Abstract
Chiral alkyl aryl sulfoxides were obtained by molybdenum-catalyzed oxidation of alkyl aryl sulfides with hydrogen peroxide as oxidant in mild conditions with high yields and moderate enantioselectivities. The asymmetry is generated by the use of imidazolium-based dicarboxylic compounds, HLR. The in-situ-generated catalyst, a mixture of aqueous [Mo(O)(O2)2(H2O)n] with HLR as chirality inductors, in the presence of [PPh4]Br, was identified as the anionic binuclear complex [PPh4]{[Mo(O)(O2)2(H2O)]2(μ-LR)}, according to spectroscopic data and Density Functional Theory (DFT) calculations. A nonclassical hydrogen bond between one C–H bond of the alkyl R group of coordinated (LR)− and one oxygen atom of the peroxido ligand was identified as the interaction responsible for the asymmetry in the process. Additionally, the step that governs the enantioselectivity was theoretically analyzed by locating the transition states of the oxido-transfer to PhMeS of model complexes [Mo(O)(O2)2(H2O)(κ1-O-LR)]− (R = H, iPr). The ∆∆G≠ is ca. 0 kcal∙mol−1 for R = H, racemic sulfoxide, meanwhile for chiral species the ∆∆G≠ of ca. 2 kcal∙mol−1 favors the formation of (R)-sulfoxide.
1. Introduction
The synthesis and use of enantiopure sulfoxides is a topic of extraordinary interest in asymmetric synthesis, asymmetric catalysis and in the pharmaceutical industry [1,2,3,4,5,6,7,8,9]. The enantioselective sulfoxidation of prochiral sulfides is one of the most challenging approaches to chiral sulfoxides, and catalyzed processes based on metal complexes [3,4,10,11,12,13,14,15,16] and metal-free systems [17] have been described in the literature. Molybdenum-catalyzed enantioselective sulfoxidations have been investigated [18,19,20,21,22,23,24,25] and, in general, the Mo catalysts provided results that are somewhat lower than those of other metals, as for example titanium [26,27,28,29,30,31,32] or vanadium [33,34,35,36,37,38,39,40,41] complexes. However, we have recently demonstrated that the use of the imidazolium-based dicarboxylic compound (S,S)-1-(1-carboxy-2-methylpropyl)-3-(1-carboxylate-2-methylpropyl)imidazolium (HLiPr in Scheme 1), as inductor of chirality, in combination with oxidoperoxidomolybdenum complexes, afforded a system capable to achieve by kinetic resolution a value of 83% ee in the sulfoxidation of alkyl aryl sulfides [42]. This system is easily accessible, simple, environmentally friendly, and compatible with a green oxidant as aqueous hydrogen peroxide. In some cases, these advantages are not compatible with Ti or V catalysts. Following our recent research on Mo-catalyzed sulfoxidations [42,43,44], we report here the extension of our system [42] to other imidazolium-based dicarboxylic compounds, HLR, in order to improve its efficiency in the catalytic asymmetric oxidation of prochiral sulfides using aqueous hydrogen peroxide (Scheme 1). Moreover, spectroscopic data and Density Functional Theory (DFT) calculations have allowed identification of the nature of the molybdenum catalytic species, {[Mo(O)(O2)2(H2O)]2(μ-LR)}−, and the origin of the asymmetry in the sulfoxidation process.
Scheme 1.
Enantioselective sulfoxidation with hydrogen peroxide in the presence of chiral inductors HLR.
2. Results and Discussion
2.1. Enantioselective Oxidation of Different Sulfides with Aqueous Hydrogen Peroxide Catalyzed by the System [Mo(O)(O2)2(H2O)n]/HLR/[PPh4]Br
The optimization of the reaction conditions were performed with the (S,S)-HLiPr compound, 1c, and methyl phenyl sulfide, and were previously communicated [42]. Chloroform was used as solvent (1 mL) with a 1:1:0.025:2 ratio of methyl phenyl sulfide:H2O2:Mo-complex:[PPh4]Br. Reactions were carried out in a micro-reactor, at 0 °C during 1 h, on 1 mmol scale. A solution of MoO3 (2.5% mmol) in aqueous hydrogen peroxide, namely [Mo(O)(O2)2(H2O)n] (see Materials and Methods), in conjunction with 1c and tetraphenylphosphonium bromide was employed to in-situ generate the catalyst. In these conditions, a 94% of conversion with high selectivity to sulfoxide (95%) and 40% ee to the (R)-sulfoxide was obtained [42]. A number of additional imidazolium-based zwitterionic dicarboxylic acids were also tested as chiral inductors in the enantioselective oxidation of methyl phenyl sulfide (Table 1). They are derived both from natural α-amino acids of general formula (S,S)-HLR (R = Me, 1b; CH2Ph, 1d; iBu, 1e, (S)-sec-Bu, 1f) or non-natural α-amino acids, such as (R,R)-HLiPr (1c’) and (S,S)-HLtBu (1g) (Scheme 1). They were prepared by condensation of 2 equiv. of the corresponding amino acid with glyoxal and p-formaldehyde in water at 90 °C for one hour, following the procedures described in the literature [45,46]. Additionally, the new compounds (S,S)-HLtBu (1g) and (R,R)-HLiPr (1c’) were also straightforwardly obtained in an enantiopure form by the same procedure using the corresponding nonproteinogenic amino acids. Compounds 1g and 1c’ were characterized by IR, NMR (1H and 13C{1H}) and mass spectra (see Materials and Methods and Figures S1–S5 in Supplementary Materials). These compounds were employed to investigate the influence of (i) absence of chirality in the ligand (HLH, 1a); (ii) size and branching of alkyl substituents (1c–e,g); (iii) an additional chiral center (1f); and (iv) a chiral center with opposed sense of chirality (1c vs 1c’).
Table 1.
Enantioselective oxidation of different sulfides with the system [MoO(O2)2(H2O)n]/H2O2/HLR/[PPh4]Br a.
