Recent Advances in the Synthesis of Aromatic Azo Compounds
Abstract
:1. Introduction
2. Advances in the Synthesis of Aromatic Azo Compounds
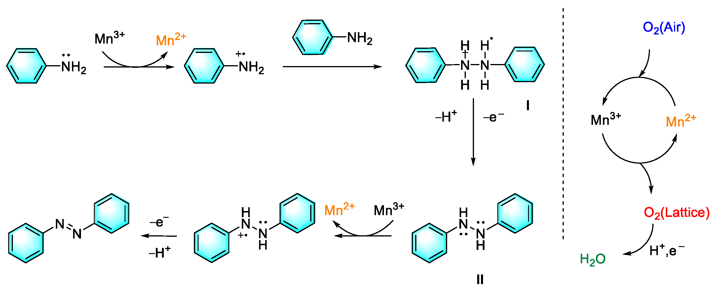
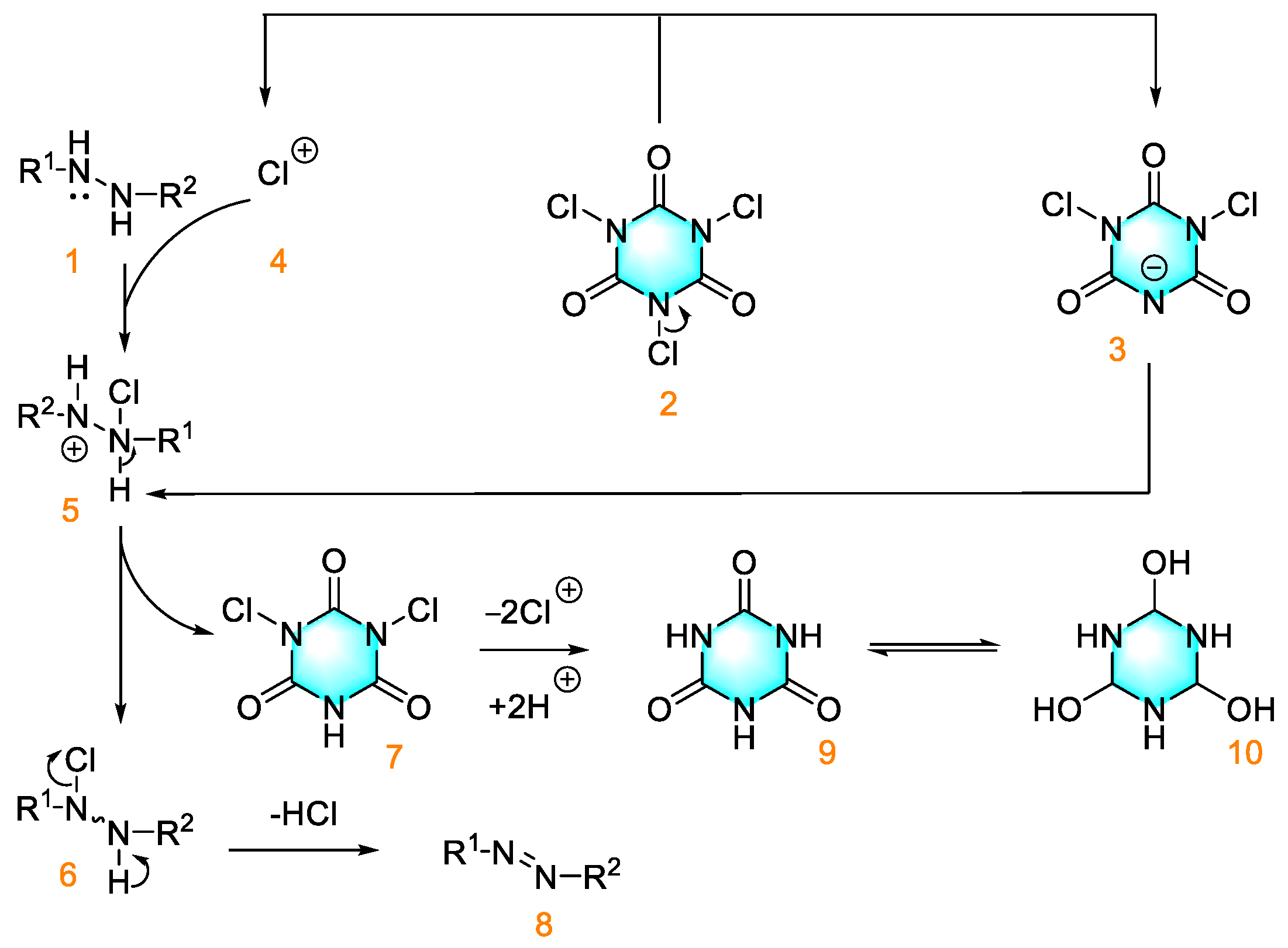
2.1. Direct Oxidation of Aromatic Amines and Their Derivatives
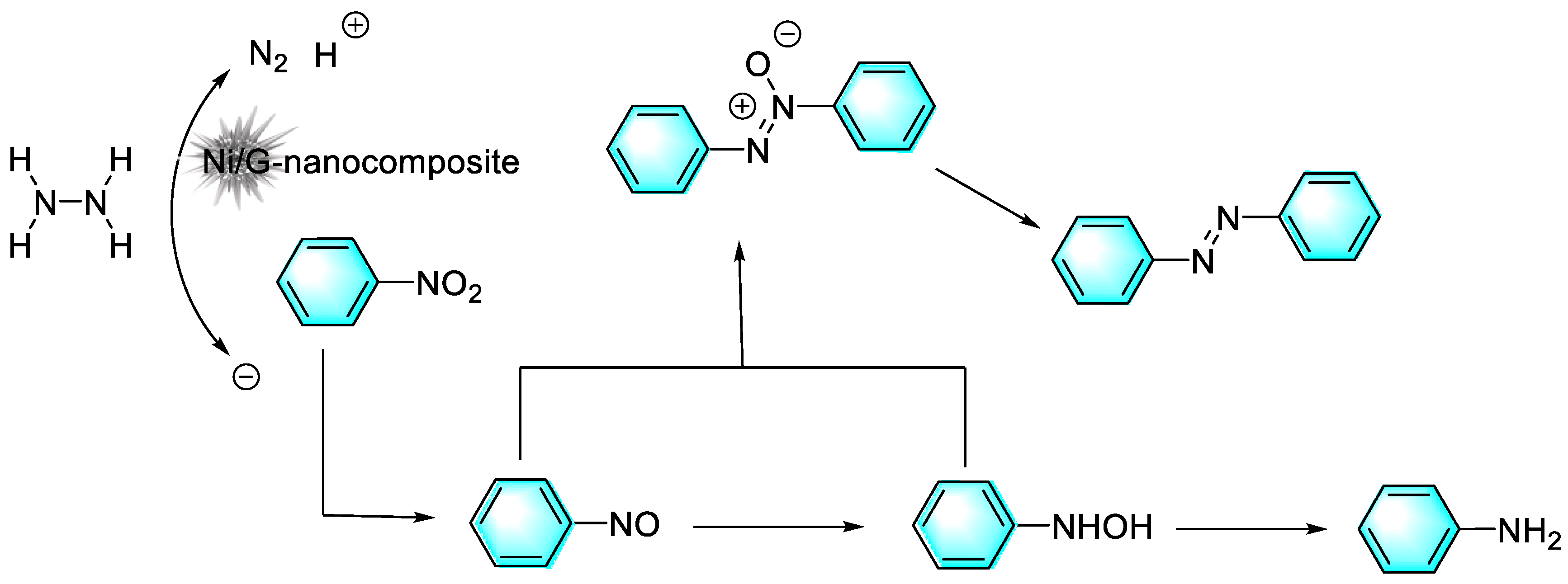
2.2. Reductive Coupling of Aromatic Nitro Compound
2.3. Electrochemical Method
2.4. Photocatalytic Method
2.5. Biochemical Methods
2.6. Nitrogen–Halogen Exchange
3. Conclusions
Author Contributions
Funding
Conflicts of Interest
Abbreviations
| Entry | Abbreviation | Full name of compound |
| 1 | HOAc | Acetic acid |
| 2 | DCM | Dichloromethane |
| 3 | m-CPBA | m-Chloroperbenzoic acid |
| 4 | DMAP | 4-Dimethylaminopyridine |
| 5 | TCCA | Trichloroisocyanic acid |
| 6 | NPs | Nanoparticles |
| 7 | OC1R | Discrete nanoscopic organic cage |
| 8 | UV | Ultraviolet |
| 9 | NCs | Nanocrystalline |
| 10 | h-BN | hexagonal Boron nitride |
| 11 | IPA | i-Propyl alcohol |
| 12 | Ni/G | Ni/graphene nanocomposite |
| 13 | NMC-Fe | Fe and N co-doped mesoporous carbon |
| 14 | MC-Fe | Fe-doped carbon materials |
| 15 | NMC | N-doped carbon materials |
| 16 | Co-Nx | Cobalt/Nitrogen-doped carbon |
| 17 | Ni3Fe-MOF-OH | Surface hydroxylated Ni3Fe metal-organic frameworks |
| 18 | TEMPO | 2,2,6,6-tetramethylpiperidinyl-1-oxide |
| 19 | NiCo@N-CNTs | N-doped carbon nanotube-supported Ni-Co alloy nanoparticles |
| 20 | N-CNTs | N-doped carbon nanotubes |
| 21 | CQDs | Carbon Quantum Dots |
| 22 | TEOA | Trolamine |
| 23 | oxone | Potassium peroxomonosulfate |
| 24 | PHA | Phthalhydrazide |
| 25 | THF | Tetrahydrofuran |
| 26 | TBHP | t-Butyl hydroperoxide |
| 27 | EtOH | Ethanol |
| 28 | ABTS | 2,2′-Azino-bis(3-ethylbenzothiazoline-6-sulfonic acid) diammonium salt |
References
- Hu, D.; Wang, Y.; Liu, J.; Mao, Y.; Chang, X.; Zhu, Y. Light-Driven Sequential Shape Transformation of Block Copolymer Particles through Three-Dimensional Confined Self-Assembly. Nanoscale 2022, 14, 6291–6298. [Google Scholar] [CrossRef] [PubMed]
