Renewable Schiff-Base Ionic Liquids for Lignocellulosic Biomass Pretreatment
Abstract
1. Introduction
2. Results and Discussion
3. Materials and Methods
3.1. Materials
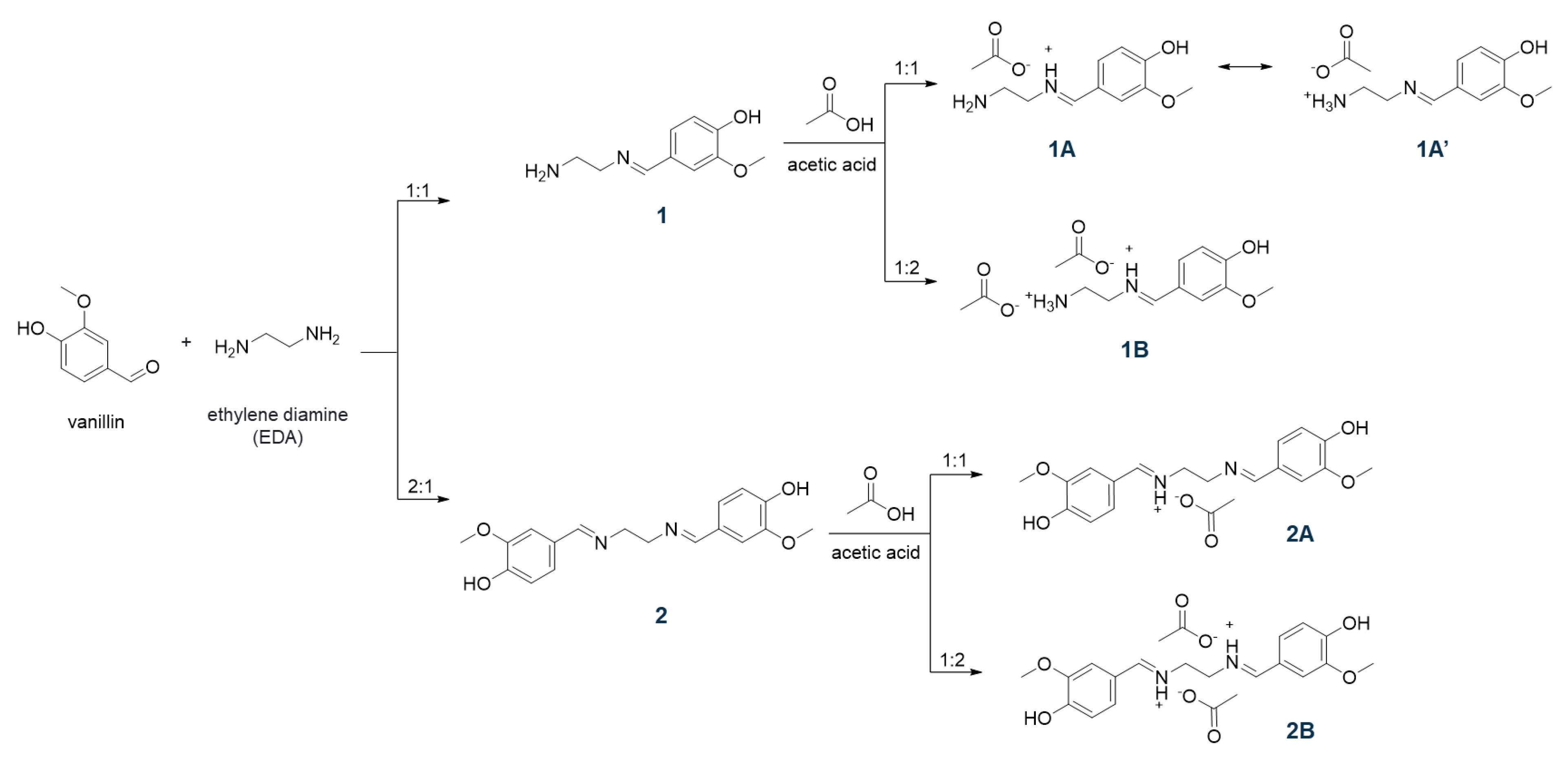
3.2. Syntheses of Schiff Base and Related Ionic Liquids
3.3. Biomass Pretreatment
3.4. Enzymatic Saccharification
3.5. Compositional Analysis
3.6. Powder X-ray Diffraction
3.7. COSMO-RS Details
3.8. FT-IR Analysis
3.9. Thermal Analysis
3.10. HSQC NMR
4. Conclusions
Author Contributions
Funding
Institutional Review Board Statement
Informed Consent Statement
Data Availability Statement
Acknowledgments
Conflicts of Interest
Sample Availability
References
- Alder, C.M.; Hayler, J.D.; Henderson, R.K.; Redman, A.M.; Shukla, L.; Shuster, L.E.; Sneddon, H.F. Updating and further expanding GSK’s solvent sustainability guide. Green Chem. 2016, 18, 3879–3890. [Google Scholar] [CrossRef]
- Holbrey, J.D.; Rogers, R.D. Ionic Liquids in Synthesis; Wasserscheid, P., Welton, T., Eds.; Wiley-VCH Verlag GmbH & Co. KGaA: Weinheim, Germany, 2002; pp. 41–55. [Google Scholar]
- Welton, T. Ionic liquids in Green Chemistry. Green Chem. 2011, 13, 225. [Google Scholar] [CrossRef]
- Shi, R.; Wang, Y. Dual Ionic and Organic Nature of Ionic Liquids. Sci. Rep. 2016, 6, 19644. [Google Scholar] [CrossRef] [PubMed]
- Easton, M.E.; Choudhary, H.; Rogers, R.D. Azolate Anions in Ionic Liquids: Promising and Under-Utilized Components of the Ionic Liquid Toolbox. Chem. A Eur. J. 2018, 25, 2127–2140. [Google Scholar] [CrossRef]
- Plechkova, N.V.; Seddon, K.R. Applications of ionic liquids in the chemical industry. Chem. Soc. Rev. 2007, 37, 123–150. [Google Scholar] [CrossRef]
- Li, K.; Choudhary, H.; Rogers, R.D. Ionic Liquids for Sustainable Processes: Liquid Metal Catalysis. Curr. Opin. Green Sustain. Chem. 2018, 11, 15–21. [Google Scholar] [CrossRef]
- Choudhary, H.; Li, K.; Rogers, R.D. Active Pharmaceutical Ingredient Ionic Liquid: A New Platform for the Pharmaceutical Industry. In Encyclopedia of Ionic Liquids; Zhang, S., Ed.; Springer: Singapore, 2019. [Google Scholar] [CrossRef]
- Van Rantwijk, F.; Sheldon, R.A. Biocatalysis in Ionic Liquids. Chem. Rev. 2007, 107, 2757–2785. [Google Scholar] [CrossRef]
- Choudhary, H.; Berton, P.; Gurau, G.; Myerson, A.S.; Rogers, R.D. Ionic Liquids in Cross-Coupling Reactions:“Liquid” Solutions to a “Solid” Precipitation Problem. Chem. Commun. 2018, 54, 2056–2059. [Google Scholar] [CrossRef]
- Armand, M.; Endres, F.; MacFarlane, D.R.; Ohno, H.; Scrosati, B. Ionic-liquid materials for the electrochemical challenges of the future. Nat. Mater. 2009, 8, 621–629. [Google Scholar] [CrossRef]
