. This is facilitated by including the dependence of the desorption rate on the activity coefficient (). The new expressions therefore apply to non-ideal mobile adsorbed phases.
The aim of this work is to develop a set of equations that are able to describe the kinetics of the adsorption/desorption of H2 on graphite under isothermal and non-isothermal conditions. This paper is divided as follows: First, theoretical considerations comparing the proposed model to the classical Langmuir expressions are given. Then, the link between the new model and transport equations are discussed. In the last part, the numerical results obtained using the new equations are also shown.
2. Theoretical Considerations
2.1. Isothermal Adsorption Kinetics
Common to all reaction schemes is the general expression for the net rate of adsorption, :
where t is the time. In this expression, the positive flux is defined as the mass transfer from the gas to the adsorbed phase. Considering the expression for and , Equations (4) and (5), and (10)–(13), the net rate is therefore a function of and , which are functions of time. For simplicity, the equations are written without explicit temporal dependence.
Relevant adsorption experiments are often conducted under isobaric conditions. Solving the differential equations at a constant p results in analytical expressions for the adsorption rate curves. Non-isobaric conditions lead to more complex solutions that can be obtained through numerical integration. This latter type will not be considered here.
At this point, it is necessary to discuss whether the expressions of and are valid outside of equilibrium conditions. These expressions assume microscopic reversibility and thus hold close to equilibrium. Far from equilibrium, the two models, Langmuir and non-Langmuir, can be considered as a first approximation. Nonetheless, the results should be regarded with caution. Conditions far from equilibrium will be used to illustrate the behaviour predicted by the mathematical expressions obtained for the mass flux according to the new model.
The flux equations defined in [7] involve one additional assumption that is based on consideration of the Langmuir kinetics. From the solid to the gas phase, three zones are considered. The first is the adsorbed phase, where the molecules are in contact with the solid surface. The second is a surface buffer region a few angstroms thick, where the molecules do not behave in the same way as they do in the bulk/gas phase. In other words, their behaviour is still driven by interactions with the surface. Where H2 is close to the graphite surface, the adsorbate molecules are more densely packed due to the attractive forces between molecules and both the solid and already adsorbed H2. The last region is the gas phase, where the effects of the interface are negligible. Note that the gas and solid phases are not in direct contact in this framework. This segmentation was used in ref. [7] to compute the fluxes. was calculated as the part of the flux that reached the adsorbed surface area originating from the gas phase. was the part of the flux that reached the gas phase and came from the adsorbed phase. Thus, these two fluxes are not located at the same plane positions. The definition of the net flux, Equation (16), is the transport of mass across this buffer surface region, and the net flux is, on average, assumed to be constant through it. It is necessary to stress that this buffer zone is not explicitly analysed, but its role in the adsorption kinetics is taken into account through the values of the rate constants in the kinetics, that is, and . A discussion on the link between the Langmuir and non-Langmuir kinetics and the role of correlations across an equivalent of the surface buffer is proposed in [8].
Below, we present equations for the temporal evolution of the coverage, . This set of equations is the result of integrating the expressions present in the kinetic models just discussed (Equations (4), (5), (10), and (11)). Henry’s regime is also present to give a limited ideal case as a reference for model comparison.
2.1.1. Net Rate—Non-Langmuir Kinetics
Equation (16) is integrated for non-ideal surface kinetics using Equations (4) and (5). Introducing the expressions of the rates, Equations (4) and (5), into Equation (16) results in the following:
or
which can be written as
with and .
We integrate this expression from the initial coverage at time zero, (), into the coverage at time t and obtain the following:
or
where A is a constant under isobaric conditions. A can simply be obtained from the equilibrium isotherm, Equation (6):
By introducing the expression for A into Equation (21), we can write t as a function of :
Equation (23) has a well-defined solution for as a function of t, even if we are close to saturation (full coverage). When is close to unity, the first term in the square brackets dominates at a low value of t, making proportional to t. The logarithm term dominates in most cases, when approaches equilibrium or a high value of t.
