Abstract
A short sequential synthesis of pyrrolidino- pyridines and pyrimidines illustrates the potential of combining Ugi-Smiles couplings with radical tin-free processes.
1. Introduction
Among multi-component reactions (MCRs), the Ugi reaction has a privileged position due to its broad synthetic significance [1,2]. Its four points of diversity combined with possible further transformations of the resulting adducts have became very popular in heterocyclic synthesis. Indeed, the Ugi reaction has been associated with a wide range of post-condensation reactions in order to form even more complex scaffolds, including cycloadditions [3,4,5,6,7,8,9], metal-catalyzed processes [10,11,12,13,14,15] and cyclocondensations [16,17,18,19,20,21]. Among this very impressive bibliography, the combination of Ugi or Passerini reactions with radical chemistry has been scarcely documented [22,23,24,25,26,27]. Among the various radical systems explored in our group, we have mostly studied the potential of xanthate radical transfer resulting in various cyclizations of Ugi xanthate adducts bearing suitable alkene [22], alkyne [25] or aryl [26] moieties. In all these examples, α-chloroacetic acid was used as the acidic partner to introduce the xanthate moiety via a nucleophilic substitution. However, these intramolecular post-condensations did not exploit the full potential of the xanthate radical transfer. Indeed, compared to tin hydride chemistry, the reversible nature of the addition of radicals onto the thiocarbonyl group is associated with high yielding intermolecular couplings between xanthates and alkenes [28,29]. Herein, we propose to explore this feature and to further increase the molecular diversity of the Ugi step through a xanthate triggered addition/cyclization cascade to form new heterocyclic systems (Scheme 1).
Scheme 1.
Synthetic strategy towards pyrrolidino fused systems.
Scheme 1.
Synthetic strategy towards pyrrolidino fused systems.

2. Results and Discussion
Developing the radical chemistry of xanthates, the Zard group has reported various synthetic approaches towards fused cyclic systems such as indanes, indolines or azaindolines [30,31,32,33,34,35]. These syntheses feature an intermolecular addition of a xanthate on an alkene followed by an intramolecular trapping with a suitably positioned aryl group. As part of our ongoing interest in Ugi-type reactions, we naturally imagined to synthesize the radical acceptor through a Ugi-Smiles coupling. Indeed, we recently developed the use of electron-deficient phenols as acid surrogates in Ugi reactions to form N-arylamino carboxamides [36,37]. The use of a partner substituted with an alkene, such as allylamine, in this reaction would afford in one step an interesting substrate to test the tandem radical process (Scheme 1). Concerning the phenol, most reported Ugi-Smiles couplings involve a nitro group to perform the Smiles rearrangement. As nitroaryl derivatives are often associated with inhibition of radical chain processes, we prefer the use of hydroxy heterocycles (pyridines, pyrimidines) which also led to efficient multicomponent couplings [38]. N-allylaminopyridines and N-allylaminopyrimidines are known to react with xanthate under radical conditions, however the scope of these reactions seems to be limited by the nucleophilic behavior of the cyclic nitrogen atom. Indeed all reported radical tandem were performed on 2- or 5-halosubstituted heterocycles (chloro and fluoro) in order to lower the reactivity at the nitrogen center (Scheme 2) [31,32,33,34,35].
Scheme 2.
Selected examples from Zard’s group [31,33].
Scheme 2.
Selected examples from Zard’s group [31,33].

2.1. Four-Component Coupling Towards Radical Substrates
Various Ugi-Smiles adducts were thus prepared starting with allylamine as the amine partner. The latter was coupled with different hydroxy- pyridines and pyrimidines. The MCR coupling was performed under classical conditions using methanol as solvent. The starting radical substrates were obtained in modest to good yields.
Table 1.
Preparation of the radical substrates.
| Entry | R1 | R2 | R3 | R4 | Y | Z | Product (%) |
|---|---|---|---|---|---|---|---|
| 1 | Et | Cy | Me | Me | N | N | 1a (38%) |
| 2 | i-Bu | Cy | H | H | N | CH | 1b (69%) |
| 3 | i-Bu | t-Bu | H | H | N | CH | 1c (43%) |
| 4 | Et | Cy | Ph | Me | N | N | 1d (61%) |
| 5 | H | p-MeBn | Ph | Me | N | N | 1e (60%) |
| 6 | Et | Cy | H | H | CNO2 | N | 1f (41%) |
| 7 | i-pr | p-ClBn | Me | Me | N | N | 1g (68%) |
2.2. Radical Cascade
In previous studies on xanthate additions on N-allylamino- pyridines and pyrimidines, a first 1,2-addition product on the alkene could be obtained and isolated under heating with substoichiometric amounts of a radical initiator such as dilauroyl peroxide (DLP) in refluxing 1,2-dichloroethane (DCE) or ethyl acetate. Then the intermediate adducts could cyclize under treatment with further DLP or di-tert-butyl peroxide (more than 1 equivalent) at higher temperature allowing cleaner reactions (Scheme 3). Even if the yields are expected to be lower, we preferred to perform the cascade under a single set of experimental conditions in order to keep the multicomponent sequence as short as possible. When adduct 1a was refluxed in DCE (0.2 M) with DLP added in 15 mol% portions every twenty minutes, we could isolate the desired cyclized pyrrolidine 2a as a 9:1 mixture of diastereomers [39] in 48% isolated yield, after overall addition of 1.5 equivalent of DLP (Scheme 3).
Scheme 3.
Radical reaction conditions.
Scheme 3.
Radical reaction conditions.