- Shimizu, T.; Tanifuji, N.; Yoshikawa, H. Azo Compounds as Active Materials of Energy Storage Systems. Angew. Chem. Int. Ed. 2022, 61, e202206093. [Google Scholar] [CrossRef] [PubMed]
- Liu, Y.; Zhang, S.; Wu, Y.; Li, W.; Yang, Y. A 3D Adenine-based Cd-MOF: Synthesis, Structure and Photoluminescent Sensing for an Aromatic Azo Compound. Z. Anorg. Allg. Chem. 2020, 646, 1911–1915. [Google Scholar] [CrossRef]
- Wibowo, M.; Ding, L. Chemistry and Biology of Natural Azoxy Compounds. J. Nat. Prod. 2020, 83, 3482–3491. [Google Scholar] [CrossRef] [PubMed]
- Dembitsky, V.M.; Gloriozova, T.A.; Poroikov, V.V. Pharmacological and Predicted Activities of Natural Azo Compounds. Nat. Prod. Bioprospect. 2017, 7, 151–169. [Google Scholar] [CrossRef]
- Zhang, C.; Pi, J.; Chen, S.; Liu, P.; Sun, P. Construction of a 4H-Pyrido [4,3,2-Gh]Phenanthridin-5(6H)-One Skeleton via a Catalyst-Free Radical Cascade Addition/Cyclization Using Azo Compounds as Radical Sources. Org. Chem. Front. 2018, 5, 793–796. [Google Scholar] [CrossRef]
- López-Alarcón, C.; Fuentes-Lemus, E.; Figueroa, J.D.; Dorta, E.; Schöneich, C.; Davies, M.J. Azocompounds as Generators of Defined Radical Species: Contributions and Challenges for Free Radical Research. Free. Radic. Biol. Med. 2020, 160, 78–91. [Google Scholar] [CrossRef]
- Udoikono, A.D.; Louis, H.; Eno, E.A.; Agwamba, E.C.; Unimuke, T.O.; Igbalagh, A.T.; Edet, H.O.; Odey, J.O.; Adeyinka, A.S. Reactive Azo Compounds as a Potential Chemotherapy Drugs in the Treatment of Malignant Glioblastoma (GBM): Experimental and Theoretical Studies. J. Photochem. Photobiol. 2022, 10, 100116. [Google Scholar] [CrossRef]
- Na Joo, H.; Huy Le, B.; Jun Seo, Y. Azo-Pyrene–Based Fluorescent Sensor of Reductive Cleavage of Isomeric Azo Functional Group. Tetrahedron Lett. 2017, 58, 679–681. [Google Scholar] [CrossRef]
- Kohei, M.; Takizawa, N.; Tsutsumi, R.; Xu, W.; Kumagai, N. Azo-Tagged C4N4 Fluorophores: Unusual Overcrowded Structures and Their Application to Fluorescent Imaging. Org. Biomol. Chem. 2023, 21, 2889–2893. [Google Scholar] [CrossRef]
