DNA-Binding Capabilities and Anticancer Activities of Ruthenium(II) Cymene Complexes with (Poly)cyclic Aromatic Diamine Ligands
Abstract
1. Introduction
2. Results and Discussion
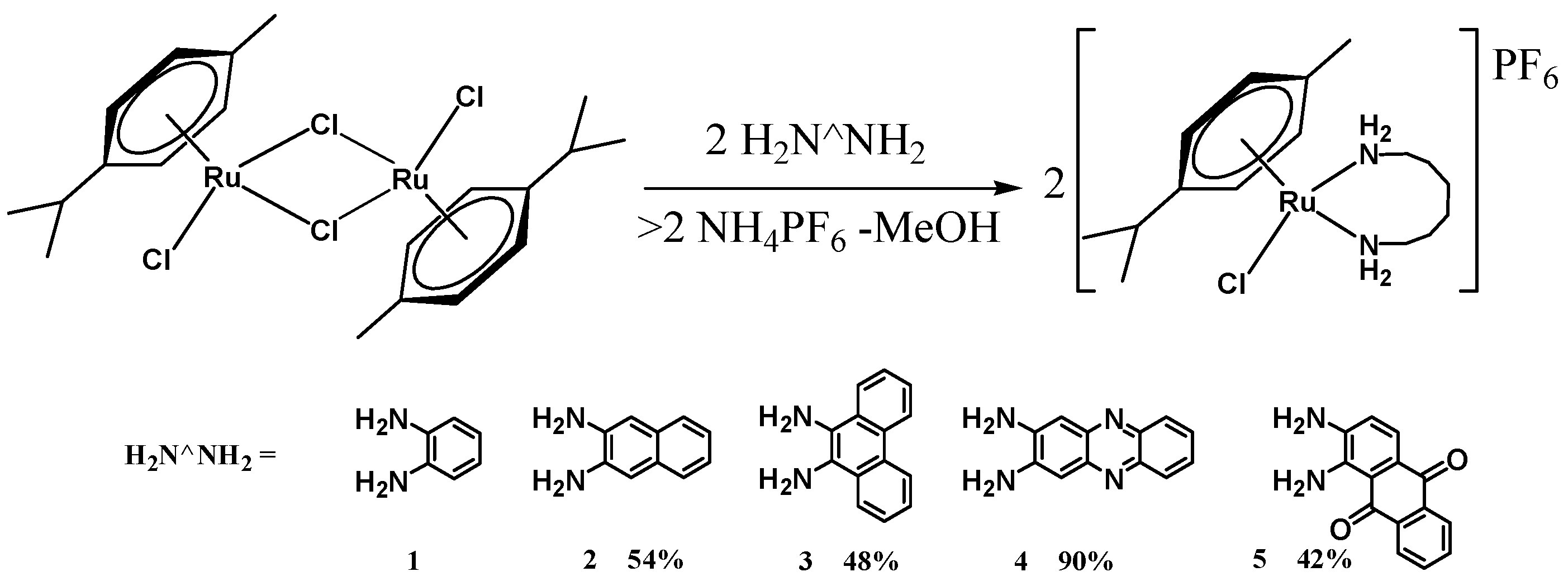
2.1. Synthesis and Characterization
2.2. Hydrolysis Process of the Complexes
2.3. DNA-Binding Studies
2.4. Anticancer Studies
3. Materials and Methods
3.1. Materials
3.2. Methods and Instrumentation
3.3. Synthesis and Characterization
3.4. Hydrolyses
3.5. DNA Binding Studies
3.6. Computational Details
3.7. Anticancer Activity and Cytotoxicity
4. Conclusions
Supplementary Materials
Author Contributions
Funding
Institutional Review Board Statement
Informed Consent Statement
Data Availability Statement
Acknowledgments
Conflicts of Interest
Sample Availability
Abbreviations
| CT-DNA | Calf-thymus DNA |
| OVCAR-3 | Ovarian carcinoma cancer cell line |
| M-14 | Melanoma skin cancer cell line |
| HOP-62 | Non-small-cell lung cancer cell line |
References
- Wong, E.; Giandomenico, C.M. Current status of platinum-based antitumor drugs. Chem. Rev. 1999, 99, 2451–2466. [Google Scholar] [CrossRef] [PubMed]
- Abu-Surrah, A.; Kettunen, M. Platinum Group Antitumor Chemistry: Design and Development of New Anticancer Drugs Complementary to Cisplatin. Curr. Med. Chem. 2006, 13, 1337–1357. [Google Scholar] [CrossRef] [PubMed]
- Wang, X.; Guo, Z. Towards the rational design of platinum(II) and gold(III) complexes as antitumour agents. Dalton Trans. 2008, 12, 1521–1532. [Google Scholar] [CrossRef] [PubMed]
- Rabik, C.A.; Dolan, M.E. Molecular mechanisms of resistance and toxicity associated with platinating agents. Cancer Treat. Rev. 2007, 33, 9–23. [Google Scholar] [CrossRef] [PubMed]
- Heffeter, P.; Jungwirth, U.; Jakupec, M.; Hartinger, C.; Galanski, M.; Elbling, L.; Micksche, M.; Kepper, B.; Berger, W. Resistance against novel anticancer metal compounds: Differences and similarities. Drug Resist. Updates 2008, 11, 1–16. [Google Scholar] [CrossRef] [PubMed]
- Yu, G.; Yu, S.; Saha, M.L.; Zhou, J.; Cook, T.R.; Yung, B.C.; Chen, J.; Mao, Z.; Zhang, F.; Zhou, Z. A discrete organoplatinum(II) metallacage as a multimodality theranostic platform for cancer photochemostherapy. Nat. Commun. 2018, 9, 4335. [Google Scholar] [CrossRef]
- Trudu, F.; Amato, F.; Vaňhara, P.; Pivetta, T.; Peña-Méndez, E.M.; Havel, J. Coordination compounds in cancer: Past, present and perspectives. J. Appl. Biomed. 2015, 13, 79–103. [Google Scholar] [CrossRef]
- Kostova, I. Ruthenium Complexes as Anticancer Agents. Curr. Med. Chem. 2006, 13, 1085–1107. [Google Scholar] [CrossRef]
- Lentz, F.; Drescher, A.; Lindauer, A.; Henke, M.; Hilger, R.A.; Hartinger, C.G.; Scheulen, M.E.; Dittrich, C.; Keppler, B.K. Pharmacokinetics of a novel anticancer ruthenium complex (KP1019, FFC14A) in a phase I dose-escalation study. Anticancer Drugs 2009, 20, 97–103. [Google Scholar] [CrossRef]
