Unprecedented Biodegradable Cellulose-Derived Polyesters with Pendant Citronellol Moieties: From Monomer Synthesis to Enzymatic Degradation
Abstract
:1. Introduction
2. Results and Discussion
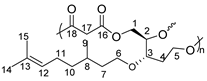
2.1. Synthesis of HBO-Citro
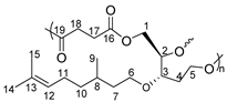
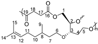
2.2. Synthesis of Triol-Citro
2.3. Polycondesation
2.4. Enzymatic Degradation
3. Materials and Methods
3.1. Synthesis of Monomers


3.2. Polymerizations




3.3. Enzymatic Degradation
4. Conclusions
Supplementary Materials
Author Contributions
Funding
Institutional Review Board Statement
Informed Consent Statement
Data Availability Statement
Acknowledgments
Conflicts of Interest
Sample Availability
References
- Sidorov, O.F.; Shishov, M.G.; Deryugin, A.A.; Sidelnikov, A.Y. Environmental Impact of Polymer-Waste Disposal. Coke Chem. 2016, 59, 117–121. [Google Scholar] [CrossRef]
- Zhu, Y.; Romain, C.; Williams, C.K. Sustainable Polymers from Renewable Resources. Nature 2016, 540, 354–362. [Google Scholar] [CrossRef]
- Giraud, R.J.; Williams, P.A.; Sehgal, A.; Ponnusamy, E.; Phillips, A.K.; Manley, J.B. Implementing Green Chemistry in Chemical Manufacturing: A Survey Report. ACS Sustainable Chem. Eng. 2014, 2, 2237–2242. [Google Scholar] [CrossRef]
- Ariel, M.S.; Maria, M.Z.; Rolando, A.S. Recent Applications of Levoglucosenone as Chiral Synthon. Curr. Org. Synth. 2012, 9, 439–459. [Google Scholar]
- Oyola-Rivera, O.; He, J.; Huber, G.W.; Dumesic, J.A.; Cardona-Martínez, N. Catalytic Dehydration of Levoglucosan to Levoglucosenone Using Brønsted Solid Acid Catalysts in Tetrahydrofuran. Green Chem. 2019, 21, 4988–4999. [Google Scholar] [CrossRef]
- Comba, M.B.; Tsai, Y.; Sarotti, A.M.; Mangione, M.I.; Suárez, A.G.; Spanevello, R.A. Levoglucosenone and Its New Applications: Valorization of Cellulose Residues. Eur. J. Org. Chem. 2018, 2018, 590–604. [Google Scholar] [CrossRef]
- Fadlallah, S.; Mouterde, L.M.M.; Garnier, G.; Saito, K.; Allais, F. Cellulose-Derived Levoglucosenone, a Great Versatile Chemical Platform for the Production of Renewable Monomers and Polymers. In Sustainability & Green Polymer Chemistry Volume 2: Biocatalysis and Biobased Polymers; ACS Symposium Series; American Chemical Society: New York, NY, USA, 2020; Volume 1373, pp. 77–97. ISBN 978-0-8412-9852-1. [Google Scholar]
- Debsharma, T.; Behrendt, F.N.; Laschewsky, A.; Schlaad, H. Ring-Opening Metathesis Polymerization of Biomass-Derived Levoglucosenol. Angew. Chem. Int. Ed. 2019, 58, 6718–6721. [Google Scholar] [CrossRef]
- Debsharma, T.; Yagci, Y.; Schlaad, H. Cellulose-Derived Functional Polyacetal by Cationic Ring-Opening Polymerization of Levoglucosenyl Methyl Ether. Angew. Chem. Int. Ed. 2019, 58, 18492–18495. [Google Scholar] [CrossRef] [PubMed]
- Fadlallah, S.; Peru, A.A.M.; Flourat, A.L.; Allais, F. A Straightforward Access to Functionalizable Polymers through Ring-Opening Metathesis Polymerization of Levoglucosenone-Derived Monomers. Eur. Polym. J. 2020, 138, 109980. [Google Scholar] [CrossRef]