As expected, the [Mo(O)(O2)2(H2O)n]/HLR/[PPh4]Br system was effective for the sulfoxidation of methyl phenyl sulfide with conversions ranging from 67%, for 1d (entry 5), to 93–95% for reagents 1a–c, 1f and 1g. In all cases, reactions proceeded with chemoselectivity with nearly quantitative sulfoxide yields. The nature of the chiral inductor HLR clearly controls enantioselectivity. The use of the achiral reagent 1a gave the expected racemic mixture (entry 1). When reagents 1b–g were employed, it was observed that an increase in the branching at the Cα atom of the R group of the ligand seemed to have a beneficial effect on the enantioselectivity. Specifically, reactions performed with chiral ligands with unbranched alkyl groups, such as 1b and 1d (entries 2 and 5, respectively), gave rise to low ee values of 2% and 5%, respectively. Conversely, the use of ligands with branched alkyl groups, such as 1c, 1f and 1g (entries 3, 7 and 8, respectively), produced ee values higher than 30%. The highest ee was observed with the reagent 1f (47% ee) in which the additional chiral center could have a positive effect in the enantioselectivity. Importantly, the reaction performed with (R,R)-HLiPr (1c’) (entry 4) gave an ee result comparable to that of its (S,S)-enantiomer, 1c, only with opposed sense of sulfoxide chirality. The adequate selection of the HLR inductor chirality controls the production of the sulfoxide enantiomer. Finally, the activity of the system was tested with other sulfide substrates using compound 1f as chiral inductor (entries 9–15). In general, good conversions and enantioselectivities close to 50% for the corresponding (R)-sulfoxide were found, with the exception of the sulfide Ph(HOCH2CH2)S, which showed lower values (29% sulfoxide yield and 43% ee for the (S) enantiomer, entry 13). Conversions obtained with 1f were similar to those found with 1c [42], but enantioselectivity values were slightly superior using 1f than 1c for the same substrates [42].
One equivalent of hydrogen peroxide per substrate was used in all experiments because formation of the corresponding sulfone was observed when two or more equivalents of the oxidant were employed [42,43]. As we previously communicated, the ee can be increased by kinetic resolution and the (R)-sulfoxide PhMeSO was obtained in 83% ee with a 1.6-fold excess of the oxidant [42]. To probe the kinetic resolution process in more detail, we performed the oxidation of racemic PhMeSO sulfoxide, under the same reaction conditions, varying the oxidant-to-substrate ratio (Figure 1). From the analysis of the variation of the enantiomeric excess with respect to the conversion of sulfoxide, it was possible to determinate a stereoselectivity factor E of 2.8 (E = kS’/kR’, see Supplementary Materials for details) [47]. Therefore, one may conclude that the enantiomeric excess of the sulfoxide can be controlled by adjusting the degree of conversion (at the expense of the sulfoxide yield).
Figure 1.
Kinetic resolution of racemic PhMeSO with catalyst [MoO(O2)2(H2O)n]/1c/[PPh4]Br (CHCl3, 0 °C, sulfoxide:Mo ratio of 100:2.5): sulfoxide and sulfone yields and the ee of the (R)-sulfoxide versus the oxidant:substrate ratio.
2.2. Nature of the Molybdenum Catalyst and Origin of the Enantioselectivity
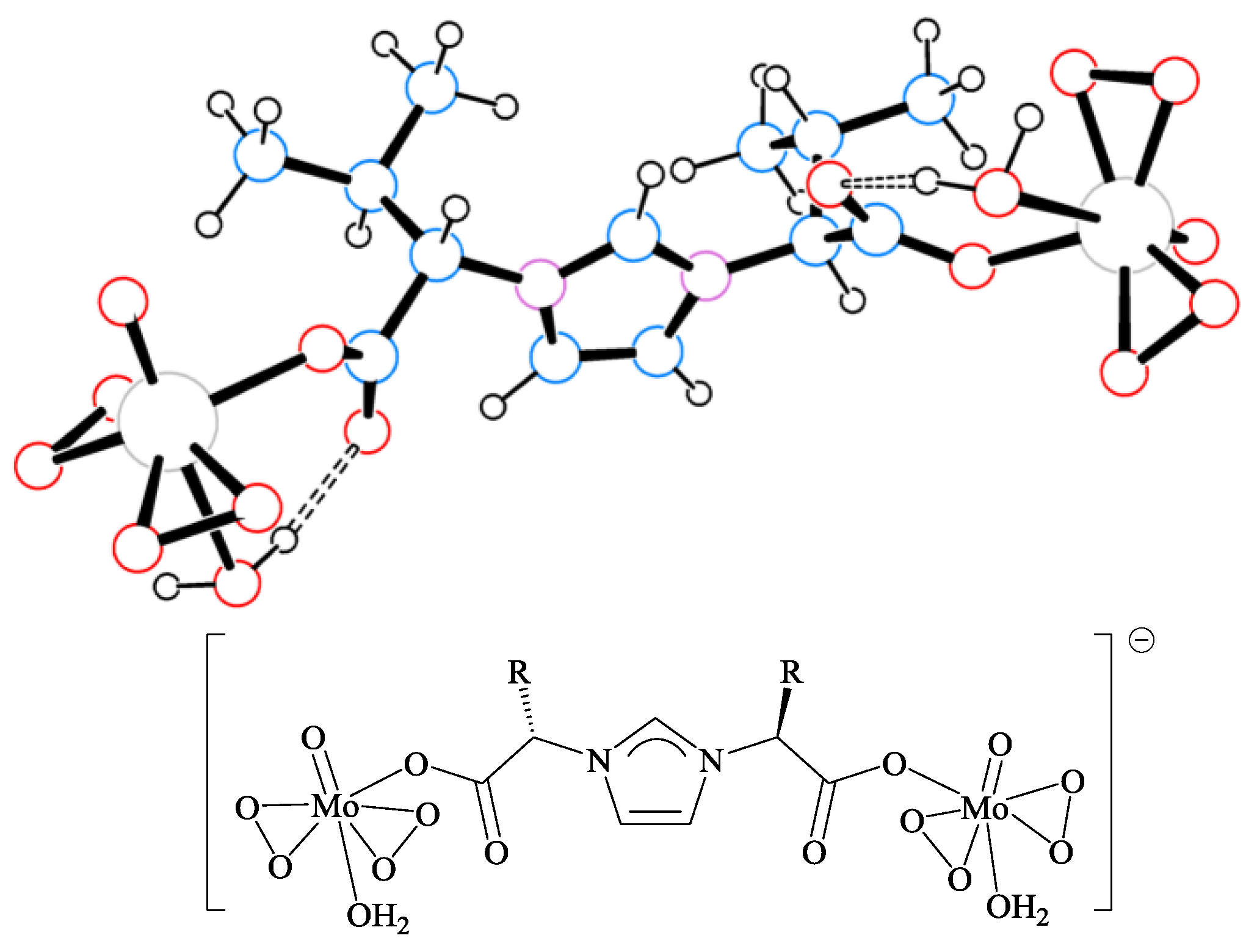
With the purpose of gaining evidence about the nature of the molybdenum catalyst, the reaction of [Mo(O)(O2)2(H2O)n] with 2 equiv. of the sodium salt of (S,S)-HLiPr was carried out. On the basis of Infrared (IR), Nuclear Magnetic Resonance (NMR) and Mass Spectrometry (MS) data (see Experimental and Supplementary Materials), the binuclear formulation Na{[Mo(O)(O2)2(H2O)]2(μ-LiPr)} was proposed for the isolated yellow powder. Further confirmation came from DFT calculations, which were carried out at the B3LYP level of theory for the anion {[Mo(O)(O2)2(H2O)]2(μ-LiPr)}−, 2c (optimized structure shown in Figure 2). The computed IR spectrum of this anion fits well with the experimental one of complex Na{[Mo(O)(O2)2(H2O)]2(μ-LiPr)} (Figure S7, Supplementary Materials), thus supporting the proposed formulation. This allowed us to assign several IR absorptions of compound Na{[Mo(O)(O2)2(H2O)]2(μ-LiPr)}, as for instance the asymmetric and symmetric ν(COO) bands at 1611 and 1391 cm−1, respectively. This attribution gave a Δ(νCOOasym − νCOOsym) value of ca. 220 cm−1, which is compatible with the monodentate κ1-O coordination of the carboxylate group observed in the optimized structure. Besides the carboxylate absorptions, the oxido group generates a characteristic ν(Mo=O) band at 962 cm−1, while the peroxide ligands display distinctive ν(OO), νas[Mo(OO)] and νs[Mo(OO)] absorptions at 861, 643 and 582 cm−1, respectively, in the expected ranges for this ligand [48].
