Abstract
In this paper, in order to find novel biologically active pyrazole oximes, a series of pyrazole oxime compounds bearing a substituted pyridyl unit were prepared. Bioassays showed that some target compounds were found to have good acaricidal activity against Tetranychus cinnabarinus at a concentration of 500 μg/mL, compound 9q especially displayed potent acaricidal activity against T. cinnabarinus when the concentration was reduced to 100 μg/mL. Interestingly, most target compounds possessed excellent insecticidal activities against Oriental armyworm at 500 μg/mL. Moreover, some compounds were active against Aphis medicaginis and Nilaparvata lugens at 500 μg/mL. Additionally, compounds 9b, 9g, 9l, 9p, 9q, 9r, 9s, 9t, 9u, and 9v displayed significant antiproliferative activities against HepG2 cells with IC50 values of 1.53–17.27 μM, better than that of the control 5-fluorouracil (IC50 = 35.67 μM).
1. Introduction
In the past few decades, heterocycles play a significant role in the research of agricultural and medicinal chemistry. Pyrazole oxime is a vital five-membered aromatic heterocycle. A lot of pyrazole oxime derivatives have drawn considerable attention for their extensive biological activities including insecticidal [1], acaricidal [2], fungicidal [3], antitumor [4], and antiviral activity [5]. For example, fenpyroximate (Figure 1), a potent acaricide carrying a pyrazole oxime unit, is used to control some important phytophagous mites such as Tetranychus urticae Koch and Polyphagotarsonemus latus Banks [6]. After it appeared on the market in 1991, many chemists began to study the structural modification of fenpyroximate. Recently, Zou et al. reported that thiazole-containing pyrazole oxime compound A (Figure 1) displayed good insecticidal activity [7], Dai et al. obtained pyrazole oxime compound B (Figure 1) bearing a benzyloxy-linked thiazole unit exhibiting interesting insecticidal activity besides good acaricidal activity [8]. Park et al. reported some Fenpyroximate analogues possessing potential anticancer properties against HepG2 (human hepatoma) cells [9], and Dai et al. also found some 1,2,3-thiadiazole-containing pyrazole oxime derivatives displaying satisfactory antitumor activities against Panc-1 (human pancreatic carcinoma) and SGC-7901 (human gastric cancer) cells [10]. Therefore, pyrazole oxime compounds became a focus of chemical and pharmaceutical research.
Figure 1.
Structures of fenpyroximate, imidacloprid, thiacloprid, acetamiprid, and compounds A–E.
On the other hand, the pyridyl ring is another important six-membered aromatic heterocycle containing one nitrogen atom, which plays a vital role in lots of biologically active compounds [11,12,13,14]. Many pyridine-based derivatives are found to possess broad spectrum biological activities such as fungicidal [15], insecticidal [16,17,18], herbicidal [19], antiviral [20], and anticancer activities [21]. For instance, imidacloprid, thiacloprid, and acetamiprid (Figure 1), well-known pyridyl-containing neonicotinoid insecticides, are currently used in the fields of crop protection and animal health due to their good insecticidal activities and low mammalian toxicity [22]. Recently, Wang et al. reported the preparation of novel 2-cyanoacrylates D (Figure 1) and replaced the substituted phenyl ring of compound C (Figure 1) with a substituted pyridyl group, resulting in better biological activity and broader bioactivity spectra [23]. More recently, Wu et al. found that some 2-cyanoacrylates E (Figure 1) carrying a benzyloxy-linked pyridyl unit also indicated wonderful bioactivities [24]. So we have reason to believe that the substituted pyridyl moiety can be used as a significant skeleton in exploring novel bioactive molecules.
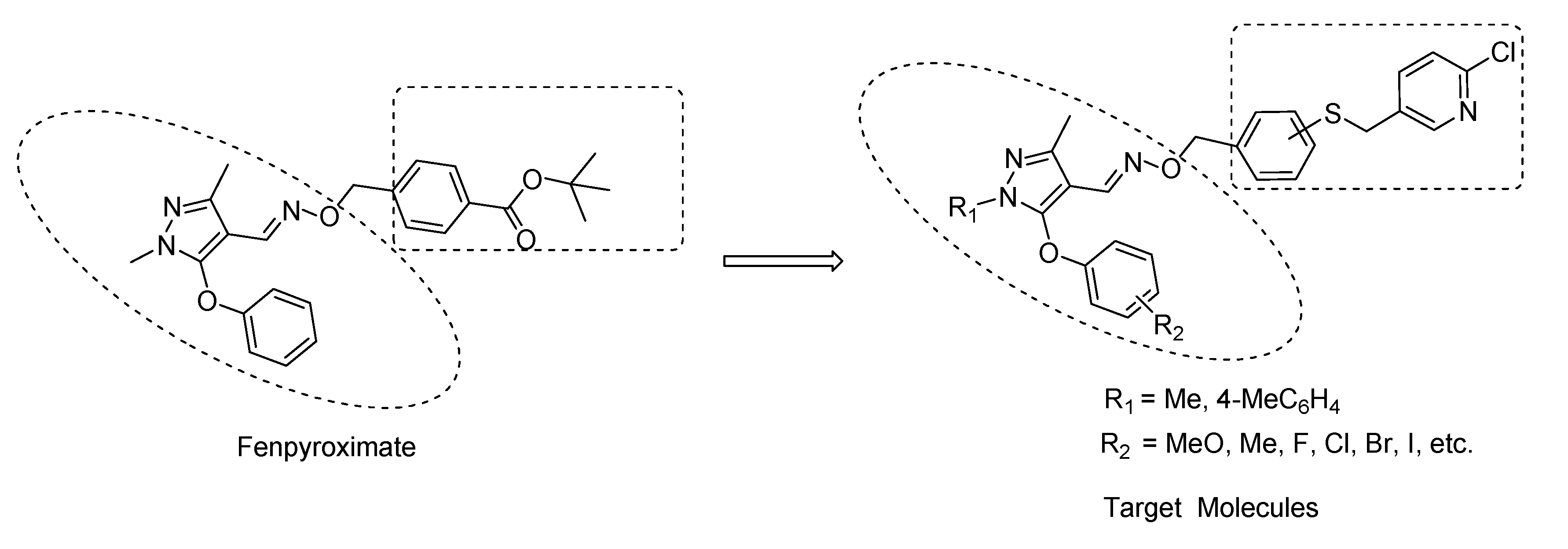
Motivated by the above viewpoints, we conceived that replacement of the esterified phenyl ring of fenpyroximate with a substituted pyridine group might produce some new compounds with good biological activities (Figure 2). In this research, we report the synthesis and bioactivities of novel pyrazole oximes containing a substituted pyridyl moiety.
Figure 2.
The design of the title molecules.
2. Results and Discussion
2.1. Chemistry
As indicated in Scheme 1, 23 pyrazole oxime compounds carrying substituted pyridine moiety were successfully prepared. Using potassium hydroxide as the base, compound 1 was easily reacted with 2-mercaptobenzoic acid or 4-mercaptobenzoic acid to give compound 2. Further reaction with methanol, under acidic condition, afforded compound 3 in satisfactory yields. The next reaction with LiAlH4 produced compound 4 in good yields. Then chlorination of compound 4 provided the key intermediate 5 successfully. The condensation of compound 6 with different substituted phenols under basic conditions afforded 5-aryloxy substituted pyrazole carbaldehyde (7), which was then transformed to 5-aryloxy substituted pyrazole oximes (8) by the treatment with hydroxylamine hydrochloride. Finally, the reaction of the key intermediate 5 with oximes 8, under cesium carbonate promoting conditions, provided the designed compounds 9a–9w in good yields. The title compounds have all been structurally confirmed through 1H NMR, 13C NMR and elemental analyses.
Scheme 1.