- Smiglak, M.; Metlen, A.; Rogers, R.D. The Second Evolution of Ionic Liquids: From Solvents and Separations to Advanced Materials—Energetic Examples from the Ionic Liquid Cookbook. Acc. Chem. Res. 2007, 40, 1182–1192. [Google Scholar] [CrossRef]
- Tanner, E.E. Ionic liquids charge ahead. Nat. Chem. 2022, 14, 842. [Google Scholar] [CrossRef] [PubMed]
- Somers, A.; Howlett, P.; MacFarlane, D.; Forsyth, M. A Review of Ionic Liquid Lubricants. Lubricants 2013, 1, 3–21. [Google Scholar] [CrossRef]
- Hapiot, P.; Lagrost, C. Electrochemical Reactivity in Room-Temperature Ionic Liquids. Chem. Rev. 2008, 108, 2238–2264. [Google Scholar] [CrossRef] [PubMed]
- Usmani, Z.; Sharma, M.; Gupta, P.; Karpichev, Y.; Gathergood, N.; Bhat, R.; Gupta, V.K. Ionic liquid based pretreatment of lignocellulosic biomass for enhanced bioconversion. Bioresour. Technol. 2020, 304, 123003. [Google Scholar] [CrossRef]
- Pham, L.T.M.; Choudhary, H.; Gauttam, R.; Singer, S.W.; Gladden, J.M.; Simmons, B.A.; Singh, S.; Sale, K.L. Revisiting Theoretical Tools and Approaches for the Valorization of Recalcitrant Lignocellulosic Biomass to Value-Added Chemicals. Front. Energy Res. 2022, 10, 863153. [Google Scholar] [CrossRef]
- Tadesse, H.; Luque, R. Advances on biomass pretreatment using ionic liquids: An overview. Energy Environ. Sci. 2011, 4, 3913–3929. [Google Scholar] [CrossRef]
- Halder, P.; Kundu, S.; Patel, S.; Setiawan, A.; Atkin, R.; Parthasarthy, R.; Paz-Ferreiro, J.; Surapaneni, A.; Shah, K. Progress on the pre-treatment of lignocellulosic biomass employing ionic liquids. Renew. Sustain. Energy Rev. 2019, 105, 268–292. [Google Scholar] [CrossRef]
- Zhang, J.; Zou, D.; Singh, S.; Cheng, G. Recent developments in ionic liquid pretreatment of lignocellulosic biomass for enhanced bioconversion. Sustain. Energy Fuels 2021, 5, 1655–1667. [Google Scholar] [CrossRef]
- Roy, S.; Chundawat, S.P.S. Ionic Liquid–Based Pretreatment of Lignocellulosic Biomass for Bioconversion: A Critical Review. BioEnerg. Res. 2022, 1–16. [Google Scholar] [CrossRef]
- Pandey, M.P.; Kim, C.S. Lignin Depolymerization and Conversion: A Review of Thermochemical Methods. Chem. Eng. Technol. 2011, 34, 29–41. [Google Scholar] [CrossRef]
- Pearl, I.A. Vanillin from Lignin Materials. J. Am. Chem. Soc. 1942, 64, 1429–1431. [Google Scholar] [CrossRef]
- Sun, Z.; Fridrich, B.; de Santi, A.; Elangovan, S.; Barta, K. Bright Side of Lignin Depolymerization: Toward New Platform Chemicals. Chem. Rev. 2018, 118, 614–678. [Google Scholar] [CrossRef] [PubMed]