Figure 2.
Optimized structure of the {[Mo(O)(O2)2(H2O)]2(μ-LiPr)}− anion, 2c, and proposed formulation of the Mo catalyst species.
In order to support the formulation of the Mo catalyst, the activity of the isolated complex Na{[Mo(O)(O2)2(H2O)]2(μ-LiPr)} was tested in the sulfoxidation reaction of methyl phenyl sulfide, under the optimized reaction conditions. The conversion (93%) and ee (42%) values achieved were completely similar to those observed when the catalytic species was in-situ formed [42], thus proving the nature of the catalyst as a binuclear {[Mo(O)(O2)2(H2O)]2(μ-LR)}− oxidodiperoxidomolybdenum(VI) species.
Once the catalyst structure is known, the origin of the enantioselectivity was theoretically investigated. In principle, the simple κ1-O-carboxylate coordination of the chiral ligand (LiPr)− can be in contradiction with the experimentally observed asymmetric process because chiral inductors are usually bi- or polydentate ligands. However, the analysis of the optimized structure {[Mo(O)(O2)2(H2O)]2(μ-LiPr)}−, 2c, reveals two additional interactions. One is a hydrogen bond between the O–H from the water ligand and the noncoordinated oxygen atom of the carboxylate group of (LiPr)− (explicitly shown in Figure 2, O–H···O distance of 2.75 Å). The second one is subtler and consists of a nonclassical hydrogen bond [49,50,51] between one C–H bond of the isopropyl group and one oxygen atom of one of the peroxido ligands (C–H···O distance of 2.51 Å). This interaction is also present in other optimized complexes {[Mo(O)(O2)2(H2O)]2(μ-LR)}− (R = iBu, 2e; secBu, 2f; and tBu, 2g), while is weaker (for R = CH2Ph, 2d) or absent in complexes containing R = H, 2a, and Me, 2b, substituents (see Table 2 and optimized structures in Figure S10 in Supplementary Materials). Compounds {[Mo(O)(O2)2(H2O)]2(μ-LR)}− (R = iPr, 2c; iBu, 2e; secBu, 2f; and tBu, 2g) display C–H···O distances within the range 2.50–2.66 Å and C–H···O angles higher than 160° (Table 2), which are typical parameters of nonclassical C–H···O hydrogen bonds (cut-off values of distances <2.8 Å and angles >90°) [52,53,54]. Interestingly, these compounds are those in which an asymmetric process is observed (inductors 1c,e–g in Table 1), while for compounds without the C–H···O interaction, low or null activity is found (inductors 1a,b,d in Table 1).
Table 2.
Selected structural data for classical and nonclassical hydrogen bonds in optimized structures {[Mo(O)(O2)2(H2O)]2(μ-LR)}− 2.
With the aim of confirming that these interactions are responsible of the asymmetry, we have selected the model complexes [Mo(O)(O2)2(H2O)(κ1-O-LR)]− (R = H, 3a, and iPr, 3c), containing for simplicity only one molybdenum atom, and studied the step that controls the enantioselectivity. This is the oxido-transfer step, which follows a Sharpless-type outer-sphere concerted mechanism according to previous studies [43]. The oxygen atom transfer is produced by the nucleophilic attack of sulfide onto the peroxide ligand that cleaves the O–O bond with sulfoxide formation. This transition state (TS) reflects the interaction between the HOMO (Highest Occupied Molecular Orbital) of the sulfide substrate and the σ*(O–O) LUMO (Lowest Unoccupied Molecular Orbital) of peroxide and it is characterized by the approaching of sulfide reagent with associated elongation of the O–O linkage. Taking into account the presence of two peroxide ligands and two prochiral faces of the sulfide, four transition states have been located for the oxido-transfer. Figure 3 shows two of the calculated TSs for [Mo(O)(O2)2(H2O)(κ1-O-LR)]− (R = H and iPr), while the other calculated TSs are shown in Figure S11 (Supplementary Materials). The four transition states optimized for the nonchiral [Mo(O)(O2)2(H2O)(κ1-O-LH)]− species, 3a, have the same Gibbs free energy (±0.2 kcal∙mol−1) with a barrier for the oxido-transfer step of ca. 35 kcal∙mol−1. The ∆∆G≠ is ca. 0 kcal∙mol−1, which is compatible with the formation of racemic sulfoxide using 1a (entry 1, Table 1). By contrast, for chiral [Mo(O)(O2)2(H2O)(κ1-O-LiPR)]− species, 3c, there are two transition states, those that yield the R sulfoxide TS_c1 and TS_c4, showing lower energies than TS_c2 and TS_c3 that afford the S sulfoxide. The calculated ∆∆G≠ of ca. 2 kcal∙mol−1 is well suited for the asymmetric process observed using 1c (entry 3, Table 1).
