Abstract
This study of the interaction system of binucleophilic 3-substituted 4-amino-4H-1,2,4-triazole-5-thiols and 3-phenyl-2-propynal made it possible to develop a new approach to synthesis of such isomeric classes as 7-benzylidene-[1,2,4]triazolo[3,4-b][1,3,4]thiadiazine and 8-phenyl-[1,2,4]triazolo[3,4-b][1,3,4]thiadiazepine. Among the 20 compounds studied in vitro against influenza A/Puerto Rico/8/34 (H1N1) virus, half of them demonstrated selectivity index (SI) of 10 or higher and one of them (4-((3-phenylprop-2-yn-1-yl)amino)-4H-1,2,4-triazole-3-thiol) possessed the highest (SI > 300). Docking results and values showed that the preferred interactant for our ligands was M2 proton channel of the influenza A virus. Protein-ligand interactions modeling showed that the aliphatic moiety of ligands could negatively regulate target activity level.
1. Introduction
The importance of the development of new anti-viral drugs, as a rule, is determined by the ability of viruses to elude the immune response of the body and develop drug-resistant strains [1]. In the past 15 years, the world has been shaken by such pandemic dangerous viruses as the Ebola virus [2], Zika virus [3], influenza A virus [4,5] and coronavirus (SARS-CoV-2) [6,7]. Our attention was drawn to the influenza A (H1N1) virus, which is one of the most dangerous due to its rapid mutation [8].
The problem of drugs’ availability against various influenza viruses can be solved by the efficiency of the search for new drugs, among which are known heterocyclic compounds of a series of azoles and azines (Figure 1) containing exo- and endocyclic sulfur atoms [9,10,11,12].
Figure 1.
Active pharmaceutical ingredients of drugs used in influenza chemotherapy.
In this regard, it was of great interest to synthesize and study the anti-viral activity of annelated heterocyclic systems containing 1,2,4-triazolyl and thiadiazine or thiadiazepine moieties (Figure 2). Such compounds have attracted the attention of researchers with their reactivity and biological activity [13,14,15,16,17,18,19,20,21,22,23,24,25]. At the same time, data on their anti-viral activity are limited [26,27,28].
Figure 2.
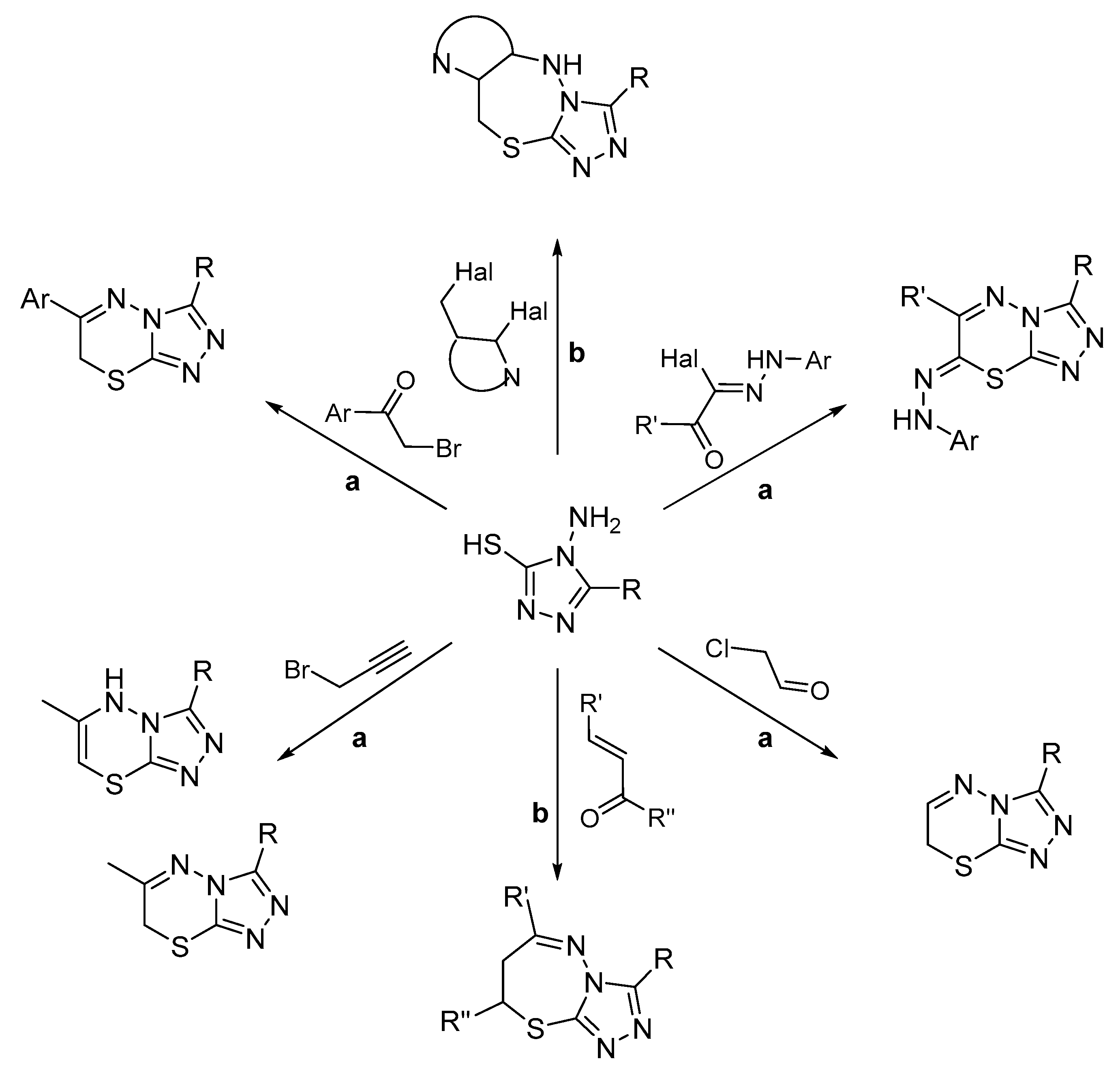
Target compounds: 3-substituted (Z)-7-benzylidene-7H-[1,2,4]triazolo[3,4-b][1,3,4]thiadiazines 6, 3-substituted (Z)-7-benzylidene-6,7-dihydro-5H-[1,2,4]triazolo[3,4-b][1,3,4]thiadiazines 8, 3-substituted 8-phenyl-[1,2,4]triazolo[3,4-b][1,3,4]thiadiazepines 7 and 3-substituted 8-phenyl-5,6-dihydro-[1,2,4]triazolo[3,4-b][1,3,4]thiadiazepines 10.
A major part of our work has been the development of new routes for the synthesis of target compounds (Figure 2).
The most common synthesis methods include the interaction of 4-amino-4H-1,2,4-triazole-3-thiol with bielectrophiles such as phenacyl bromides [29,30], hydrazonoyl halides [31], chloroacetaldehyde [32], propargyl bromide [33] to produce [1,2,4]triazolo[3,4-b][1,3,4]thiadiazines [34] and α,β-ethylene ketones [25], α,γ-dihalogen derivatives [23] to produce [1,2,4]triazolo[3,4-b][1,3,4]thiadiazepines (Figure 3). However, the use of a triple bond for cyclization at the mercapto group of 4-amino-4H-1,2,4-triazole-3-thiol to produce [1,2,4]triazolo[3,4-b][1,3,4]thiadiazines has not been previously studied.
Figure 3.
The most common synthetic routes for target compounds: (a) [1,2,4]triazolo[3,4-b][1,3,4]thiadiazines and (b) [1,2,4]triazolo[3,4-b][1,3,4]thiadiazepines.
We proposed a new synthesis route based on the interaction of 3-phenyl-2-propynal 3 and 3-substituted 4-amino-4H-1,2,4-triazole-5-thiols 4 to obtain both triazolothiadiazines 6, 8 and triazolothiadiazepines 7, 10 (Figure 4). A more detailed analysis of the synthesis pathways is presented in the discussion of the results.
Figure 4.
The proposed synthetic routes for target compounds: [1,2,4]triazolo[3,4-b][1,3,4]thiadiazines 6, 8 and [1,2,4]triazolo[3,4-b][1,3,4]thiadiazepines 7, 10.
In the present work, the synthesized compounds were studied in vitro against the influenza A/Puerto Rico/8/34 (H1N1) virus to determine their ability to effectively block the active site of the M2 protein and inhibit the neuraminidase enzyme. To establish a preliminary structure–activity relationship, the in vitro activity obtained was validated using the Schrodinger Suite 2022-2 program.
2. Results and Discussion
2.1. Chemistry
2.1.1. Synthesis of Target Compounds
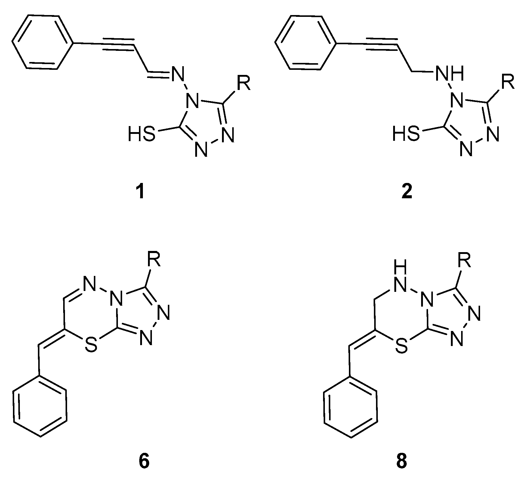
5-substituted 4-((3-phenylprop-2-yn-1-ylidene)amino)-4H-1,2,4-triazol-3-thiols 1 and 5-substituted 4-((3-phenylprop-2-yn-1-yl)amino)-4H-1,2,4-triazole-3-thiols 2 were chosen as models (Figure 5), since it is well known that thiols undergo nucleophilic addition to triple bond:
Figure 5.
Model (1, 2) and target (6, 8) compounds: 5-substituted 4-((3-phenylprop-2-yn-1-ylidene)amino)-4H-1,2,4-triazol-3-thiols 1 and 5-substituted 4-((3-phenylprop-2-yn-1-yl)amino)-4H-1,2,4-triazole-3-thiols 2, 3-substituted (Z)-7-benzylidene-7H-[1,2,4]triazolo[3,4-b][1,3,4]thiadiazines 6, 3-substituted (Z)-7-benzylidene-6,7-dihydro-5H-[1,2,4]triazolo[3,4-b][1,3,4]thiadiazines 8.