- Chio, C.; Sain, M.; Qin, W. Lignin utilization: A review of lignin depolymerization from various aspects. Renew. Sustain. Energy Rev. 2019, 107, 232–249. [Google Scholar] [CrossRef]
- Socha, A.M.; Parthasarathi, R.; Shi, J.; Pattathil, S.; Whyte, D.; Bergeron, M.; George, A.; Tran, K.; Stavila, V.; Venkatachalam, S.; et al. Efficient biomass pretreatment using ionic liquids derived from lignin and hemicellulose. Proc. Natl. Acad. Sci. USA 2014, 111, E3587–E3595. [Google Scholar] [CrossRef] [PubMed]
- Keim, M.; Kratzer, P.; Derksen, H.; Isakov, D.; Maas, G. Terminal Acetylenic Iminium Salts—Synthesis and Reactivity. Eur. J. Org. Chem. 2019, 2019, 826–844. [Google Scholar] [CrossRef]
- Wilhelm, R. The role of iminium salts, imines and related compounds in chemistry. Z. Nat. 2018, 73, 429. [Google Scholar] [CrossRef]
- Shimizu, M.; Hachiya, I.; Mizota, I. Conjugated imines and iminium salts as versatile acceptors of nucleophiles. Chem. Commun. 2009, 874–889. [Google Scholar] [CrossRef]
- Schiff, H. Mittheilungen aus dem Universitäts-laboratorium in Pisa: 2. Eine neue Reihe organischer Basen [Communications from the university laboratory in Pisa: 2. A new series of organic bases]. Annalen der Chemie und Pharmacie (in German). Justus Liebigs Ann. Der Chem. 1864, 131, 118–119. [Google Scholar] [CrossRef]
- Shamshina, J.L.; Wineinger, H.B.; Choudhary, H.; Vaid, T.P.; Kelley, S.P.; Rogers, R.D. Confusing Ions on Purpose: How Many Parent Acid Molecules Can Be Incorporated in a Herbicidal Ionic Liquid? ACS Sustain. Chem. Eng. 2021, 9, 1941–1948. [Google Scholar] [CrossRef]
- Choudhary, H.; Pernak, J.; Shamshina, J.L.; Niemczak, M.; Giszter, R.; Chrzanowski, Ł.; Praczyk, T.; Marcinkowska, K.; Cojocaru, O.A.; Rogers, R.D. Two herbicides in a single compound: Double salt herbicidal ionic liquids exemplified with glyphosate, dicamba, and MCPA. ACS Sustain. Chem. Eng. 2017, 5, 6261–6273. [Google Scholar] [CrossRef]
- Ambasta, B.K. Chemistry for Engineers, 4th ed.; University Science Press: India, 2012; p. 295. [Google Scholar]
- Yoo, C.G.; Pu, Y.; Ragauskas, A.J. Ionic liquids: Promising green solvents for lignocellulosic biomass utilization. Curr. Opin. Green Sustain. Chem. 2017, 5, 5–11. [Google Scholar] [CrossRef]
- van Osch, D.J.G.P.; Kollau, L.J.B.M.; van den Bruinhorst, A.; Asikainen, S.; Rocha, M.A.A.; Kroon, M.C. Ionic liquids and deep eutectic solvents for lignocellulosic biomass fractionation. Phys. Chem. Chem. Phys. 2017, 19, 2636–2665. [Google Scholar] [CrossRef] [PubMed]