Figure 3.
Calculated transition states for the oxido-transfer step from [Mo(O)(O2)2(H2O)(κ1-O-LR)]− complexes to PhMeS (R = H, TS_a1, top; and iPr, TS_c1, bottom).
3. Materials and Methods
3.1. General
Synthetic reactions were carried out under aerobic conditions. Chemicals were obtained from commercial sources and used as supplied, while solvents were appropriately purified using standard procedures. Infrared spectra were recorded on a Perkin-Elmer FT–IR Spectrum Two spectrophotometer (pressed KBr pellets). NMR spectra were recorded at the Centro de Investigaciones, Tecnología e Innovación (CITIUS) of the University of Sevilla by using Bruker AMX-300 or Avance III spectrometers with 13C{1H} and 1H shifts referenced to the residual solvent signals. All data are reported in ppm downfield from Si(CH3)4. The gas chromatograms (GC) were obtained using a Varian Chromatogram CP-3800 with nitrogen as the carrier gas. The chromatogram used a Varian automatic injector, model CP-8410, flame ionization detector (FID), and an Agilent column, model CP-7502. The HPLC chromatograms were performed on an Agilent 1260 Infinity instrument with a Chiralpak IA column at a flow rate of 1.0 mL/min with AcOEt/heptane = 6/4 (v/v) and using a UV detector at 254 nm. For Ph(HOCH2CH2)SO sulfoxide, a flow rate of 0.5 mL/min with heptane/iPrOH = 9/1 (v/v) was employed. The absolute configuration (reported in Table 1) was determined by comparing HPLC elution orders and the sign of the specific rotations with the literature data [14,15]. Polarimetry was carried out using a JASCO P-2000 Digital Polarimeter and the measurements were made at ca. 25 °C (concentration of ca. 10 mg/mL). High-resolution mass spectra (HRMS) were carried out by using a Q-Exactive Hybrid Quadrupole-Orbitrap Mass Spectrometer from Thermo Scientific at the CITIUS of the University of Sevilla.
3.2. Synthesis of Chiral Imidazolium-Based Zwitterionic Dicarboxylic Acids HLR
The syntheses of compounds (S,S)-HLR (1a–f) have been previously described [45,46] and they were identified by comparison of their IR, NMR (1H and 13C{1H}) and mass spectra with those previously reported (see Figure S6, Supplementary materials).
(R,R)-1-(1-carboxy-2-methylpropyl)-3-(1-carboxylate-2-methylpropyl)imidazolium, (R,R)-HLiPr (1c’). A solution of D-valine (10 g, 84 mmol) in water (25 mL) was reacted with glyoxal (4.80 mL, 40% w/w solution in water, 42 mmol) and formaldehyde (3.13 mL, 37% w solution in water, 42 mmol) at 95 °C for 2 h. Compound (R,R)-HLiPr, 1c’, was obtained by removing the solvent under reduced pressure. Recrystallization from water yields 5.18 g (46%) of the product as light-brown solid. IR (KBr, cm−1): 3464 (br), 3166 (w), 3114 (m), 3046 (m), 2970 (s), 2935 (w), 2878 (m), 1686 (vs,br), 1548 (s), 1473 (m), 1392 (m), 1375 (m), 1344 (w), 1295 (w), 1265 (m), 1162 (s), 1120 (m), 1096 (m), 1015 (w), 977 (w), 912 (w), 871 (w), 838 (w), 760 (w), 712 (w), 652 (w). 1H NMR (300 MHz, D2O): δ 0.91, 1.00 (d, 3JHH = 6.6 Hz, 6H, CH(CH3)2), 2.55 (m, 2H, CH(CH3)2), 4.84 (d, 3JHH = 7.8 Hz, 2H, CHiPr), 7.68 (s, 2H, C4H/C5H), 9.13 (s, 1H, C2H). 13C{1H} NMR (75 MHz, D2O): δ 17.3, 18.4 (s, CH(CH3)2), 31.2 (s, CH(CH3)2), 69.8 (s, CHiPr), 122.3 (s, C4H/C5H), 136.2 (s, C2H), 172.3 (s, CO). (H2O). HRMS for C13H20N2O4: [M + 1]+ requires m/z 269.15, found m/z 269.1492.
(S,S)-1-(1-carboxy-2,2-dimethylpropyl)-3-(1-carboxylate-2,2-dimethylpropyl) imidazolium, (S,S)-HLtBu (1g). A solution of L-tert-leucine (2 g, 15 mmol) in water (20 mL) was reacted with glyoxal (866 μL, 40% w solution in water, 8 mmol) and formaldehyde (566 μL, 37% w solution in water, 8 mmol) at 95 °C for 4 h. Compound (S,S)-HLtBu, 1g, was obtained by removing the solvent under reduced pressure. Recrystallisation from water yields 1.83 g (82%) of the product as light-brown solid. IR (KBr, cm−1): 3452 (br), 3187 (m), 3160 (m), 3108 (m), 3038 (m), 2965 (s), 2915 (w), 2878 (w), 1686 (vs,br), 1553 (s), 1482 (s), 1447 (w), 1403 (m), 1375 (s), 1369 (m), 1353 (m), 1315 (m), 1268 (m), 1215 (m), 1159 (s), 1101 (m), 1051 (m), 1029 (w), 938 (m), 892 (m), 855 (m), 820 (w), 801 (w), 789 (m), 769 (m), 731 (s), 699 (m), 681 (m), 657 (m), 643 (m). 1H NMR (300 MHz, CD3OD): δ 1.10 (s, 18H, C(CH3)3), 4.87 (s, 2H, CHtBu), 7.75 (d, 4JHH = 1.5 Hz, 2H, C4H/C5H), 9.49 (s, 1H, C2H). 13C{1H} NMR (75 MHz, CD3OD): δ 26.0 (s, C(CH3)3), 34.7 (s, C(CH3)3), 72.6 (s, CHtBu), 122.3 (s, C4H/C5H), 137.3 (s, C2H), 169.6 (s, CO). (H2O). HRMS for C15H24N2O4: [M + 1]+ requires m/z 297.18, found m/z 297.1804.