- Concilio, S.; Iannelli, P.; Sessa, L.; Olivieri, R.; Porta, A.; De Santis, F.; Pantani, R.; Piotto, S. Biodegradable Antimicrobial Films Based on Poly(Lactic Acid) Matrices and Active Azo Compounds. J. Appl. Polym. Sci. 2015, 132, 42357. [Google Scholar] [CrossRef]
- Luo, C.; Xu, G.-L.; Ji, X.; Hou, S.; Chen, L.; Wang, F.; Jiang, J.; Chen, Z.; Ren, Y.; Amine, K.; et al. Reversible Redox Chemistry of Azo Compounds for Sodium-Ion Batteries. Angew. Chem. Int. Ed. 2018, 57, 2879–2883. [Google Scholar] [CrossRef]
- Li, J.; Huo, F.; Chen, T.; Yan, H.; Yang, Y.; Zhang, S.; Chen, S. In-Situ Construction of Stable Cathode/Li Interfaces Simultaneously via Different Electron Density Azo Compounds for Solid-State Lithium Metal Batteries. Energy Storage Mater. 2021, 40, 394–401. [Google Scholar] [CrossRef]
- Adu, J.K.; Amengor, C.D.K.; Mohammed Ibrahim, N.; Amaning-Danquah, C.; Owusu Ansah, C.; Gbadago, D.D.; Sarpong-Agyapong, J. Synthesis and In Vitro Antimicrobial and Anthelminthic Evaluation of Naphtholic and Phenolic Azo Dyes. J. Trop. Med. 2020, 2020, 4850492. [Google Scholar] [CrossRef]
- Luo, C.; Borodin, O.; Ji, X.; Hou, S.; Gaskell, K.J.; Fan, X.; Chen, J.; Deng, T.; Wang, R.; Jiang, J.; et al. Azo Compounds as a Family of Organic Electrode Materials for Alkali-Ion Batteries. Proc. Natl. Acad. Sci. USA 2018, 115, 2004–2009. [Google Scholar] [CrossRef] [PubMed]
- Fan, F.; Wang, C. Preparation and Photochromic Properties of Nanocapsules Containing Azo Compound with Polyurethane as Wall Material Using in Situ Polymerization. Polym.-Plast. Technol. Eng. 2014, 53, 1062–1069. [Google Scholar] [CrossRef]
- Nehls, E.M.; Rosales, A.M.; Anseth, K.S. Enhanced User-Control of Small Molecule Drug Release from a Poly(Ethylene Glycol) Hydrogel via Azobenzene/Cyclodextrin Complex Tethers. J. Mater. Chem. B 2016, 4, 1035–1039. [Google Scholar] [CrossRef]
- Xu, G.; Li, S.; Liu, C.; Wu, S. Photoswitchable Adhesives Using Azobenzene-Containing Materials. Chem. Asian J. 2020, 15, 547–554. [Google Scholar] [CrossRef] [PubMed]
- Sun, J.; Wang, F.; Zhang, H.; Liu, K. Azobenzene-Based Photomechanical Biomaterials. Adv. NanoBio Res. 2021, 1, 2100020. [Google Scholar] [CrossRef]