- Li, X.; Gorle, A.K.; Sundaraneedi, M.K.; Keene, F.R.; Collins, J.G. Kinetically-inert polypyridylruthenium(II) complexes as therapeutic agents. Coord. Chem. Rev. 2017, 375, 134–147. [Google Scholar] [CrossRef]
- Artner, C.; Holtkamp, H.U.; Hartinger, C.G.; Meier-Menches, S.M. Characterizing activation mechanisms and binding preferences of ruthenium metallo-prodrugs by a competitive binding assay. J. Inorg. Biochem. 2017, 177, 322–327. [Google Scholar] [CrossRef] [PubMed]
- Motswainyana, W.M.; Ajibade, P.A. Anticancer Activities of Mononuclear Ruthenium(II) Coordination Complexes. Adv. Chem. 2015, 2015, 1–21. [Google Scholar] [CrossRef]
- Ude, Z.; Romero-Canelón, I.; Twamley, B.; Fitzgerald Hughes, D.; Sadler, P.J.; Marmion, C.J. A novel dual-functioning ruthenium(II)-arene complex of an anti-microbial ciprofloxacin derivative -Anti-proliferative and anti-microbial activity. J. Inorg. Biochem. 2016, 160, 210–217. [Google Scholar] [CrossRef] [PubMed]
- Palmucci, J.; Marchetti, F.; Pettinari, R.; Pettinari, C.; Scopelliti, R.; Riedel, T.; Therrien, B.; Galindo, A.; Dyson, P.J. Synthesis, structure, and anticancer activity of arene-ruthenium(II) complexes with acylpyrazolones bearing aliphatic groups in the acyl moiety. Inorg. Chem. 2016, 55, 11770–11781. [Google Scholar] [CrossRef] [PubMed]
- Vardhan, H.; Nafady, A.; Al-Enizi, A.M.; Khandker, K.; El-Sagher, H.M.; Verma, G.; Acevedo-Duncan, M.; Alotaibi, T.M.; Ma, S. Investigation of the anticancer activity of coordination-driven self-assembled two-dimensional ruthenium metalla-rectangle. Molecules 2019, 24, 2284. [Google Scholar] [CrossRef] [PubMed]
- Schuecker, R.; John, R.O.; Jakupec, M.A.; Arion, V.B.; Keppler, B.K. Water-soluble mixed-ligand ruthenium(II) and osmium(II) arene complexes with high antiproliferative activity. Organometallics 2008, 27, 6587–6595. [Google Scholar] [CrossRef]
- Gatti, A.; Habtemariam, A.; Romero-Canelón, I.; Song, J.I.; Heer, B.; Clarkson, G.J.; Rogolino, D.; Sadler, P.J.; Cacelli, M. Half-Sandwich Arene Ruthenium(II) and Osmium(II) Thiosemicarbazone Complexes: Solution Behavior and Antiproliferative Activity. Organometallics 2017, 37, 891–899. [Google Scholar] [CrossRef]
- Tsolis, T.; Papavasileiou, K.D.; Divanis, S.A.; Melissas, V.S.; Garoufis, A. How half sandwich ruthenium compounds interact with DNA while not being hydrolyzed; A comparative study. J. Inorg. Biochem. 2016, 160, 12–23. [Google Scholar] [CrossRef]
- Torres, J.; Sepúlveda, F.; Carrión, M.C.; Jalón, F.A.; Manzano, B.R.; Rodríguez, A.M.; Zirakzadeh, A.; Weissensteiner, W.; Mucietes, A.E.; de la Pena, M.A. Ruthenium arene derivatives of chiral ferrocene-based P,N or P,O ligands. Transformation of chloro-alcohol into hydrido-carbonyl complexes. Organometallics 2011, 30, 3490–3503. [Google Scholar] [CrossRef]