Full coverage at can be understood as the case of an infinitely large pressure and an infinitely fast adsorption rate, with . This limit cannot be reached for Equation (23) or for Langmuir kinetics; see Equation (27) below. Desorption towards =0 (zero pressure) is, on the other hand, well described by Equation (23).
The expressions for the characteristic times for adsorption, , and desorption, , are the same, as expected for a process which obeys microscopic reversibility. They can be studied analytically from the long-term logarithmic behaviour of Equation (23):
The characteristic time is a function of and not of . This will lead to asymmetry in the time dependence of adsorption vs. desorption. However, Equation (23) involves linear dependence in addition to logarithmic behaviour, so it may be useful to define another characteristic time corresponding to a progress of , as for pure logarithmic behaviour (see Langmuir’s kinetics and Henry’s regime):
It is worth noting that is a function of both the final coverage and the initial coverage.
2.1.2. Net Rate—Langmuir Kinetics
For comparison, the expressions obtained from Langmuir kinetics (Equations (10) and (11)) are also given. By inserting the expressions of the rates, Equations (10) and (11), into Equation (16), we obtain the following:
Integrating this equation with time leads to the evolution of the surface coverage.
where is the characteristic time of the adsorption/desorption kinetics from Langmuir expressions. Under the specific equilibrium conditions and using the flux desorption rate expressions, Equations (5) and (11), it follows that , and the expressions for the characteristic times for Langmuir and non-Langmuir kinetics are then identical , but they differ from .
2.1.3. Net Rate—Henry’s Regime
2.2. The Transport Equation
Close to equilibrium, in the linear regime, the transport of heat and mass obeys the phenomenological equations described in the book by S.R. de Groot and P. Mazur [9] on homogeneous systems and in S. Kjelstrup and D. Bedeaux’s book [10] on heterogeneous systems. Based on the expression of the entropy production, the fluxes are written as a product of the transport coefficients and thermodynamic forces. In S. Kjelstrup and D. Bedeaux’s monograph [10], the transport equations are alternatively given in terms of resistivity coefficients. When we consider a surface, the thermodynamic driving forces are scalar properties and are expressed as the difference in the thermodynamic properties across the surface. Because of the heterogenous nature of the surface, the fluxes are different across the surface, except under stationary conditions. It is then useful to express the transport equations, i.e., the fluxes and transport coefficients, taking two different types of references: the gas side and the adsorbed phase side of the surface buffer, and , respectively. The two references are equivalent and can be used interchangeably depending on the practical criteria. For non-isothermal conditions, the mass flux expressions are as follows:
where and are, respectively, the mass and the cross-coupling (heat and mass) transport coefficients. Clearly, and are different except under a stationary state, when the mass flux is constant across the whole surface. In our model, as mentioned above, the net flux, Equation (16), is assumed to be constant, and then . In the following, the mass transfer equation is derived based on Equation (16) for the net flux and using the non-Langmuir kinetics for both isothermal and non-isothermal conditions.
2.2.1. Isothermal Conditions
Under a constant pressure, the activity of the gas phase is constant. At equilibrium , . This is used to defined two sets of transport equations, like for Equations (30) and (31). From Equations (4), (5), and (16), we obtain the following:
The superscript for the gas indicates a state of equilibrium with the adsorbed phase . The related activity, , is simply given by the Langmuir equation, Equation (1). Close to equilibrium, or . The exponential function can then be expanded into a series, and the above transport equations can be written as the difference in the chemical potential across the surface, in agreement with [10]:
The two expressions, Equations (35) and (36), are equivalent but with the reference in the adsorbed phase and in the gas, respectively. Through comparison with Equations (30) and (31), under isothermal conditions, we obtain the following directly:
It is interesting to note in the equation above how the mass transfer coefficient is written in terms of a product involving the rate constant and the activity. In other words, it is described by the kinetic and thermodynamic aspects of the process.
Far from equilibrium, Equations (33) and (34) have to be used without approximations. Thus, the expression of shows dependence on the difference in the chemical potential between the actual value and the value in equilibrium. From Equations (33) and (34), we find the following:
where the superscript indicates the properties extending beyond close equilibrium. Obviously, and since . It is worth noting that the first corrective term for , using Taylor’s expansion, is proportional to X: .