3.3. Preparation and Titration of [Mo(O)(O2)2(H2O)n] Solution
Solutions of the aqua complex of oxidodiperoxidomolybdenum in aqueous hydrogen peroxide were prepared as previously described [55]. For the purpose of simplicity the solution is referred to in this work simply as aqueous [Mo(O)(O2)2(H2O)n].
The resulting aqueous solution of molybdenum complex has an excess of hydrogen peroxide. The addition of the 0.025 mmol of molybdenum species in the catalytic essays includes a supplementary amount of oxidant. In order to avoid the formation of sulfone product, one equivalent of 30% hydrogen peroxide per sulfide substrate should be used. Thus, freshly prepared [Mo(O)(O2)2(H2O)n] 0.25 M solutions were employed, which were conveniently titrated before each catalytic test. The titration was carried out as follows. To 10 mL of [Mo(O)(O2)2(H2O)n] solution was added H2SO4 6M (10 mL) and the mixture diluted with water (25 mL). This solution was titrated with KMnO4 ca. 0.2 M (previously standardized with Na2C2O4). The mean of five titrations afforded a typical value of ca. 0.2 mmol of hydrogen peroxide per 100 μL of solution. On this basis, the exact amount of hydrogen peroxide 30% employed in the catalytic test can be easily calculated.
3.4. Synthesis of Complex Na{[Mo(O)(O2)2(H2O)]2(μ-LiPr)}
Over a solution of (S,S)-HLiPr (0.504 g, 1.88 mmol) in water (15 mL) was added dropwise a solution of NaHCO3 (0.158 g, 1.88 mmol) in water (5 mL) and the mixture was stirred at room temperature until the evolution of CO2 ceased (5–10 min). Over this solution was added [Mo(O)(O2)2(H2O)n] (15.03 mL, 0.25 M aqueous solution, 3.76 mmol) and the mixture was stirred at room temperature for 1 h. The resulting solution was evaporated to dryness affording a yellow powder identified as Na{[Mo(O)(O2)2(H2O)]2(μ-LiPr)} (1.216 g, 96%). IR (KBr, cm−1): 3440 (br vs), 3136 (m), 2966 (s), 2935 (m), 2877 (m), 1611 (vs), 1563 (m), 1548 (m), 1468 (m), 1423 (m), 1391 (s), 1344 (m), 1258 (m), 1234 (w), 1155 (s), 1120 (m), 1025 (w), 962 (s), 861 (s), 750 (m), 712 (w), 643 (m), 582 (m), 537 (m). 1H NMR (D2O, 300 MHz): δ 0.80 (br d, 6H, 2CH(CH3)2), 0.91 (br d, 6H, 2×CH(CH3)2), 2.44 (br m, 2H, 2×CH(CH3)2), 4.58 (br m, 2H, 2×CHiPr), 7.53 (s, 2H, 2×CH, H4/H5), 8.92 (s, 1H, CH, H2). 13C{1H} NMR (D2O, 75 MHz): δ 17.5 (s, 2×CH(CH3)2), 18.6 (s, 2×CH(CH3)2), 31.1 (s, 2×CH(CH3)2), 71.4 (s, 2×CHiPr), 122.0 (s, 2×CH, C4/C5), 135.8 (s, CH), 173.6 (s, 2×COO). Electrospray ionization-MS: positive mode, found m/z 269.15 (for HLiPr + 1, C13H20N2O4, 268.14) and 291.13 (for NaLiPr + 1, NaC13H19N2O4, 290.12). ESI-MS: negative mode, found m/z 267.13 (for HLiPr-1, C13H20N2O4, 268.14), 445.01 (for MoO5LiPr-1, C13H20MoN2O9, 446.02).
3.5. General Procedure for Enantioselective Mo-Catalyzed Oxidation of Sulfides in the Presence of HLR
The reactor (a 50 mL vial equipped with a Young valve and containing a stirrer flea) was charged with [Mo(O)(O2)2(H2O)n] (100 μL, 0.25 M aqueous solution, 0.025 mmol), HLR (0.0125 mmol), [PPh4]Br as specified (typically 0.05 mmol), the reaction solvent (1 mL), the oxidant (30% aqueous H2O2; 1 mmol per sulfide substrate, see details above) and the sulfide substrate (1 mmol), in the aforementioned order. The reactor was sealed and maintained at the working temperature, with constant stirring (600 rpm) in a thermostatted bath for the duration of the reaction. Upon completion, the reaction mixture was treated with diethyl ether (10 mL) and then filtered with 0.45 μm nylon syringe filter. The resulting solution was analyzed by GC (by adding 50 μL of dodecane as the internal standard). Afterwards the solution was evaporated to dryness by using a rotavap. The resulting residue was then analyzed by HPLC (by adding 20 mL of ethyl acetate).
3.6. Computational Details
The electronic structure and geometries of the model compounds [Mo(O)(O2)2(H2O)]2(μ-LR)]− (R = H, 2a; Me, 2b; iPr, 2c; CH2Ph, 2d; iBu, 2e; secBu, 2f; and tBu, 2g) and [Mo(O)(O2)2(H2O)(κ1-O-LR)]− (R = H, 3a, and iPr, 3c) were computed using density functional theory at the B3LYP level [56,57]. The Mo atom was described with the LANL2DZ basis set [58,59] while the 6-31G(d,p) basis set was used for the C, N, O, S and H atoms. The transition states of the interaction of PhMeS with 3a and 3c, namely TSa1–4 and TSc1–4, were located at the same level of theory. Geometries of all model complexes were optimized without symmetry constraints. Frequency calculations were carried out at the same level of theory to identify all of the stationary points as transition states (one imaginary frequency) or as minima (zero imaginary frequencies) and to provide the thermal correction to free energies at 298.15 K and 1 atm. The DFT calculations were performed using the Gaussian 09 suite of programs [60]. Coordinates of the optimized compounds are collected in Table S4 (Supplementary Materials).