- Xu, F.; Sun, J.; Konda, N.V.S.N.M.; Shi, J.; Dutta, T.; Scown, C.D.; Simmons, B.A.; Singh, S. Transforming biomass conversion with ionic liquids: Process intensification and the development of a high-gravity, one-pot process for the production of cellulosic ethanol. Energy Environ. Sci. 2016, 9, 1042–1049. [Google Scholar] [CrossRef]
- Sun, J.; Konda, N.V.S.N.M.; Shi, J.; Parthasarathi, R.; Dutta, T.; Xu, F.; Scown, C.D.; Simmons, B.A.; Singh, S. CO2 enabled process integration for the production of cellulosic ethanol using bionic liquids. Energy Environ. Sci. 2016, 9, 2822–2834. [Google Scholar] [CrossRef]
- Sun, N.; Parthasarathi, R.; Socha, A.M.; Shi, J.; Zhang, S.; Stavila, V.; Sale, K.L.; Simmons, B.A.; Singh, S. Understanding pretreatment efficacy of four cholinium and imidazolium ionic liquids by chemistry and computation. Green Chem. 2014, 16, 2546–2557. [Google Scholar] [CrossRef]
- Yao, A.; Choudhary, H.; Mohan, M.; Rodriguez, A.; Magurudeniya, H.; Pelton, J.G.; George, A.; Simmons, B.A.; Gladden, J.M. Can Multiple Ions in an Ionic Liquid Improve the Biomass Pretreatment Efficacy? ACS Sustain. Chem. Eng. 2021, 9, 4371–4376. [Google Scholar] [CrossRef]
- Choudhary, H.; Simmons, B.A.; Gladden, J.M. Comparative Study on the Pretreatment of Aspen and Maple With 1-Ethyl-3-methylimidazolium Acetate and Cholinium Lysinate. Front. Energy Res. 2022, 10, 868181. [Google Scholar] [CrossRef]
- Sun, J.; Konda, N.V.S.N.M.; Parthasarathi, R.; Dutta, T.; Valiev, M.; Xu, F.; Simmons, B.A.; Singh, S. One-pot integrated biofuel production using low-cost biocompatible protic ionic liquids. Green Chem. 2017, 19, 3152–3163. [Google Scholar] [CrossRef]
- Liu, Y.-R.; Thomsen, K.; Nie, Y.; Zhang, S.-J.; Meyer, A.S. Predictive screening of ionic liquids for dissolving cellulose and experimental verification. Green Chem. 2016, 18, 6246–6254. [Google Scholar] [CrossRef]
- Casas, A.; Palomar, J.; Alonso, M.V.; Oliet, M.; Omar, S.; Rodriguez, F. Comparison of lignin and cellulose solubilities in ionic liquids by COSMO-RS analysis and experimental validation. Ind. Crops Prod. 2012, 37, 155–163. [Google Scholar] [CrossRef]
- Yang, Y.; Sharma-Shivappa, R.; Burns, J.C.; Cheng, J.J. Dilute Acid Pretreatment of Oven-dried Switchgrass Germplasms for Bioethanol Production. Energy Fuels 2009, 23, 3759–3766. [Google Scholar] [CrossRef]
- Shi, J.; Ebrik, M.A.; Wyman, C.E. Sugar yields from dilute sulfuric acid and sulfur dioxide pretreatments and subsequent enzymatic hydrolysis of switchgrass. Biores. Technol. 2011, 102, 8930–8938. [Google Scholar] [CrossRef] [PubMed]