2.2.2. Non-Isothermal Conditions
In this part, the temperature of both phases, gas, , and adsorbed, , differs but is kept constant during the adsorption process. The final state is a stationary non-equilibrium situation characterised by constant non-zero heat flux and zero mass flux. At zero mas flux, , , and an equivalent of the Langmuir adsorption isotherm for non-isothermal conditions can be written using Equations (8) and (9):
where is the non-isothermal Langmuir constant. In this expression, the subscript is used to identify the final stationary state.
For clarity in the following part, the temperature dependence of the kinetic parameters and thermodynamic properties will be omitted. We first introduce , which refers to the activity of the gas phase in the stationary state with the actual adsorbed phase at a temperature of using Equation (41). This is used to defined two sets of transport equations, like for Equations (30) and (31). From Equations (4), (5), and (16),
Approaching the limit of the stationary state, the net mass flux can be written in a similar way to that for the isothermal case:
This expression is very similar to the expression for the isothermal case, Equations (35) and (36). However, it does not make a clear distinction between the contribution of the temperature and the difference in the chemical potential, like in Equations (30) and (31). This can be achieved for the adsorbed phase reference by rewriting Equation (42):
In Equation (49), all of the chemical potentials are given for a temperature of , and we use the equilibrium condition :
From Equation (42), the net flux can alternatively be written taking the gas phase reference:
where we again used .
Approaching the stationary state and imposing the concept of and being close, Equations (49) and (53) can be expressed:
Through comparison with Equations (30) and (31), we obtain the following:
and are expressed the same way as they are for the isothermal case but they are not equal since the temperature difference is not null.
Another transport quantity that quantifies the coupling between the heat and mass fluxes is the heat of transfer [9,10], . This gives the heat transported with the mass flux at a constant temperature. Bearing in mind the aforementioned transport coefficients, it is defined according to the equations below:
Here, and are the measurable heat fluxes on the adsorbed side and on the gas side of the surface buffer. and are constant in our non-Langmuir kinetics model and independent of temperature. Similar behaviour has been observed for the direct computation of from molecular dynamics simulations of the adsorption of n-butane onto zeolite silicalite [11]; it is interesting to note that this is not the case for a liquid–vapour interface [10]. As expected [10], the difference gives the enthalpy of adsorption, being here.
3. Results and Discussion
3.1. Isothermal Kinetics of Adsorption and Desorption
Equation (23) was used to investigate the isothermal kinetics of adsorption and desorption. We used a pressure of 50 bar and temperatures of 77 K and 293 K. These are the same conditions as those reported by Burress et al. [12]. Through applying Langmuir’s isotherm equation, Equation (1), the equilibrium coverages are 0.990 and 0.0987 for 77 and 293 K, respectively.
Figure 1 reports the result at 293 K. The coverage, , and the logarithmic function of are plotted as a function of time according to Equation (23) for adsorption and desorption. Logarithmic behaviour is observed. The characteristic time is computed from Equation (25), and the results are 4.3 and 4.6 ps for adsorption and desorption, respectively. These results agree well with the characteristic time of 4.9 ps found using the Henry’s regime expression, Equation (29). This is expected since the range of coverage is small, lower than 0.1, where Henry’s regime is supposed to apply. They are also in the same order of magnitude as those in Burress et al. [12] (16 ps for adsorption and 2.1 ps for desorption), although these authors used Langmuir dynamics.
Figure 1.
Adsorption and desorption kinetics using Equation (23); the temperature is 293 K, with the pressure between 0 and 50 bar at a temperature of 293 K. The equilibrium coverages are 0 and 0.0987, respectively. In the left figure (a), the coverage is plotted as a function of time, t; in the right figure (b), is plotted as a function of time.