4. Conclusions
A simple process for the enantioselective Mo-catalyzed sulfoxidation with aqueous hydrogen peroxide, by using imidazolium-based dicarboxylate compounds HLR, 1b–g, as chiral inductors, has been developed. The advantages of this system are: (i) better reaction times (1 h); (ii) commercial and cheap molybdenum starting material, MoO3; and (iii) straightforward synthesis of the (S,S)- or (R,R)-HLR inductors, in comparison with the elaborated chiral ligands reported in the bibliography. By combination of spectroscopic data and DFT calculations, the binuclear anion {[Mo(O)(O2)2(H2O)]2(μ-LR)}−, 2, has been proposed as the chiral catalytic species. A nonclassical hydrogen bond between one C–H bond of the alkyl R group and one oxygen atom of one of the peroxido ligands controls the enantioselectivity of the sulfoxidation. This subtle interaction is only present in optimized complexes 2c,e,f,g, those that showed an acceptable ee value. This has been additionally demonstrated by analysing the transition states of the oxido-transfer of model complexes [Mo(O)(O2)2(H2O)(κ1-O-LR)]− (R = H, 3a, and iPr, 3c) to PhMeS sulfide.
Supplementary Materials
The following are available online, Figures S1–S6: NMR and MS spectra of 1 compounds, Figure S7: calculated IR spectrum of 2c, Figures S7 and S8: determination of the stereoselectivity factor, Figures S10 and S11: optimized structures of transition states and compounds 2, Figure S12: selected chiral HPLC diagrams of optical active sulfoxides, Table S1: energies of the transition states for the oxido-transfer, and Table S2: Coordinates of the optimized structures.
Author Contributions
C.J.C., F.M., and A.G. designed the experiments; C.J.C. and F.M. performed the experiments; A.G. designed the theoretical analysis and performed the theoretical calculations; C.J.C., F.M., and A.G. wrote the manuscript.
Funding
This research was funded by Junta de Andalucía (Proyecto de Excelencia FQM-7079) and Universidad de Sevilla (VI Plan Propio).
Acknowledgments
Financial support is gratefully acknowledged. We thank to the Centro de Servicios de Informática y Redes de Comunicaciones (CSIRC), Universidad de Granada, for providing the computing time.
Conflicts of Interest
The authors declare no conflict of interest.
References
- Patai, S.; Rappoport, Z. (Eds.) Syntheses of Sulphones, Sulphoxides and Cyclic Sulphides; John Wiley & Sons, Ltd.: Chichester, UK, 1995; ISBN 9780470666357. [Google Scholar]
- Wojaczyńska, E.; Wojaczyński, J.; Wojaczyńska, E. Enantioselective Synthesis of Sulfoxides: 2000–2009. Chem. Rev. 2010, 110, 4303–4356. [Google Scholar] [CrossRef] [PubMed]
- O’Mahony, G.E.; Ford, A.; Maguire, A.R. Asymmetric oxidation of sulfides. J. Sulfur Chem. 2012, 34, 301–341. [Google Scholar] [CrossRef]
- Kagan, H.B. Asymmetric Synthesis of Chiral Sulfoxides. In Organosulfur Chemistry in Asymmetric Synthesis; Toru, T., Bolm, C., Eds.; Wiley: Weinheim, Germany, 2008; pp. 1–30. [Google Scholar]
- Bentley, R. Role of sulfur chirality in the chemical processes of biology. Chem. Soc. Rev. 2005, 34, 609–624. [Google Scholar] [CrossRef] [PubMed]
- O’Mahony, G.E.; Kelly, P.; Lawrence, S.E.; Maguire, A.R. Synthesis of enantioenriched sulfoxides. Arkivoc 2011, 2011, 1–110. [Google Scholar] [CrossRef]
- Fernández, I.; Khiar, N. Recent developments in the synthesis and utilization of chiral sulfoxides. Chem. Rev. 2003, 103, 3651–3705. [Google Scholar] [CrossRef] [PubMed]
- Otocka, S.; Kwiatkowska, M.; Madalińska, L.; Kiełbasiński, P. Chiral Organosulfur Ligands/Catalysts with a Stereogenic Sulfur Atom: Applications in Asymmetric Synthesis. Chem. Rev. 2017, 117, 4147–4181. [Google Scholar] [CrossRef] [PubMed]
- Han, J.; Soloshonok, V.A.; Klika, K.D.; Drabowicz, J.; Wzorek, A. Chiral sulfoxides: Advances in asymmetric synthesis and problems with the accurate determination of the stereochemical outcome. Chem. Soc. Rev. 2018, 47, 1307–1350. [Google Scholar] [CrossRef] [PubMed]
- Srour, H.; Le Maux, P.; Chevance, S.; Simonneaux, G. Metal-catalyzed asymmetric sulfoxidation, epoxidation and hydroxylation by hydrogen peroxide. Coord. Chem. Rev. 2013, 257, 3030–3050. [Google Scholar] [CrossRef]
- Dai, W.; Li, J.; Chen, B.; Li, G.; Lv, Y.; Wang, L.; Gao, S. Asymmetric oxidation catalysis by a porphyrin-inspired manganese complex: Highly enantioselective sulfoxidation with a wide substrate scope. Org. Lett. 2013, 15, 5658–5661. [Google Scholar] [CrossRef] [PubMed]
- Srour, H.; Jalkh, J.; Le Maux, P.; Chevance, S.; Kobeissi, M.; Simonneaux, G. Asymmetric oxidation of sulfides by hydrogen peroxide catalyzed by chiral manganese porphyrins in water/methanol solution. J. Mol. Catal. A Chem. 2013, 370, 75–79. [Google Scholar] [CrossRef]
- Legros, J.; Bolm, C. Iron-Catalyzed Asymmetric Sulfide Oxidation with Aqueous Hydrogen Peroxide. Angew. Chem. Int. Ed. 2003, 42, 5487–5489. [Google Scholar] [CrossRef] [PubMed]
- Legros, J.; Bolm, C. Highly enantioselective iron-catalyzed sulfide oxidation with aqueous hydrogen peroxide under simple reaction conditions. Angew. Chem. Int. Ed. 2004, 43, 4225–4228. [Google Scholar] [CrossRef] [PubMed]