Azomethines 1 are formally the condensation products of 3-phenyl-2-propynal 3 and 4-amino-4H-1,2,4-triazole-3-thiols 4. However, prior to our studies, only one article on the interaction of these reagents was published [35]. As a result of the reactions, triazolothiadiazepines 5 in refluxing ethanol were obtained (Scheme 1).
Scheme 1.
Methodical synthesis of triazolothiadiazepines 5.
We succeeded in preparing model compounds 1 under milder conditions (room temperature) using TsOH as a catalyst (we reported earlier about compound 1b synthesis [36]) (Scheme 2). Compound 1d was used in situ without further isolation.
Scheme 2.
Synthesis of aldimines 1a–d.
The cyclization of aldimine 1a was carried out in acetonitrile at room temperature (Scheme 3). In the case of using 50% potassium hydroxide solution as a catalyst, polymerization occurred and a dark viscous liquid was formed. At the same time, when using twofold molar excess of triethylamine, the reaction was completed in 2 h with the formation of a mixture of two substances. According to the NMR spectrum data, we unambiguously identified the structures as 6a and 7a in a ratio of 1:4, respectively:
Scheme 3.
Cyclization attempt of compound 1a.
The predominant formation of triazolothiadiazepine 7a most likely occurs due to the polarization of conjugated multiple bonds system, resulting in the formation of a significant partial positive charge on the fourth atom of the azaenyne system of compound 1a (Figure 6).
Figure 6.
Polarization of the conjugate system of the compound 1a.
The obtained preliminary result showed the unacceptability of this method as synthetic due to the formation of a mixture of isomers 6a and 7a.
Primary information on the cyclization of 5-substituted 4-((3-phenylprop-2-yn-1-yl)amino)-4H-1,2,4-triazole-3-thiols 2 was obtained using compound 2a. Compounds 2 themselves were synthesized by hydrogenation of the azomethine fragment of aldimines 1 using sodium borohydride in methanol (Scheme 4).
Scheme 4.
Synthesis of amines 2a–d.
Cyclization of α,β-acetylenic amine 2a was carried out in DMF at 100 °C for 2 h using two drops of 50% aqueous potassium hydroxide solution as a catalyst (Scheme 5). As a result, 7-benzylidene-6,7-dihydro-5H-[1,2,4]triazolo[3,4-b][1,3,4]thiadiazine 8a was obtained in high yield.
Scheme 5.
Synthesis of triazolothiadiazines 8a–d.
The cyclization of compounds 2b–d was carried out under the same conditions and led to the formation of the corresponding triazolothiadiazines 8b–d. When trying to use triethylamine as a catalyst, no cyclization was indicated, and in the case of using a) a molar excess of potassium carbonate or b) an equimolar amount of potassium hydroxide, polymerization of the starting material was observed.
Due to the impracticality of obtaining 3-substituted 7-benzylidene-7H-[1,2,4]triazolo[3,4-b][1,3,4]thiadiazines 6 by cyclization of the corresponding α,β-acetylenic aldimines 1, we assumed the possibility of their synthesis by dehydrogenation of the C-N bond of the thiadiazine moiety of compounds 8 (Scheme 6). To implement this assumption, active manganese dioxide was chosen.
Scheme 6.
Synthesis of triazolothiadiazines 6a–d.
The reaction was carried out with efficient stirring in refluxing acetonitrile in the presence of active MnO2 for 5–6 h. The reaction progress was monitored by TLC, and the yields were 85–91%.
We also demonstrated the possibility of synthesizing 3-substituted 7-benzylidene-6,7-dihydro-5H-[1,2,4]triazolo[3,4-b][1,3,4]thiadiazines 8a–d by hydrogenation 3-substituted 7-benzylidene-7H-[1,2,4]triazolo[3,4-b][1,3,4]thiadiazines 6a–d (Scheme 7). Compounds 8a-d were obtained in high yields of 85–89%.
Scheme 7.
Principle synthesis of triazolothiadiazines 8a–d from triazolothiadiazines 6a–d.
We also managed to obtain compounds 6a–d by counter synthesis according to the existing procedure [22]. Samples synthesized by oxidation of compounds 8 and using 2-bromocinnamic aldehyde (Scheme 8) had identical melting points and spectral characteristics. Mixing testing did not give any depression of the melting point.
Scheme 8.
Counter synthesis of triazolothiadiazines 6a–d from α-bromocinnamic aldehyde.
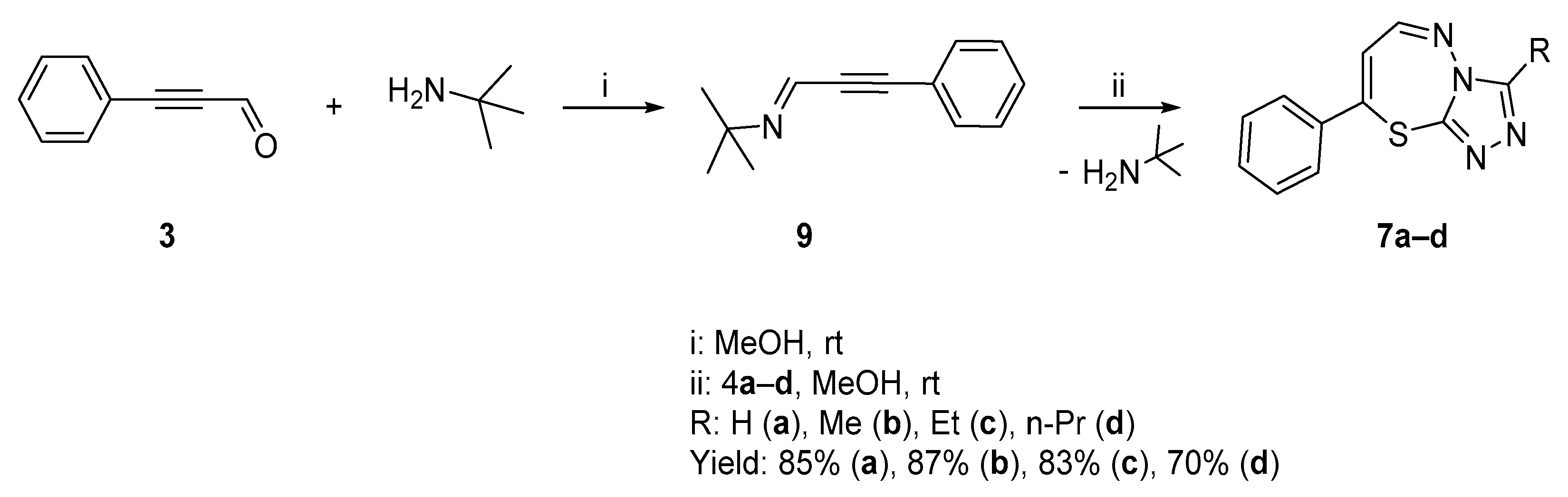
Previously, we obtained 8-phenyl-[1,2,4]triazolo[3,4-b][1,3,4]thiadiazepines 7a–b from 3-phenyl-2-propynal 3 and 4-amino-4H-1,2,4-triazole-5-thiols 4a–b using tert-butylamine under mild conditions—at room temperature [37]. tert-Butylamine was added to 3-phenyl-2-propynal 3. Additionally, 3-substituted 4-amino-4H-1,2,4-triazole-5-thiols 4a–d was added to a solution of the resulting azomethine 9, which led to the formation of 3-substituted 8-phenyl-[1,2,4]triazolo[3,4-b][1,3,4]thiadiazepines 7a–d (Scheme 9).
Scheme 9.
Synthesis of triazolothiadiazepines 7a–d.
The formation of the individual compound thiadiazepine 7 can be explained by the initial attack by the sulfur atom of aminotriazolthiol 4 on the carbon atom (having a partial positive charge) of the protonated conjugated system of azomethine 9, followed by the substitution of tert-butylamine by the amino group of intermediate 9a (Figure 7).
Figure 7.
Proposed reaction mechanism for the formation of triazolothiadiazepines 7.
The reaction temperature decrease from 78 °C (in the case of using 3-phenyl-2-propynal [35]) to room temperature can be explained by the protonation of the nitrogen atom of azomethine 9 with triazolylthiol 4 at the prereaction stage (Figure 7).
Compounds 7a–d were treated with sodium borohydride to give 3-substituted 8-phenyl-5,6-dihydro-[1,2,4]triazolo[3,4-b][1,3,4]thiadiazepines 10a–d (Scheme 10).
Scheme 10.
Synthesis of triazolothiadiazepines 10a–d.
2.1.2. Structural Analysis
Compounds 6 and 8 can exist as Z- or E-isomers. To determine the structure, we used X-ray diffraction analysis. By this method, the spatial structures of compounds 6a, 7c, 8a, 8c and 10a were recorded in solid state. The data unambiguously interpreted the structure of compounds 6 and 8 as Z-isomers. The structures of compounds 6a, 7c, 8a, 8c, 10a are shown in the Figure 8; Table 1 presents the crystal data for 6a, 7c, 8a, 8c, 10a.
Figure 8.
Structures of the compounds (a) 6a; (b) 8a; (c) 8c; (d) 7c; (e) 10a.
Table 1.
Crystal data and structure refinement for 6a, 7c, 8a, 8c and 10a.
2.2. In Vitro Experiments
As shown earlier, heterocyclic nitrogen-containing compounds with exo- and endocyclic sulfur atoms (Figure 1) have attracted the attention of researchers as compounds with potential activity against various influenza viruses. These types include azomethines 1 and amines 2, which are precursors for target [1,2,4]triazolo[3,4-b][1,3,4]thiadiazines 6 and 8. Therefore, the need to study these, as well as target compounds, for activity against influenza virus A/Puerto Rico/8/34 (H1N1) was obvious. The results of our assessment of the cytotoxic and anti-viral activity of compounds are summarized in Table 2.
Table 2.
Cytotoxic and anti-viral properties of synthesized compounds 1a–c, 2a–d, 6a–d, 7a–d, 8a–d, 10a–d according to in vitro tests against influenza virus A/Puerto Rico/8/34 in MDCK cells.
The compounds of the chemical library studied were of relatively low toxicity. Indeed, only one of 20 compounds tested (7c) had CC50 of one-digit micromoles. Nine compounds (2a–b, 6d, 8a–d, 10a–b) did not demonstrate cytotoxicity, even at the highest concentration used (300 μg/mL, 1100–1300 μM).