At 77 K, the equilibrium coverage corresponding to 50 bar is , close to saturation. The kinetics of desorption/adsorption from 0 to are calculated using Equation (23). The results are given in Figure 2 and Figure 3. The adsorption curve is linear below a coverage of 0.95 and tends towards logarithmic behaviour beyond this point. For desorption, the logarithmic behaviour is spread over a wider coverage range; it is observed below a coverage of 0.2. We obtain a characteristic desorption time of 360 ps using Equation (25), which is much longer than the value for adsorption, at about 6.2 ps. This difference can be explained by the asymmetry in the values of the activity of the gas and adsorbed phases, which results in an asymmetric net flux, as displayed for 77 K in Figure 4. During adsorption, the net flux is at the maximum for most of the coverage, below 0.9, while it is nearly null for desorption in the same range. The desorption kinetics are then much less efficient than the adsorption kinetics. Burress et al. [12], for the same conditions, gave characteristic times about two times higher, at 15 ps for adsorption and 530 ps for desorption. Nonetheless, the model presents the same qualitative features, as the estimated times are in the same order of magnitude and the strong asymmetry between the adsorption and desorption kinetics is reproduced.
Figure 2.
Adsorption kinetics using Equation (23); the temperature is 77 K, and the initial coverage and the coverage at equilibrium are 0 and 0.990, respectively, at a pressure of 50 bar. In the left figure (a), the coverage is plotted as a function of time, t; in the right figure (b), is plotted as a function of time. The kinetics do not follow logarithmic behaviour in the coverage range of the plot. The characteristic time is 6.2 ps.
Figure 3.
Desorption kinetics using Equation (23); the temperature is 77 K, and the initial coverage and the coverage at equilibrium are 0.990 and 0, respectively. In the left figure (a), the coverage is plotted as a function of time, t; in the right figure (b), is plotted as a function of time. After 50 ps, the kinetics follow logarithmic behaviour, and the characteristic time scale for desorption is 360 ps.
Figure 4.
Evolution of the net flux for desorption and adsorption as a function of the coverage at 77 K between a coverage of 0 and 0.990.
The two previous simulations were carried out under Henry’s regime and near saturation. The results are reported in Figure 5 for intermediate coverage. At 293 K, the adsorption and desorption from 50 to 450 bar were studied. From Langmuir’s isotherm equation, Equation (1), the equilibrium coverages are 0.0987 and 0.496. Although this range is rather wide, about 0.4, the logarithmic domain appears rapidly after 3 ps. The characteristic time is 1.9 ps for adsorption and 2.9 ps for desorption, and these values are smaller than that for Henry’s regime (4.9 ps) presented above.