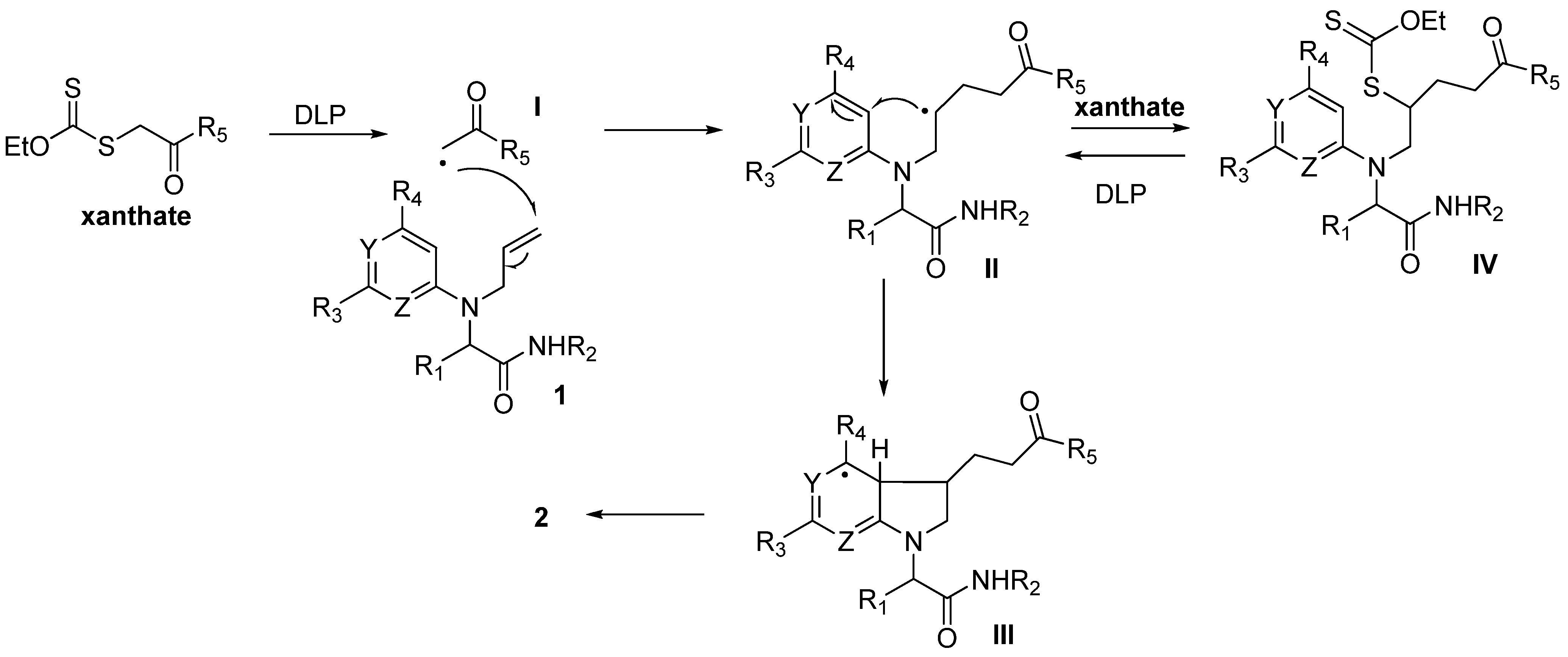
This sequence is initiated by decomposition of the xanthate into the electrophilic radical I, which is then trapped by the alkene moiety to give intermediate II. The latter is an electron-rich radical that can react with the starting xanthate to form intermediate IV. The latter being slightly less reactive than the starting xanthate towards radicals issued from DLP, accumulates in the medium and reacts when further amount of DLP is added without much 1 left to enter in the chain process. After addition of the radical onto the aryl ring, the intermediate species III further aromatize through interaction with the DLP (Scheme 4).
Scheme 4.
Plausible mechanism.
Scheme 4.
Plausible mechanism.

To evaluate the scope of this cyclization, the reaction was performed with the Ugi-Smiles adducts formerly prepared and the results are displayed in Table 2.
Table 2.
Radical additions-Cyclizations.
| Entry | Ugi-Smiles adduct | Xanthate | Cyclized product | Yield (%) |
|---|---|---|---|---|
| 1 | 1b | ![]() | 2b (dr 4:1) | 24 |
| 2 | 1c | ![]() | 2c (dr 2:1) | 27 |
| 3 | 1d | ![]() | 2d (dr 2.3:1) | 55 |
| 4 | 1d | ![]() | 2e (dr 1.5:1) | 44 |
| 5 | 1e | ![]() | 2f | 27 |
| 6 | 1f | ![]() | 2g (dr 3:1) | 48 |
| 7 | 1a | ![]() | 2h (dr 4:1) | 34 |
| 8 | 1g | ![]() | 2i (dr 2.3:1) | 43 |
Pyridines and pyrimidines without any halogen substitutent at the 2 or 5 position can act as radical trapping agents in this sequence. In the study disclosed by Zard, initial attempts with 2-aminopyridine or 2-amino-5-methylpyridine as starting materials led to successful 1,2-addition product with the xanthate, but no indolizine could be formed in the following cyclization step [31]. Chloro or fluoro substituents are expected to lower the electron density in the aromatic ring leading to easier addition of the nucleophilic intermediate radical species, and this may explain the moderate yields observed. In our case, the reaction turns out to be poorly efficient with 4-aminopyridines, with yields not exceeding 30% (Table 2, Entries 1–2), a nitro group at the 5-position of the 2-aminopyridine ring activates the cyclization as a higher 48% isolated yield could be obtained (Table 2, Entry 6). Pyrimidines, in agreement with their higher electrophilicity, are better partners, giving yields over 50% with simple alkyl or aryl susbtituents on the heterocyclic core (Table 2, Entry 3).
3. Experimental
3.1. General
1H-NMR spectra were recorded on a 400 MHz spectrometer (Bruker Avance 400), using CDCl3 solvent as reference and/or internal deuterium lock. 13C-NMR spectra were recorded on a 100.6 MHz spectrometer (Bruker Avance 400). Two-dimensional NMR spectroscopy [1H -1H COSY spectra, 1H - 13C COSY spectra (HSQC) and long-range 1H -13C COSY spectra (HMBC)], were carried out to determine the correlation between 1H and 13C. The chemical shifts for all NMR spectra are expressed in parts per million to high frequency of TMS reference. Coupling constants (J) are quoted in Hz and are recorded to the nearest 0.1 Hz. The IR spectra were obtained using ATR accessories on a Bruker Tensor 27 instrument. High-resolution (HR) mass spectra were recorded on a Hewlett-Packard HP 5989B spectrometer. TLC was carried out using precoated plates of silica gel 60F254 (SDS-Carlo-Erba).
3.2. Ugi-Smiles Coupling Procedure
To a 1 M solution of hydroxyheteroaromatic compound in methanol were added successively 1.0 equivalent of amine, 1.0 equivalent of aldehyde and 1.0 equivalent of isocyanide. The resulting mixture was stirred at 65 °C for 18–36 h. The solvent was removed afterwards under reduced pressure to afford the Ugi-Smiles product after purification by flash chromatography on silica gel.