Synthesis of the target compounds 9a–9w. Reagents and conditions: (a) 2-mercaptobenzoic acid or 4-mercaptobenzoic acid, potassium hydroxide, ethanol, reflux for 10 h, 65% for 2a, 70% for 2b; (b) methanol, concentrated sulfuric acid, reflux for 8 h, 75% for 3a, 83% for 3b; (c) LiAlH4, tetrahydrofuran, 0 °C for 10 min, r.t. for 2 h, 63% for 4a, 71% for 4b; (d) thionyl chloride, dichloromethane, 0 °C for 10 min, r.t. for 3 h, 73% for 5a, 80% for 5b; (e) substituted phenols, potassium hydroxide, DMF, 40 °C for 6 h, then 100 °C for 12–20 h, 58–80% for 7; (f) hydroxylamine hydrochloride, potassium hydroxide, methanol, reflux for 8–15 h, 56–77% for 8; (g) compounds 5, potassium carbonate, cesium carbonate, acetonitrile, reflux for 8–17 h, 53–75% for 9.
2.2. Biological Activities
2.2.1. Acaricidal Activities and Insecticidal Activity
The synthesized compounds 9a–9w were tested for acaricidal activity against Tetranychus cinnabarinus and insecticidal activities against Oriental armyworm, Aphis medicaginis and Nilaparvata lugens. Abamectin and Fenpyroximate were used as the positive controls, respectively. As displayed in Table 1, some of the target compounds showed good acaricidal activity against T. cinnabarinus at a concentration of 500 μg/mL. Among these compounds, the mortalities of compounds 9m, 9p, and 9q were 80.65%, 80.56%, and 80.78%, respectively, which were similar to that of the control Fenpyroximate. When the dosage was reduced to 100 μg/mL, compound 9q was still active against T. cinnabarinus with inhibitory value of 70.89%. Besides acaricidal activity, most of the aimed compounds demonstrated excellent insecticidal activities against Oriental armyworm at a concentration of 500 μg/mL (Table 2), for instance, compounds 9a, 9c, 9d, 9e, 9f, 9g, 9h, 9i, 9j, 9k, 9l, 9m, 9n, 9o, 9q, 9r, 9s, 9t, and 9u all had over 90.00% inhibition rates, which were comparable to that of the control Abamectin (100.00%). As shown in Table 2, some title compounds indicated good insecticidal activities against A. medicaginis at a concentration of 500 μg/mL, for example, compounds 9l, 9m, 9p, 9q, 9r, 9s, 9t, and 9u all possessed 100.00% inhibition rates, which were equally to that of the control Abamectin. Interestingly, some designed compounds showed potent insecticidal activity against N. lugens and beyond good insecticidal activities against A. medicaginis. Among these compounds, compounds 9l, 9m, 9o, 9p, 9q, 9r, 9s, and 9u had a >80.00% inhibition rate at 500 μg/mL. Based on the structure-activity data, we found that when the mercapto group is at the 4-position and R1 is Me, the substituent R2 at the 4-position of the phenyl ring was methoxy (9l), methyl (9m), fluoro (9q) or chloro group (9r) or the substituent R2 at the 3-position of phenyl ring was fluoro atom (9p), it was advantageous to increase the biological activity spectrum.
Table 1.
Acaricidal activities of compounds 9a–9w (mortality, %).
Table 2.
Insecticidal activities of compounds 9a–9w (mortality, %).
2.2.2. Anticancer Activities
The inhibitory activity of the target compounds 9a–9w against human pancreatic carcinoma cells (Panc-1), human hepatoma cells (HepG2), and human gastric cancer cells (SGC-7901) were screened and evaluated in vitro by the MTT method using sorafenib and 5-fluorouracil as positive controls, respectively. Their IC50 values were presented in Table 3. As can be seen, some title compounds showed more potent antiproliferative activity on HepG2 cells than Panc-1 and SGC-7901 cells. Among these compounds, compounds 9b, 9g, 9l, 9p, 9q, 9r, 9s, 9t, 9u, and 9v indicated good antiproliferative activities against HepG2 cells with IC50 values of 1.53–17.27 μM, better than that of the control 5-fluorouracil (IC50 = 35.67 μM). Especially, the inhibitory effect of compound 9r, against HepG2 cell, was 23-fold as strong as that of 5-fluorouracil. Based on the structure-antitumor activity data, we found that when the mercapto group is at the 4-position and R1 is Me, the 3-fluoro substituted compound 9p and 4-chloro substituted compound 9r exhibited more potent inhibitory activity against HepG2 cell.
Table 3.
Antiproliferative activity of compounds 9a–9w.
All the above results implied that good biological activities can be achieved through introducing substituted pyridyl moiety into pyrazole oxime unit. To obtain more active derivatives, further studies on these compounds are well under way.
3. Experimental Section
3.1. Chemistry
3.1.1. General Procedures
All reagents are commercially available and used without further purification except as indicated. The melting points were determined on an X-4 binocular microscope melting point apparatus (Beijing Tech Instrument Co., Beijing, China) and are uncorrected. 1H NMR and 13C NMR spectra were measured on a Bruker AV400 spectrometer (400 MHz, 1H; 100 MHz, 13C, Bruker, Billerica, MA, USA) in CDCl3 with TMS as an internal standard. Elemental analyses were determined on a Yanaco CHN Corder MT-3 elemental analyzer (Yanaco, Kyoto, Japan). The intermediate 1-methyl-3-methyl-5-chloro-1H-pyrazole-4-carbaldehyde (6) was prepared according to the reported procedures [25].
3.1.2. Synthesis of Compound 2
To a solution of 2 (or 4)-mercaptobenzoic acid (3.1 g, 20 mmol), compound 1 (3.3 g, 22 mmol) and anhydrous ethanol (100 mL) was added potassium hydroxide (2.2 g, 40 mmol) at room temperature. The resulting mixture was heated to reflux for 10 h. Then it was cooled to room temperature, allowed to settle for 2 h, and the precipitates were collected by filtration. To the solid was added 100 mL of water, followed by adding 5% hydrochloric acid to adjust the pH to 2–3. The precipitates were filtered off to obtain compound 2. Compound 2a: white solid; yield 65%; m.p. 218–219 °C. 1H NMR (DMSO-d6): δ 13.11 (s, 1H, COOH); 8.47 (d, J = 2.4 Hz, 1H, Py-H); 7.22–7.92 (m, 6H, Py-H and Ar-H); 4.27 (s, 2H, CH2). Compound 2b: white solid; yield 70%; m.p. 180–182 °C. 1H NMR (DMSO-d6): δ 12.95 (s, 1H, COOH); 8.43 (d, J = 2.4 Hz, 1H, Py-H); 7.43–7.90 (m, 6H, Py-H and Ar-H), 4.40 (s, 2H, CH2).
3.1.3. Synthesis of Compound 3
To a solution of compound 2 (5.6 g, 20 mmol) in anhydrous methanol (60 mL) was added concentrated sulfuric acid (2 mL) at room temperature. The resulting mixture was heated to reflux for 8 h and cooled to room temperature, allowed to settle for 1 h, and the precipitates were obtained by filtration to give compound 3. Compound 3a: white solid; yield 75%; m.p. 79–80 °C. 1H NMR (CDCl3): δ 8.16 (d, J = 2.4 Hz, 1H, Py-H); 7.97 (d, J = 7.6 Hz, 1H, Ar-H); 7.66 (dd, J1 = 2.4 Hz, J2 = 8.4 Hz, 1H, Py-H); 6.70–7.46 (m, 4H, Py-H and Ar-H); 4.09 (s, 2H, CH2); 3.93 (s, 3H, OCH3). Compound 3b: white solid; yield 83%; m.p. 101–102 °C. 1H NMR (CDCl3): δ 8.24 (d, J = 2.0 Hz, 1H, Py-H); 7.85 (d, J = 8.4 Hz, 1H, Ar-H); 7.54 (dd, J1 = 2.0 Hz, J2 = 8.0 Hz, 1H, Py-H); 7.18–7.21 (m, 3H, Py-H and Ar-H); 4.07 (s, 2H, CH2), 3.83 (s, 3H, OCH3).