- Luo, C.; Ji, X.; Chen, J.; Gaskell, K.J.; He, X.; Liang, Y.; Jiang, J.; Wang, C. Solid-State Electrolyte Anchored with a Carboxylated Azo Compound for All-Solid-State Lithium Batteries. Angew. Chem. Int. Ed. 2018, 57, 8567–8571. [Google Scholar] [CrossRef] [PubMed]
- Smaniotto, A.; Mezalira, D.Z.; Zapp, E.; Gallardo, H.; Vieira, I.C. Electrochemical Immunosensor Based on an Azo Compound for Thyroid-Stimulating Hormone Detection. Microchem. J. 2017, 133, 510–517. [Google Scholar] [CrossRef]
- Peiris, S.; Sarina, S.; Han, C.; Xiao, Q.; Zhu, H.-Y. Silver and Palladium Alloy Nanoparticle Catalysts: Reductive Coupling of Nitrobenzene through Light Irradiation. Dalton Trans. 2017, 46, 10665–10672. [Google Scholar] [CrossRef] [PubMed]
- Chong, X.; Liu, C.; Huang, Y.; Huang, C.; Zhang, B. Potential-Tuned Selective Electrosynthesis of Azoxy-, Azo- and Amino-Aromatics over a CoP Nanosheet Cathode. Natl. Sci. Rev. 2020, 7, 285–295. [Google Scholar] [CrossRef] [PubMed]
- Chaiseeda, K.; Nishimura, S.; Ebitani, K. Gold Nanoparticles Supported on Alumina as a Catalyst for Surface Plasmon-Enhanced Selective Reductions of Nitrobenzene. ACS Omega 2017, 2, 7066–7070. [Google Scholar] [CrossRef] [PubMed]
- Yadav, G.D.; Mewada, R.K. Novelties of Azobenzene Synthesis via Selective Hydrogenation of Nitrobenzene over Nano-Fibrous Ag-OMS-2—Mechanism and Kinetics. Chem. Eng. J. 2013, 221, 500–511. [Google Scholar] [CrossRef]
- Arora, A.; Oswal, P.; Kumar Rao, G.; Kumar, S.; Kumar, A. Organoselenium Ligands for Heterogeneous and Nanocatalytic Systems: Development and Applications. Dalton Trans. 2021, 50, 8628–8656. [Google Scholar] [CrossRef]
- Pothula, K.; Tang, L.; Zha, Z.; Wang, Z. Bismuth Nanoparticles: An Efficient Catalyst for Reductive Coupling of Nitroarenes to Azo-Compounds. RSC Adv. 2015, 5, 83144–83148. [Google Scholar] [CrossRef]
- Agnoli, S. Interfacial Chemistry of Low-Dimensional Systems for Applications in Nanocatalysis. Eur. J. Inorg. Chem. 2018, 2018, 4311–4321. [Google Scholar] [CrossRef]