Additionally, 10 out of 20 compounds (50%) (1c, 2a–c, 6a, 6d, 8a, 8c–d, 10b) tested against influenza virus demonstrated SI values of 11 and more. As follows from the presented results, compounds 1a–1c were relatively toxic and of low activity. Although their IC50′s values were 11–25 μM, only one of them (compound 1c) demonstrated a selectivity index higher than 10 due to relatively high toxicity. Hydrogenation of the azomethine fragment of aldimines 1 resulted in the appearance of secondary nitrogen (compounds 2) and sharp increase of virus-suppressing properties. This was due to both a decrease of toxicity (2a, 2b) and, in the case of 2a, an increase of activity in the single-digit micromolar range. Among all compounds tested, 2a was the most promising (CC50 > 1300 μM, IC50 4.3 μM, SI > 300). The nature of R was shown to be critical for anti-viral activity, as it decreased with R extension (H > Et > Me > n-Pr).
Cyclization of compounds 2a–2d resulted in derivatives 6a–6d with decreases in anti-viral efficacy. In contrast to 2a–2d, n-propyl-bearing 6d was of the highest activity (CC50 > 1100 μM, IC50 34 μM, SI > 33) suggesting that the effect of R depended on the surrounding molecular context.
When comparing the analogs with secondary and tertiary nitrogen, it should be concluded that in the case of six-membered heterocycles (6a–d vs. 8a–d), hydrogenation of the C=N bond of the azomethine moiety resulted in slight decreases of the compounds’ toxicity and did not substantially change their virus-inhibiting activity. In contrast, in the case of seven-membered rings (7a–d vs. 10a–d), hydrogenation of the C=N bond of the azomethine moiety led to a sharp decrease of toxicity. Based on the obtained results, no conclusion could be made about the effect of the state of the atom N in the thiadiazine and thiadiazepine moieties on anti-viral activity; further studies would be needed to clarify the role of N state in biological activity and anti-viral perspectives of this class of compounds.
2.3. Activity Validation and Target Affinity Prediction
Docking results and values showed that the preferred interactant for our ligands was the M2 channel. All ligands showed better GlideScore values in the M2 proton channel (Table 3). Predicted affinity to neuraminidase for all ligands was significantly lower than control compound (oseltamivir).
Table 3.
Glide score values and MM-GBSA free energy components calculated for best-fitting binding poses of observed ligands in comparison with IC50 values.
In case of M2 channel IC50 values and scoring function, they did not correlate. We were unable to differentiate true/false positive results by GlideScore only (Table 3). Compounds with decreased activity level, such as 8b or 10a, had equal or better GlideScore values than active structures 1a or 2a. Thus, it was decided, for optimally clustered docking solutions, to calculate the free energy parameters and its components using the MM-GBSA method.
As a result, a correlation was established with the parameter of lipophilic interactions free energy and strained contacts energy with the M2 protein (channel). The first type of interaction is responsible by site-specific recognition and binding, the second type can describe interaction-induced strained contacts in protein-ligand complexes.
Thus, in a series of compounds 1a–c, the growth of a substituent in triazole core (H→Et) led to increased activity levels due to stimulation of lipophilic interactions—and, as follows, lipophilic binding free energy was lower for 1c (Table 3).
At the same time, it should be noted that in the case of 1c, the scaffold was rotated in such a way that the ethyl substituent was oriented towards Leu36/38 (Figure 9), which was confirmed by a decrease in the free energy of lipophilic contacts. Increased strain energy was associated here with change in the torsion angle between triazole scaffold and imine moiety.
Figure 9.
Binding poses of (a) 1a and (b) 1c in M2 channel active cavity; orange dashed line: strained protein-ligand contact, blue dashed line: pi-stacking interaction.
In series 2a–d, we were able to observe serious changes in binding mode patterns. The extension of aliphatic substituent in triazole core possessed a negative role. For example, in case of compound 2d, n-Pr substituent was oversized and led to the growth of strained contacts energy (Figure 10b, showed by an arrow, energy’s shown in Table 3). When passing to a series of compounds 8a–d, the trend was preserved. With growth of the aliphatic substituent size, we observed activity diminution and increased strained contacts energy (Figure 10d). This phenomenon as associated with the influence of the lipophilic contact strength of compound 8d with Ala27 in chains A–D of M2 channel. This interaction led to penetration of the ligand deeper into the proton channel and stimulated growth of strained contacts with other residues, which was energetically unfavorable.
Figure 10.
Binding poses of (a) 2a; (b) 2d; (c) 8a and (d) 8d in M2 channel active cavity, orange dashed line—strained protein-ligand contact (highlighted by red arrow), blue dashed line—pi-stacking interaction.
All modeling procedures allowed us to conclude that the aliphatic substituent in the ligand structure was able to act as a steric key. This key can regulate activity profiles, dependent on scaffold structure, via balance between lipophilic contacts and strained contacts with M2 channel.
3. Materials and Methods
3.1. General Information
IR spectra were recorded on an IR Affinity-1 Fourier transform spectrometer for studies in the mid-IR range in KBr pellets. 1H and 13C NMR spectra (400 and 101 MHz, respectively) were acquired on a Bruker Avance III HD 400 NanoBay spectrometer in DMSO-d6, using the signals of the deuterated solvent DMSO-d6 as internal standard (the NMR spectra of the synthesized compounds are depicted in Supplementary Materials). High resolution mass spectra (electrospray ionization) were performed on a Shimadzu Nexera X2 LCMS-9030 liquid hybrid quadrupole time-of-flight mass spectrometer and Bruker micrOTOF. High performance liquid chromatography–high resolution mass spectrometry (HPLC-MS-HR) results were obtained on a Prominence LC-20 HPLC system (Shimadzu, Japan) in combination with an LTQ Orbitrap XL mass spectrometer (Thermo Fisher Scientific, Waltham, MA, USA) using electrospray ionization. Melting points were determined on a Büchi M-560 apparatus with a heating rate of 1 °C/min in the melting range. Monitoring of the reaction progress was done by TLC on Merck Kieselgel 60 F254 plates. Analytical grade solvents were used without additional purification.
3.2. Synthesis
General procedure for the synthesis of 5-substituted 4-((3-phenylprop-2-yn-1-ylidene)amino)-4H-1,2,4-triazole-3-thiols (1a–c).
First, 5-substituted 4-amino-4H-1,2,4-triazole-3-thiol 4a–c (17.2 mmol) was dissolved under heating (60 °C) in isopropanol (20 mL). A catalytic amount of p-toluenesulfonic acid and 3-phenyl-2-propynal 3 (17.2 mmol) were added. Upon cooling to room temperature, a precipitate began to form. The reaction mixture was left overnight in the freezer, then filtered. The resulting compounds were characterized and used without further purification.
4-((3-phenylprop-2-yn-1-ylidene)amino)-4H-1,2,4-triazole-3-thiol 1a. Yield 57%. Light yellow powder; mp 140–141 °C. IR (KBr), ν, cm−1: 1489 (Ph), 2201 (C≡C), 2349 (SH). 1H NMR (DMSO-d6), δ, ppm: 7.42–7.64 (3H, m, Ph), 7.68 (2H, d, Ph, J = 6.97 Hz), 8.91 (1H, s, CH=N), 9.26 (1H, s, CHtriazole), 14.04 (1H, br. s, SH). 13C NMR (DMSO-d6), δ, ppm: 83.97, 99.69, 120.36, 129.57, 131.32, 132.70, 138.53 (CH=N), 144.58 (CHtriazole), 163.48. HRMS (ESI), m/z: 251.0361 [M + Na]+ (calculated for C11H8N4SNa: 251.0362).
5-methyl-4-((3-phenylprop-2-yn-1-ylidene)amino)-4H-1,2,4-triazole-3-thiol 1b. Yield 55%. Light yellow powder; mp 161–162 °C. IR (KBr), ν, cm−1: 1489 (Ph), 2204 (C≡C), 2358 (SH). 1H NMR (DMSO-d6), δ, ppm: 2.33 (3H, s, CH3), 7.47–7.57 (3H, m, Ph), 7.69 (2H, d, Ph, J = 6.97 Hz), 10.05 (1H, s, CH=N), 13.86 (1H, br. s, SH). 13C NMR (DMSO-d6), δ, ppm: 11.26 (CH3), 83.94, 100.54, 120.37, 129.53, 131.29, 132.71, 146.44 (CH=N), 149.10, 161.69. HRMS (ESI), m/z: 243.0699 [M + H]+ (calculated for C12H11N4S: 243.0699).
5-ethyl-4-((3-phenylprop-2-yn-1-ylidene)amino)-4H-1,2,4-triazole-3-thiol 1c. Yield 50%. Light yellow powder; mp 115–116 °C. IR (KBr), ν, cm−1: 1490 (Ph), 2201 (C≡C), 2359 (SH). 1H NMR (DMSO-d6), δ, ppm: 1.21 (3H, t, CH3, J = 7.46 Hz), 2.71 (2H, q, CH2, J = 7.46 Hz), 7.37–7.65 (3H, m, Ph), 7.69 (2H, d, Ph, J = 6.97 Hz), 10.01 (1H, s, CH=N), 13.89 (1H, br. s, SH). 13C NMR (DMSO-d6), δ, ppm: 10.48 (CH3), 18.64 (CH2), 83.94, 100.57, 120.36, 129.54, 131.32, 132.73, 146.90 (CH=N), 152.87, 161.82. HRMS (ESI), m/z: 257.0856 [M + H]+ (calculated for C13H13N4S: 257.0855).
Procedure for the synthesis of 5-propyl-4-((3-phenylprop-2-yn-1-ylidene)amino)-4H-1,2,4-triazole-3-thiol (1d).
First, 4-amino-5-propyl-4H-1,2,4-triazole-3-thiol 4d (0.76 mmol) was dissolved in methanol (10 mL) under heating (60 °C). Then, 3-phenyl-2-propynal 3 (0.76 mmol) and sulfuric acid (0.91 mmol) were added. The completion of the reaction was monitored by TLC (ethyl acetate/petroleum ether, 1:3 by volume). The resulting substance was used without further isolation from the reaction mixture.
General procedure for the synthesis of 5-substituted 4-((3-phenylprop-2-yn-1-yl)amino)-4H-1,2,4-triazole-3-thiols (2a–c).