3.1.4. Synthesis of Compound 4
A solution of intermediate 3 (5.9 g, 20 mmol) in anhydrous tetrahydrofuran (60 mL) was cooled in an ice-water bath followed by adding lithium aluminum hydride (1.1 g, 40 mmol) in portions. Then the resulting mixture was stirred at room temperature for 2 h. The reaction mixture was poured into water (80 mL). The precipitates were filtered off, and the filtrate was continuously extracted with ethyl acetate (3 × 50 mL). The combined organic layer was washed by water and brine, dried over anhydrous Na2SO4, and concentrated in a rotatory evaporator to afford compound 4. Compound 4a: white solid; yield 63%; m.p. 80–81 °C. 1H NMR (CDCl3): δ 8.14 (d, J = 2.0 Hz, 1H, Py-H); 7.50 (dd, J1 = 2.4 Hz, J2 = 8.0 Hz, 1H, Py-H); 7.21–7.43 (m, 5H, Py-H and Ar-H); 4.70 (s, 2H, CH2); 4.02 (s, 2H, CH2). Anal. Calcd. for C13H12ClNOS: C 58.75; H 4.55; N 5.27. Found: C 58.88; H 4.63; N 5.16. Compound 4b: white solid; yield 71%; m.p. 73–74 °C. 1H NMR (CDCl3): δ 8.12 (d, J = 2.4 Hz, 1H, Py-H); 7.56 (dd, J1 = 2.8 Hz, J2 = 8.0 Hz, 1H, Py-H); 7.22–7.27 (m, 5H, Py-H and Ar-H); 4.66 (s, 2H, CH2); 4.01 (s, 2H, CH2). Anal. Calcd. for C13H12ClNOS: C 58.75; H 4.55; N 5.27. Found: C 58.63; H 4.66; N 5.39.
3.1.5. Synthesis of Compound 5
A solution of intermediate 4 (5.3 g, 20 mmol) in dichloromethane (30 mL) was cooled in ice-water bath followed by adding dropwise a mixture of thionyl chloride (8.9 g, 40 mmol) and dichloromethane (20 mL). The reaction mixture was stirred at room temperature for 3 h. The reaction mixture was quenched by trash ice, then the organic phase was separated, washed by water and saturated NaCl solution, dried over anhydrous Na2SO4, and evaporated in vacuo to produce compound 5. Compound 5a: yellow oil; yield 73%. 1H NMR (CDCl3): δ 8.15 (d, J = 2.4 Hz, 1H, Py-H); 7.22–7.53 (m, 6H, Py-H and Ar-H); 4.72 (s, 2H, CH2); 4.06 (s, 2H, CH2). Anal. Calcd. for C13H11Cl2NS: C 54.94; H 3.90; N 4.93. Found: C 55.07; H 3.79; N 4.81. Compound 5b: white solid; yield 80%; m.p. 70–71 °C. 1H NMR (CDCl3): δ 8.21 (d, J = 2.8 Hz, 1H, Py-H); 7.25–7.58 (m, 6H, Py-H and Ar-H); 4.54 (s, 2H, CH2); 4.04 (s, 2H, CH2). Anal. Calcd. for C13H11Cl2NS: C 54.94; H 3.90; N 4.93. Found: C 54.81; H 3.99; N 5.05.
3.1.6. General Procedure for the Preparation of 7a–7w
To a solution of substituted phenol (75 mmol) in N,N-dimethylformamide (60 mL) was added potassium hydroxide (100 mmol) at room temperature. The reaction mixture was heated to 40 °C for 6 h. Then to the above mixture was added compound 6 (50 mmol) in portions, and the resulting mixture was heated to 100 °C for 12–20 h. The reaction solution was poured into water (100 mL) and was continuously extracted with ethyl acetate (3 × 50 mL). The combined organic layer was washed by water and brine, dried over anhydrous Na2SO4, and concentrated in rotatory evaporator to give compounds 7a–7w, with yields ranging from 58% to 80% [26].
3.1.7. General Procedure for the Preparation of 8a–8w
To a well stirred solution of hydroxylamine hydrochloride (45 mmol) and potassium hydroxide (45 mmol) in methanol (60 mL) was added compound 7 (30 mmol) at room temperature. The reaction mixture was heated to reflux for 8–15 h and cooled to room temperature. The reaction solution was poured into water (100 mL). The resulting precipitate was collected by filtration and washed with water to afford compounds 8a–8w, with yields ranging from 56% to 77% [26].
3.1.8. General Procedure for the Preparation of 9a–9w
To a well stirred solution of intermediate 5 (6 mmol), compound 8 (5 mmol), and powdered potassium carbonate (12 mmol) in anhydrous acetonitrile (25 mL) was added Cs2CO3 (1 mmol) at room temperature, the resulting mixture was heated to reflux for 8–17 h. After cooled to room temperature, the reaction mixture was filtered. After the solvent had been removed under reduced pressure, the residue was admixed with water (80 mL) and extracted with ethyl acetate (3 × 50 mL).
The combined organic layer was dried over anhydrous Na2SO4. The solvent was evaporated in vacuo, and the residue was then subjected to column chromatography using a mixture of petroleum ether and ethyl acetate as an eluent to produce the title compounds 9a–9w, with yields ranging from 53% to 75%. All 23 pyrazole oxime derivatives 9a–9w were novel and the physical and spectral data for these compounds are listed below. 1H NMR and 13C NMR spectra are provided in the Supplementary Materials.
1-Methyl-3-methyl-5-(4-methoxyphenoxy)-1H-pyrazole-4-carbaldehyde-O-[2-(2-chloropyridin-5-yl-methylthio)phenylmethyl]-oxime (9a). Yellow oil, yield 62%. 1H NMR (CDCl3): δ 8.02 (s, 1H, Py-H), 7.70 (s, 1H, CH=N), 7.38 (d, J = 8.0 Hz, 1H, Py-H), 7.27 (d, J = 6.4 Hz, 1H, Py-H), 7.09–7.18 (m, 4H, Ar-H), 6.73 (s, 4H, Ar-H), 5.05 (s, 2H, CH2), 3.88 (s, 2H, CH2), 3.68 (s, 3H, OCH3), 3.52 (s, 3H, N-CH3), 2.27 (s, 3H, CH3); 13C NMR (CDCl3): δ 155.8, 150.7, 150.1, 149.6, 148.5, 146.9, 141.0, 139.4, 139.1, 133.6, 132.9, 132.6, 130.6, 128.6, 127.9, 123.9, 116.4, 114.9, 99.8, 74.1, 55.7, 36.2, 34.2, 14.9. Anal. Calcd. for C26H25ClN4O3S: C 61.35; H 4.95; N 11.01. Found: C 61.48; H 4.86; N 11.13.
1-Methyl-3-methyl-5-(4-methylphenoxy)-1H-pyrazole-4-carbaldehyde-O-[2-(2-chloropyridin-5-yl-methylthio)phenylmethyl]-oxime (9b). White oil, yield 60%. 1H NMR (CDCl3): δ 8.09 (d, J = 2.0 Hz, 1H, Py-H), 7.78 (s, 1H, CH=N), 7.33–7.46 (m, 2H, Py-H and Ar-H), 7.16–7.26 (m, 4H, Ar-H and Py-H), 7.06 (d, J = 8.4 Hz, 2H, Ar-H), 6.76 (d, J = 8.4 Hz, 2H, Ar-H), 5.12 (s, 2H, CH2), 3.95 (s, 2H, CH2), 3.57 (s, 3H, N-CH3), 2.35 (s, 3H, CH3), 2.28 (s, 3H, CH3); 13C NMR (CDCl3): δ 154.7, 150.1, 149.6, 148.2, 146.8, 140.9, 139.2, 139.1, 133.6, 133.2, 132.8, 132.6, 130.6, 130.4, 128.6, 127.9, 123.9, 115.1, 100.0, 74.1, 36.2, 34.2, 20.6, 14.9 Anal. Calcd. for C26H25ClN4O2S: C 63.34; H 5.11; N 11.36. Found: C 63.22; H 5.23; N 11.47.
1-Methyl-3-methyl-5-(2-fluorophenoxy)-1H-pyrazole-4-carbaldehyde-O-[2-(2-chloropyridin-5-yl-methylthio)phenylmethyl]-oxime (9c). Yellow oil, yield 53%. 1H NMR (CDCl3): δ 8.10 (d, J = 2.4 Hz, 1H, Py-H), 7.79 (s, 1H, CH=N), 7.44–7.47 (m, 1H, Py-H), 7.12–7.32 (m, 6H, Ar-H and Py-H), 6.96–7.05 (m, 2H, Ar-H), 6.73–6.77 (m, 1H, Ar-H), 5.08 (s, 2H, CH2), 3.96 (s, 2H, CH2), 3.64 (s, 3H, N-CH3), 2.32 (s, 3H, CH3); 13C NMR (CDCl3): δ 151.6 (d, J = 247 Hz), 150.1, 149.6, 147.3, 146.9, 144.2, 140.4, 139.1, 139.0, 133.6, 132.7, 132.5, 130.5, 128.7, 127.8, 124.6, 124.0, 117.1 (d, J = 17 Hz), 116.7, 99.8, 74.1, 36.1, 34.2, 14.6. Anal. Calcd. for C25H22ClFN4O2S: C 60.42; H 4.46; N 11.27. Found: C 60.29; H 4.55; N 11.14.