- Zou, Y.; Zhang, M.; Cao, F.; Li, J.; Zhang, S.; Qu, Y. Single Crystal MnOOH Nanotubes for Selective Oxidative Coupling of Anilines to Aromatic Azo Compounds. J. Mater. Chem. A 2021, 9, 19692–19697. [Google Scholar] [CrossRef]
- Liu, X.; Ye, S.; Li, H.-Q.; Liu, Y.-M.; Cao, Y.; Fan, K.-N. Mild, selective and switchable transfer reduction of nitroarenes catalyzed by supported gold nanoparticles. Catal. Sci. Technol. 2013, 3, 3200. [Google Scholar] [CrossRef]
- Teng, Y.; Wang, X.; Wang, M.; Liu, Q.; Shao, Y.; Li, H.; Liang, C.; Chen, X.; Wang, H. A Schiff-Base Modified Pt Nano-Catalyst for Highly Efficient Synthesis of Aromatic Azo Compounds. Catalysts 2019, 9, 339. [Google Scholar] [CrossRef]
- Gao, S.; Han, Y.; Fan, M.; Li, Z.; Ge, K.; Liang, X.-J.; Zhang, J. Metal-Organic Framework-Based Nanocatalytic Medicine for Chemodynamic Therapy. Sci. China Mater. 2020, 63, 2429–2434. [Google Scholar] [CrossRef]
- Ingale, G.; Seo, Y.J. Azo Compounds with Different Sized Fluorophores and Characterization of Their Photophysical Properties Based on Trans to Cis Conformational Change. Tetrahedron Lett. 2014, 55, 5247–5250. [Google Scholar] [CrossRef]
- Grebenkin, S.Y.; Syutkin, V.M.; Baranov, D.S. Mutual Orientation of the n → π * and π → π * Transition Dipole Moments in Azo Compounds: Determination by Light-Induced Optical Anisotropy. J. Photochem. Photobiol. A Chem. 2017, 344, 1–7. [Google Scholar] [CrossRef]
- Rezaei-Seresht, E.; Mireskandari, E.; Kheirabadi, M.; Cheshomi, H.; Rezaei-Seresht, H.; Aldaghi, L.S. Synthesis and Anticancer Activity of New Azo Compounds Containing Extended π-Conjugated Systems. Chem. Pap. 2017, 71, 1463–1469. [Google Scholar] [CrossRef]
- Bandara, H.M.D.; Burdette, S.C. Photoisomerization in Different Classes of Azobenzene. Chem. Soc. Rev. 2012, 41, 1809–1825. [Google Scholar] [CrossRef]
- Sarkar, S.; Sarkar, P.; Ghosh, P. Selective Single-Step Oxidation of Amine to Cross-Azo Compounds with an Unhampered Primary Benzyl Alcohol Functionality. Org. Lett. 2018, 20, 6725–6729. [Google Scholar] [CrossRef]