- Fadlallah, S.; Peru, A.A.M.; Longé, L.; Allais, F. Chemo-Enzymatic Synthesis of a Levoglucosenone-Derived Bi-Functional Monomer and Its Ring-Opening Metathesis Polymerization in the Green Solvent CyreneTM. Polym. Chem. 2020, 11, 7471–7475. [Google Scholar] [CrossRef]
- Diot-Néant, F.; Mouterde, L.; Fadlallah, S.; Miller, S.A.; Allais, F. Sustainable Synthesis and Polycondensation of Levoglucosenone-Cyrene-Based Bicyclic Diol Monomer: Access to Renewable Polyesters. ChemSusChem 2020, 13, 2613–2620. [Google Scholar] [CrossRef] [PubMed]
- Nakajima, H.; Dijkstra, P.; Loos, K. The Recent Developments in Biobased Polymers toward General and Engineering Applications: Polymers That Are Upgraded from Biodegradable Polymers, Analogous to Petroleum-Derived Polymers, and Newly Developed. Polymers 2017, 9, 523. [Google Scholar] [CrossRef]
- Sivan, A. New Perspectives in Plastic Biodegradation. Curr. Opin. Biotechnol. 2011, 22, 422–426. [Google Scholar] [CrossRef]
- Höglund, A.; Odelius, K.; Albertsson, A.-C. Crucial Differences in the Hydrolytic Degradation between Industrial Polylactide and Laboratory-Scale Poly(L-Lactide). ACS Appl. Mater. Interfaces 2012, 4, 2788–2793. [Google Scholar] [CrossRef] [PubMed]
- Huang, Y.; Chen, F.; Pan, Y.; Chen, C.; Jiang, L.; Dan, Y. Effect of Hydrophobic Fluoropolymer and Crystallinity on the Hydrolytic Degradation of Poly(Lactic Acid). Eur. Polym. J. 2017, 97, 308–318. [Google Scholar] [CrossRef]
- Sevim, K.; Pan, J. A Model for Hydrolytic Degradation and Erosion of Biodegradable Polymers. Acta Biomater. 2018, 66, 192–199. [Google Scholar] [CrossRef] [Green Version]
- Kijchavengkul, T.; Auras, R.; Rubino, M.; Selke, S.; Ngouajio, M.; Fernandez, R.T. Biodegradation and Hydrolysis Rate of Aliphatic Aromatic Polyester. Polym. Degrad. Stab. 2010, 95, 2641–2647. [Google Scholar] [CrossRef]
- Rivard, C.; Moens, L.; Roberts, K.; Brigham, J.; Kelley, S. Starch Esters as Biodegradable Plastics: Effects of Ester Group Chain Length and Degree of Substitution on Anaerobic Biodegradation. Enzym. Microb. Technol. 1995, 17, 848–852. [Google Scholar] [CrossRef]
- Siracusa, V.; Blanco, I. Bio-Polyethylene (Bio-PE), Bio-Polypropylene (Bio-PP) and Bio-Poly(Ethylene Terephthalate) (Bio-PET): Recent Developments in Bio-Based Polymers Analogous to Petroleum-Derived Ones for Packaging and Engineering Applications. Polymers 2020, 12, 1641. [Google Scholar] [CrossRef] [PubMed]
- Miller, S.A. Sustainable Polymers: Opportunities for the Next Decade. ACS Macro Lett. 2013, 2, 550–554. [Google Scholar] [CrossRef] [Green Version]
- Gauthier, M.A.; Gibson, M.I.; Klok, H.-A. Synthesis of Functional Polymers by Post-Polymerization Modification. Angew. Chem. Int. Ed. 2009, 48, 48–58. [Google Scholar] [CrossRef] [PubMed]
- Seppälä, J.; van Bochove, B.; Lendlein, A. Developing Advanced Functional Polymers for Biomedical Applications. Biomacromolecules 2020, 21, 273–275. [Google Scholar] [CrossRef] [Green Version]
- Santos, P.L.; Matos, J.P.S.C.F.; Picot, L.; Almeida, J.R.G.S.; Quintans, J.S.S.; Quintans-Júnior, L.J. Citronellol, a Monoterpene Alcohol with Promising Pharmacological Activities—A Systematic Review. Food Chem. Toxicol. 2019, 123, 459–469. [Google Scholar] [CrossRef]