1-Methyl-3-methyl-5-(3-fluorophenoxy)-1H-pyrazole-4-carbaldehyde-O-[2-(2-chloropyridin-5-yl-methylthio)phenylmethyl]-oxime (9d). Yellow oil, yield 55%. 1H NMR (CDCl3): δ 8.03 (d, J = 2.0 Hz, 1H, Py-H), 7.73 (s, 1H, CH=N), 7.37–7.40 (m, 1H, Py-H), 7.10–7.24 (m, 6H, Ar-H and Py-H), 6.54–6.74 (m, 3H, Ar-H), 5.02 (s, 2H, CH2), 3.89 (s, 2H, CH2), 3.52 (s, 3H, N-CH3), 2.28 (s, 3H, CH3); 13C NMR (CDCl3): δ 163.5 (d, J = 246 Hz), 157.5, 150.1, 149.6, 147.0, 140.5, 139.1, 139.0, 133.7, 132.6, 130.9, 130.8, 130.5, 128.7, 127.8, 124.0, 110.6 (d, J = 29 Hz), 113.4, 103.4 (d, J = 26 Hz), 100.3, 74.1, 36.1, 34.3, 14.7. Anal. Calcd. for C25H22ClFN4O2S: C 60.42; H 4.46; N 11.27. Found: C 60.53; H 4.34; N 11.20.
1-Methyl-3-methyl-5-(4-fluorophenoxy)-1H-pyrazole-4-carbaldehyde-O-[2-(2-chloropyridin-5-yl-methylthio)phenylmethyl]-oxime (9e). Yellow oil, yield 58%. 1H NMR (CDCl3): δ 8.12 (d, J = 2.4 Hz, 1H, Py-H), 7.80 (s, 1H, CH=N), 7.47–7.50 (m, 1H, Py-H), 7.20–7.33 (m, 5H, Py-H and Ar-H), 6.83–7.00 (m, 4H, Ar-H), 5.10 (s, 2H, CH2), 3.98 (s, 2H, CH2), 3.62 (s, 3H, N-CH3), 2.36 (s, 3H, CH3); 13C NMR (CDCl3): δ 158.7 (d, J = 241 Hz), 152.6, 150.2, 149.6, 147.8, 147.0, 141.6, 140.6, 139.1, 133.7, 132.7, 130.4, 128.7, 127.8, 124.0, 116.4 (d, J = 31 Hz), 74.1, 36.2, 34.2, 14.6. Anal. Calcd. for C25H22ClFN4O2S: C 60.42; H 4.46; N 11.27. Found: C 60.31; H 4.37; N 11.39.
1-Methyl-3-methyl-5-(2-chlorophenoxy)-1H-pyrazole-4-carbaldehyde-O-[2-(2-chloropyridin-5-yl-methylthio)phenylmethyl]-oxime (9f). Yellow oil, yield 54%. 1H NMR (CDCl3): δ 8.10 (d, J = 2.4 Hz, 1H, Py-H), 7.77 (s, 1H, CH=N), 7.41–7.47 (m, 2H, Py-H and Ar-H), 7.17–7.31 (m, 5H, Ar-H and Py-H), 7.10–7.14 (m, 1H, Ar-H), 7.00–7.04 (m, 1H, Ar-H), 6.65–6.68 (m, 1H, Ar-H), 5.08 (s, 2H, CH2), 3.96 (s, 2H, CH2), 3.62 (s, 3H, N-CH3), 2.34 (s, 3H, CH3); 13C NMR (CDCl3): δ 152.1, 150.1, 149.6, 147.2, 147.0, 140.4, 139.1, 133.6, 132.7, 132.5, 130.9, 130.5, 128.7, 128.0, 127.8, 124.5, 124.0, 122.7, 115.5, 100.1, 74.2, 36.1, 34.2, 14.6. Anal. Calcd. for C25H22Cl2N4O2S: C 58.48; H 4.32; N 10.91. Found: C 58.60; H 4.21; N 10.83.
1-Methyl-3-methyl-5-(4-chlorophenoxy)-1H-pyrazole-4-carbaldehyde-O-[2-(2-chloropyridin-5-yl-methylthio)phenylmethyl]-oxime (9g). White solid, yield 60%, m.p. 75–77 °C. 1H NMR (CDCl3): δ 8.09 (d, J = 2.4 Hz, 1H, Py-H), 7.78 (s, 1H, CH=N), 7.45–7.48 (m, 1H, Py-H), 7.17–7.29 (m, 7H, Ar-H and Py-H), 6.81 (d, J = 8.8 Hz, 2H, Ar-H), 5.08 (s, 2H, CH2), 3.96 (s, 2H, CH2), 3.59 (s, 3H, N-CH3), 2.34 (s, 3H, CH3); 13C NMR (CDCl3): δ 155.2, 150.1, 149.6, 147.1, 147.0, 140.5, 139.1, 139.0, 133.6, 132.6, 132.5, 130.5, 129.9, 128.7, 127.8, 124.0, 116.6, 100.1, 74.1, 36.1, 34.2, 14.6. Anal. Calcd. for C25H22Cl2N4O2S: C 58.48; H 4.32; N 10.91. Found: C 58.35; H 4.42; N 11.03.
1-Methyl-3-methyl-5-(4-bromophenoxy)-1H-pyrazole-4-carbaldehyde-O-[2-(2-chloropyridin-5-yl-methylthio)phenylmethyl]-oxime (9h). Yellow oil, yield 59%. 1H NMR (CDCl3): δ 8.09 (d, J = 2.0 Hz, 1H, Py-H), 7.78 (s, 1H, CH=N), 7.45–7.48 (m, 1H, Py-H), 7.38 (d, J = 8.8 Hz, 2H, Ar-H), 7.18–7.27 (m, 5H, Ar-H and Py-H), 6.76 (d, J = 8.8 Hz, 2H, Ar-H), 5.08 (s, 2H, CH2), 3.96 (s, 2H, CH2), 3.59 (s, 3H, N-CH3), 2.34 (s, 3H, CH3); 13C NMR (CDCl3): δ 155.7, 150.1, 149.6, 147.0, 140.5, 139.1, 133.6, 132.8, 132.6, 132.5, 130.5, 128.7, 127.8, 124.0, 117.1, 116.1, 100.2, 74.2, 36.1, 34.2, 14.5. Anal. Calcd. for C25H22BrClN4O2S: C 53.82; H 3.97; N 10.04. Found: C 53.69; H 4.08; N 10.14.
1-Methyl-3-methyl-5-(4-iodophenoxy)-1H-pyrazole-4-carbaldehyde-O-[2-(2-chloropyridin-5-yl-methylthio)phenylmethyl]-oxime (9i). Yellow oil, yield 60%. 1H NMR (CDCl3): δ 8.02 (d, J = 2.4 Hz, 1H, Py-H), 7.71 (s, 1H, CH=N), 7.49 (d, J = 8.8 Hz, 2H, Ar-H), 7.38–7.41 (m, 1H, Py-H), 7.11–7.19 (m, 5H, Py-H and Ar-H), 6.57 (d, J = 8.8 Hz, 2H, Ar-H), 5.00 (s, 2H, CH2), 3.89 (s, 2H, CH2), 3.51 (s, 3H, N-CH3), 2.26 (s, 3H, CH3); 13C NMR (CDCl3): δ 155.6, 149.1, 148.6, 146.0, 139.4, 138.1, 138.0, 137.8, 132.6, 131.7, 131.5, 129.4, 127.7, 126.8, 123.0, 116.6, 99.2, 85.4, 73.2, 35.2, 33.2, 13.5. Anal. Calcd. for C25H22ClIN4O2S: C 49.64; H 3.67; N 9.26. Found: C 49.78; H 3.56; N 9.38.