In a flat-bottomed flask equipped with a magnet stirrer and condenser, 5-substituted 4-((3-phenylprop-2-yn-1-ylidene)amino)-4H-1,2,4-triazole-3-thiol 1a–d (9.8 mmol) was dissolved in methanol (50 mL). Sodium borohydride (14.8 mmol) was added in portions to the resulting solution, avoiding substantial foaming. Then, the reaction mixture was refluxed for 5 min, cooled, and diluted with 180 mL of cold water. The cooled solution was acidified with hydrochloric acid to pH 2. The precipitate formed was filtered off and recrystallized from aqueous ethanol.
4-((3-phenylprop-2-yn-1-yl)amino)-4H-1,2,4-triazole-3-thiol 2a. Yield 92%. Colorless powder; mp 156–157 °C. IR (KBr), ν, cm−1: 1488 (Ph), 2334 (C≡C), 2360 (SH), 3235 (NH). 1H NMR (DMSO-d6), δ, ppm: 4.21 (2H, s, CH2), 6.82 (1H, br. s, NH-CH2), 7.26–7.51 (5H, m, Ph), 8.54 (1H, s, CHtriazole), 13.77 (1H, br. s, SH). 13C NMR (DMSO-d6), δ, ppm: 39.64 (CH2), 85.08, 85.56, 122.42, 129.11, 129.16, 131.78, 143.18 (CHtriazole), 165.42. HRMS (ESI), m/z: 231.0699 [M + H]+ (calculated for C11H11N4S: 231.0699).
5-methyl-4-((3-phenylprop-2-yn-1-yl)amino)-4H-1,2,4-triazole-3-thiol 2b. Yield 92%. Colorless powder; mp 145–146 °C. IR (KBr), ν, cm−1: 1491 (Ph), 2339 (C≡C), 2360 (SH), 3215 (NH). 1H NMR (DMSO-d6), δ, ppm: 2.35 (3H, s, CH3), 4.28 (2H, d, CH2, J = 3.42 Hz), 6.69 (1H, t, NH, J = 3.42 Hz), 7.38 (5H, s, Ph), 13.58 (1H, br. s, SH). 13C NMR (DMSO-d6), δ, ppm: 11.04 (CH3), 38.90 (CH2), 84.50, 85.87, 122.33, 129.22, 131.67, 150.80, 165.80. HRMS (ESI), m/z: 267.0675 [M + Na]+ (calculated for C12H12N4SNa: 267.0675).
5-ethyl-4-((3-phenylprop-2-yn-1-yl)amino)-4H-1,2,4-triazole-3-thiol 2c. Yield 90%. Colorless powder; mp 111–112 °C. IR (KBr), ν, cm−1: 1489 (Ph), 2337 (C≡C), 2360 (SH), 3244 (NH). 1H NMR (DMSO-d6), δ, ppm: 1.19 (3H, t, CH3, J = 7.53 Hz), 2.78 (2H, q, CH2, J = 7.53 Hz), 4.30 (2H, d, CH2-NH, J = 3.21 Hz), 6.62 (1H, t, NH, J = 3.21 Hz), 7.28–7.46 (5H, m, Ph), 13.56 (1H, s, SH). 13C NMR (DMSO-d6), δ, ppm: 10.76 (CH3), 18.44 (CH2), 38.79 (CH2-NH), 84.51, 85.85, 122.33, 129.21, 131.67, 154.86, 165.99. HRMS (ESI), m/z: 259.1014 [M + H]+ (calculated for C13H15N4S: 259.1012).
Procedure for the synthesis of 5-propyl-4-((3-phenylprop-2-yn-1-yl)amino)-4H-1,2,4-triazole-3-thiol (2d).
To the solution of previously obtained 5-propyl-4-((3-phenylprop-2-yn-1-ylidene)amino)-4H-1,2,4-triazole-3-thiol 1d in methanol, sodium borohydride (1.5 mmol) was added in portions, avoiding substantial foaming. Then, the reaction mixture was refluxed for 5 min, cooled, and diluted with 50 mL of cold water. The cooled solution was acidified with hydrochloric acid to pH 2. The precipitate that formed was filtered off and recrystallized from aqueous ethanol. The overall yield for the two stages was 40%. Colorless powder; mp 113–114 °C. IR (KBr), ν, cm−1: 1490 (Ph), 2336 (C≡C), 2360 (SH), 3247 (NH). 1H NMR (DMSO-d6), δ, ppm: 0.89 (3H, t, CH3, J = 7.303 Hz), 1.73–1.57 (2H, m, CH2), 2.73 (2H, t, CH2, J = 7.303 Hz), 4.30 (2H, br. s, CH2-NH), 6.66 (1H, br. s, NH), 7.37 (5H, m, Ph), 13.59 (1H, br. s, SH). 13C NMR (DMSO-d6), δ, ppm: 13.95 (CH3), 19.52 (CH2), 26.59 (CH2), 38.81 (CH2-NH), 84.51, 85.90, 122.35, 129.19, 131.68, 153.70, 165.90. HRMS (ESI), m/z: 273.1173 [M + H]+ (calculated for C14H17N4S: 273.1168).
General procedure for the synthesis of 3-substituted (Z)-7-benzylidene-6,7-dihydro-5H-[1,2,4]triazolo[3,4-b][1,3,4]thiadiazines (8a–d) by cyclization 5-substituted 4-((3-phenylprop-2-yn-1-yl)amino)-4H-1,2,4-triazole-3-thiols (2a–d).
In a flat-bottomed flask, 5-substituted 4-((3-phenylprop-2-yn-1-yl)amino)-4H-1,2,4-triazole-3-thiol 2a–c (9.1 mmol) was dissolved in 10 mL of DMF. Two drops of 50% aqueous KOH solution were added as a catalyst. Reaction mixture was heated for 2.5 h at 100 °C. The reaction progress was monitored by TLC (ethyl acetate/petroleum ether, 1:2 by volume). Then, the reaction mixture was diluted with 40 mL of cold water. The resulting suspension was cooled to +5 °C, the precipitate was filtered off and recrystallized from aqueous ethanol.
(Z)-7-benzylidene-6,7-dihydro-5H-[1,2,4]triazolo[3,4-b][1,3,4]thiadiazine 8a. Yield 88%. Colorless crystals; mp 194–195 °C. IR (KBr), ν, cm−1: 1489 (Ph), 3286 (NH). 1H NMR (DMSO-d6), δ, ppm: 4.02–4.17 (2H, d, CH2, J = 6.85 Hz), 6.91 (1H, s, CHbenzylidene), 7.06 (1H, t, NH, J = 6.85 Hz), 7.26–7.54 (5H, m, Ph), 8.69 (1H, s, CHtriazole). 13C NMR (DMSO-d6), δ, ppm: 53.15 (CH2), 124.66, 126.48, 128.31, 128.93, 129.30, 135.22, 141.27, 143.96 (CHtriazole). HRMS (ESI), m/z: 231.0709 [M + H]+ (calculated for C11H11N4S: 231.0699).
(Z)-7-benzylidene-3-methyl-6,7-dihydro-5H-[1,2,4]triazolo[3,4-b][1,3,4]thiadiazine 8b. Yield 80%. Colorless crystals; mp 202–203 °C. IR (KBr), ν, cm−1: 1490 (Ph), 3162 (NH). 1H NMR (DMSO-d6), δ, ppm: 2.29 (3H, s, CH3), 4.08 (2H, d, CH2, J = 6.24 Hz), 6.82 (1H, br. s, NH), 6.90 (1H, s, CH), 7.34 (1H, br. s, Ph), 7.46 (4H, br. s, Ph). 13C NMR (DMSO-d6), δ, ppm: 9.67 (CH3), 53.34 (CH2), 124.33, 126.17 (CH-Ph), 128.25, 128.93, 129.28, 135.31, 140.79, 151.14. HRMS (ESI), m/z: 245.0859 [M + H]+ (calculated for C12H13N4S: 245.0855).
(Z)-7-benzylidene-3-ethyl-6,7-dihydro-5H-[1,2,4]triazolo[3,4-b][1,3,4]thiadiazine 8c. Yield 82%. Colorless crystals; mp 208–209 °C. IR (KBr), ν, cm−1: 1490 (Ph), 3149 (NH). 1H NMR (DMSO-d6), δ, ppm: 1.22 (3H, t, CH3, J = 7.52 Hz), 2.68 (2H, q, CH2, J = 7.58 Hz), 4.08 (2H, d, CH2-NH, J = 6.97 Hz), 6.85 (1H, t, NH, J = 6.91 Hz), 6.90 (1H, s, CH), 7.27–7.40 (1H, m, Ph), 7.42–7.55 (4H, m, Ph). 13C NMR (DMSO-d6), δ, ppm: 11.93 (CH3), 17.48 (CH2), 53.35 (CH2-NH), 124.49, 126.11 (CH-Ph), 128.23, 128.92, 129.28, 135.32, 140.93, 155.40. HRMS (ESI), m/z: 259.1005 [M + H]+ (calculated for C13H15N4S: 259.1012).
(Z)-7-benzylidene-3-propyl-6,7-dihydro-5H-[1,2,4]triazolo[3,4-b][1,3,4]thiadiazine 8d. Yield 75%. Colorless crystals; mp 196–198 °C. IR (KBr), ν, cm−1: 1489 (Ph), 3166 (NH). 1H NMR (DMSO-d6), δ, ppm: 0.93 (3H, t, CH3, J = 7.41 Hz), 1.66 (2H, m, CH2, J = 7.41 Hz), 2.64 (2H, t, CH2, J = 7.46 Hz), 4.07 (2H, d, CH2-NH, J = 6.72 Hz), 6.85 (1H, t, J = 6.97 Hz), 6.89 (1H, s, CH-Ph), 7.30–7.40 (1H, m, Ph), 7.42–7.50 (4H, m, Ph). 13C NMR (DMSO-d6), δ, ppm: 14.04 (CH3), 20.62 (CH2), 25.67 (CH2), 53.42 (CH2-NH), 124.53, 126.06, 128.23, 128.92, 129.28, 135.32, 140.89, 154.26. HRMS (ESI), m/z: 273.1164 [M + H]+ (calculated for C14H17N4S: 273.1168).