- Li, C.; Knierim, B.; Manisseri, C.; Arora, R.; Scheller, H.V.; Auer, M.; Vogel, K.P.; Simmons, B.A.; Singh, S. Comparison of dilute acid and ionic liquid pretreatment of switchgrass: Biomass recalcitrance, delignification and enzymatic saccharification. Biores. Technol. 2010, 101, 4900–4906. [Google Scholar] [CrossRef]
- Torr, K.M.; Love, K.T.; Simmons, B.A.; Hill, S.A. Structural features affecting the enzymatic digestibility of pine wood pretreated with ionic liquids. Biotechnol. Bioeng. 2016, 113, 540–549. [Google Scholar] [CrossRef] [PubMed]
- Jensen, A.; Cabera, Y.; Hsieh, C.W.; Nielsen, J.; Ralph, J.; Felby, C. 2D NMR characterization of wheat straw residual lignin after dilute acid pretreatment with different severities. Holzforschung 2017, 71, 461–469. [Google Scholar] [CrossRef]
- Vanholme, R.; Demedts, B.; Morreel, K.; Ralph, J.; Boerjan, W. Lignin biosynthesis and structure. Plant Phys. 2010, 153, 895–905. [Google Scholar] [CrossRef]
- Abu-Omar, M.M.; Barta, K.; Beckham, G.T.; Luterbacher, J.S.; Ralph, J.; Rinaldi, R.; Román-Leshkov, Y.; Samec, J.S.M.; Sels, B.F.; Wang, F. Guidelines for performing lignin-first biorefining. Energy Environ. Sci. 2021, 14, 262–292. [Google Scholar] [CrossRef]
- Sluiter, A.; Hames, B.; Ruiz, R.; Scarlata, C.; Sluiter, J.; Templeton, D.; Crocker, D. Determination of structural carbohydrates and lignin in biomass. Lab. (NREL) Anal. Proced. 2010, TP-510-42618. [Google Scholar]
- Park, S.; Baker, J.O.; Himmel, M.E.; Parilla, P.A.; Johnson, D.K. Cellulose crystallinity index: Measurement techniques and their impact on interpreting cellulase performance. Biotechnol. Biofuels 2010, 3, 10. [Google Scholar] [CrossRef]
- Hanwell, M.D.; Curtis, D.E.; Lonie, D.C.; Vandermeersch, T.; Zurek, E.; Hutchison, G.R. Avogadro: An advanced semantic chemical editor, visualization, and analysis platform. J. Cheminformatics 2012, 4, 17. [Google Scholar] [CrossRef]
- Frisch, M.J.; Trucks, G.W.; Schlegel, H.B.; Scuseria, G.E.; Robb, M.A.; Cheeseman, J.R.; Scalmani, G.; Barone, V.; Mennucci, B.; Petersson, G.A.; et al. Gaussian 09 Revision D.01; Gaussian Inc.: Wallingford, UK, 2009. [Google Scholar]
- Zhang, Y.; He, H.; Dong, K.; Fan, M.; Zhang, S. A DFT study on lignin dissolution in imidazolium-based ionic liquids. RSC Adv. 2017, 7, 12670–12681. [Google Scholar] [CrossRef]
- Gonzalez-Miquel, M.; Massel, M.; DeSilva, A.; Palomar, J.; Rodriguez, F.; Brennecke, J.F. Excess enthalpy of monoethanolamine + ionic liquid mixtures: How good are COSMO-RS predictions? J. Phys. Chem. B 2014, 118, 11512–11522. [Google Scholar] [CrossRef] [PubMed]