- Li, J.; Tian, M.; Tian, Z.; Zhang, S.; Yan, C.; Shao, C.; Liu, Z. Half-Sandwich Iridium(III) and Ruthenium(II) Complexes Containing P^P-Chelating Ligands: A New Class of Potent Anticancer Agents with Unusual Redox Features. Inorg. Chem. 2018, 57, 1705–1716. [Google Scholar] [CrossRef]
- Martinez-Alonso, M.; Rodriguez, A.M.; Espino, G.; Busto, N.; Jalón, F.A.; Manzano, B.R.; Leal, J.M.; Rodriguez, A.M.; Garcia, B.; Espino, G. Derivation of Structure−Activity Relationships from the Anticancer Properties of Ruthenium(II) Arene Complexes with 2-Aryldiazole Ligands. Inorg. Chem. 2014, 53, 11274–11288. [Google Scholar] [CrossRef] [PubMed]
- Lenis-Rojas, O.A.; Robalo, M.P.; Tomaz, A.I.; Carvalho, A.; Fernandes, A.R.; Marques, F.; Folgueira, M.; Yanez, J.; Vazquez-Garcia, D.; Torres, M.L. RuII(p-cymene) Compounds as Effective and Selective Anticancer Candidates with No Toxicity in Vivo. Inorg. Chem. 2018, 57, 13150–13166. [Google Scholar] [CrossRef] [PubMed]
- Williams, D.S.; Atilla, G.E.; Bregman, H.; Arzoumanian, A.; Klein, P.S.; Meggers, E. Switching on a Signaling Pathway with an Organoruthenium Complex. Angew. Chem. Int. Ed. 2005, 44, 1984–1987. [Google Scholar] [CrossRef] [PubMed]
- Meggers, E.; Atilla-Gokcumen, G.E.; Grundler, K.; Friasb, C.; Prokop, A. Inert ruthenium half-sandwich complexes with anticancer activity. Dalton Trans. 2009, 48, 10882–10888. [Google Scholar] [CrossRef]
- Meggers, E.; Atilla-Gokcumen, G.E.; Bregman, H.; Maksimoska, J.; Mulcahy, S.P.; Pagano, N.; Williams, D.S. Exploring chemical space with organometallics: Ruthenium complexes as protein kinase inhibitors. Synlett 2007, 8, 1177–1189. [Google Scholar] [CrossRef]
- Debreczeni, J.É.; Bullock, A.N.; Atilla, G.E.; Williams, D.S.; Bregman, H.; Knapp, S.; Meggers, E. Ruthenium half-sandwich complexes bound to protein kinase Pim-1. Angew. Chem. Int. Ed. 2006, 45, 1580–1585. [Google Scholar] [CrossRef]
- Bregman, H.; Meggers, E. Ruthenium half-sandwich complexes as protein kinase inhibitors: An N-succinimidyl ester for rapid derivatizations of the cyclopentadienyl moiety. Org. Lett. 2006, 8, 5465–5468. [Google Scholar] [CrossRef]
- Filak, L.K.; Mühlgassner, G.; Bacher, F.; Roller, A.; Galanski, M.; Jakupec, M.A.; Keppler, B.K.; Arion, V.B. Ruthenium-and osmium-arene complexes of 2-substituted indolo[3,2- c ]quinolines: Synthesis, structure, spectroscopic properties, and antiproliferative activity. Organometallics 2011, 30, 273–283. [Google Scholar] [CrossRef]
- Bugarcic, T.; Habtemariam, A.; Deeth, R.J.; Fabbiani, F.P.A.; Parsons, S.; Sadler, P.J. Ruthenium(II) Arene Anticancer Complexes with Redox-Active Diamine Ligands. Inorg. Chem. 2009, 48, 9444–9453. [Google Scholar] [CrossRef]