- Brito, R.G.; Guimarães, A.G.; Quintans, J.S.S.; Santos, M.R.V.; De Sousa, D.P.; Badaue-Passos, D.; de Lucca, W.; Brito, F.A.; Barreto, E.O.; Oliveira, A.P.; et al. Citronellol, a Monoterpene Alcohol, Reduces Nociceptive and Inflammatory Activities in Rodents. J. Nat. Med. 2012, 66, 637–644. [Google Scholar] [CrossRef]
- Hahn, S.K.; Jelacic, S.; Maier, R.V.; Stayton, P.S.; Hoffman, A.S. Anti-Inflammatory Drug Delivery from Hyaluronic Acid Hydrogels. J. Biomater. Sci. Polym. Ed. 2004, 15, 1111–1119. [Google Scholar] [CrossRef]
- Qureshi, A.T.; Terrell, L.; Monroe, W.T.; Dasa, V.; Janes, M.E.; Gimble, J.M.; Hayes, D.J. Antimicrobial Biocompatible Bioscaffolds for Orthopaedic Implants. J. Tissue Eng. Regen. Med. 2014, 8, 386–395. [Google Scholar] [CrossRef]
- Nichol, J.L.; Morozowich, N.L.; Decker, T.E.; Allcock, H.R. Crosslinkable Citronellol Containing Polyphosphazenes and Their Biomedical Potential. J. Polym. Sci. Part A Polym. Chem. 2014, 52, 2258–2265. [Google Scholar] [CrossRef]
- Nichol, J.L.; Allcock, H.R. Polyphosphazenes with Amino Acid Citronellol Ester Side Groups for Biomedical Applications. Eur. Polym. J. 2015, 62, 214–221. [Google Scholar] [CrossRef]
- Singler, R.E.; Schneider, N.S.; Hagnauer, G.L. Polyphosphazenes: Synthesis—Properties—Applications. Polym. Eng. Sci. 1975, 15, 321–338. [Google Scholar] [CrossRef]
- Jones, R.; Wills, B.; Kang, C. Chlorine Gas: An Evolving Hazardous Material Threat and Unconventional Weapon. West. J. Emerg. Med. 2010, 11, 151–156. [Google Scholar] [PubMed]
- Bonneau, G.; Peru, A.A.M.; Flourat, A.L.; Allais, F. Organic Solvent- and Catalyst-Free Baeyer–Villiger Oxidation of Levoglucosenone and Dihydrolevoglucosenone (Cyrene®): A Sustainable Route to (S)-γ-Hydroxymethyl-α,β-Butenolide and (S)-γ-Hydroxymethyl-γ-Butyrolactone. Green Chem. 2018, 20, 2455–2458. [Google Scholar] [CrossRef]
- Tsai, Y.; Borini Etichetti, C.M.; Cicetti, S.; Girardini, J.E.; Spanevello, R.A.; Suárez, A.G.; Sarotti, A.M. Design, Synthesis and Evaluation of Novel Levoglucosenone Derivatives as Promising Anticancer Agents. Bioorg. Med. Chem. Lett. 2020, 30, 127247. [Google Scholar] [CrossRef] [PubMed]
- Fadlallah, S.; Sinha Roy, P.; Garnier, G.; Saito, K.; Allais, F. Are Lignin-Derived Monomers and Polymers Truly Sustainable? An in-Depth Green Metrics Calculations Approach. Green Chem. 2021, 23, 1495–1535. [Google Scholar] [CrossRef]
- Mackie, W.; Perlin, A.S. Pyranose–Furanose and Anomeric Equilibria: Influence of Solvent and of Partial Methylation. Can. J. Chem. 1966, 44, 2039–2049. [Google Scholar] [CrossRef] [Green Version]
- Slavko, E.; Taylor, M.S. Catalyst-Controlled Polycondensation of Glycerol with Diacyl Chlorides: Linear Polyesters from a Trifunctional Monomer. Chem. Sci. 2017, 8, 7106–7111. [Google Scholar] [CrossRef] [PubMed] [Green Version]
- Kourist, R.; Brundiek, H.; Bornscheuer, U.T. Protein Engineering and Discovery of Lipases. Eur. J. Lipid Sci. Technol. 2010, 112, 64–74. [Google Scholar] [CrossRef]