General procedure for the synthesis of 3-substituted (Z)-7-benzylidene-7H-[1,2,4]triazolo[3,4-b][1,3,4]thiadiazines (6a–d) by oxidation of 3-substituted (Z)-7-benzylidene-6,7-dihydro-5H-[1,2,4]triazolo[3,4-b][1,3,4]thiadiazines (8a–d).
In a flat-bottomed flask equipped with a magnetic stirrer and condenser, 3-substituted (Z)-7-benzylidene-6,7-dihydro-5H-[1,2,4]triazolo[3,4-b][1,3,4]thiadiazine 8a–d (0.6 mmol) was dissolved in acetonitrile (50 mL) and active manganese dioxide was added (9 mmol). The reaction mixture was refluxed with vigorous stirring for 5–6 h. The completion of the reaction was monitored by TLC in pure ethyl acetate. Next, manganese dioxide was filtered off and 100 mL of water was added to the filtrate. The precipitate that formed was filtered off without need of further purification.
(Z)-7-benzylidene-7H-[1,2,4]triazolo[3,4-b][1,3,4]thiadiazine 6a. Yield 88%. Colorless crystals; mp 226–227 °C. IR (KBr), ν, cm−1: 1489 (Ph), 1580 (C=N). 1H NMR (DMSO-d6), δ, ppm: 7.37–7.67 (6H, m, benzylidene), 8.13 (1H, s, CH=N), 9.10 (1H, s, CHtriazole). 13C NMR (DMSO-d6), δ, ppm: 116.90, 129.67, 129.91, 130.38, 133.97, 134.66, 136.78, 143.64, 149.03. HRMS (ESI), m/z: 251.0360 [M + Na]+ (calculated for C11H8N4SNa: 251.0362).
(Z)-7-benzylidene-3-methyl-7H-[1,2,4]triazolo[3,4-b][1,3,4]thiadiazine 6b. Yield 91%. Colorless crystals; mp 201–202 °C. IR (KBr), ν, cm−1: 1489 (Ph), 1582 (C=N). 1H NMR (DMSO-d6), δ, ppm: 2.44 (3H, s, CH3), 7.43–7.51 (2H, m), 7.52–7.64 (4H, m), 8.12 (1H, s, CH=N). 13C NMR (DMSO-d6), δ, ppm: 9.82 (CH3), 116.36, 129.67, 129.92, 130.32, 134.06, 134.32, 136.38 (CH-Ph), 148.17 (CH=N), 150.91. HRMS (ESI), m/z: 265.0516 [M + Na]+ (calculated for C12H10N4SNa: 265.0518).
(Z)-7-benzylidene-3-ethyl-7H-[1,2,4]triazolo[3,4-b][1,3,4]thiadiazine 6c. Yield 88%. Colorless crystals; mp 165–166 °C. IR (KBr), ν, cm−1: 1490 (Ph), 1581 (C=N). 1H NMR (DMSO-d6), δ, ppm: 1.27 (3H, t, CH3, J = 7.40 Hz), 2.84 (2H, q, CH2, J = 7.34 Hz), 7.42–7.72 (6H, m, benzylidene), 8.11 (1H, s, CH=N). 13C NMR (DMSO-d6), δ, ppm: 11.59 (CH3), 17.62 (CH2), 116.40, 129.65, 129.90, 130.30, 134.06, 134.45, 136.39, 148.11, 154.86. HRMS (ESI), m/z: 257.0855 [M + H]+ (calculated for C13H13N4S: 257.0855).
(Z)-7-benzylidene-3-propyl-7H-[1,2,4]triazolo[3,4-b][1,3,4]thiadiazine 6d. Yield 85%. Colorless crystals; mp 163–164 °C. IR (KBr), ν, cm−1: 1491 (Ph), 1581 (C=N). 1H NMR (DMSO-d6), δ, ppm: 0.96 (3H, t, CH3, J = 7.40 Hz), 1.63–1.83 (2H, m, CH2), 2.80 (2H, t, CH2, J = 7.46 Hz), 7.45–7.63 (6H, m, benzylidene), 8.11 (1H, s, CH=N). 13C NMR (DMSO-d6), δ, ppm: 13.98 (CH3), 20.43 (CH2), 25.69 (CH2), 116.39, 129.64, 129.90, 130.30, 134.07, 134.37, 136.40, 148.14, 153.73. HRMS (ESI), m/z: 293.0829 [M + Na]+ (calculated for C14H14N4SNa: 293.0831).
General procedure for the synthesis of (Z)-7-benzylidene-7H-[1,2,4]triazolo[3,4-b][1,3,4]thiadiazines (6a–c) fromα-bromocinnamic aldehyde.
3-substituted 4-amino-4H-1,2,4-triazole-3-thiol 4a–c (9.2 mmol), α-bromocinnamic aldehyde (13.8 mmol), and triethylamine (18.4 mmol) in 40 mL of ethanol were added to a single-necked flask equipped with magnetic stirrer and condenser. The reaction mixture was refluxed for one and a half hour. The reaction progress was monitored by TLC (ethyl acetate/petroleum ether, 1:1 by volume). The reaction mixture was cooled in the freezer for two hours. The resulting white precipitate was filtered off and recrystallized from aqueous ethanol. Yields: 59% (6a), 46% (6b), 52% (6c), 40% (6d).
General procedure for the synthesis of 3-substituted (Z)-7-benzylidene-6,7-dihydro-5H-[1,2,4]triazolo[3,4-b][1,3,4]thiadiazines (8a–d) by hydrogenation 3-substituted (Z)-7-benzylidene-7H-[1,2,4]triazolo[3,4-b][1,3,4]thiadiazines (6a–d).
In a round-bottomed flask equipped with a magnetic stirrer and a condenser, 3-substituted (Z)-7-benzylidene-7H-[1,2,4]triazolo[3,4-b][1,3,4]thiadiazines 6a–d (4.2 mmol) was dissolved in 20 mL of methanol. To the resulting solution, sodium borohydride (6.4 mmol) was added in portions, avoiding substantial foaming. Then, the reaction mixture was refluxed for 5 min, cooled, and diluted with 50 mL of cold water. The precipitate that formed was filtered off and recrystallized from aqueous ethanol. Yields: 89% (8a), 88% (8b), 88% (8c), 85% (8d).
General procedure for the synthesis of 3-substituted 8-phenyl-[1,2,4]triazolo[3,4-b][1,3,4]thiadiazepines (7a–d).
Tert-butylamine (0.01 mol) and 3-phenyl-2-propynal 3 (0.01 mol) were added to methanol (20 mL). To the solution of the resulting aldimine 9 5-substituted 4-amino-4H-1,2,4-triazole-3-thiol 4a–c (0.01 mol) was added with stirring in small portions over a period of several minutes. The reaction mixture slightly warmed up, with little darkening. The reaction progress was monitored by TLC (ethyl acetate/petroleum ether, 1:1 by volume). The mixture was kept for 1 h at room temperature, after which the solvent was evaporated and the resulting compound was recrystallized from aqueous ethanol.
8-phenyl-[1,2,4]triazolo[3,4-b][1,3,4]thiadiazepine 7a. Yield 85%. Colorless crystals; mp 196–197 °C. 1H NMR (DMSO-d6), δ, ppm: 6.91 (1H, d, CH, J = 4.03 Hz), 7.46–7.56 (3H, m, Ph), 7.81 (2H, dd, Ph, J = 7.40, 1.77 Hz), 8.22 (1H, d, CH=N, J = 4.03 Hz), 9.04 (1H, s, CHtriazole). 13C NMR (DMSO-d6), δ, ppm: 124.72 (CH=C-S), 127.80 (CHPh), 129.59 (CHPh), 131.55 (CHPh), 136.22, 144.48, 145.88 (CHtriazole), 146.90, 158.30 (CH=N). LCMS (ESI), m/z: 229.0547 [M + H]+ (calculated for C11H9N4S: 229.0542).
3-methyl-8-phenyl-[1,2,4]triazolo[3,4-b][1,3,4]thiadiazepine 7b. Yield 87%. yellow crystals; mp 212 °C. 1H NMR (DMSO-d6), δ, ppm: 2.40 (3H, s, CH3), 6.90 (1H, d, CH, J = 4.03 Hz), 7.46–7.57 (3H, m, Ph), 7.76–7.86 (2H, m, Ph), 8.21 (1H, d, CH=N, J = 4.03 Hz). 13C NMR (DMSO-d6), δ, ppm: 10.69 (CH3), 124.71 (CH=C-S), 127.74 (CHPh), 129.60 (CHPh), 131.48, 136.30, 144.44, 146.65, 153.38, 157.50 (CH=N). HPLC-MS-HR (ESI), m/z: 243.0701[M + H]+ (calculated for C12H11N4S: 243.0698).
3-ethyl-8-phenyl-[1,2,4]triazolo[3,4-b][1,3,4]thiadiazepine 7c. Yield 83%. Yellow crystals; mp 155–156 °C. 1H NMR (DMSO-d6), δ, ppm: 1.24 (3H, t, CH3, J = 7.52 Hz), 2.79 (2H, q, CH2, J = 7.54 Hz), 6.90 (1H, d, CH, J = 4.03 Hz), 7.48–7.59 (3H, m, Ph), 7.77–7.86 (2H, m, Ph), 8.21 (1H, d, CH=N, J = 4.03 Hz). 13C NMR (DMSO-d6), δ, ppm: 11.26 (CH3), 18.31 (CH2), 124.73 (CH=C-S), 127.74 (CHPh), 129.59 (CHPh), 131.48 (CHPh), 136.27, 144.52, 146.71, 157.23, 157.50 (CH=N). LCMS (ESI), m/z: 257.0861 [M + H]+ (calculated for C13H13N4S: 257.0855).
8-phenyl-3-propyl-[1,2,4]triazolo[3,4-b][1,3,4]thiadiazepine 7d. Yield 70%. yellow crystals; mp 88–89 °C. 1H NMR (DMSO-d6), δ, ppm: 0.94 (3H, t, CH3, J = 7.34 Hz), 1.70 (2H, sxt, CH2, J = 7.41 Hz), 2.75 (2H, t, CH2, J = 7.46 Hz), 6.91 (1H, d, CH, J = 4.03 Hz), 7.46–7.58 (3H, m), 7.77–7.86 (2H, m), 8.22 (1H, d, CH=N, J = 4.03 Hz). 13C NMR (DMSO-d6), δ, ppm: 14.00 (CH3), 20.13 (CH2), 26.41 (CH2), 124.65 (CH=C-S), 127.76 (CHPh), 129.37 (CHPh), 131.51 (CHPh), 136.22, 144.46, 146.81, 156.15, 157.61 (CH=N). HPLC-MS-HR (ESI), m/z: 271.1021 [M + H]+ (calculated for C14H15N4S: 271.1011).