1-Methyl-3-methyl-5-(2,4-difluorophenoxy)-1H-pyrazole-4-carbaldehyde-O-[2-(2-chloropyridin-5-yl-methylthio)phenylmethyl]-oxime (9j). Yellow oil, yield 56%. 1H NMR (CDCl3): δ 8.10 (d, J = 2.0 Hz, 1H, Py-H), 7.78 (s, 1H, CH=N), 7.46–7.49 (m, 1H, Py-H), 7.19–7.30 (m, 5H, Ar-H and Py-H), 6.88–6.93 (m, 1H, Ar-H), 6.70–6.75 (m, 2H, Ar-H), 5.06 (s, 2H, CH2), 3.97 (s, 2H, CH2), 3.65 (s, 3H, N-CH3), 2.32 (s, 3H, CH3); 13C NMR (CDCl3): δ 148.6 (d, J = 332 Hz), 148.3 (d, J = 308 Hz), 141.2, 140.2, 139.1, 138.9, 133.6, 132.5, 131.1, 130.3, 128.7, 128.5, 127.8, 124.0, 117.5, 111.0 (d, J = 23 Hz), 105.6 (d, J = 22 Hz), 105.4 (d, J = 22 Hz), 99.5, 74.1, 36.1, 34.2, 14.4. Anal. Calcd. for C25H21ClF2N4O2S: C 58.31; H 4.11; N 10.88. Found: C 58.45; H 4.04; N 10.76.
1-Methyl-3-methyl-5-(2,4-dichlorophenoxy)-1H-pyrazole-4-carbaldehyde-O-[2-(2-chloropyridin-5-yl-methylthio)phenylmethyl]-oxime (9k). Yellow oil, yield 57%.1H NMR (CDCl3): δ 8.10 (d, J = 2.4 Hz, 1H, Py-H), 7.78 (s, 1H, CH=N), 7.41–7.48 (m, 2H, Ar-H and Py-H), 7.05–7.26 (m, 6H, Ar-H and Py-H), 6.59 (d, J = 8.8 Hz, 1H, Ar-H), 5.05 (s, 2H, CH2), 3.97 (s, 2H, CH2), 3.63 (s, 3H, N-CH3), 2.32 (s, 3H, CH3); 13C NMR (CDCl3): δ 150.8, 150.1, 149.6, 147.1, 146.5, 140.1, 139.1, 138.9, 133.6, 132.5, 130.5, 130.3, 129.0, 128.7, 127.9, 127.8, 124.0, 123.6, 116.3, 100.1, 74.2, 36.1, 34.3, 14.3. Anal. Calcd. for C25H21Cl3N4O2S: C 54.80; H 3.86; N 10.23. Found: C 54.93; H 3.76; N 10.12.
1-Methyl-3-methyl-5-(4-methoxyphenoxy)-1H-pyrazole-4-carbaldehyde-O-[4-(2-chloropyridin-5-yl-methylthio)phenylmethyl]-oxime (9l). Yellow oil, yield 75%. 1H NMR (CDCl3): δ 8.19 (d, J = 2.4 Hz, 1H, Py-H), 7.78 (s, 1H, CH=N), 7.52–7.54 (m, 1H, Py-H), 7.19–7.27 (m, 5H, Py-H and Ar-H), 6.82 (s, 4H, Ar-H), 4.95 (s, 2H, CH2), 4.02 (s, 2H, CH2), 3.78 (s, 3H, OCH3), 3.59 (s, 3H, N-CH3), 2.34 (s, 3H, CH3); 13C NMR (CDCl3): δ 155.7, 150.6, 150.2, 149.6, 148.4, 146.8, 141.0, 139.0, 137.0, 133.8, 132.6, 131.5, 130.8, 129.3, 124.1, 116.3, 114.9, 99.8, 75.3, 55.7, 35.8, 34.2, 14.8. Anal. Calcd. for C26H25ClN4O3S: C 61.35; H 4.95; N 11.01. Found: C 61.23; H 4.85; N 11.10.
1-Methyl-3-methyl-5-(4-methylphenoxy)-1H-pyrazole-4-carbaldehyde-O-[4-(2-chloropyridin-5-yl-methylthio)phenylmethyl]-oxime (9m). Yellow oil, yield 73%. 1H NMR (CDCl3): δ 8.21 (d, J = 2.4 Hz, 1H, Py-H), 7.81 (s, 1H, CH=N), 7.53–7.56 (m, 1H, Py-H), 7.21–7.24 (m, 5H, Py-H and Ar-H), 7.11 (d, J = 8.4 Hz, 2H, Ar-H), 6.78 (d, J = 8.4 Hz, 2H, Ar-H), 4.97 (s, 2H, CH2), 4.03 (s, 2H, CH2), 3.60 (s, 3H, N-CH3), 2.37 (s, 3H, CH3), 2.33 (s, 3H, CH3); 13C NMR (CDCl3): δ 154.7, 150.2, 149.6, 148.1, 146.8, 141.0, 139.0, 137.1, 133.8, 133.2, 132.6, 130.9, 130.4, 129.2, 124.1, 115.1, 100.1, 75.4, 35.9, 34.2, 20.6, 14.9. Anal. Calcd. for C26H25ClN4O2S: C 63.34; H 5.11; N 11.36. Found: C 63.26; H 5.20; N 11.24.
1-Methyl-3-methyl-5-(4-trifluoromethoxyphenoxy)-1H-pyrazole-4-carbaldehyde-O-[4-(2-chloropyridin-5-yl-methylthio)phenylmethyl]-oxime (9n). Yellow oil, yield 68%. 1H NMR (CDCl3): δ 8.19 (s, 1H, Py-H), 7.80 (s, 1H, CH=N), 7.55 (d, J = 6.8 Hz, 1H, Py-H), 7.15–7.23 (m, 7H, Py-H and Ar-H), 6.88 (d, J = 8.8 Hz, 2H, Ar-H), 4.90 (s, 2H, CH2), 4.02 (s, 2H, CH2), 3.61 (s, 3H, N-CH3), 2.34 (s, 3H, CH3); 13C NMR (CDCl3): δ 154.8, 150.2, 149.5, 147.2, 146.9, 144.9, 140.2, 139.1, 136.7, 134.0, 132.6, 130.8, 129.2, 124.2, 122.9, 116.5, 100.4, 75.5, 35.7, 34.3, 14.4. Anal. Calcd. for C26H22ClF3N4O3S: C 55.47; H 3.94; N 9.95. Found: C 55.60; H 3.82; N 9.84.
1-Methyl-3-methyl-5-(2-fluorophenoxy)-1H-pyrazole-4-carbaldehyde-O-[4-(2-chloropyridin-5-yl-methylthio)phenylmethyl]-oxime (9o). Yellow solid, yield 61%, m.p. 58–60 °C. 1H NMR (CDCl3): δ 8.19 (d, J = 2.4 Hz, 1H, Py-H), 7.79 (s, 1H, CH=N), 7.52–7.55 (m, 1H, Py-H), 7.14–7.23 (m, 6H, Py-H and Ar-H), 6.98–7.08 (m, 2H, Ar-H), 6.72–6.77 (m, 1H, Ar-H), 4.91 (s, 2H, CH2), 4.02 (s, 2H, CH2), 3.65 (s, 3H, N-CH3), 2.33 (s, 3H, CH3); 13C NMR (CDCl3): δ 152.0 (d, J = 247 Hz), 150.2, 149.6, 147.3, 147.0, 144.3, 140.4, 139.0, 137.0, 133.9, 132.6, 130.9, 129.2, 124.5, 124.1, 117.1 (d, J = 14 Hz), 116.8, 99.9, 75.4, 35.9, 34.2, 14.5. Anal. Calcd. for C25H22ClFN4O2S: C 60.42; H 4.46; N 11.27. Found: C 60.51; H 4.34; N 11.40.