- Busto, N.; Martinez-Alonso, M.; Leal, J.M.; Rodriguez, A.M.; Dominguez, F.; Acuna, A.I.; Espino, G.; Garcia, B. Monomer-Dimer Divergent Behavior toward DNA in a Half Sandwich Ruthenium(II) Aqua Complex. Antiproliferative Biphasic Activity. Organometallics 2015, 34, 319–327. [Google Scholar] [CrossRef]
- Nikolić, S.; Rangasamy, L.; Gligorijević, N.; Arandelović, S.; Radulović, S.; Gasser, G.; Grguric-Sipka, S. Synthesis, characterization and biological evaluation of novel Ru(II)-arene complexes containing intercalating ligands. J. Inorg. Biochem. 2016, 160, 156–165. [Google Scholar] [CrossRef] [PubMed]
- Skoczynska, A.; Małecka, M.; Cieslak, M.; Kazmierczak-Baranska, J.; Krolewska-Golinska, K.; Leniart, A.; Budzisz, E. Synthesis, structural analysis, redox properties and in vitro antitumor evaluation of half-sandwich complexes of Ru(II) with aminocoumarins. Polyhedron 2017, 127, 307–314. [Google Scholar] [CrossRef]
- Aird, R.E.; Cummings, J.; Ritchie, A.A.; Muir, M.; Morris, R.E.; Chen, H.; Sadler, P.J.; Jodrell, D.I. In vitro and in vivo activity and cross resistance profiles of novel ruthenium (II) organometallic arene complexes in human ovarian cancer. Br. J. Cancer. 2002, 86, 1652–1657. [Google Scholar] [CrossRef] [PubMed]
- Morris, R.E.; Aird, R.E.; Murdoch, P.D.S.; Chen, H.; Cummings, J.; Hughes, N.D.; Parsons, S.; Parkin, A.; Boyd, G.; Jodrell, D.I. Inhibition of cancer cell growth by ruthenium(II) arene complexes. J. Med. Chem. 2001, 44, 3616–3621. [Google Scholar] [CrossRef]
- Ihmels, H.; Otto, D. Intercalation of organic dye molecules into double-stranded DNA—General principles and recent developments. Top. Curr. Chem. 2005, 258, 161–204. [Google Scholar]
- Chen, H.; Parkinson, J.A.; Parsons, S.; Coxall, R.A.; Gould, R.O.; Sadler, P.J. Organometallic ruthenium(II) diamine anticancer complexes: Arene-nucleobase stacking and stereospecific hydrogen-bonding in guanine adducts. J. Am. Chem. Soc. 2002, 124, 3064–3082. [Google Scholar] [CrossRef]
- Pizarro, A.M.; Habtemariam, A.; Sadler, P.J. Activation mechanisms for organometallic anticancer complexes. Top. Organomet. Chem. 2010, 32, 21–56. [Google Scholar]
- Chen, H.; Parkinson, J.A.; Novakova, O.; Bella, J.; Wang, F.; Dawson, A.; Gould, R.; Parsons, S.; Brabec, V.; Sadler, P.J. Induced-fit recognition of DNA by organometallic complexes with dynamic stereogenic centers. Proc. Natl. Acad. Sci. USA 2003, 100, 14623–14628. [Google Scholar] [CrossRef]
- Matulonis, U.A.; Sood, A.K.; Fallowfield, L.; Howitt, B.E.; Sehouli, J.; Karlen, B.Y. Ovarian cancer. Nat. Rev. Disease Primers 2016, 2, 16061. [Google Scholar] [CrossRef]
- Habtemariam, A.; Melchart, M.; Ferna, R.; Parsons, S.; Oswald, I.D.H.; Parkin, A.; Fabbiani, F.P.A.; Davidson, J.E.; Dawson, A.; Aird, R.E. Structure-Activity Relationships for Cytotoxic Ruthenium (II) Arene Complexes Containing N,N-, N,O-, and O,O-Chelating Ligands. J. Med. Chem. 2006, 49, 6858–6868. [Google Scholar] [CrossRef]