General procedure for the synthesis of 3-substituted 8-phenyl-5,6-dihydro-[1,2,4]triazolo[3,4-b][1,3,4]thiadiazepines (10a–d).
In a flat-bottomed flask equipped with a magnetic stirrer and a condenser, 3-substituted 8-phenyl-[1,2,4]triazolo[3,4-b][1,3,4]thiadiazepine 7a–d (4.2 mmol) was dissolved in 20 mL of methanol. To the resulting solution, sodium borohydride (6.4 mmol) was added in portions, avoiding substantial foaming. Then, the reaction mixture was refluxed for 5 min, cooled and diluted with 50 mL of cold water. The precipitate that formed was filtered off and recrystallized from aqueous ethanol.
8-phenyl-5,6-dihydro-[1,2,4]triazolo[3,4-b][1,3,4]thiadiazepine 10a. Yield 92%. Colorless crystals; mp 173–174 °C. 1H NMR (DMSO-d6), δ, ppm: 3.96 (2H, t, CH2, J = 4.58 Hz), 6.05 (1H, t, CH-CH2, J = 3.73 Hz), 7.37–7.49 (3H, m), 7.51–7.59 (3H, m), 8.74 (1H, s, CHtriazole). 13C NMR (DMSO-d6), δ, ppm: 50.80 (CH2), 127.64 (CHPh), 128.36 (CHPh), 128.82 (CH=C-S), 129.30 (CHPh), 129.39, 139.69, 145.69 (CHtriazole), 149.86. LCMS (ESI), m/z: 231.0704 [M + H]+ (calculated for C11H11N4S: 231.0699).
3-methyl-8-phenyl-5,6-dihydro-[1,2,4]triazolo[3,4-b][1,3,4]thiadiazepine 10b. Yield 93%. Colorless crystals; mp 175–176 °C. 1H NMR (DMSO-d6), δ, ppm: 2.37 (3H, s, CH3), 3.95 (2H, s, CH2), 6.02 (1H, s, CH-CH2), 7.24–7.49 (4H, m), 7.49–7.78 (2H, m). 13C NMR (DMSO-d6), δ, ppm: 9.94 (CH3), 50.25 (CH2), 127.58 (CHPh), 128.62 (CH-CH2), 129.01 (CHPh), 129.29 (CHPh), 139.79, 149.72, 153.47. HPLC-MS-HR (ESI), m/z: 245.0857 [M + H]+ (calculated for C12H13N4S: 245.0855).
3-ethyl-8-phenyl-5,6-dihydro-[1,2,4]triazolo[3,4-b][1,3,4]thiadiazepine 10c. Yield 89%. Colorless crystals; mp 149–150 °C. 1H NMR (DMSO-d6), δ, ppm: 1.25 (3H, t, CH3, J = 7.58 Hz), 2.75 (2H, q, CH2, J = 7.54 Hz), 3.94 (2H, dd, CH2-NH, J = 5.87, 3.91 Hz), 6.01 (1H, t, CH-CH2, J = 3.73 Hz), 7.36 (1H, t, J = 6.17 Hz), 7.38–7.46 (3H, m), 7.55 (2H, d, J = 6.85 Hz). 13C NMR (DMSO-d6), δ, ppm: 12.18 (CH3), 17.66 (CH2), 50.41 (CH2-NH), 127.57, 128.52, 128.98 (CH-CH2), 129.28, 129.31, 139.76, 149.94, 157.61. LCMS (ESI), m/z: 259.1018 [M + H]+ (calculated for C13H15N4S: 259.1012).
8-phenyl-3-propyl-5,6-dihydro-[1,2,4]triazolo[3,4-b][1,3,4]thiadiazepine 10d. Yield 90%. Colorless crystals; mp 103–104 °C. 1H NMR (DMSO-d6), δ, ppm: 0.96 (3H, t, CH3, J = 7.40 Hz), 1.69 (2H, sxt, CH2, J = 7.43 Hz), 2.71 (2H, t, CH2, J = 7.52 Hz), 3.93 (2H, dd, CH2-NH, J = 6.11, 3.91 Hz), 6.01 (1H, t, CH-CH2, J = 3.85 Hz), 7.33–7.48 (4H, m), 7.51–7.60 (2H, m). 13C NMR (DMSO-d6), δ, ppm: 14.13 (CH3), 20.93 (CH2), 25.82 (CH2), 50.45 (CH2-NH), 127.58, 128.46, 128.93 (CH-CH2), 129.30, 129.34, 139.72, 149.86, 156.48. HPLC-MS-HR (ESI), m/z: 273.1174 [M + H]+ (calculated for C14H17N4S: 273.1168).
3.3. X-ray Diffraction
The single crystal X-ray diffraction data were collected using an Agilent Technologies SuperNova(s15383: 10a), Rigaku XtaLAB SuperNova (s15380: 7c), Rigaku «XtaLAB Synergy-S» (s15979: 6a) and Agilent Technologies «Xcalibur» (e15: 8a, e16: 8c) diffractometer. The temperature was kept at 100 K throughout the experiment. Empirical absorption correction was applied in CrysAlisPro (Agilent Technologies, 2014) program complex using spherical harmonics, implemented in SCALE3 ABSPACK scaling algorithm. The structures were solved by SHELXT program [38], using the least squares minimization in anisotropic (for non-hydrogen atoms) approximation, and refined with the SHELXL package [39] incorporated in the Olex2 program package [40]. The hydrogen atoms were introduced to the geometrically calculated positions and refined by attachment to the corresponding parent atoms. The disorder within one independent half of molecule s15380 was modeled by the free-populated superposition of two sets of the benzene ring coordinates, corresponding to slightly different positions of the ring in space. Crystallographic data for the studied samples were deposited at Cambridge Crystallographic Data center (6a: CCDC 2212189; 7c: CCDC—2212192; 8a: CCDC 1813554; 8c: CCDC 1813556 and 10a: CCDC 2212194).
3.4. Molecular Docking
Protein structure preparation. We observed two main targets of our ligands: M2 channel of influenza virus and neuraminidase N1 of influenza virus. Neuraminidase structure was downloaded from RCSB Protein Data bank [41]. PDB structure id 3TI6 (A/California/04/2009(H1N1)), protein model for virus strain A/Puerto Rico/8/1934 H1N1 was not presented, so we used the closest by sequence/structure model, with addition of point mutations in sequence, equalizing it to neuraminidase from strain A/Puerto Rico/8/1934 H1N1.
In the case of the M2 channel, the protein structure for A/Puerto Rico/8/1934 H1N1 strain was not available in RCSB PDB. However, the protein sequence could be found in the Uniprot database: Matrix protein 2 Influenza A virus (strain A/Puerto Rico/8/1934 H1N1), accession code P06821. M2 protein structure was built with use of the homology modeling method. The following protein models, obtained from RCSB Protein Data Bank, were used as templates: 2KIH, 2N70, 4N8C, 6SOY (H3N2), 5JOO, 5TTC, 5UM1 (H1N1). Resulting chimeric model geometry was optimized with use of the Prime module from Schrodinger Suite 2022-2. The model quality was controlled via Ramachandran plot (Figure S47).
All models needed to be preprocessed using Schrodinger Protein PrepWizard [42]. On this step, we excluded typical structure errors, such as invalid protonation state, missing amino acid sidechains, missing loops, and incorrect bond orders.
For all observed protein models, protonation states, hydrogen bonds and charges calculated for pH equated to 7,4 using the PROPKA method [43].
Protein structure was refined using restrained minimization (needed for elimination of local strained contacts in protein). All manipulations with proteins and ligands were carried out in OPLS4 forcefield [44], used in Schrodinger Suite 2022-2.
Ligand structure preparation. Three-dimensional structure of ligands, used for calculations, generated in the same forcefield—OPLS4 [44].
Molecular docking: GridBox building. Before the molecular docking, a grid box was built, covering the M2 channel and neuraminidase active pockets. The size of the gridbox was chosen in accordance with the reference ligand size, which was present in model (for neuraminidase: oseltamivir; for M2 channel: rimantadine), and is equal to 10 Å (one side of cube). In M2 channel cavity, the gridbox was placed on the centroid of selected residues: Gly34 in chains A-D, cube side size was 10 Å. VdW scaling was 1.0 Å, partial charge cutoff—0.25 Å. No constraints were applied for all observed proteins. GlideGrid program [45] from Schrodinger Suite 2022-2 was used for calculation.
Molecular docking: docking procedure. The prepared ligands, docked into previously generated GridBoxes of our proteins, were neuraminidase and M2 channel. For all the selected ligands, the standard precision mode with enhanced flexible sampling was used. For each ligand state, a penalty value (if ligand was ionizable) was added, generating 15 docking solutions for each structure, Strain correction terms were added (necessary for ligand torsions’ parametrization before final scoring). The resulting docking solutions were clustered. The best-fitting solution was compared to the reference structure binding mode by Glidescore/Emodel values and its components.
MM-GBSA. Binding free energy and its components, such as Gibb’s free energy, strain energy, and other parameters, were calculated for all the best-fitting docking solutions using the MM-GBSA method [46]. Solvation model was VSGB, protein flexibility radius is 6 Å around ligand.
3.5. The Study of the Biological Activity
The cytotoxic properties of the compounds were investigated in a separate series of experiments. A series of threefold dilutions (300–3.7 µg/mL) were prepared from the test compounds, after which they were added to the wells of plates with a monolayer of MDCK cells (ATCC CCL-34). The plates were incubated for 72 h at 36 °C. The cell viability was analyzed using the methyltetrazolium assay; a solution of methyltetrazolium bromide was introduced into the wells, which, by the action of mitochondrial enzymes, was converted into an insoluble violet formazan derivative [47]. The plates with cells were incubated for 2 h. The precipitate was dissolved in DMSO (0.1 mL per well). The optical density in the wells was measured on a Thermo Multiskan FC plate photometer (Thermo Fisher Scientific, USA) at a wavelength of 540 nm. Based on the obtained data, CC50 values (the concentration of the compound, leading to a decrease in optical density by half, compared to wells without the addition of compounds) were calculated.