Figure 5.
Adsorption and desorption kinetics using Equation (23); the pressure ranges between 50 and 450 bar at a temperature of 293 K. The equilibrium coverages are 0.0987 and 0.496, respectively. In the left figure (a), the coverage is plotted as a function of time, t; in the right figure (b), is plotted as a function of time. The characteristic time scales for adsorption and desorption are 1.9 ps and 2.9 ps.
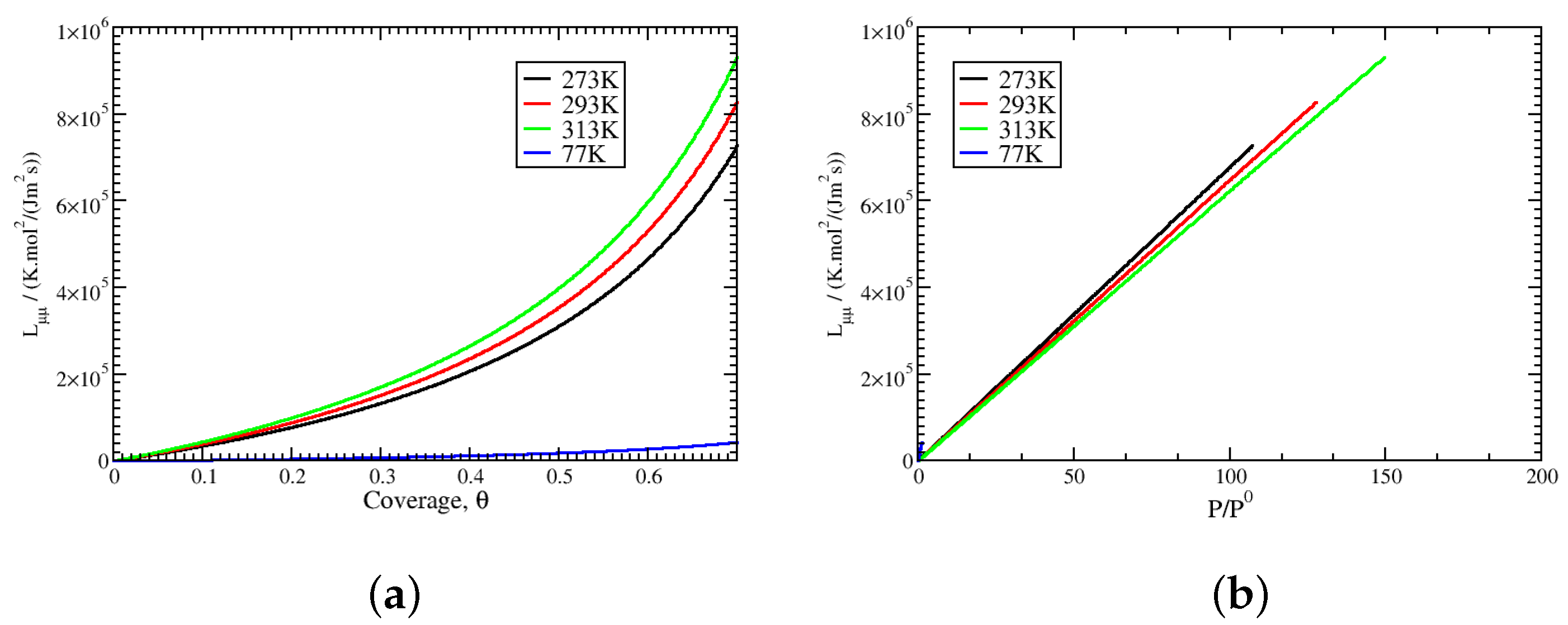
In order to quantify the adsorption kinetics close to equilibrium, the transport coefficients were computed for four different temperatures using Equation (37). The results are plotted in Figure 6 for 77 K, 273 K, 293 K, and 313 K. The values of show an increase as a function of both the coverage and pressure. For constant coverage, the values of increase with temperature, but the trend is the reverse at a constant pressure. These trends are in agreement with those observed in non-equilibrium molecular dynamics studies of the adsorption of n-butane onto zeolite silicalite [11]. A similar dependence of (or inversely that for resistance) on pressure and temperature has also been observed at liquid–vapour interfaces both in molecular simulations and using theoretical models [10,13,14,15,16,17].
Figure 6.
Mass transport coefficient as a function of the coverage (a) and pressure (b) at 77 K, 273 K, 293 K, and 313 K.
Beyond close equilibrium, the transport coefficients, , are computed using Equation (38). In Figure 7, the values for adsorption between 0 and 50 and 50 and 450 bar and for desorption between 450 and 50 bar at 293 K are reported. They are compared with the reference values. As expected, and agree close to equilibrium, but they differ significantly outside of this condition. With the same equilibrium values, the desorption between 450 and 50 bar and the adsorption between 0 and 50 bar show continuous linear evolution of the values of around equilibrium. The slope of with coverage is steeper than that of , which indicates closer values to those for equilibrium for the latter. This is important since in general, it is common to consider constant transfer coefficients during the kinetics. From the results, this can be considered to be a good approximation close to the equilibrium state. The asymmetry between the adsorption and desorption kinetics that was mentioned above is also evidenced by comparing the values of during the adsorption and desorption kinetics from 50 to 450 bar.
Figure 7.
Comparison between the mass transport coefficients obtained close to equilibrium at 293 K and during adsorption or desorption calculated using Equation (38).