3.3. DLP-Cyclisation Reaction Procedure
A solution of Ugi-Smiles adduct (1.0 mmol) and xanthate (1.2 mmol) in 1,2-dichloroethane (1.0 M) was refluxed for 5 min under argon before DLP was added (60 g, 0.15 mmol) from the top of the condenser. Portions of DLP (60 mg, 0.15 mmol) were added every 20 min until complete disappearance of Ugi-Smile adduct and the starting xanthate, then the remaining DLP was added every 20 min until complete disappearance of the intermediate (TLC monitoring). Concentration under reduced pressure afforded an oily pale brown residue, which was purified by flash chromatography eluting with petroleum ether/diethyl ether to give the pure product as a mixture of two diastereomers. In all the cases, the spectral data are given for the major diastereomer.
2-(N-Allyl-N-(2,6-dimethylpyrimidin-4-yl)amino)-N-cyclohexylbutanamide (1a). Yellow solid, (1.0 gm, 38%), mp 124–125 °C; 1H-NMR: δ (ppm) 6.69 (br s, 1H), 6.11 (s, 1H), 5.86–5.69 (m, 1H), 5.27–5.01 (m, 3H), 4.08 (dd, 1H, J = 4.8, 17.0 Hz), 3.84 (d, 1H, J = 17.0 Hz), 3.75–3.63 (m, 1H), 2.51 (s, 3H), 3.32 (s, 3H), 2.13–2.00 (m, 1H), 1.92–1.81 (m, 1H), 1.78–1.59 (m, 3H), 1.58–1.46 (m, 2H), 1.40–1.22 (m, 2H), 1.20–1.06 (m, 2H), 1.02–0.93 (m, 1H), 0.90 (t, 3H, J = 7.3 Hz); 13C-NMR: δ (ppm) 170.1, 166.1, 165.3, 162.6, 133.5, 116.9, 100.3, 58.8, 47.6, 47.3, 32.9, 32.7, 26.1, 25.5, 24.5, 24.4, 24.3, 21.9, 10.9; IR (thin film): 2929, 2855, 2356, 1657, 1583, 1539, 1479, 1448, 1403, 1343, 1273, 1177, 1089 cm−1; HRMS: Calcd. for C19H30N4O: 330.2420, Found: 330.2425.
2-(N-Allyl-N-(pyridin-4-yl)amino)-N-cyclohexyl-4-methylpentanamide (1b). Pale yellow solid, (475 mg, 69%), mp 110–111 °C, 1H-NMR: δ (ppm) 8.23 (dd, 2H, J = 1.6, 5.2 Hz), 6.59 (dd, 2H, J = 1.6, 5.2 Hz), 5.95–5.80 (m, 2H), 5.29–5.21 (m, 2H), 4.25 (t, 1H, J = 6.9 Hz), 4.00 (dd, 1H, J = 5.2, 17.2 Hz), 3.90 (dd, 1H, J = 5.2, 17.2 Hz), 3.80–3.69 (m, 1H), 2.08–2.00 (m, 1H), 1.86–1.76 (m, 2H), 1.70–1.53 (m, 5H), 1.39–1.25 (m, 2H), 1.15–1.00 (m, 3H), 0.92 (d, 3H, J = 6.7, Hz), 0.90 (d, 3H, J = 6.7 Hz); 13C-NMR: δ (ppm) 169.9, 153.0, 150.2, 133.2, 118.1, 108.3, 61.0, 49.7 , 48.4, 37.7, 32.9, 25.4, 25.2, 24.7, 22.9, 22.1; IR (thin film): 2930, 2853, 1652, 1596, 1544, 1513, 1450, 1235, 1169 cm−1; HRMS: Calcd. for C20H31N3O: 329.2467, Found: 329.2467.
2-(N-Allyl-N-(pyridin-4-yl)amino)-N-tert-butyl-4-methylpentanamide (1c). Pale yellow solid, (360 mg, 43%), mp 111–112 °C, 1H-NMR: δ (ppm) 8.25 (dd, 2H, J = 1.6, 5.0 Hz), 6.59 (dd, 2H, J = 1.6, 5.0 Hz), 5.90–5.80 (m, 2H), 5.28–5.19 (m, 2H), 4.19 (dd, 1H, J = 5.9, 8.0 Hz), 4.00 (ddt, 1H, J = 1.5, 5.0, 17.2 Hz), 3.89 (ddt, 1H, J = 1.5, 5.0, 17.2 Hz), 2.04–1.95 (m, 1H), 1.65–1.53 (m, 2H), 1.27 (s, 9H), 0.91 (d, 3H, J = 6.6 Hz), 0.89 (d, 3H, J = 6.6 Hz); 13C-NMR: δ (ppm) 170.0, 153.0, 149.8, 133.1, 117.9, 108.3, 61.4, 51.4, 49.6, 37.5, 28.5, 25.0, 22.8, 22.2; IR (thin film): 2964, 2930, 2871, 1676, 1596, 1544, 1513, 1454, 1367, 1266, 1231, 1172 cm−1; HRMS: Calcd. for C18H29N3O: 303.2311, Found: 303.2309.
2-(N-Allyl-N-(6-methyl-2-phenylpyrimidin-4-yl)amino)-N-cyclohexylbutanamide (1d). white solid, (600 mg, 61%), mp 114–115 °C, 1H-NMR: δ (ppm) 8.50–8.27 (m, 2H), 7.60–7.38 (m, 3H), 6.60 (br s, 1H), 6.24 (s, 1H), 5.94–5.76 (m, 1H), 5.42–5.03 (m, 3H), 4.11 (d, 1H, J = 17.0 Hz), 3.96 (d, 1H, J = 17.0 Hz), 3.77–3.61 (m, 1H), 2.45 (s, 3H), 2.24–2.08 (m, 1H), 1.89–1.74 (m, 2H), 1.68–1.36 (m, 4H), 1.33–1.13 (m, 2H), 1.04–0.80 (m, 6H); 13C-NMR: δ (ppm) 170.2, 166.0, 162.8, 162.6, 138.2, 133.5, 130.2, 128.4, 127.9, 117.1, 101.3, 59.7, 47.7, 32.8, 32.6, 25.3, 24.6, 24.4, 24.3, 21.6, 11.1; IR (thin film): 2929, 2850, 1658, 1591, 1570, 1526, 1474, 1443, 1377, 1260, 1208, 1181, 1024 cm−1; HRMS: Calcd. for C24H32N4O: 392.2576, Found: 392.2575.