1-Methyl-3-methyl-5-(3-fluorophenoxy)-1H-pyrazole-4-carbaldehyde-O-[4-(2-chloropyridin-5-yl-methylthio)phenylmethyl]-oxime (9p). Yellow oil, yield 64%. 1H NMR (CDCl3): δ 8.19 (d, J = 2.4 Hz, 1H, Py-H), 7.81 (s, 1H, CH=N), 7.53–7.55 (m, 1H, Py-H), 7.16–7.23 (m, 6H, Py-H and Ar-H), 6.60–6.83 (m, 3H, Ar-H), 4.93 (s, 2H, CH2), 4.02 (s, 2H, CH2), 3.60 (s, 3H, N-CH3), 2.35 (s, 3H, CH3); 13C NMR (CDCl3): δ 163.6 (d, J = 248 Hz), 157.6, 150.6, 150.2, 149.6, 147.0, 141.9, 140.9, 140.5, 139.0, 136.9, 133.9, 132.6, 130.8, 129.2, 128.9, 124.1, 110.6 (d, J = 22 Hz), 103.5 (d, J = 21 Hz), 100.3, 75.4, 35.8, 34.2, 14.6. Anal. Calcd. for C25H22ClFN4O2S: C 60.42; H 4.46; N 11.27. Found: C 60.33; H 4.53; N 11.17.
1-Methyl-3-methyl-5-(4-fluorophenoxy)-1H-pyrazole-4-carbaldehyde-O-[4-(2-chloropyridin-5-yl-methylthio)phenylmethyl]-oxime (9q). White solid, yield 66%, m.p. 39–41 °C. 1H NMR (CDCl3): δ 8.19 (d, J = 2.4 Hz, 1H, Py-H), 7.79 (s, 1H, CH=N), 7.53–7.56 (m, 1H, Py-H), 7.16–7.23 (m, 5H, Py-H and Ar-H), 6.82~7.00 (m, 4H, Ar-H), 4.93 (s, 2H, CH2), 4.02 (s, 2H, CH2), 3.60 (s, 3H, N-CH3), 2.34 (s, 3H, CH3); 13C NMR (CDCl3): δ 158.6 (d, J = 241 Hz), 152.6, 150.2, 149.6, 147.7, 147.0, 140.7, 139.1, 136.9, 133.9, 132.6, 130.8, 129.2, 124.1, 116.6, 116.4 (d, J = 14 Hz), 100.0, 75.4, 35.8, 34.3, 14.6. Anal. Calcd. for C25H22ClFN4O2S: C 60.42; H 4.46; N 11.27. Found: C 60.36; H 4.38; N 11.38.
1-Methyl-3-methyl-5-(4-chlorophenoxy)-1H-pyrazole-4-carbaldehyde-O-[4-(2-chloropyridin-5-yl-methylthio)phenylmethyl]-oxime (9r). Yellow oil, yield 70%. 1H NMR (CDCl3): δ 8.19 (d, J = 2.0 Hz, 1H, Py-H), 7.79 (s, 1H, CH=N), 7.53–7.56 (m, 1H, Py-H), 7.21–7.26 (m, 5H, Py-H and Ar-H), 7.15 (d, J = 8.4 Hz, 2H, Ar-H), 6.81 (d, J = 9.2 Hz, 2H, Ar-H), 4.92 (s, 2H, CH2), 4.02 (s, 2H, CH2), 3.60 (s, 3H, N-CH3), 2.33 (s, 3H, CH3); 13C NMR (CDCl3): δ 155.1, 150.2, 149.5, 147.2, 147.0, 140.4, 139.1, 136.8, 133.9, 132.6, 130.8, 130.0, 129.2, 128.8, 124.1, 116.7, 100.3, 75.5, 35.8, 34.3, 14.4. Anal. Calcd. for C25H22Cl2N4O2S: C 58.48; H 4.32; N 10.91. Found: C 58.61; H 4.20; N 10.82.
1-Methyl-3-methyl-5-(4-bromophenoxy)-1H-pyrazole-4-carbaldehyde-O-[4-(2-chloropyridin-5-yl-methylthio)phenylmethyl]-oxime (9s). Yellow oil, yield 68%. 1H NMR (CDCl3): δ 8.19 (d, J = 2.0 Hz, 1H, Py-H), 7.79 (s, 1H, CH=N), 7.54–7.56 (m, 1H, Py-H), 7.39 (d, J = 8.8 Hz, 2H, Ar-H), 7.14–7.23 (m, 5H, Py-H and Ar-H), 6.76 (d, J = 8.8 Hz, 2H, Ar-H), 4.92 (s, 2H, CH2), 4.03 (s, 2H, CH2), 3.60 (s, 3H, N-CH3), 2.34 (s, 3H, CH3); 13C NMR (CDCl3): δ 155.7, 150.2, 149.5, 147.0, 146.9, 140.5, 139.1, 136.9, 133.9, 132.8, 132.5, 130.8, 129.2, 124.1, 117.0, 116.1, 100.2, 75.4, 35.7, 34.2, 14.5. Anal. Calcd. for C25H22BrClN4O2S: C 53.82; H 3.97; N 10.04. Found: C 53.95; H 3.85; N 9.92.
1-Methyl-3-methyl-5-(4-iodophenoxy)-1H-pyrazole-4-carbaldehyde-O-[4-(2-chloropyridin-5-yl-methylthio)phenylmethyl]-oxime (9t). Yellow oil, yield 65%. 1H NMR (CDCl3): δ 8.20 (d, J = 2.4 Hz, 1H, Py-H), 7.79 (s, 1H, CH=N), 7.53–7.60 (m, 3H, Py-H and Ar-H), 7.14–7.24 (m, 5H, Py-H and Ar-H), 6.65 (d, J = 8.8 Hz, 2H, Ar-H), 4.92 (s, 2H, CH2), 4.03 (s, 2H, CH2), 3.59 (s, 3H, N-CH3), 2.33 (s, 3H, CH3); 13C NMR (CDCl3): δ 156.6, 150.2, 149.6, 147.0, 146.9, 140.5, 139.1, 138.9, 136.9, 133.9, 132.6, 130.9, 129.3, 124.1, 117.6, 100.3, 86.5, 75.5, 35.8, 34.3, 14.5. Anal. Calcd. for C25H22ClIN4O2S: C 49.64; H 3.67; N 9.26. Found: C 49.73; H 3.79; N 9.15.
1-Methyl-3-methyl-5-(2,4-difluorophenoxy)-1H-pyrazole-4-carbaldehyde-O-[4-(2-chloropyridin-5-yl-methylthio)phenylmethyl]-oxime (9u). Yellow oil, yield 63%. 1H NMR (CDCl3): δ 8.19 (d, J = 2.4 Hz, 1H, Py-H), 7.78 (s, 1H, CH=N), 7.54–7.56 (m, 1H, Py-H), 7.16–7.37 (m, 5H, Py-H and Ar-H), 6.91–6.94 (m, 1H, Ar-H), 6.71–6.74 (m, 2H, Ar-H), 4.91 (s, 2H, CH2) 4.02 (s, 2H, CH2), 3.66 (s, 3H, N-CH3), 2.31 (s, 3H, CH3); 13C NMR (CDCl3): δ 149.6, 148.9 (d, J = 334 Hz), 148.6 (d, J = 316 Hz), 147.1, 140.6, 140.3, 139.0, 137.0, 133.9, 132.6, 130.8, 129.1, 128.7, 124.2, 124.1, 117.5, 111.0 (d, J = 21 Hz), 105.6 (d, J = 21 Hz), 99.6, 75.4, 35.8, 34.2, 14.3. Anal. Calcd. for C25H21ClF2N4O2S: C 58.31; H 4.11; N 10.88. Found: C 58.18; H 4.23; N 10.99.
1-Methyl-3-methyl-5-(2,4-dichlorophenoxy)-1H-pyrazole-4-carbaldehyde-O-[4-(2-chloropyridin-5-yl-methylthio)phenylmethyl]-oxime (9v). Yellow oil, yield 66%. 1H NMR (CDCl3): δ 8.19 (s, 1H, Py-H), 7.78 (s, 1H, CH=N), 7.43–7.56 (m, 2H, Py-H and Ar-H), 7.08–7.23 (m, 6H, Py-H and Ar-H), 6.59 (d, J = 8.8 Hz, 1H, Ar-H), 4.90 (s, 2H, CH2) 4.02 (s, 2H, CH2), 3.63 (s, 3H, N-CH3), 2.32 (s, 3H, CH3); 13C NMR (CDCl3): δ 150.9, 150.2, 149.6, 147.2, 146.5, 140.1, 139.0, 136.9, 133.9, 132.6, 130.8, 130.5, 129.1, 129.0, 127.9, 124.1, 123.6, 116.3, 100.1, 75.4, 35.8, 34.2, 14.2. Anal. Calcd. for C25H21Cl3N4O2S: C 54.80; H 3.86; N 10.23. Found: C 54.67; H 3.97; N 10.35.