- Alejandra, R.-C.; Margarita, C.-M.; María Soledad, M.-C. Enzymatic Degradation of Poly(3-Hydroxybutyrate) by a Commercial Lipase. Polym. Degrad. Stab. 2012, 97, 2473–2476. [Google Scholar] [CrossRef]






| Run 1 | Reducing Agent (eq) 2 | Solvent | Time (h) | Product | Yield (%) 3 |
|---|---|---|---|---|---|
| 14 | NaBH4 (2) | THF | 2 | Triol-citro | 54 |
| 2 | NaBH4 (2) | THF | 2 | Triol-citro | 79 |
| 3 | NaBH4 (2) | THF | 3 | Triol-citro | 82 |
| 4 | NaBH4 (2) | 2-MeTHF | 3 | Triol-citro | 35 |
| 5 | NaBH4 (2) | 2-MeTHF | 20 | Triol-citro | 68 |
| 6 | NaBH4 (2) | EtOH | 3 | Triol-citro | 56 |
| 7 | NaBH4 (2) | EtOH | 26 | Triol-citro | 63 |
| 8 4 | DIBAL-H (2) | DCM | 0.5 | Mixture | 44 |
| 9 | DIBAL-H (2.2) | DCM | 0.5 | Mixture | 89 |
| 10 | DIBAL-H (2.2) | 2-MeTHF | 0.5 | Mixture | 41 |
| 11 | DIBAL-H (2.2) | 2-MeTHF | 3 | Mixture | 22 |
![]() | ||||||
|---|---|---|---|---|---|---|
| Run | Polymer | Mn (kDa) 1 | Đ1 | Tg (°C) 2 | Td5% (°C) 3 | Td50% (°C) 4 |
| 1 | P1 | 3.4 | 1.6 | −20 | 142 | 320 |
| 2 | P2 | 2.4 | 1.6 | −22 | 152 | 358 |
| 3 | P3 | 1.8 | 1.3 | −42 | 165 | 388 |
| 4 | P4 | 1.6 | 1.1 | −20 | 170 | 386 |
| Run 1 | Polymer | Mn (kDa) 2 | Tg (°C) 3 | 1H NMR 4 | FTIR 5 |
|---|---|---|---|---|---|
| 1 | P1 | 3.4 | −30 | ✗ | ✗ |
| 2 | P2 | NS 6 | - | - | ✓ |
| 3 | P3 | 0.8 | −22 | ✓ | ✓ |
| 4 | P4 | NS 6 | −14 | ✓ | ✓ |
Publisher’s Note: MDPI stays neutral with regard to jurisdictional claims in published maps and institutional affiliations. |
© 2021 by the authors. Licensee MDPI, Basel, Switzerland. This article is an open access article distributed under the terms and conditions of the Creative Commons Attribution (CC BY) license (https://creativecommons.org/licenses/by/4.0/).
Share and Cite
Kayishaer, A.; Fadlallah, S.; Mouterde, L.M.M.; Peru, A.A.M.; Werghi, Y.; Brunois, F.; Carboué, Q.; Lopez, M.; Allais, F. Unprecedented Biodegradable Cellulose-Derived Polyesters with Pendant Citronellol Moieties: From Monomer Synthesis to Enzymatic Degradation. Molecules 2021, 26, 7672. https://doi.org/10.3390/molecules26247672
Kayishaer A, Fadlallah S, Mouterde LMM, Peru AAM, Werghi Y, Brunois F, Carboué Q, Lopez M, Allais F. Unprecedented Biodegradable Cellulose-Derived Polyesters with Pendant Citronellol Moieties: From Monomer Synthesis to Enzymatic Degradation. Molecules. 2021; 26(24):7672. https://doi.org/10.3390/molecules26247672
Chicago/Turabian StyleKayishaer, Aihemaiti, Sami Fadlallah, Louis M. M. Mouterde, Aurélien A. M. Peru, Yasmine Werghi, Fanny Brunois, Quentin Carboué, Michel Lopez, and Florent Allais. 2021. "Unprecedented Biodegradable Cellulose-Derived Polyesters with Pendant Citronellol Moieties: From Monomer Synthesis to Enzymatic Degradation" Molecules 26, no. 24: 7672. https://doi.org/10.3390/molecules26247672
APA StyleKayishaer, A., Fadlallah, S., Mouterde, L. M. M., Peru, A. A. M., Werghi, Y., Brunois, F., Carboué, Q., Lopez, M., & Allais, F. (2021). Unprecedented Biodegradable Cellulose-Derived Polyesters with Pendant Citronellol Moieties: From Monomer Synthesis to Enzymatic Degradation. Molecules, 26(24), 7672. https://doi.org/10.3390/molecules26247672