3.2. Non-Isothermal Kinetics of Adsorption
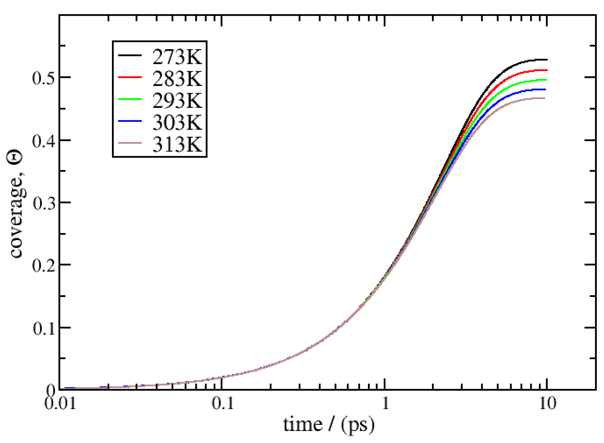
So far, Equation (23) has been derived to account for the evolution of under isothermal conditions. It is also possible to derive this kind of kinetic equation for non-isothermal conditions with both phases constant but different temperatures and the gas phase at a constant pressure. The final expression is the same as that for Equation (23) but uses the non-isothermal Langmuir constant in the derivation—see Equation (41)—instead of the equilibrium Langmuir constant. The non-isothermal kinetics of adsorption are presented in Figure 8. A 450-bar-pressure gas phase is maintained at 293 K, and different surface temperatures are considered: 273 K, 283 K, 293 K, 303 K, and 313 K. As described in Section 2.2.2, the final stationary state is outside of equilibrium and characterised by zero net mass flux and non-zero heat flux. The adsorption kinetics are very similar to those in isothermal conditions, and as expected, the final coverage decreases as the surface temperature increases.
Figure 8.
Non-isothermal adsorption kinetics calculated from Equation (23) using an initial bare surface and a constant gas pressure of 450 bar at 293 K with surface temperatures of 273 K, 283 K, 293 K, 303 K, and 313 K. The final state is outside of equilibrium.
In the stationary state, the coverage can be obtained directly from Equation (41) under isothermal and non-isothermal conditions. The results are compared in Figure 9 for surface temperatures ranging from 73 to 503 K and using a constant K for the non-isothermal case. The curves exhibits a similar inverse S shape, with a crossing point at the temperature of 293 K. Below this temperature, the non-isothermal coverage is lower than the equilibrium value, and above this point, it is higher; this is easily understandable according to Le Chatelier’s principle. The difference between these two curves does not exceed 0.03 in coverage, which, except when approaching zero coverage, can be considered negligible in most cases or at least a secondary effect. This is also the case for the kinetics. It is important to note that because the adsorption is exothermic, strong non-isothermal effects can occur and delay the kinetics of adsorption/desorption. For example, in reference [18], Inzoli et al. have evidenced, using molecular dynamics, that the long-term adsorption kinetics of n-butane on silicalite are governed by the heat of the transfer between the zeolite and the gas phase. This is clearly due to the exothermic effect of adsorption.
Figure 9.
Comparison between stationary coverage under isothermal and non-isothermal conditions using Equation (41) and a constant gas pressure of 50 bar at 293 K for non-isothermal situations. The absolute difference between the two curves for each temperature is given in green.
4. Conclusions
The adsorption and desorption kinetics of H2 on graphite are studied based on the non-Langmuir adsorption and desorption equilibrium rates obtained in a previous article [7]. New analytical expressions are derived to model the kinetics both under isothermal and non-isothermal conditions. The results show good agreement with the data given by Burress et al. [12]. In particular, the asymmetry in time between the adsorption and the desorption is pointed out, which is due to the asymmetry in the thermodynamic forces between adsorption and desorption.
A link with the transport equations for the non-equilibrium thermodynamics of heterogeneous systems is proposed, and expressions for the transport coefficients and and the heat of transport are also given. They are written as a product of the dynamical and thermodynamical properties. The results are in qualitative agreement with previous studies on the transport of mass across interfaces from molecular dynamics simulations. The values of increase with the coverage and temperature.
These equations offer new additional tools that can be used for a better analysis and understanding of the kinetics of adsorption obtained both in experiments and molecular simulations.
Author Contributions
Conceptualisation: J.-M.S. Methodology: J.-M.S. Software: J.-M.S. Validation: J.-M.S. and G.C.Q.d.S. Formal analysis: J.-M.S. Writing—original draft preparation: J.-M.S. and G.C.Q.d.S. All authors have read and agreed to the published version of the manuscript.