1-(4-Methylphenyl)-3-methyl-5-(4-methylphenoxy)-1H-pyrazole-4-carbaldehyde-O-[4-(2-chloropyridin-5-yl-methylthio)phenylmethyl]-oxime (9w). Yellow oil, yield 65%. 1H NMR (CDCl3): δ 8.20 (d, J = 2.4 Hz, 1H, Py-H), 7.81 (s, 1H, CH=N), 7.51–7.54 (m, 1H, Py-H), 7.45 (d, J = 8.4 Hz, 2H, Ar-H), 7.15–7.22 (m, 5H, Py-H and Ar-H), 7.14 (d, J = 8.4 Hz, 2H, Ar-H), 7.03 (d, J = 8.4 Hz, 2H, Ar-H), 6.77 (d, J = 8.8 Hz, 2H, Ar-H), 4.97 (s, 2H, CH2), 4.01 (s, 2H, CH2), 2.43 (s, 3H, CH3), 2.31 (s, 3H, CH3), 2.27 (s, 3H, CH3); 13C NMR (CDCl3): δ 154.8, 150.2, 149.6, 148.1, 147.5, 140.8, 139.0, 137.1, 135.1, 133.9, 133.1, 132.6, 130.9, 130.3, 129.7, 129.2, 128.9, 124.1, 122.1, 115.3, 101.6, 75.5, 35.9, 21.0, 20.6, 15.1. Anal. Calcd. for C32H29ClN4O2S: C 67.53; H 5.14; N 9.84. Found: C 67.66; H 5.03; N 9.95.
3.2. Biological Tests
3.2.1. Acaricidal Activity and Insecticidal Activity Assay
All bioassays were performed on representative test organisms reared in the laboratory. The bioassay was repeated in triplicate. Assessments were made on a dead/alive basis, and mortality rates were corrected using Abbott’s formula. The acaricidal activities against Tetranychus cinnabarinus, and insecticidal activities against Aphis medicaginis and Nilaparvata lugens of the target compounds were tested by the spray method [26]. Under the Potter spray tower, horsebean leaves inoculated with Tetranychus cinnabarinus were separately treated with solutions of tested compounds. After that, the resultant horsebean leaves were kept in an observation room for normal cultivation at 24 °C~27 °C. Mortality was assessed 48 h after treatment. Each test was run three times and results were averaged. Fenpyroximate was used as the control. Activities against Aphis medicaginis were evaluated by the similar procedure except that the culture temperature was reduced to 20~22 °C. Abamectin was selected as the control. Inhibitions of Nilaparvata lugens were tested on the rice seedlings, which was inoculated with N. lugens first. After that, the resultant rice seedlings were kept in an observation room for normal cultivation at 24~27 °C. Mortality was assessed 48 h after treatment. All the tests were run with three duplicates and the results were averaged. Abamectin was also used as the control. The larvicidal activities of the aimed compounds against Oriental armyworm were evaluated by foliar application. Corn leaves were dipped into the obtained solutions for 2–3 s. After air-drying, the soaked leaves were put into a culture dish with a piece of filter paper, followed by inoculation of 10 third-instar Oriental armyworm larvae per dish. Covered with gauze and then kept in an observation room for normal cultivation at 24~27 °C. Mortality was assessed 48 h after treatment. The individuals who didn’t respond to the touch of writing brush were recognized as dead. Each test was run three times and results were averaged. Abamectin as the control compound was tested under the same condition.
3.2.2. Anticancer Activity Assay
Panc-1 (human pancreatic carcinoma cells), HepG2 (human hepatoma cells), or SGC-7901 (human gastric cancer cells) at 104 cells per well were cultured overnight in 10% FBS DMEM in 96-well flat-bottom microplates [27]. The cells were incubated in triplicate with, or without, different concentrations of each test compound for 48 h. During the last 4 h incubation, 30 μL of tetrazolium dye (MTT) solution (5 mg/mL) was added to each well. The resulting MTT-formazan crystals were dissolved in 150 μL DMSO, and absorbance was measured spectrophotometrically at 570 nm using an ELISA plate reader. The inhibition induced by each test compound at the indicated concentrations was expressed as a percentage. The concentration required for 50% inhibition (IC50) was calculated using the software (Graph Pad Prism, San Diego, CA, USA, Version 4.03).
4. Conclusions
In summary, a number of pyrazole oxime derivatives containing a substituted pyridyl subunit were synthesized. Preliminary bioassays indicated that some of the title compounds showed wonderful acaricidal activity against T. cinnabarinus at a concentration of 500 μg/mL, among these derivatives, compound 9q still exhibited moderate acaricidal activity against T. cinnabarinus under the concentration of 100 μg/mL. Moreover, some target compounds were active against Oriental armyworm, A. medicaginis, and N. lugen at 500 μg/mL. Furthermore, some compounds such as 9b, 9g, 9l, 9p, 9q, 9r, 9s, 9t, 9u, and 9v possessed potent antiproliferative activities against HepG2 cells with IC50 values of 12.65, 17.27, 8.72, 7.24, 8.27, 1.53, 9.76, 9.13, 15.24, and 11.93 μM, respectively, which were better than that of 5-fluorouracil (IC50 = 35.67 μM). Further structural optimization and bioactivities about these pyrazole oximes are currently in progress.
Supplementary Materials
Supplementary materials are available online: Figures S1–S46.
Acknowledgments
This work was funded by the National Natural Science Foundation of China (No. 21372135, 21475070), the Research Foundation of the Six People Peak of Jiangsu Province (No. 2013-SWYY-013).
Author Contributions
H.G. designed the research; C.C., J.C., N.B. performed the research and analyzed the data; H.D. wrote the paper. All authors read and approved the final manuscript.
Conflicts of Interest
The authors declare no conflict of interest.