2-(N-Allyl-N-(6-methyl-2-phenylpyrimidin-4-yl)amino)-N-p-tolylmethan-acetamide (1e). white solid, (498 mg, 60%), mp 124–125 °C, 1H-NMR: δ (ppm) 8.43–8.24 (m, 2H), 7.52–7.35 (m, 3H), 7.02 (d, 2H, J = 8.0 Hz), 6.94 (d, 2H, J = 8.0 Hz), 6.79 (br s, 1H), 6.25 (s, 1H), 5.91–5.80 (m, 1H), 5.31–5.14 (m, 2H), 4.39 (s, 2H), 4.29 (s, 2H), 4.16 (s, 2H), 2.44 (s, 3H), 2.25 (s, 3H); 13C-NMR: δ (ppm) 169.5, 166.4, 163.3, 162.1, 137.9, 136.9, 134.7, 131.3, 130.2, 129.2, 128.2, 128.0, 127.3, 117.8, 99.9, 52.2, 51.4, 42.9, 24.5, 21.0; IR (thin film): 2920, 2356, 1653, 1591, 1570, 1531, 1496, 1439, 1408, 1374, 1260, 1230, 1194, 1068, 1024 cm−1; HRMS: Calcd. for C24H26N4O: 386.2107, Found: 386.2104.
2-(N-Allyl-N-(5-nitropyridin-2-yl)amino)-N-cyclohexylbutanamide (1f). Yellow solid, (508 mg, 41%), mp 111–112 °C, 1H-NMR: δ (ppm) 9.04 (d, 1H, J = 2.2 Hz), 8.21 (dd, 1H, J = 2.2, 9.4 Hz), 6.52 (d, 1H, J = 9.4 Hz), 6.18 (br s, 1H), 5.87–5.72 (m, 1H), 5.38-5.11 (m, 3H), 4.23 (dd, 1H, J = 4.8, 17.0 Hz), 4.03 (d, 1H, J = 17.0 Hz), 3.78–3.66 (m, 1H), 2.19–2.03 (m, 1H), 1.96–1.83 (m, 1H), 1.80–1.49 (m, 5H), 1.43–1.22 (m, 2H), 1.21–1.06 (m, 2H), 1.05–0.88 (m, 4H); 13C-NMR: δ (ppm) 169.2, 160.7, 145.6, 132.9, 132.7, 126.7, 117.6, 106.7, 60.0, 48.0, 47.9, 32.9, 32.8, 25.4, 24.5, 21.9, 10.8; IR (thin film): 2924, 2850, 1657, 1588, 1570, 1496, 1413, 1325, 1286, 1251, 1111 cm−1; HRMS: Calcd. for C18H26N4O3: 346.2005, Found: 346.2016.
N-(4-Chlorobenzyl)-2-(N-allyl-N-(2,6-dimethylpyrimidin-4-yl)amino)-3-methylbutanamide (1g). White solid, (2.1 gm, 68%), mp 97–98 °C, 1H-NMR: δ (ppm) 7.23 (d, 2H, J = 8.2 Hz), 7.07 (d, 2H, J = 8.2 Hz), 6.13 (s, 1H), 5.70–5.55 (m, 1H), 5.13 (d, 2H, J = 13.3 Hz), 4.91 (br s, 1H), 4.40–4.25 (m, 2H), 4.10–3.90 (m, 2H), 2.56–2.42 (m, 1H), 2.38 (s, 3H), 2.33 (s, 3H), 1.02 (d, 3H, J = 6.4 Hz), 0.81 (d, 3H, J = 6.4 Hz); 13C-NMR: δ (ppm) 170.9, 166.1, 165.4, 162.6, 136.7, 133.1, 133.0, 128.9, 128.7, 117.4, 100.6, 42.6, 26.5, 26.1, 24.1, 19.9, 19.1; IR (thin film): 2968, 1671, 1583, 1535, 1474, 1403, 1339, 1268, 1203, 1085 cm−1; HRMS: Calcd. for C21H27ClN4O: 386.1873, Found: 386.1868.
Ethyl 3-(7-(1-(cyclohexylcarbamoyl)propyl)-6,7-dihydro-2,4-dimethyl-5H-pyrrolo[2,3-d]pyrimidin-5-yl)propanoate (2a). Yellow liquid, (200 mg, 48%), 1H-NMR: δ (ppm) 6.43 (d, 1H, J = 7.5 Hz), 4.40 (t, 1H, J = 7.7 Hz), 4.06 (q, 2H, J = 6.8 Hz), 3.80–3.63 (m, 2H), 3.40–3.25 (m, 2H), 2.45 (s, 3H), 2.34–2.20 (m, 5H), 2.10–1.95 (m, 2H), 1.90–1.70 (m, 4H), 1.69–1.46 (m, 3H), 1.40–1.05 (m, 8H), 0.88 (t, 3H, J = 7.3 Hz); 13C-NMR: δ (ppm) 172.8), 169.1, 166.3, 166.2, 157.2, 116.4, 60.6, 57.9, 50.5, 47.8, 35.0, 32.9, 32.8, 30.4, 28.9, 25.8, 25.4, 24.5, 24.4, 20.8, 20.5, 14.2, 10.7; IR (thin film): 2929, 2855, 2356, 1731, 1657, 1609, 1570, 1517, 1448, 1400, 1312, 1277, 1260, 1168, 1168, 1089, 1028 cm−1; HRMS: Calcd. for C23H36N4O3: 416.2787, Found: 416.2767.