Funding
This research received no external funding.
Data Availability Statement
Data are the results of the equations provided within the article.
Acknowledgments
G.C.Q.d.S. thanks the CEA for postdoc funding.
Conflicts of Interest
The authors declare no conflicts of interest.
List of Symbols
| Greek symbols | |
| the activity factor of the adsorbed phase; | |
| , | the chemical potential of the gas phase and the standard phase (J/mol), where the subscript indicates the properties under equilibrium; |
| , | the chemical potential of the adsorbed phase and the reference phase (J/mol), where the subscript indicates the properties under equilibrium; |
| the characteristic times for adsorption/desorption under non-Langmuir kinetics (s); | |
| , , | coverage (), the equilibrium value and the initial value; |
| this is used as a superscript for and to indicate that the properties take the value in equilibrium with the actual adsorbed phase and given by the Langmuir equation. | |
| Latin symbols | |
| gas activity; | |
| activity of the adsorbed phase; | |
| , | monolayer surface concentration and saturated equivalent (mol/m2); |
| the subscript indicates the properties under equilibrium; | |
| this superscript on and indicates the properties extending beyond close equilibrium; | |
| , | unidirectional adsorption/desorption flux (mol/s/m2); |
| net flux at the limit of the adsorbed phase (mol/s/m2); | |
| net flux at the limit of the gas phase (mol/s/m2); | |
| net flux (mol/s/m2) (); | |
| , | the unidirectional adsorption/desorption rate constant (mol/s/m2), where the superscript L refers to the Langmuir kinetics; |
| K | the Langmuir constant; |
| the non-isothermal Langmuir constant; | |
| the surface cross-coupling heat and mass transport coefficient (K.mol/s/m2), where the superscripts and g refer to the limit of the adsorbed and gas phases, respectively; | |
| the surface mass transport coefficient (K.mol2/(J.m2.s), where the superscripts and g refer to the limit of the adsorbed and gas phases, respectively; | |
| p | gas pressure (Pa); |
| standard pressure (105 Pa); | |
| J/K/mol | a perfect gas constant; |
| the subscript on , , or a refers to the properties in the stationary state under non-isothermal conditions; | |
| t | time (s); |
| , | adsorption/desorption characteristic time based on the exponential part of the kinetics (s), where the superscript L refers to the Langmuir kinetics; |
| T | temperature (K); |
| , | temperatures at the limit of the gas/adsorbed phase (K). |
References
- Pareek, A.; Dom, R.; Gupta, J.; Chandran, J.; Adepu, V.; Borse, P.H. Insights into renewable hydrogen energy: Recent advances and prospects. Mater. Sci. Energy Technol. 2020, 3, 319–327. [Google Scholar] [CrossRef]
- Le, T.T.; Sharma, P.; Bora, B.J.; Tran, V.D.; Truong, T.H.; Le, H.C.; Nguyen, P.Q.P. Fueling the future: A comprehensive review of hydrogen energy systems and their challenges. Int. J. Hydrogen Energy 2024, 54, 791–816. [Google Scholar] [CrossRef]
- Hassan, I.; Ramadan, H.S.; Saleh, M.A.; Hissel, D. Hydrogen storage technologies for stationary and mobile applications: Review, analysis and perspectives. Renew. Sustain. Energy Rev. 2021, 149, 111311. [Google Scholar] [CrossRef]
- Zgonnik, V. The occurrence and geoscience of natural hydrogen: A comprehensive review. Earth-Sci. Rev. 2020, 203, 103140. [Google Scholar] [CrossRef]
- Al-Shafi, M.; Massarweh, O.; Abushaikha, A.S.; Bicer, Y. A review on underground gas storage systems: Natural gas, hydrogen and carbon sequestration. Energy Rep. 2023, 9, 6251–6266. [Google Scholar] [CrossRef]