- Yang, Y.; Li, S.; Xie, C.; Liu, H.; Wang, Y.; Mei, Q.; Liu, H.; Han, B. Ethylenediamine Promoted the Hydrogenative Coupling of Nitroarenes over Ni/C Catalyst. Chin. Chem. Lett. 2019, 30, 203–206. [Google Scholar] [CrossRef]
- Dana, S.; Sahoo, H.; Bhattacharyya, A.; Mandal, A.; Prasad, E.; Baidya, M. Copper-Catalyzed Chelation-Assisted Synthesis of Unsymmetrical Aliphatic Azo Compounds. ChemistrySelect 2017, 2, 2029–2033. [Google Scholar] [CrossRef]
- Zhou, X.; Yang, Y.; Wang, J.; Ren, W.; Liu, S.; Zheng, C.; Gao, X. Enhancing Nitrobenzene Reduction to Azoxybenzene by Regulating the O-Vacancy Defects over Rationally Tailored CeO2 Nanocrystals. Appl. Surf. Sci. 2022, 572, 151343. [Google Scholar] [CrossRef]
- Zhang, Y.; Huang, C.; Lin, X.; Hu, Q.; Hu, B.; Zhou, Y.; Zhu, G. Modular Synthesis of Alkylarylazo Compounds via Iron(III)-Catalyzed Olefin Hydroamination. Org. Lett. 2019, 21, 2261–2264. [Google Scholar] [CrossRef] [PubMed]
- Liu, Y.; Liu, B.; Guo, A.; Dong, Z.; Jin, S.; Lu, Y. Reduction of Nitroarenes to Azoxybenzenes by Potassium Borohydride in Water. Molecules 2011, 16, 3563–3568. [Google Scholar] [CrossRef] [PubMed]
- Da Silva, M.A.R.; Rocha, G.F.S.R.; Diab, G.A.A.; Cunha, C.S.; Pastana, V.G.S.; Teixeira, I.F. Simple and Straightforward Method to Prepare Highly Dispersed Ni Sites for Selective Nitrobenzene Coupling to Azo/Azoxy Compounds. Chem. Eng. J. 2023, 460, 141068. [Google Scholar] [CrossRef]
- Han, S.; Cheng, Y.; Liu, S.; Tao, C.; Wang, A.; Wei, W.; Yu, H.; Wei, Y. Selective Oxidation of Anilines to Azobenzenes and Azoxybenzenes by a Molecular Mo Oxide Catalyst. Angew. Chem. Int. Ed. 2021, 60, 6382–6385. [Google Scholar] [CrossRef] [PubMed]
- Doherty, S.; Knight, J.G.; Backhouse, T.; Summers, R.J.; Abood, E.; Simpson, W.; Paget, W.; Bourne, R.A.; Chamberlain, T.W.; Stones, R.; et al. Highly Selective and Solvent-Dependent Reduction of Nitrobenzene to N-Phenylhydroxylamine, Azoxybenzene, and Aniline Catalyzed by Phosphino-Modified Polymer Immobilized Ionic Liquid-Stabilized AuNPs. ACS Catal. 2019, 9, 4777–4791. [Google Scholar] [CrossRef]