References
- Chen, L.; Ou, X.M.; Mao, C.H.; Shang, J.; Huang, R.Q.; Bi, F.C.; Wang, Q.M. Synthesis and bioassay evaluation of 1-(4-substituteddidene-aminooxymethyl)-phenyl-3-(2,6-difluorobenzoyl)ureas. Bioorg. Med. Chem. 2007, 15, 3678–3683. [Google Scholar] [CrossRef] [PubMed]
- Song, H.J.; Liu, Y.X.; Xiong, L.X.; Li, Y.Q.; Yang, N.; Wang, Q.M. Design, synthesis, and insecticidal evaluation of new pyrazole derivatives containing imine, oxime ether, and dihydroisoxazoline groups based on the inhibitor binding pocket of respiratory complex I. J. Agric. Food Chem. 2013, 61, 8730–8736. [Google Scholar] [CrossRef] [PubMed]
- Li, Y.; Zhang, H.Q.; Liu, J.; Yang, X.P.; Liu, Z.J. Stereoselective synthesis and antifungal activities of (E)-α-(methoxyimino)benzeneacetate derivatives containing 1,3,5-substituted pyrazole ring. J. Agric. Food Chem. 2006, 54, 3636–3640. [Google Scholar] [CrossRef] [PubMed]
- Zheng, L.W.; Li, Y.; Ge, D.; Zhao, B.X.; Liu, Y.R.; Lv, H.S.; Ding, J.; Miao, J.Y. Synthesis of novel oxime-containing pyrazole derivatives and discovery of regulators for apoptosis and autophagy in A549 lung cancer cells. Bioorg. Med. Chem. Lett. 2010, 20, 4766–4770. [Google Scholar] [CrossRef] [PubMed]
- Ouyang, G.P.; Cai, X.J.; Chen, Z.; Song, B.A.; Bhadury, P.S.; Yang, S.; Jin, L.H.; Xue, W.; Hu, D.Y.; Zeng, S. Synthesis and antiviral activities of pyrazole derivatives containing an oxime moiety. J. Agric. Food Chem. 2008, 56, 10160–10167. [Google Scholar] [CrossRef] [PubMed]
- Swanson, M.B.; Ivancic, W.A.; Saxena, A.M.; Allton, J.D.; O’Brien, G.K.; Suzuki, T.; Nishizawa, H.; Nokata, M. Direct photolysis of Fenpyroximate in a buffered aqueous solution under a xenon lamp. J. Agric. Food Chem. 1995, 43, 513–518. [Google Scholar] [CrossRef]
- Yang, Y.Z.; Lin, D.Y.; Fu, C.; Zou, X.M. Synthesis and biological evaluation of novel pyrazole oxime ether derivatives containing chlorothiazole group and pyrimidine rings. Chin. J. Org. Chem. 2015, 35, 100–108. [Google Scholar] [CrossRef]
- Dai, H.; Xiao, Y.S.; Li, Z.; Xu, X.Y.; Qian, X.H. The thiazoylmethoxy modification on pyrazole oximes: Synthesis and insecticidal biological evaluation beyond acaricidal activity. Chin. Chem. Lett. 2014, 25, 1014–1016. [Google Scholar] [CrossRef]
- Park, H.J.; Lee, K.; Park, S.J.; Ahn, B.; Lee, J.C.; Cho, H.; Lee, K.I. Identification of antitumor activity of pyrazole oxime ethers. Bioorg. Med. Chem. Lett. 2005, 15, 3307–3312. [Google Scholar] [CrossRef] [PubMed]
- Dai, H.; Ge, S.S.; Li, G.; Chen, J.; Shi, Y.J.; Ye, L.Y.; Ling, Y. Synthesis, and bioactivities of novel pyrazole oxime derivatives containing a 1,2,3-thiadiazole moiety. Bioorg. Med. Chem. Lett. 2016, 26, 4504–4507. [Google Scholar] [CrossRef] [PubMed]
- Li, M.Y.; Hu, P.Z.; Zhu, W.R.; Xu, K.X. Synthesis of 2,6-(substituded)pyridine derivatives using amide and imine groups. Chin. Chem. Lett. 2003, 14, 572–574. [Google Scholar]
- Zhang, J.A.; Pan, M.; Jiang, J.J.; She, Z.G.; Fan, Z.J.; Su, C.Y. Syntheses, crystal structures and antimicrobial activities of thioether ligands containing quinoline and pyridine terminal groups and their transition metal complexes. Inorg. Chim. Acta 2011, 374, 269–277. [Google Scholar] [CrossRef]
- Sun, G.X.; Yang, M.Y.; Shi, Y.X.; Sun, Z.H.; Liu, X.H.; Wu, H.K.; Li, B.J.; Zhang, Y.G. Microwave assistant synthesis, antifungal activity and DFT theoretical study of some novel 1,2,4-triazole derivatives containing pyridine moiety. Int. J. Mol. Sci. 2014, 15, 8075–8090. [Google Scholar] [CrossRef] [PubMed]
- Kloepfer, J.A.; Bradforth, S.E.; Nadeau, J.L. Photophysical properties of biologically compatible CdSe quantum dot structures. J. Phys. Chem. B 2005, 109, 9996–10003. [Google Scholar] [CrossRef] [PubMed]
- Zhang, L.J.; Yang, M.Y.; Sun, Z.H.; Tan, C.X.; Weng, J.Q.; Wu, H.K.; Liu, X.H. Synthesis and antifungal activity of 1,3,4-thiadiazole derivatives containing pyridine group. Lett. Drug Des. Discov. 2014, 11, 1107–1111. [Google Scholar] [CrossRef]
- Saito, S.; Isayama, S.; Sakamoto, N.; Umeda, K. Insecticidal activity of pyridalyl: Acute and sub-acute symptoms in Spodoptera litura larvae. J. Pestic. Sci. 2004, 29, 372–375. [Google Scholar] [CrossRef]
- Shao, X.S.; Zhang, W.W.; Peng, Y.Q.; Li, Z.; Tian, Z.Z.; Qian, X.H. cis-Nitromethylene neonicotinoids as new nicotinic family: Synthesis, structural diversity, and insecticidal evaluation of hexahydroimidazo 1,2-alpha pyridine. Bioorg. Med. Chem. Lett. 2008, 18, 6513–6516. [Google Scholar] [CrossRef] [PubMed]
- Dai, H.; Chen, J.; Li, H.; Dai, B.J.; He, H.B.; Fang, Y.; Shi, Y.J. Synthesis and bioactivities of novel pyrazole oxime derivatives containing a 5-trifluoromethylpyridyl moiety. Molecules 2016, 21, 276. [Google Scholar] [CrossRef] [PubMed]
- Scapin, G.; Reddy, S.G.; Zheng, R.; Blanchard, J.S. Three-dimensional structure of escherichia coli dihydrodipicolinate reductase in complex with NADH and the inhibitor 2,6-pyridinedicarboxylate. Biochemistry 1997, 36, 15081–15088. [Google Scholar] [CrossRef] [PubMed]
- El-Subbagh, H.I.; Abu-Zaid, S.M.; Mahran, M.A.; Badria, F.A.; Al-Obaid, A.M. Synthesis and biological evaluation of certain alpha,beta-unsaturated ketones and their corresponding fused pyridines as antiviral and cytotoxic agents. J. Med. Chem. 2000, 43, 2915–2921. [Google Scholar] [CrossRef] [PubMed]
- Vanbeusichem, M.; Farrell, N. Activation of the trans geometry in platinum antitumor complexes- synthesis, characterization, and biological-activity of complexes with the planar ligands pyridine, N-methylimidazole, thiazole, and quinoline-crystal and molecular-structure of trans-dichlorobis(thiazole)platinum(Ii). Inorg. Chem. 1992, 31, 634–639. [Google Scholar]
- Kagabu, S.; Ishihara, R.; Hieda, Y.; Nishimura, K.; Naruse, Y. Insecticidal and neuroblocking potencies of variants of the imidazolidine moiety of imidacloprid-related neonicotinoids and the relationship to partition coefficient and charge density on the pharmacophore. J. Agric. Food Chem. 2007, 55, 812–818. [Google Scholar] [CrossRef] [PubMed]
- Wang, Q.M.; Sun, H.K.; Cao, H.Y.; Cheng, M.R.; Huang, R.Q. Synthesis and herbicidal activity of 2-cyano-3-substituted-pyridinemethylaminoacrylates. J. Agric. Food Chem. 2003, 51, 5030–5035. [Google Scholar] [CrossRef] [PubMed]
- Wu, S.S.; Miao, W.K.; Wang, T.T.; Fang, J.X. Synthesis and herbicidal activities of 2-cyanocarylates with 4-(6-chloropyridin-3-yl)methoxy-benzylamine moieties. Chin. J. Org. Chem. 2015, 35, 1484–1492. [Google Scholar] [CrossRef]
- Park, M.S.; Park, H.J.; Park, K.H.; Lee, K.I. Introduction of N-containing heterocycles into pyrazole by nucleophilic aromatic substitution. Synth. Commun. 2004, 34, 1541–1550. [Google Scholar] [CrossRef]
- Dai, H.; Chen, J.; Li, G.; Ge, S.S.; Shi, Y.J.; Fang, Y.; Ling, Y. Design, synthesis, and bioactivities of novel oxadiazole-substituted pyrazole oximes. Bioorg. Med. Chem. Lett. 2017, 27, 950–953. [Google Scholar] [CrossRef] [PubMed]
- Ling, Y.; Wang, Z.Q.; Xiao, Y.A.; Zhu, C.Y.; Shen, L.C.; Wang, X.M.; Hui, Y.; Wang, X.Y. Benzylidene 2-aminoimidazolones derivatives: Synthesis and in vitro evaluation of anti-tumor carcinoma activity. Chem. Pharm. Bull. 2013, 61, 1081–1084. [Google Scholar] [CrossRef] [PubMed]
Sample Availability: Samples of the compounds 9a–9w are available from the authors. |
© 2017 by the authors. Licensee MDPI, Basel, Switzerland. This article is an open access article distributed under the terms and conditions of the Creative Commons Attribution (CC BY) license (http://creativecommons.org/licenses/by/4.0/).