3.6. The Study of the Anti-Viral Activity
The study of the anti-viral activity was carried out by determining the reduction of the degree of cytopathic action. The experiments used the influenza A/Puerto Rico/8/34 (H1N1) virus from the collection of viral strains of Saint Petersburg Pasteur Research Institute of Epidemiology and Microbiology. The studied compounds, in the range of concentrations, were applied to the cells in the wells of the plate and incubated for 1 h. Then, the cells were infected with the virus at a dose of 0.01 TCID50 per cell. The cells were incubated for 72 h, after which cell survival was analyzed using the methyltetrazolium assay, as described above. Based on the obtained data, a 50% inhibitory concentration (IC50) was calculated for each compound as the concentration that reduced the degree of viral destruction of cells by 50%, and the selectivity index (SI) as the ratio of CC50 to IC50. Compounds with an SI of 10 or higher were considered active.
4. Conclusions
As a result of the present work, new pathways for the synthesis of (Z)-7-benzylidene-[1,2,4]triazolo[3,4-b][1,3,4]thiadiazines 6, 8 and 8-phenyl-[1,2,4]triazolo[3,4-b][1,3,4]thiadiazepines 7, 10 have been developed based on the interaction of 3-phenyl-2-propynal 3 and 3-substituted 4-amino-4H-1,2,4-triazole-5-thiols 4. It was shown that azomethines 1 could be obtained using acid catalysis, and their cyclization led to the formation of a mixture of isomeric compounds 6 and 7. At the same time, cyclization of amines 2 led to the formation of only thiadiazines 8 in high yields. Thiadiazines 6 were obtained by dehydrogenation of the C-N bond of the compounds 8 using manganese dioxide. Thiadiazepines 7 were obtained by introducing tert-butylamine into the reaction between 3-phenyl-2-propynal 3 and 3-substituted 4-amino-4H-1,2,4-triazole-5-thiols 4, which made it possible to reduce the reaction time and decrease the reaction temperature, compared to the method described in the literature [35].
Among the 20 compounds studied, 10 (50%) demonstrated low cytotoxicity and high activity against influenza virus A/Puerto Rico/8/34 (H1N1) with selectivity index (SI) of 10 and higher, and one of them possessed SI of >300. The results suggested that this group of compounds could be considered prospective for further focus and development of effective antivirals against influenza virus.
Docking results and values showed that the preferred interactant for our ligands was M2 channel. All ligands showed better GlideScore values in the M2 channel active cavity. Predicted affinity to neuraminidase for all ligands was significantly lower than control compound (oseltamivir).
Protein–ligand interaction modeling showed that the aliphatic moiety of ligands could negatively regulate target activity levels via changes in lipophilic interaction balance between core and sidechains. This can be explained by strain energy value.
Supplementary Materials
The following supporting information can be downloaded at: https://www.mdpi.com/article/10.3390/molecules27227940/s1, Spectral data of the new compounds 1a–c, 2a–d, 6a–d, 7a–d, 8a–d, 10a–d.
Author Contributions
Conceptualization, A.V.K. and V.A.O.; validation, M.A.S., V.V.Z., V.A.O., M.A.G. and A.V.K.; investigation, M.A.S., A.V.K., M.A.G., I.L.E., E.O.S. and A.M.P.; writing—original draft preparation, M.A.S., V.V.Z. and M.A.G. All authors have read and agreed to the published version of the manuscript.
Funding
This research was funded by the Russian Foundation for Basic Research and the Committee on Science of the Republic of Armenia within the framework of the scientific project No. 20-53-05010 Arm_a/20RF-138; by the grant program for young scientists FASIE (2022–2023) No. 17837GU/2022.
Institutional Review Board Statement
Not applicable.
Informed Consent Statement
Not applicable.
Data Availability Statement
Not applicable.
Acknowledgments
The authors are grateful to the Engineering Center of the St. Petersburg State Technological Institute (Technical University) and Research park of St. Petersburg State University for the technical support.
Conflicts of Interest
The authors declare no conflict of interest.
Sample Availability
Samples of the compounds 1a–c, 2a–d, 6a–d, 7a–d, 8a–d, 10a–d are available from the authors.
References
- Kiselev, O. Chemo Drugs and Influenza Chemotherapy; Rostok: St. Petersburg, Russia, 2012. [Google Scholar]
- Furuyama, W.; Marzi, A. Annual Review of Virology Ebola Virus: Pathogenesis and Countermeasure Development. Annu. Rev. Virol. 2019, 6, 435–458. [Google Scholar] [CrossRef] [PubMed]
- Musso, D.; Ko, A.I.; Baud, D. Zika Virus Infection—After the Pandemic. N. Engl. J. Med. 2019, 381, 1444–1457. [Google Scholar] [CrossRef] [PubMed]
- Zarubaev, V.; Golod, E.; Anfimov, P.; Shtro, A.; Saraev, V.; Gavrilov, A.; Logvinov, A.; Kiselev, O. Synthesis and Anti-Viral Activity of Azolo-Adamantanes against Influenza A Virus. Bioorg. Med. Chem. 2010, 18, 839–848. [Google Scholar] [CrossRef] [PubMed]
- DeClercq, E. Antiviral Agents Active against Influenza A Viruses. Nat. Rev. Drug Discov. 2006, 5, 1015–1025. [Google Scholar] [CrossRef]
- El-Sebaey, S.A. Recent Advances in 1,2,4-Triazole Scaffolds as Antiviral Agents. ChemistrySelect 2020, 5, 11654–11680. [Google Scholar] [CrossRef]
- Wang, M.; Cao, R.; Zhang, L.; Yang, X.; Liu, J.; Xu, M.; Shi, Z.; Hu, Z.; Zhong, W.; Xiao, G. Remdesivir and Chloroquine Effectively Inhibit the Recently Emerged Novel Coronavirus (2019-NCoV) in Vitro. Cell Res. 2020, 30, 269–271. [Google Scholar] [CrossRef]
- Farre, C.; Viezzi, S.; Wright, A.; Robin, P.; Lejal, N.; Manzano, M.; Vidic, J.; Chaix, C. Specific and Sensitive Detection of Influenza A Virus Using a Biotin-Coated Nanoparticle Enhanced Immunomagnetic Assay. Anal. Bioanal. Chem. 2022, 414, 265–276. [Google Scholar] [CrossRef]
- De, A.; Sarkar, S.; Majee, A. Recent Advances on Heterocyclic Compounds with Antiviral Properties. Chem. Heterocycl. Compd. 2021, 57, 410–416. [Google Scholar] [CrossRef]
- Ostrovskii, V.; Danagulyan, G.; Nesterova, O.; Pavlyukova, Y.; Tolstyakov, V.; Zarubina, O.; Slepukhin, P.; Esaulkova, Y.; Muryleva, A.; Zarubaev, V.; et al. Synthesis and Antiviral Activity of Nonannulated Tetrazolylpyrimidines. Chem. Heterocycl. Compd. 2021, 57, 448–454. [Google Scholar] [CrossRef]
- Shirley, M. Baloxavir Marboxil: A Review in Acute Uncomplicated Influenza. Drugs 2020, 80, 1109–1118. [Google Scholar] [CrossRef]
- Pécheur, E.-I.; Borisevich, V.; Halfmann, P.; Morrey, J.D.; Smee, D.F.; Prichard, M.; Mire, C.E.; Kawaoka, Y.; Geisbert, T.W.; Polyak, S.J. The Synthetic Antiviral Drug Arbidol Inhibits Globally Prevalent Pathogenic Viruses. J. Virol. 2016, 90, 3086–3092. [Google Scholar] [CrossRef] [PubMed]
- Karade, N. 1,3,4-Oxadiazines and 1,3,4-Thiadiazines. In Comprehensive Heterocyclic Chemistry IV; Black, D.S., Cossy, J., Stevens, C.V., Eds.; Elsevier: Amsterdam, The Netherlands, 2022; Volume 9, pp. 402–455. [Google Scholar]
- Kincaid, V.A.; London, N.; Wangkanont, K.; Wesener, D.A.; Marcus, S.A.; Héroux, A.; Nedyalkova, L.; Talaat, A.M.; Forest, K.T.; Shoichet, B.K.; et al. Virtual Screening for UDP-Galactopyranose Mutase Ligands Identifies a New Class of Antimycobacterial Agents. ACS Chem. Biol. 2015, 10, 2209–2218. [Google Scholar] [CrossRef] [PubMed]
- Li, Z.; Bai, X.; Deng, Q.; Zhang, G.; Zhou, L.; Liu, Y.; Wang, J.; Wang, Y. Preliminary SAR and Biological Evaluation of Antitubercular Triazolothiadiazine Derivatives against Drug-Susceptible and Drug-Resistant Mtb Strains. Bioorg. Med. Chem. 2017, 25, 213–220. [Google Scholar] [CrossRef] [PubMed]
- Sever, B.; Altintop, M.D.; Kuş, G.; Özkurt, M.; Özdemir, A.; Kaplancikli, Z.A. Indomethacin Based New Triazolothiadiazine Derivatives: Synthesis, Evaluation of Their Anticancer Effects on T98 Human Glioma Cell Line Related to COX-2 Inhibition and Docking Studies. Eur. J. Med. Chem. 2016, 113, 179–186. [Google Scholar] [CrossRef]