- Devi, C.S.; Thulasiram, B.; Satyanarayana, S.; Nagababu, P. Analytical Techniques Used to Detect DNA Binding Modes of Ruthenium(II) Complexes with Extended Phenanthroline Ring. J. Fluoresc. 2017, 27, 2119–2130. [Google Scholar] [CrossRef] [PubMed]
- Villarreal, W.; Colina-Vegas, L.; Visabl, G.; Corona, O.; Correa, R.S.; Ellena, J.; Cominetti, M.R.; Batista, A.A.; Navarro, M. Copper(I)-phosphine polypyridyl complexes: Synthesis, characterization, DNA/HAS binding study, and antiproliferative activity. Inorg. Chem. 2017, 56, 3781–3793. [Google Scholar] [CrossRef] [PubMed]
- Frisch, M.J.; Trucks, G.W.; Schlegel, H.B.; Scuseria, G.E.; Robb, M.A.; Cheeseman, J.R.; Scalmani, G.; Barone, V.; Mennucci, B.; Petersson, G.A. Gaussian 09; Revision A.02; Gaussian, Inc.: Wallingford, CT, USA, 2009. [Google Scholar]
- Dennington, R.; Keith, R.T.; Millam, J. GaussView. Version 5; Semichem. Inc.: Shawnee, KS, USA, 2009. [Google Scholar]
- Stephens, P.J.; Devlin, F.J.; Chabalowski, C.F.; Frisch, M.J. Ab initio calculation of vibrational absorption and circular dichromism spectra using density functional force fields. J. Phys. Chem. 1994, 98, 11623–11627. [Google Scholar] [CrossRef]
- Moran, D.; Simmonett, A.C.; Leach, F.E., III; Allen, W.D.; Schleyer, P.v.R.; Schaefer, H.F. Popular theoretical methods predict benzene and arenes to be nonplanar. J. Am. Chem. Soc. 2006, 128, 9342–9343. [Google Scholar] [CrossRef] [PubMed]
- Dolg, M.; Stoll, H.; Preuss, H. Energy-adjusted ab initio pseudopotentials for the rare earth elements. J. Chem. Phys. 1989, 90, 1730–1734. [Google Scholar] [CrossRef]
- Grimme, S.; Antony, J.; Ehrlich, S.; Krieg, H. A consistent and accurate ab initio parametrization of density functional dispersion correction (DFT-D) for the 94 elements H-Pu. J. Chem. Phys. 2010, 132, 154104. [Google Scholar] [CrossRef]
- Muanza, D.; Kim, B.; Euler, K.; Williams, L. Antibacterial and antifungal activities of nine medicinal plants from Zaire. Pharm. Biol. 1994, 32, 337–345. [Google Scholar] [CrossRef]
- Pezzuto, J.; Che, C.; McPherson, D.; Zhu, P.; Topcu, G.; Erdelmeier, C.; Cordell, G. DNA as an Affinity Probe Useful in the Detection and Isolation of Biologically Active Natural Products. J. Nat. Prod. 1991, 54, 1522–1597. [Google Scholar] [CrossRef]
- Skehan, P.; Storeng, R.; Scudiero, D.; Monks, A.; McMahon, J.; Vistica, D.; Warren, J.T.; Bokesch, H.; Kenney, S.; Boyd, M.R. New Colorimetric Cytotoxicity Assay for Anticancer-Drug Screening. J. Nat. Cancer Inst. 1990, 82, 1107–1112. [Google Scholar] [CrossRef]





| L | ![]() | |||||||
|---|---|---|---|---|---|---|---|---|
![]() | Ru (out of plane, Å) | 0.529 | −0.617 | 1.400 | ||||
| ERu-X (kcal/mole) | −11.7 | −15.7 | −190.7 | |||||
| ΔH (kcal/mole) | −1.6 | −189.6 | ||||||
![]() | Ru (out of plane, Å) | 0.876 | −0.677 | 1.400 | ||||