- Mohan, M.; Goud, V.V.; Banerjee, T. Solubility of glucose, xylose, fructose and galactose in ionic liquids: Experimental and theoretical studies using a continuum solvation model. Fluid Phase Equilibr. 2015, 395, 33–43. [Google Scholar] [CrossRef]
- Eckert, F.; Klamt, A. Fast solvent screening via quantum chemistry: COSMO-RS approach. AIChE J. 2002, 48, 369–385. [Google Scholar] [CrossRef]
- Kurnia, K.A.; Pinho, S.P.; Coutinho, J.A.P. Evaluation of the Conductor-like Screening Model for Real Solvents for the prediction of the water activity coefficient at infinite dilution in ionic liquids. Ind. Eng. Chem. Res. 2014, 53, 12466–12475. [Google Scholar] [CrossRef]
- Eckert, F.; Klamt, A. COSMOtherm, Version C3.0 Release 19.0.1; COSMOlogic GmbH & Co KG: Leverkusen, Germany, 2019. [Google Scholar]








| Ionic Liquid | Before PT | After PT | Solid Recovery (%) | Sugar Release (%) | |
|---|---|---|---|---|---|
| Glucose | Xylose | ||||
| 1A | ![]() | ![]() | 87.0 ± 0.96 | 69.2 ± 1.6 | 63.2 ± 1.4 |
| 2A | ![]() | ![]() | 83.7 ± 1.22 | 34.3 ± 0.6 | 33.4 ± 0.3 |
| 1B | ![]() | ![]() | 83.8 ± 2.33 | 70.0 ± 0.1 | 70.5 ± 1.9 |
| 2B | ![]() | ![]() | 83.4 ± 1.98 | 87.0 ± 3.6 | 76.1 ± 1.1 |
Publisher’s Note: MDPI stays neutral with regard to jurisdictional claims in published maps and institutional affiliations. |
© 2022 by the authors. Licensee MDPI, Basel, Switzerland. This article is an open access article distributed under the terms and conditions of the Creative Commons Attribution (CC BY) license (https://creativecommons.org/licenses/by/4.0/).
Share and Cite
Choudhary, H.; Pidatala, V.R.; Mohan, M.; Simmons, B.A.; Gladden, J.M.; Singh, S. Renewable Schiff-Base Ionic Liquids for Lignocellulosic Biomass Pretreatment. Molecules 2022, 27, 6278. https://doi.org/10.3390/molecules27196278
Choudhary H, Pidatala VR, Mohan M, Simmons BA, Gladden JM, Singh S. Renewable Schiff-Base Ionic Liquids for Lignocellulosic Biomass Pretreatment. Molecules. 2022; 27(19):6278. https://doi.org/10.3390/molecules27196278
Chicago/Turabian StyleChoudhary, Hemant, Venkataramana R. Pidatala, Mood Mohan, Blake A. Simmons, John M. Gladden, and Seema Singh. 2022. "Renewable Schiff-Base Ionic Liquids for Lignocellulosic Biomass Pretreatment" Molecules 27, no. 19: 6278. https://doi.org/10.3390/molecules27196278
APA StyleChoudhary, H., Pidatala, V. R., Mohan, M., Simmons, B. A., Gladden, J. M., & Singh, S. (2022). Renewable Schiff-Base Ionic Liquids for Lignocellulosic Biomass Pretreatment. Molecules, 27(19), 6278. https://doi.org/10.3390/molecules27196278