Ethyl 3-(1-(1-(cyclohexylcarbamoyl)-3-methylbutyl)-2,3-dihydro-1H-pyrrolo[3,2-c]pyridin-3-yl)-propanoate (2b). Pale yellow liquid, ( 100 mg, 24%), 1H-NMR: δ (ppm) 8.21 (s, 1H), 8.12 (d, 1H, J = 5.8 Hz), 6.55 (d, 1H, J = 5.8 Hz), 6.04 (br s, 1H), 4.10 (q, 2H, J = 7.1 Hz), 3.93 (t, 1H, J = 6.5 Hz), 3.80–3.60 (m, 3H), 3.00–2.88 (m, 1H), 2.29 (t, 2H, J = 7.0 Hz), 2.02 (dd, 1H, J = 7.0, 13.4 Hz), 1.95–1.78 (m, 4H), 1.74–1.50 (m, 6H), 1.35–1.15 (m, 11H), 0.95–0.82 (m, 2H); 13C-NMR: δ (ppm) 173.0, 171.1, 148.1, 147.6, 146.1, 127.0, 107.0, 60.4, 60.2, 49.3, 48.2, 39.6, 33.7, 33.0, 32.8, 30.3, 30.0, 29.0, 25.3, 24.8, 24.7, 24.5, 22.2, 14.1; IR (thin film): 2924, 2840, 2361, 1727, 1644, 1660, 1517, 1448, 1374, 1277, 1260, 1163, 1098, 1064, 1028 cm−1; HRMS: Calcd. for C24H37N3O3: 415.2835, Found: 415.2837.
Ethyl 3-(1-(1-(tert-butylcarbamoyl)-3-methylbutyl)-2,3-dihydro-1H-pyrrolo[3,2-c]pyridin-3-yl)-propanoate (2c). Pale brown liquid, (85 mg, 27%), 1H-NMR: δ (ppm) 8.23 (s, 1H), 8.14 (d, 1H, J = 5.8 Hz), 6.55 (d, 1H, J = 5.8 Hz), 5.85 (br s, 1H), 4.10 (q, 2H, J = 7.1 Hz), 3.82 (t, 1H, J = 6.5 Hz), 3.74–3.62 (m, 2H), 3.00–2.87 (m, 1H), 2.30 (t, 2H, J = 7.0 Hz), 2.26–2.17 (m, 1H), 2.06–196 (m, 1H), 1.94–1.83 (m, 1H), 1.65–1.55 (m, 2H), 1.32 (s, 9H), 1.31–1.18 (m, 9H); 13C-NMR: δ (ppm) 173.0, 171.1, 156.2, 148.0, 146.7, 127.4, 107.0, 60.9, 60.4, 51.2, 49.4, 39.6, 33.8, 33.3, 30.3, 28.5, 24.6, 22.2, 14.2;. IR (thin film): 2960, 2933, 2361, 1727, 1666, 1596, 1543, 1505, 1448, 1365, 1277, 1255, 1220, 1163 cm−1; HRMS: Calcd. for C22H35N3O3: 389.2678, Found: 389.2679.
Ethyl 3-(7-(1-(cyclohexylcarbamoyl)propyl)-6,7-dihydro-4-methyl-2-phenyl-5H-pyrrolo[2,3-d]-pyrimidin-5-yl)propanoate (2d). Pale yellow liquid, (265 mg, 55%), 1H-NMR: δ (ppm) 8.40–8.30 (m, 2H), 7.54–7.38 (m, 3H), 6.52 (br s, 1H), 4.63–4.45 (m, 1H), 4.09 (q, 2H, J = 7.0 Hz), 3.80–3.60 (m, 2H), 3.50–3.25 (m, 2H), 2.40 (s, 3H), 2.37–2.24 (m, 2H), 2.18–1.96 (m, 2H), 1.94–1.70 (m, 4H), 1.63–1.38 (m, 3H), 1.34–1.14 (m, 6H), 1.05–0.80 (m, 5H); 13C-NMR: δ (ppm) 172.8, 169.3, 166.6, 163.0, 157.9, 138.2, 130.0, 128.2, 127.7, 117.5, 60.6, 58.2, 50.7, 47.9, 35.2, 32.8, 32.7, 30.4, 28.8, 25.3, 24.4, 24.2, 21.0, 20.9, 14.2, 10.8; IR (thin film): 2972, 2929, 2850, 1731, 1662, 1605, 1562, 1531, 1452, 1377, 1312, 1246, 1163 cm−1, HRMS: Calcd. for C28H38N4O3: 478.2944, Found: 478.2950.
N-Cyclohexyl-2-(5,6-dihydro-4-methyl-5-(3-oxobutyl)-2-phenylpyrrolo[2,3-d]pyrimidin-7-yl)butan-amide (2e). Yellow liquid, (75 mg, 44%), 1H-NMR: δ (ppm) 8.40–8.25 (m, 2H), 7.55–7.35 (m, 3H), 6.50 (d, 1H, J = 8.0Hz), 4.50 (t, 1H, J = 6.6 Hz), 3.78–3.58 (m, 2H), 3.45–3.25 (m, 2H), 2.47 (t, 2H, J = 7.5 Hz), 2.40 (s, 3H), 2.16–2.00 (m, 5H), 1.90–1.66 (m, 4H), 1.60–1.34 (m, 4H), 1.30–1.14 (m, 2H), 1.10–0.85 (m, 5H); 13C-NMR: δ (ppm) 207.9, 169.3, 166.5, 162.9, 157.8, 138.1, 130.0, 128.2, 127.7, 117.7, 58.2, 51.2, 47.8, 39.4, 35.1, 32.7, 30.0, 27.4, 25.3, 24.4, 24.3, 21.1, 21.0, 10.8; IR (thin film): 2929, 2853, 1710, 1656, 1603, 1564, 1508, 1454, 1377, 1317, 1247, 1159, 1064 cm−1, HRMS: Calcd. for C27H36N4O2: 448.2838, Found: 448.2836.
Ethyl 3-(7-(N-p-tolylmethan-carbamoylmethyl)-6,7-dihydro-4-methyl-2-phenyl-5H-pyrrolo[2,3-d]-pyrimidin-5-yl)propanoate (2f). Pale yellow liquid, (125 mg, 27%), 1H-NMR: δ (ppm) 8.28 (d, 2H, J = 7.6 Hz), 7.45–7.34 (m, 3H), 7.10 (d, 2H, J = 7.6 Hz), 7.00 (d, 2H, J = 7.6 Hz), 6.95 (br s, 1H), 4.50–4.25 (m, 3H), 4.08–3.95 (m, 3H), 3.75–3.65 (m, 1H), 3.45–3.35 (m, 2H), 2.40 (s, 3H), 2.33–2.20 (m, 5H), 2.10–2.00 (m, 1H), 1.96–1.85 (m, 1H), 1.20 (t, 3H, J = 7.0 Hz); 13C-NMR: δ (ppm) 173.0, 169.0, 167.0, 163.6, 158.5, 138.0, 137.1, 135.0, 130.1, 129.4, 128.3, 128.0, 127.6, 117.4, 60.8, 55.8, 49.5, 43.2, 35.8, 30.8, 28.7, 21.1, 21.0, 14.2; IR (thin film): 2924, 2356, 1731, 1662, 1605, 1583, 1570, 1518, 1448, 1377, 1325, 1260, 1172, 1024 cm−1, HRMS: Calcd. for C28H32N4O3: 472.2474, Found : 472.2473.