| ERu-X (kcal/mole) | −11.9 | −15.3 | −191.3 | |||||
| Ediff (kcal/mole) | −3.8 | −189.9 | ||||||
![]() | Ru (out of plane, Å) | 0.288 | −0.347 | 1.440 | ||||
| ERu-X (kcal/mole) | −13.5 | −19.7 | −203.2 | |||||
| Ediff (kcal/mole) | −1.4 | −199.4 | ||||||
![]() | Ru (out of plane, Å) | 0.722 | 1.350 | 1.400 | ||||
| ERu-X (kcal/mole) | −5.8 | −15.7 | −189.1 | |||||
| Ediff (kcal/mole) | −4.1 | −188.9 | ||||||
![]() | Ru (out of plane, Å) | 0.787 | 1.220 | 1.340 | ||||
| ERu-X (kcal/mole) | −2.9 | −10.6 | −189.5 | |||||
| Ediff (kcal/mole) | −4.6 | −188.4 | ||||||
| Compound | Kb (DNA Binding Constant) (by UV-Absorption) | Scaled Kb Value a |
|---|---|---|
| Ethidium Bromide | 6.67 × 104 | 1.00 |
| 1 | 4.00 × 103 | 0.06 |
| 2 | 7.50 × 103 | 0.11 |
| 3 | 1.00 × 104 | 0.15 |
| 4 | 1.14 × 104 | 0.17 |
| 5 | 1.00 × 104 | 0.15 |
| Complex | IC50 ± SD (μM) | ||
|---|---|---|---|
| OVCAR-3 | M-14 | HOP-62 | |
| 1 | 4.31 ± 0.01 | 6.01 ± 0.02 | 4.12 ± 0.10 |
| 2 | 4.26 ± 0.01 | 6.09 ± 0.02 | 3.37 ± 0.10 |
| 3 | 5.19 ± 0.03 | 5.33 ± 0.02 | 3.51 ± 0.10 |
| 4 | 4.73 ± 0.02 | 6.03 ± 0.02 | 4.61 ± 0.16 |
| 5 | 4.89 ± 0.02 | 6.31 ± 0.02 | 3.89 ± 0.18 |
| Cisplatin | 5.89 ± 0.00 | 6.29 ± 0.05 | 3.91 ± 0.20 |
Publisher’s Note: MDPI stays neutral with regard to jurisdictional claims in published maps and institutional affiliations. |
© 2020 by the authors. Licensee MDPI, Basel, Switzerland. This article is an open access article distributed under the terms and conditions of the Creative Commons Attribution (CC BY) license (http://creativecommons.org/licenses/by/4.0/).
Share and Cite
Alsaeedi, M.S.; Babgi, B.A.; Abdellattif, M.H.; Jedidi, A.; Humphrey, M.G.; Hussien, M.A. DNA-Binding Capabilities and Anticancer Activities of Ruthenium(II) Cymene Complexes with (Poly)cyclic Aromatic Diamine Ligands. Molecules 2021, 26, 76. https://doi.org/10.3390/molecules26010076
Alsaeedi MS, Babgi BA, Abdellattif MH, Jedidi A, Humphrey MG, Hussien MA. DNA-Binding Capabilities and Anticancer Activities of Ruthenium(II) Cymene Complexes with (Poly)cyclic Aromatic Diamine Ligands. Molecules. 2021; 26(1):76. https://doi.org/10.3390/molecules26010076
Chicago/Turabian StyleAlsaeedi, Mona S., Bandar A. Babgi, Magda H. Abdellattif, Abdesslem Jedidi, Mark G. Humphrey, and Mostafa A. Hussien. 2021. "DNA-Binding Capabilities and Anticancer Activities of Ruthenium(II) Cymene Complexes with (Poly)cyclic Aromatic Diamine Ligands" Molecules 26, no. 1: 76. https://doi.org/10.3390/molecules26010076
APA StyleAlsaeedi, M. S., Babgi, B. A., Abdellattif, M. H., Jedidi, A., Humphrey, M. G., & Hussien, M. A. (2021). DNA-Binding Capabilities and Anticancer Activities of Ruthenium(II) Cymene Complexes with (Poly)cyclic Aromatic Diamine Ligands. Molecules, 26(1), 76. https://doi.org/10.3390/molecules26010076