- Epelle, E.I.; Obande, W.; Udourioh, G.A.; Afolabi, I.C.; Desongu, K.S.; Orivri, U.; Gunes, B.; Okolie, J.A. Perspectives and prospects of underground hydrogen storage and natural hydrogen. Sustain. Energy Fuels 2022, 6, 3324–3343. [Google Scholar] [CrossRef]
- Simon, J.M.; Haas, O.E.; Kjelstrup, S. Adsorption and desorption of H2 on graphite by molecular dynamics simulations. J. Phys. Chem. C 2010, 114, 10212–10220. [Google Scholar] [CrossRef]
- van Erp, T.S.; Trinh, T.; Kjelstrup, S.; Glavatskiy, K.S. On the relation between the Langmuir and thermodynamic flux equations. Front. Phys. 2014, 1, 36. [Google Scholar] [CrossRef]
- de Groot, S.R.; Mazur, P. Non-Equilibrium Thermodynamics; Dover Publications, Dover: New York, NY, USA, 1984. [Google Scholar]
- Kjelstrup, S.; Bedeaux, D. Non-Equilibrium Thermodynamics of Heterogeneous Systems; Series on Advances in Statistical Mechanics; World Scientific Publishing Co. Pte, Ltd.: Singapore, 2008; Volume 16. [Google Scholar]
- Inzoli, I.; Kjelstrup, S.; Bedeaux, D.; Simon, J.M. Transport coefficients of n-butane into and through the surface of silicalite-1 from non-equilibrium molecular dynamics study. Microporous Mesoporous Mater. 2009, 125, 112–125. [Google Scholar] [CrossRef]
- Burress, J.W.; Kraus, M.; Beckner, M.; Cepel, R.; Suppes, G.; Wexler, C.; Pfeifer, P. Hydrogen storage in engineered carbon nanospaces. Nanotechnology 2009, 20, 204026. [Google Scholar] [CrossRef] [PubMed]
- Inzoli, I.; Kjelstrup, S.; Bedeaux, D.; Simon, J. Transfer coefficients for the liquid–vapor interface of a two-component mixture. Chem. Eng. Sci. 2011, 66, 4533–4548. [Google Scholar] [CrossRef]
- Xu, J.; Kjelstrup, S.; Bedeaux, D.; Røsjorde, A.; Rekvig, L. Verification of Onsager’s reciprocal relations for evaporation and condensation using non-equilibrium molecular dynamics. J. Colloid Interface Sci. 2006, 299, 452–463. [Google Scholar] [CrossRef]
- Røsjorde, A.; Kjelstrup, S.; Bedeaux, D.; Hafskjold, B. Nonequilibrium molecular dynamics simulations of steady-state heat and mass transport in condensation. II. Transfer coefficients. J. Colloid Interface Sci. 2001, 240, 355–364. [Google Scholar] [CrossRef] [PubMed]
- Johannessen, E.; Bedeaux, D. Integral relations for the heat and mass transfer resistivities of the liquid–vapor interface. Phys. A Stat. Mech. Its Appl. 2006, 370, 258–274. [Google Scholar] [CrossRef]
- Glavatskiy, K. Resistances for heat and mass transfer through a liquid—Vapor interface in a binary mixture. J. Chem. Phys. 2010, 133, 234501. [Google Scholar] [CrossRef] [PubMed]
- Inzoli, I.; Simon, J.M.; Kjelstrup, S.; Bedeaux, D. Thermal effects during adsorption of n-butane on a silicalite-1 membrane: A non-equilibrium molecular dynamics study. J. Colloid Interface Sci. 2007, 313, 563–573. [Google Scholar] [CrossRef] [PubMed]
Disclaimer/Publisher’s Note: The statements, opinions and data contained in all publications are solely those of the individual author(s) and contributor(s) and not of MDPI and/or the editor(s). MDPI and/or the editor(s) disclaim responsibility for any injury to people or property resulting from any ideas, methods, instructions or products referred to in the content. |
© 2025 by the authors. Licensee MDPI, Basel, Switzerland. This article is an open access article distributed under the terms and conditions of the Creative Commons Attribution (CC BY) license (https://creativecommons.org/licenses/by/4.0/).