Ethyl 3-(1-(1-(cyclohexylcarbamoyl)propyl)-2,3-dihydro-5-nitro-1H-pyrrolo[2,3-b]pyridin-3-yl)-propanoate (2g). Pale brown liquid, (297 mg, 48%), 1H-NMR: δ (ppm) 8.86 (s, 1H), 7.92 (s, 1H), 6.04 (br s, 1H), 4.05 (t, 1H, J = 7.5 Hz), 4.15 (q, 2H, J = 7.2 Hz), 4.00–3.83 (m, 1H), 3.79–3.62 (m, 1H), 3.55–3.30 (m, 2H), 2.44–2.30 (m, 2H), 2.20–1.98 (m, 2H), 1.94–1.76 (m, 3H), 1.74–1.64 (m, 3H), 1.62–1.50 (m, 2H), 1.34–1.25 (m, 6H), 1.20–1.10 (m, 1H), 0.95 (t, 3H, J = 7.2 Hz); 13C-NMR: δ (ppm) 172.5, 168.1, 164.6, 146.7, 136.6, 126.7, 125.7, 60.8, 58.5, 51.9, 48.2, 36.2, 33.0, 31.0, 30.9, 29.5, 25.4, 24.6, 24.5, 21.4, 14.3, 10.7; I.R. (thin film): 2933, 2850, 2356, 1731, 1657, 1609, 1574, 1517, 1496, 1443, 1377, 1291, 1186, 1090, 1024 cm−1, HRMS: Calcd. for C22H32N4O5: 432.2373, Found: 432.2386.
N-Cyclohexyl-2-(5,6-dihydro-2,4-dimethyl-5-(3-oxo-3-phenylpropyl)pyrrolo[2,3-d]pyrimidin-7-yl)-butanamide (2h). Pale brown liquid, (150 mg, 34%), 1H-NMR: δ (ppm) 7.90 (d, 2H, J = 7.8 Hz), 7.58–7.54 (m, 1H), 7.48–7.41 (m, 2H), 6.48 (d, 1H, J = 7.8 Hz), 4.41 (t, 1H, J = 7.7 Hz), 3.80–3.65 (m, 2H), 3.46–3.30 (m, 2H), 3.08–2.83 (m, 2H), 2.45 (s, 3H), 2.30 (s, 3H), 2.26–2.14 (m, 1H), 2.08–1.96 (m, 1H), 1.94–1.40 (m, 7H), 1.30–0.98 (m, 5H), 0.90 (t, 3H, J = 7.3 Hz); 13C-NMR: δ (ppm) 199.3, 169.2, 166.3, 166.1, 157.2, 136.6, 133.2, 128.6, 127.9, 116.8, 58.0, 50.7, 47.9, 35.2, 34.1, 33.0, 32.8, 28.2, 25.8, 25.4, 24.4, 21.1, 20.6, 10.8; IR (thin film): 2929, 2853, 1671, 1611, 1568, 1515, 1446, 1404, 1358, 1317, 1270, 1259, 1202, 1083 cm−1, HRMS: Calcd. for C27H36N4O2: 448.2838, Found: 448.2843.
Ethyl 3-(7-(1-(4-chlorobenzylcarbamoyl)-2-methylpropyl)-6,7-dihydro-2,4-dimethyl-5H-pyrrolo[2,3-d]pyrimidin-5-yl)propanoate (2i). Pale yellow liquid, (203 mg, 43%), 1H-NMR: δ (ppm) 7.22 (d, 2H, J = 8.0 Hz), 7.07 (d, 2H, J = 8.0 Hz), 6.97 (d, 1H, J = 6.0 Hz), 4.39 (dd, 2H, J = 6.0, 14.7 Hz), 4.12 (q, 2H, J = 7.0 Hz), 4.04–3.97 (m, 1H), 3.73 (t, 1H, J = 7.0 Hz), 3.40–3.20 (m, 2H), 2.51–2.38 (m, 1H), 2.35 (s, 3H), 2.28 (s, 3H), 2.23 (t, 2H, J = 7.5 Hz), 2.10–1.90 (m, 1H), 1.80–1.65 (m, 1H), 1.25 (t, 3H, J = 7.0 Hz), 1.00 (d, 3H, J = 7.0 Hz), 0.87 (d, 3H, J = 7.0 Hz); 13C-NMR: δ (ppm) 172.8, 169.6, 166.1, 165.9, 157.3, 136.7, 133.2, 128.9, 128.7, 116.6, 64.0, 60.6, 51.5, 42.6, 35.2, 30.6, 28.9, 26.4, 25.7, 20.6, 19.5, 19.1, 14.2; IR (thin film): 2964, 2924, 1731, 1671, 1609, 1570, 1531, 1469, 1403, 1273, 1177, 1094, 1011 cm−1, HRMS: Calcd. for C25H33ClN4O3: 472.2241, Found : 472.2244.
4. Conclusions
The reported two-step cascade constitutes a concise entry into pyrrolidino- pyridines and pyrimidines. Compared with previous results obtained on xanthate cascades performed on N-allylamino- pyridine and pyrimidines, these new couplings significantly widen the scope of these reactions. The modest efficiency of the whole process is counter-balanced by the simple experimental procedure and the straightforward access to important biologically relevant scaffolds [40,41,42,43]. This work is a new example of the potential of radical chemistry in Ugi post-condensations.