- Mohamady, S.; Gibriel, A.A.; Ahmed, M.S.; Hendy, M.S.; Naguib, B.H. Design and Novel Synthetic Approach Supported with Molecular Docking and Biological Evidence for Naphthoquinone-Hydrazinotriazolothiadiazine Analogs as Potential Anticancer Inhibiting Topoisomerase-IIB. Bioorg. Chem. 2020, 96, 103641. [Google Scholar] [CrossRef]
- Acar Çevik, U.; Kaya Çavuşoğlu, B.; Sağlık, B.N.; Osmaniye, D.; Levent, S.; Ilgın, S.; Özkay, Y.; Kaplancıklı, Z.A. Synthesis, Docking Studies and Biological Activity of New Benzimidazole-Triazolothiadiazine Derivatives as Aromatase Inhibitor. Molecules 2020, 25, 1642. [Google Scholar] [CrossRef]
- Ansari, M.; Shokrzadeh, M.; Karima, S.; Rajaei, S.; Hashemi, S.M.; Mirzaei, H.; Fallah, M.; Emami, S. Design, Synthesis and Biological Evaluation of Flexible and Rigid Analogs of 4H-1,2,4-Triazoles Bearing 3,4,5-Trimethoxyphenyl Moiety as New Antiproliferative Agents. Bioorg. Chem. 2019, 93, 103300. [Google Scholar] [CrossRef]
- Penta, S.; Gadidasu, K.K.; Basavoju, S.; Rajeswar Rao, V. An Efficient One-Pot Synthesis of Pyrazolyl-[1,2,4]Triazolo[3,4-b][1,3,4] Thiadiazin-6-Yl)-2H-Pyran-2-One Derivatives via Multicomponent Approach and Their Potential Antimicrobial and Nematicidal Activities. Tetrahedron Lett. 2013, 54, 5663–5666. [Google Scholar] [CrossRef]
- El-Sayed, H.A.; Assy, M.G.; Mohamed, A.S. An Efficient Synthesis and Antimicrobial Activity of N-Bridged Triazolo[3,4-b]Thiadiazine and Triazolo[3,4-b]Thiadiazole Derivatives under Microwave Irradiation. Synth. Commun. 2020, 50, 997–1007. [Google Scholar] [CrossRef]
- Laskin, J.D.; Heindel, N.; Heck, D.; Vetrano, A.M.; Guillon, C.; DeMatteo, P. Fluorescent Fused-Ring Triazoles That Inhibit Cell Proliferation and Uses Thereof. U.S. Patent 7; Application granted, 12 September 2006. [Google Scholar]
- Shaikh, S.K.J.; Kamble, R.R.; Bayannavar, P.K.; Somagond, S.M.; Joshi, S.D. Triazolothiadizepinylquinolines as Potential MetAP-2 and NMT Inhibitors: Microwave-Assisted Synthesis, Pharmacological Evaluation and Molecular Docking Studies. J. Mol. Struct. 2020, 1203, 127445. [Google Scholar] [CrossRef]
- Kalluraya, B.; Rahiman, M.A.; Banji, D. Sydnone Derivatives. Part 5. Synthesis and Pharmacological Properties of Some Novel Triazolothiadiazepines. Indian J. Chem. 2022, 41B, 1712–1717. [Google Scholar] [CrossRef]
- Boraei, A.T.A.; Ghabbour, H.A.; Gomaa, M.S.; el Ashry, E.S.H.; Barakat, A. Synthesis and Anti-Proliferative Assessment of Triazolo-Thiadiazepine and Triazolo-Thiadiazine Scaffolds. Molecules 2019, 24, 4471. [Google Scholar] [CrossRef] [PubMed]
- Pavurala, S.; Vaarla, K.; Kesharwani, R.; Naesens, L.; Liekens, S.; Vedula, R.R. Bis Coumarinyl Bis Triazolothiadiazinyl Ethane Derivatives: Synthesis, Antiviral Activity Evaluation, and Molecular Docking Studies. Synth. Commun. 2018, 48, 1494–1503. [Google Scholar] [CrossRef]
- Khan, I.; Hameed, S.; Al-Masoudi, N.A.; Abdul-Reda, N.A.; Simpson, J. New Triazolothiadiazole and Triazolothiadiazine Derivatives as Kinesin Eg5 and HIV Inhibitors: Synthesis, QSAR and Modeling Studies. Z. Naturforsch. B Chem. Sci. 2015, 70, 47–58. [Google Scholar] [CrossRef]
- Pandey, V.K.; Tusi, Z.; Tusi, S.; Joshi, M. Synthesis and Biological Evaluation of Some Novel 5-[(3-Aralkyl Amido/Imidoalkyl)Phenyl]-1,2,4-Triazolo[3,4-b]-1,3,4-Thiadiazines as Antiviral Agents. ISRN Org. Chem. 2012, 2012, 760517. [Google Scholar] [CrossRef] [PubMed]
- Karabasanagouda, T.; Adhikari, A.V.; Shetty, N.S. Synthesis and Antimicrobial Activities of Some Novel 1,2,4-Triazolo[3,4-b]-1,3,4-Thiadiazoles and 1,2,4-Triazolo[3,4-b]-1,3,4-Thiadiazines Carrying Thioalkyl and Sulphonyl Phenoxy Moieties. Eur. J. Med. Chem. 2007, 42, 521–529. [Google Scholar] [CrossRef] [PubMed]
- Jin, J.-Y.; Zhang, L.-X.; Chen, X.-X.; Zhang, A.-J.; Zhang, H.-L. Syntheses and Biological Activities of 6-Aryl-3-(3-Hydroxy-Propyl)-7H-1,2,4-Triazolo[3,4-b][1,3,4]Thiadiazines. Molecules 2007, 12, 297–303. [Google Scholar] [CrossRef] [PubMed]
- Shawali, A.S.; Zeid, I.F.; Abdelkader, M.H.; Elsherbini, A.A.; Altalbawy, F.M.A. Synthesis, Acidity Constants and Tautomeric Structure of 7-Arylhydrazono[1,2,4]Triazolo[3,4-b][1,3,4]Thiadiazines in Ground and Excited States. J. Chin. Chem. Soc. 2001, 48, 65–82. [Google Scholar] [CrossRef]
- Hui, X.-P.; Xu, P.-F.; Wang, Q.; Zhang, Q.; Zhang, Z.-Y. Synthesis and Antibacterial Activity of 3-(5-Methylisoxazol-3-Yl)-1,2,4-Triazolo[3,4-b]-1,3,4-Thiadiazine Derivatives. Chin. J. Chem. 2001, 19, 991–995. [Google Scholar] [CrossRef]
- Motamedi, R.; Heravi, M.M.; Bamoharram, F.F.; Haeri, A. Facile Routes to 1,2,4-Triazolo[3,4-b][1,3,4]Thiadiazines and 1,2,4- Triazino[3,4-b][1,3,4]Thiadiazine by Heteropolyacides. J. Heterocyclic Chem. 2008, 45, 1211–1214. [Google Scholar] [CrossRef]
- Aggarwal, R.; Hooda, M.; Kumar, P.; Sumran, G. Vision on Synthetic and Medicinal Facets of 1,2,4-Triazolo[3,4-b][1,3,4]Thiadiazine Scaffold. Top. Curr. Chem. 2022, 380, 10. [Google Scholar] [CrossRef] [PubMed]
- Heindel, N.; Reid, J. 4-Amino-3-mercapto-4H-1,2,4-triazoles and Propargyl Aldehydes: A New Route to 3-R-8-aryl-1,2,4-triazolo[3,4-b]-1,3,4-thiadiazepines. J. Heterocycl. Chem. 1980, 17, 1087–1088. [Google Scholar] [CrossRef]
- Skryl’nikova, M.A.; Khramchikhin, A.V.; Krivchun, M.N. A New Approach to the Synthesis of 1,2,4-Triazolo[3,4-b][1,3,4]Thiadiazines. Russ. J. Gen. Chem. 2017, 87, 1321–1322. [Google Scholar] [CrossRef]
- Karpov, M.V.; Khramchikhin, A.V.; Stadnichuk, M.D. Reactions of Phenylpropynal N-Tert-Butylimine with 4-Amino-3-Mercapto-1,2,4-Triazole Derivatives. Russ. J. Gen. Chem. 2005, 75, 487–488. [Google Scholar] [CrossRef]
- Sheldrick, G.M. SHELXT—Integrated Space-Group and Crystal-Structure Determination. Acta Crystallogr. A Found. Adv. 2015, 71, 3–8. [Google Scholar] [CrossRef]
- Sheldrick, G.M. Crystal Structure Refinement with SHELXL. Acta Crystallogr. C Struct. Chem. 2015, 71, 3–8. [Google Scholar] [CrossRef]
- Dolomanov, O.V.; Bourhis, L.J.; Gildea, R.J.; Howard, J.A.K.; Puschmann, H. OLEX2: A Complete Structure Solution, Refinement and Analysis Program. J. Appl. Crystallogr. 2009, 42, 339–341. [Google Scholar] [CrossRef]
- Berman, H.M.; Westbrook, J.; Feng, Z.; Gilliland, G.; Bhat, T.N.; Weissig, H.; Shindyalov, I.N.; Bourne, P.E. The Protein Data Bank. Nucleic Acids Res. 2000, 28, 235–242. [Google Scholar] [CrossRef]
- Madhavi Sastry, G.; Adzhigirey, M.; Day, T.; Annabhimoju, R.; Sherman, W. Protein and Ligand Preparation: Parameters, Protocols, and Influence on Virtual Screening Enrichments. J. Comput. Aided Mol. Des. 2013, 27, 221–234. [Google Scholar] [CrossRef]
- Bas, D.C.; Rogers, D.M.; Jensen, J.H. Very Fast Prediction and Rationalization of PKa Values for Protein-Ligand Complexes. Proteins Struct. Funct. Genet. 2008, 73, 765–783. [Google Scholar] [CrossRef]
- Lu, C.; Wu, C.; Ghoreishi, D.; Chen, W.; Wang, L.; Damm, W.; Ross, G.A.; Dahlgren, M.K.; Russell, E.; von Bargen, C.D.; et al. OPLS4: Improving Force Field Accuracy on Challenging Regimes of Chemical Space. J. Chem. Theory Comput. 2021, 17, 4291–4300. [Google Scholar] [CrossRef] [PubMed]
- Repasky, M.P.; Shelley, M.; Friesner, R.A. Flexible Ligand Docking with Glide. In Current Protocols in Bioinformatics; Wiley: Hoboken, NJ, USA, 2007; Volume 18. [Google Scholar]
- Genheden, S.; Ryde, U. The MM/PBSA and MM/GBSA Methods to Estimate Ligand-Binding Affinities. Expert Opin. Drug Discov. 2015, 10, 449–461. [Google Scholar] [CrossRef] [PubMed]
- Mosmann, T. Rapid Colorimetric Assay for Cellular Growth and Survival: Application to Proliferation and Cytotoxicity Assays. J. Immunol. Methods 1983, 65, 55–63. [Google Scholar] [CrossRef]
Publisher’s Note: MDPI stays neutral with regard to jurisdictional claims in published maps and institutional affiliations. |
© 2022 by the authors. Licensee MDPI, Basel, Switzerland. This article is an open access article distributed under the terms and conditions of the Creative Commons Attribution (CC BY) license (https://creativecommons.org/licenses/by/4.0/).



