- Legros, J.; Bolm, C. Investigations on the iron-catalyzed asymmetric sulfide oxidation. Chem. Eur. J. 2005, 11, 1086–1092. [Google Scholar] [CrossRef] [PubMed]
- Egami, H.; Katsuki, T. Fe(salan)-Catalyzed Oxidation of Sulfides with Hydrogen Peroxide in Water. J. Am. Chem. Soc. 2007, 129, 8940–8941. [Google Scholar] [CrossRef] [PubMed]
- Buckley, B.R.; Neary, S.P. Organocatalysed Asymmetric Oxidation Reactions. In Enantioselective Organocatalyzed Reactions I; Mahrwald, R., Ed.; Springer: Berlin, Germany, 2011; pp. 1–41. [Google Scholar]
- Basak, A.; Barlan, A.U.; Yamamoto, H. Catalytic enantioselective oxidation of sulfides and disulfides by a chiral complex of bis-hydroxamic acid and molybdenum. Tetrahedron Asymmetry 2006, 17, 508–511. [Google Scholar] [CrossRef]
- Pedrosa, M.R.; Escribano, J.; Aguado, R.; Sanz, R.; Díez, V.; Arnáiz, F.J. Addition compounds of MoO2Cl2 with chiral sulfoxides. First molecular structures of dioxomolybdenum complexes bearing chiral non-racemic sulfoxide as ligand. Inorg. Chim. Acta 2010, 363, 3158–3164. [Google Scholar] [CrossRef]
- Sakuraba, H.; Maekawa, H. Enantioselective oxidation of sulfides catalyzed by chiral MoV and CuII complexes of catechol-appendedβ-cyclodextrin derivatives in water. J. Incl. Phenom. 2006, 54, 41–45. [Google Scholar] [CrossRef]
- Amini, M.; Haghdoost, M.M.; Bagherzadeh, M. Oxido-peroxido molybdenum(VI) complexes in catalytic and stoichiometric oxidations. Coord. Chem. Rev. 2013, 257, 1093–1121. [Google Scholar] [CrossRef]
- Barlan, A.U.; Zhang, W.; Yamamoto, H. Development and application of versatile bis-hydroxamic acids for catalytic asymmetric oxidation. Tetrahedron 2007, 63, 6075–6087. [Google Scholar] [CrossRef] [PubMed]
- Bellemin-Laponnaz, S.; Coleman, K.S.; Osborn, J.A. Co-ordination of the chiral N,O-ligand 2-[(1S,2S,5R)(−)-menthol]-pyridine to molybdenum(VI) and vanadium(IV) oxo complexes. Polyhedron 1999, 18, 2533–2536. [Google Scholar] [CrossRef]
- Bonchio, M.; Carofiglio, T.; Difuria, F.; Fornasier, R. Supramolecular catalysis: Enantioselective oxidation of thioanisole in water by hydrogen peroxide catalyzed by Mo(VI) in the presence of β-cyclodextrin-based ligands. J. Org. Chem. 1995, 60, 5986–5988. [Google Scholar] [CrossRef]
- Chakravarthy, R.D.; Suresh, K.; Ramkumar, V.; Chand, D.K. New chiral molybdenum complex catalyzed sulfide oxidation with hydrogen peroxide. Inorg. Chim. Acta 2011, 376, 57–63. [Google Scholar] [CrossRef]
- Wang, Y.; Wang, M.; Wang, L.; Wang, Y.; Wang, X.; Sun, L. Asymmetric oxidation of sulfides with H2O2 catalyzed by titanium complexes of Schiff bases bearing a dicumenyl salicylidenyl unit. Appl. Organomet. Chem. 2011, 25, 325–330. [Google Scholar] [CrossRef]
- Bryliakov, K.P.; Talsi, E.P. Titanium-salan-catalyzed asymmetric oxidation of sulfides and kinetic resolution of sulfoxides with H2O2 as the oxidant. Eur. J. Org. Chem. 2008, 3369–3376. [Google Scholar] [CrossRef]
- Bryliakov, K.P.; Talsi, E.P. Asymmetric oxidation of sulfides with H2O2 catalyzed by titanium complexes with aminoalcohol derived Schiff bases. J. Mol. Catal. A Chem. 2007, 264, 280–287. [Google Scholar] [CrossRef]
- Brunel, J.M.; Diter, P.; Duetsch, M.; Kagan, H.B. Highly enantioselective oxidation of sulfides mediated by a chiral titanium complex. J. Org. Chem. 1995, 60, 8086–8088. [Google Scholar] [CrossRef]
- Choudary, B.M.; Shobha Rani, S.; Narender, N. Asymmetric oxidation of sulfides to sulfoxides by chiral titanium pillared montmorillonite catalyst. Catal. Lett. 1993, 19, 299–307. [Google Scholar] [CrossRef]
- Komatsu, N.; Hashizume, M.; Sugita, T.; Uemura, S. Catalytic asymmetric oxidation of sulfides to sulfoxides with tert-butyl hydroperoxide using binaphthol as a chiral auxiliary. J. Org. Chem. 1993, 58, 4529–4533. [Google Scholar] [CrossRef]
- Cotton, H.; Elebring, T.; Larsson, M.; Li, L.; Sörensen, H.; Von Unge, S. Asymmetric synthesis of esomeprazole. Tetrahedron Asymmetry 2000, 11, 3819–3825. [Google Scholar] [CrossRef]
- Bolm, C.; Bienewald, F. Asymmetric Sulfide Oxidation with Vanadium Catalysts and H2O2. Angew. Chem. Int. Ed. 1995, 34, 2640–2642. [Google Scholar] [CrossRef]
- Liu, G.; Cogan, D.A.; Ellman, J.A. Catalytic Asymmetric Synthesis of tert-Butanesulfinamide. Application to the Asymmetric Synthesis of Amines. J. Am. Chem. Soc. 1997, 119, 9913–9914. [Google Scholar] [CrossRef]
- Karpyshev, N.N.; Yakovleva, O.D.; Talsi, E.P.; Bryliakov, K.P.; Tolstikova, O.V.; Tolstikov, A.G. Effect of portionwise addition of oxidant in asymmetric vanadium-catalyzed sulfide oxidation. J. Mol. Catal. A Chem. 2000, 157, 91–95. [Google Scholar] [CrossRef]
- Blum, S.A.; Bergman, R.G.; Ellman, J.A. Enantioselective oxidation of di-tert-butyl disulfide with a vanadium catalyst: Progress toward mechanism elucidation. J. Org. Chem. 2003, 68, 150–155. [Google Scholar] [CrossRef] [PubMed]
- Bolm, C. Vanadium-catalyzed asymmetric oxidations. Coord. Chem. Rev. 2003, 237, 245–256. [Google Scholar] [CrossRef]
- Zeng, Q.; Wang, H.; Wang, T.; Cai, Y.; Weng, W.; Zhao, Y. Vanadium-catalyzed enantioselective sulfoxidation and concomitant, highly efficient kinetic resolution provide high enantioselectivity and acceptable yields of sulfoxides. Adv. Synth. Catal. 2005, 347, 1933–1936. [Google Scholar] [CrossRef]