Acknowledgements
P. P. thanks the ANR-CP2D Program (ANR MUSE) for a fellowship.
References and Notes
- Dömling, A. Recent Developments in Isocyanide Based Multicomponent Reactions in Applied Chemistry. Chem. Rev. 2006, 106, 17–89 and references cited therein. [Google Scholar] [CrossRef]
- Dömling, A.; Ugi, I. Multicomponent reactions with isocyanides. Angew. Chem. Int. Ed. 2000, 39, 3168–3210. [Google Scholar] [CrossRef]
- Lu, K.; Luo, T.; Xiang, Z.; You, Z.; Fathi, R.; Chen, J.; Yang, Z. A Concise and Diversity-Oriented Strategy for the Synthesis of Benzofurans and Indoles via Ugi and Diels-Alder Reactions. J. Comb. Chem. 2005, 7, 958–967. [Google Scholar] [CrossRef]
- Paulvannan, K. An Atom-Economical approach to Conformationally Constrained Tricyclic Nitrogen Heterocycles via Sequential and tandem Ugi/Intramolecular Diels-Alder Reaction of Pyrrole. J. Org. Chem. 2004, 69, 1207–1214. [Google Scholar] [CrossRef]
- Akritopoulou-Zanze, I.; Djuric, S.W. Synthesis of novel fused isoxazoles and isoxazolines by sequential Ugi/INOC reactions. Tetrahedron Lett. 2004, 45, 3421–3423. [Google Scholar] [CrossRef]
- Akritopoulou-Zanze, I.; Gracias, V.; Djuric, S.W. A versatile synthesis of fused triazolo derivatives by sequential Ugi/alkyne–azidecycloaddition reactions. Tetrahedron Lett. 2004, 45, 8439–8441. [Google Scholar] [CrossRef]
- Akritopoulou-Zanze, I.; Whitehead, A.; Waters, J.E.; Henry, R.F.; Djuric, S.W. Synthesis of Novel and Uniquely Shaped 3-Azabicyclo[4.2.0]octan-4-one Derivatives by Sequential Ugi/[2 + 2] Ene-Enone Photocycloadditions. Org. Lett. 2007, 9, 1299–1302. [Google Scholar] [CrossRef]
- Akritopoulou-Zanze, I.; Wang, Y.; Zhao, H.; Djuric, S.W. Synthesis of substituted fused pyridines, pyrazines and pyrimidines by sequential Ugi/inverse electron demand Diels–Alder transformations. Tetrahedron Lett. 2009, 50, 5773–5776. [Google Scholar] [CrossRef]
- Fayol, A.; Zhu, J. Multicomponent synthesis of epoxy-tetrahydronaphthyridine and structural diversification by subsequent fragmentation. Tetrahedron 2005, 61, 11511–11519. [Google Scholar] [CrossRef]
- Gracias, V.; Moore, J.D.; Djuric, S.W. Sequential Ugi/Heck cyclization strategies for the facile construction of highly functionalized N-heterocyclic scaffolds. Tetrahedron Lett. 2004, 45, 417–420. [Google Scholar] [CrossRef]
- Xiang, Z.; Luo, T.; Lu, K.; Cui, J.; Shi, X.; Fathi, R.; Chen, J.; Yang, Z. Concise Synthesis of Isoquinoline via the Ugi and Heck Reactions. Org. Lett. 2004, 6, 3155–3158. [Google Scholar] [CrossRef]
- Krelaus, R.; Westermann, B. Preparation of peptide-like bicycliclactams via a sequential Ugi reaction-olefin metathesis approach. Tetrahedron Lett. 2004, 45, 5987–5990. [Google Scholar] [CrossRef]
- Kazmaier, U.; Hebach, C.; Watzke, A.; Maeir, S.; Mues, H.; Huch, V. A straightforward approach towards cyclic peptides via ring-closing metathesis-scope and limitations. Org. Biomol. Chem. 2005, 3, 136–145. [Google Scholar] [CrossRef]
- Basso, A.; Banfi, L.; Riva, R.; Guanti, G. Preparation of optically pure fused polycyclic scaffolds by Ugi reaction followed by olefin and enyne metathesis. Tetrahedron 2006, 62, 8830–8837. [Google Scholar] [CrossRef]
- Kalinski, C.; Umkehrer, M.; Ross, G.; Kolb, J.; Burdack, C.; Hillerb, W. Highly substituted indol-2-ones, quinoxalin-2-ones and benzodiazepin-2,5-diones via a new Ugi(4CR)-Pd assisted N-aryl amidation strategy. Tetrahedron Lett. 2006, 47, 3423–3426. [Google Scholar]
- Marcaccini, S.; Miliciani, M.; Pepino, R. A facile synthesis of 1,4-benzodiazepine derivatives via Ugi four-component condensation . Tetrahedron Lett. 2005, 46, 711–713. [Google Scholar] [CrossRef]
- Nixey, T.; Tempest, P.; Hulme, C. Two-step solution-phase synthesis of novel quinoxalinones utilizing a UDC (Ugi/de-Boc/cyclize) strategy. Tetrahedron Lett. 2002, 43, 1637–1639. [Google Scholar] [CrossRef]
- Banfi, L.; Basso, A.; Casuscelli, F.; Guanti, G.; Naz, F.; Riva, R.; Zito, P. Synthesis of Novel Isochromene Derivatives by Tandem Ugi Reaction/Nucleophilic Substitution. Synlett 2010, 85–88. [Google Scholar]
- Ignacio, J.M.; Macho, S.; Marcaccini, S.; Pepino, R.; Torroba, T. A Facile Synthesis of 1,3,5-Trisubstituted Hydantoins via Ugi Four-Component Condensation. Synlett 2005, 3051–3054. [Google Scholar]
- Xing, X.; Wu, J.; Luo, J.; Dai, W.-M. C-N Bond-Linked Conjugates of Dibenz[b,f][1,4]oxazepines with 2-Oxindole. Synlett 2006, 2099–2103. [Google Scholar]
- Nixey, T.; Kelly, M.; Semin, D.; Hulme, C. Short solution phase preparation of fused azepine-tetrazoles via a UDC (Ugi/de-Boc/cyclize) strategy. Tetrahedron Lett. 2002, 43, 3681–3684. [Google Scholar] [CrossRef]
- El Kaim, L.; Grimaud, L.; Miranda, L.D.; Vieu, E. Ugi/xanthatecyclizations as a radical route to lactam scaffolds. Tetrahedron Lett. 2006, 47, 8259–8261. [Google Scholar]
- El Kaim, L.; Grimaud, L.; Miranda, L.D.; Vieu, E. From Simple Ugi Adducts to Indane and delta-Amidomalonate: New Mn(OAc)3 Induced Radical Cascades. Org. Lett. 2007, 9, 4171–4173. [Google Scholar]
- Zamudio-Medina, A.; García-González, M.C.; Padilla, J.; González-Zamora, E. Synthesis of a tetracycliclactam system of Nuevamine by four-component reaction and free radical cyclization. Tetrahedron Lett. 2010, 51, 4837–4839. [Google Scholar] [CrossRef]
- El Kaim, L.; Grimaud, L.; Miranda, L.D.; Vieu, E.; Cano-Herrera, M.-A.; Perez-Labrada, K. New xanthate-based radical cyclization onto alkynes. Chem. Commun. 2010, 46, 2489–2491. [Google Scholar]
- Gámez-Montaño, R.; Ibarra-Rivera, T.; El Kaim, L.; Miranda, L.D. Efficient Synthesis of Azaspirodienones by Microwave-Assisted Spirocyclization of Xanthate-Containing Ugi Adducts. Synthesis 2010, 8, 1285–1290. [Google Scholar]
- Yu, H.; Gai, T.; Sun, W.L.; Zhang, M.S. Radical reduction of Passerini 3CR adducts by SmI2/HMPA. Chin. Chem. Lett. 2011, 22, 379–381. [Google Scholar] [CrossRef]
- Zard, S.Z. On the Trail of Xanthates: Some New Chemistry from an old Functional Group. Angew. Chem. Int. Ed. Engl. 1997, 36, 672–685. [Google Scholar] [CrossRef]
- Quiclet-Sire, B.; Zard, S.Z. The Degenerative Radical Transfer of Xanthates and Related Derivatives: An Unusually Powerful Tool for the Creation of Carbon–Carbon Bonds. Top. Curr. Chem. 2006, 264, 201–236. [Google Scholar] [CrossRef]
- Ly, T.-L.; Quiclet-Sire, B.; Sortais, B.; Zard, S.Z. A Convergent Approach to Indolines and Indanes. Tetrahedron Lett. 1999, 40, 2533–2536. [Google Scholar] [CrossRef]
- Bacqué, E.; El Qacemi, M.; Zard, S.Z. Tin-Free Radical Cyclizations for the Synthesis of 7-Azaoxindoles, 7-Azaindolines, Tetrahydro[1,8]naphthyridines, and Tetrahydro-5H-pyrido[2,3-b]azepin-8-ones. Org. Lett. 2004, 6, 3671–3674. [Google Scholar] [CrossRef]
- El Qacemi, M.; Ricard, L.; Zard, S.Z. An unprecedented radical ring closure on a pyridine nitrogen. Chem. Commun. 2006, 4422–4424. [Google Scholar]
- Laot, Y.; Petit, L.; Zard, S.Z. Unusual radical addition on a heteroaromatic nitrogen. A convenient access to new pyrimidine derivatives. Chem. Commun. 2010, 46, 5784–5786. [Google Scholar] [CrossRef]
- Laot, Y.; Petit, L.; Zard, S.Z. Synthesis of Fluoroazaindolines by an Uncommon Radical ipso Substitution of a Carbon-Fluorine Bond. Org. Lett. 2010, 12, 3426–3429. [Google Scholar] [CrossRef]
- Laot, Y.; Petit, L.; Diem My Tran, N.; Zard, S.Z. Fluoroazaindolines by an Uncommon Radical ipso-Substitution of a Carbon-Fluorine Bond. Aust. J. Chem. 2011, 64, 416–425. [Google Scholar] [CrossRef]
- El Kaim, L.; Grimaud, L.; Oble, J. Phenol Ugi–Smiles Systems: Strategies for the Multicomponent N-Arylation of Primary Amines with Isocyanides, Aldehydes, and Phenols. Angew. Chem. Int. Ed. 2005, 44, 7961–7964. [Google Scholar]
- El Kaim, L.; Gizolme, M.; Grimaud, L.; Oble, J. Smiles Rearrangements in Ugi- and Passerini-Type Couplings: New Multicomponent Access to O- and N-Arylamides. J. Org. Chem. 2007, 72, 4169–4180. [Google Scholar] [CrossRef]
- El Kaim, L.; Gizolme, M.; Grimaud, L.; Oble, J. Direct Access to Heterocyclic Scaffolds by New MulticomponentUgi-Smiles Couplings. Org. Lett. 2006, 8, 4019–4021. [Google Scholar]
- The structure of the major diastereomers could not be determined with usual NMR techniques.
- Aso, K.; Kobayashi, K.; Mochizuki, M.; Kanzaki, N.; Sako, Y.; Yano, T. Discovery of pyrrolo[2,3-d]pyrimidin-4-ones as corticotropin-releasing factor 1 receptor antagonists with a carbonyl-based hydrogen bonding acceptor. Bioorg. Med. Chem. Lett. 2011, 21, 2365–2371. [Google Scholar] [CrossRef]
- Mueller, C.E.; Geis, U.; Grahner, B.; Lanzner, W.; Eger, K. ChiralPyrrolo[2,3-d]pyrimidine and Pyrimido[4,5-b]indole Derivatives: Structure-Activity Relationships of Potent, Highly Stereoselective A1-Adenosine Receptor Antagonists. J. Med. Chem. 1996, 39, 2482–2491. [Google Scholar] [CrossRef]
- Aso, K.; Hitaka, T.; Yukishige, K.; Ootsu, K.; Akimoto, H. Synthesis and Antitumor Activity of Pyrrolo[2,3-d]pyrimidineAntifolates with a Bridge Chain Containing a Nitrogen Atom. Chem. Pharm. Bull. 1995, 43, 256–261. [Google Scholar] [CrossRef]
- Simard, D.; Leblanc, Y.; Berthelette, C.; Zaghdane, M.H.; Molinaro, C.; Wang, Z.; Gallant, M.; Lau, S.; Thao, T.; Hamel, M.; Stocco, R.; Sawyer, N.; Sillaots, S.; Gervais, F.; Houle, R.; Levesque, J.-F. Azaindoles as potent CRTH2 receptor antagonists. Bioorg. Med. Chem. Lett. 2011, 21, 841–845. [Google Scholar]
- Sample Availability: Not available.
© 2011 by the authors; licensee MDPI, Basel, Switzerland. This article is an open access article distributed under the terms and conditions of the Creative Commons Attribution license ( http://creativecommons.org/licenses/by/3.0/).




