- Hinch, M.; Jacques, O.; Drago, C.; Caggiano, L.; Jackson, R.F.W.; Dexter, C.; Anson, M.S.; Macdonald, S.J.F. Effective asymmetric oxidation of enones and alkyl aryl sulfides. J. Mol. Catal. A Chem. 2006, 251, 123–128. [Google Scholar] [CrossRef]
- Adão, P.; Pessoa, J.C.; Henriques, R.T.; Kuznetsov, M.L.; Avecilla, F.; Maurya, M.R.; Kumar, U.; Correia, I. Synthesis, characterization, and application of vanadium-salan complexes in oxygen transfer reactions. Inorg. Chem. 2009, 48, 3542–3561. [Google Scholar] [CrossRef] [PubMed]
- Aydin, A.E. Synthesis of novelβ-amino alcohols and their application in the catalytic asymmetric sulfoxidation of sulfides. Tetrahedron Asymmetry 2013, 24, 444–448. [Google Scholar] [CrossRef]
- Carrasco, C.J.; Montilla, F.; Galindo, A. Molybdenum-catalyzed asymmetric sulfoxidation with hydrogen peroxide and subsequent kinetic resolution, using an imidazolium-based dicarboxylate compound as chiral inductor. Catal. Commun. 2016, 84, 134–136. [Google Scholar] [CrossRef]
- Carrasco, C.J.; Montilla, F.; Alvarez, E.; Mealli, C.; Manca, G.; Galindo, A. Experimental and theoretical insights into the oxodiperoxomolybdenum-catalysed sulphide oxidation using hydrogen peroxide in ionic liquids. Dalton Trans. 2014, 43, 13711–13730. [Google Scholar] [CrossRef] [PubMed]
- Carrasco, C.J.; Montilla, F.; Bobadilla, L.; Ivanova, S.; Odriozola, J.A.; Galindo, A. Oxodiperoxomolybdenum complex immobilized onto ionic liquid modified SBA-15 as an effective catalysis for sulfide oxidation to sulfoxides using hydrogen peroxide. Catal. Today 2014, 255, 102–108. [Google Scholar] [CrossRef]
- Kühl, O.; Palm, G. Imidazolium salts from amino acids—A new route to chiral zwitterionic carbene precursors? Tetrahedron: Asymmetry 2010, 21, 393–397. [Google Scholar] [CrossRef]
- Kühl, O.; Millinghaus, S.; Wehage, P. Functionalised, chiral imidazolium compounds from proteinogenic amino acids. Cent. Eur. J. Chem. 2010, 8, 1223–1226. [Google Scholar] [CrossRef]
- Keith, J.M.; Larrow, J.F.; Jacobsen, E.N. Practical considerations in kinetic resolution reactions. Adv. Synth. Catal. 2001, 343, 5–26. [Google Scholar] [CrossRef]
- Montilla, F.; Galindo, A. Oxidodiperoxidomolybdenum Complexes: Properties and Their Use as Catalysts in Green Oxidations. In Reference Module in Chemistry, Molecular Sciences and Chemical Engineering; Elsevier: New York City, NY, USA, 2017; pp. 1–17. [Google Scholar]
- Taylor, R.; Kennard, O. Crystallographic evidence for the existence of CH…O, CH…N and CH…Cl hydrogen bonds. J. Am. Chem. Soc. 1982, 104, 5063–5070. [Google Scholar] [CrossRef]
- Steiner, T. C–H···O hydrogen bonding in crystals. Crystallogr. Rev. 2003, 9, 177–228. [Google Scholar] [CrossRef]
- Steiner, T.; Desiraju, G.R. Distinction between the weak hydrogen bond and the van der Waals interaction. Chem. Commun. 1998, 891–892. [Google Scholar] [CrossRef]
- Steiner, T. Effect of acceptor strength on C–H···O hydrogen bond lengths as revealed by and quantified from crystallographic data. J. Chem. Soc. Chem. Commun. 1994, 2341–2342. [Google Scholar] [CrossRef]
- Steiner, T. Weak hydrogen bonding. Part 1. Neutron diffraction data of amino acid Cα–H suggest lengthening of the covalent C–H bond in C–H···O interactions. J. Chem. Soc. Perkin Trans. 1995, 2, 1315–1319. [Google Scholar] [CrossRef]
- Steiner, T.; Saenger, W. Role of C-H…O hydrogen bonds in the coordination of water molecules. Analysis of neutron diffraction data. J. Am. Chem. Soc. 1993, 115, 4540–4547. [Google Scholar] [CrossRef]
- Herbert, M.; Montilla, F.; Galindo, A. Olefin epoxidation in solventless conditions and apolar media catalysed by specialised oxodiperoxomolybdenum complexes. J. Mol. Catal. A Chem. 2011, 338, 111–120. [Google Scholar] [CrossRef]
- Becke, A.D. Density-functional thermochemistry. III. The role of exact exchange. J. Chem. Phys. 1993, 98, 5648. [Google Scholar] [CrossRef]
- Lee, C.; Yang, W.; Parr, R.G. Development of the Colle-Salvetti correlation-energy formula into a functional of the electron density. Phys. Rev. B 1988, 37, 785–789. [Google Scholar] [CrossRef]
- Dunning, T.H., Jr.; Hay, P.J. Modern Theoretical Chemistry; Plenum: New York, NY, USA, 1976; p. 1. [Google Scholar]
- Hay, P.J.; Wadt, W.R. Ab initio effective core potentials for molecular calculations. Potentials for K to Au including the outermost core orbitals. J. Chem. Phys. 1985, 82, 299. [Google Scholar] [CrossRef]
- Frisch, M.J.; Trucks, G.W.; Schlegel, H.B.; Scuseria, G.E.; Robb, M.A.; Cheeseman, J.R.; Scalmani, G.; Barone, V.; Mennucci, B.; Petersson, G.A.; et al. GAUSSIAN 09 (Revision B.01); Gaussian, Inc.: Wallingford, CT, USA, 2009. [Google Scholar]
Sample Availability: Samples of the compounds are not available from the authors. |
© 2018 by the authors. Licensee MDPI, Basel, Switzerland. This article is an open access article distributed under the terms and conditions of the Creative Commons Attribution (CC BY) license (http://creativecommons.org/licenses/by/4.0/).