- Chen, W.; Li, H.; Jin, Y.; Wu, C.; Yuan, Z.; Ma, P.; Wang, J.; Niu, J. An Intriguing Tetranuclear Rh-Based Polyoxometalate for the Reduction of Nitroarene and Oxidation of Aniline. Chem. Commun. 2022, 58, 9902–9905. [Google Scholar] [CrossRef] [PubMed]
- Liu, X.; Li, H.-Q.; Ye, S.; Liu, Y.-M.; He, H.-Y.; Cao, Y. Gold-Catalyzed Direct Hydrogenative Coupling of Nitroarenes to Synthesize Aromatic Azo Compounds. Angew. Chem. Int. Ed. 2014, 53, 7624–7628. [Google Scholar] [CrossRef]
- Shen, J.; Xu, J.; Zhu, Q.; Zhang, P. Hypervalent Iodine(iii)-Promoted Rapid Cascade Reaction for the Synthesis of Unsymmetric Azo Compounds. Org. Biomol. Chem. 2021, 19, 3119–3123. [Google Scholar] [CrossRef]
- Shen, J.; Xu, J.; He, L.; Ouyang, Y.; Huang, L.; Li, W.; Zhu, Q.; Zhang, P. Photoinduced Rapid Multicomponent Cascade Reaction of Aryldiazonium Salts with Unactivated Alkenes and TMSN3. Org. Lett. 2021, 23, 1204–1208. [Google Scholar] [CrossRef]
- Khaligh, N.G.; Hamid, S.B.A.; Johari, S. Telescopic Synthesis of Azo Compounds via Stable Arenediazonium Tosylates by Using n-Butyl Nitrite as Diazotization Reagent. Polycycl. Aromat. Compd. 2019, 39, 346–352. [Google Scholar] [CrossRef]
- Wang, Y.; Yihuo, A.; Wang, L.; Dong, S.; Feng, X. Catalytic Asymmetric Synthesis of Chiral Azo Compounds via Interrupted Japp-Klingemann Reaction with Aryldiazonium Salts. Sci. China Chem. 2022, 65, 546–553. [Google Scholar] [CrossRef]
- Hu, J.; Song, T.; Yu, M.-M.; Yu, H. Optically Controlled Solid-to-Liquid Phase Transition Materials Based on Azo Compounds. Chem. Mater. 2023, 35, 4621–4648. [Google Scholar] [CrossRef]
- An, Y.; Tan, H.; Zhao, S. Ag2 CO3 Mediated Oxidative Dehydrogenative Coupling of Anilines Giving Aromatic Azo Compounds. Chin. J. Org. Chem. 2017, 37, 226. [Google Scholar] [CrossRef]
- Monir, K.; Ghosh, M.; Mishra, S.; Majee, A.; Hajra, A. Phenyliodine(III) Diacetate (PIDA) Mediated Synthesis of Aromatic Azo Compounds through Oxidative Dehydrogenative Coupling of Anilines: Scope and Mechanism: PIDA-Mediated Synthesis of Aromatic Azo Compounds. Eur. J. Org. Chem. 2014, 2014, 1096–1102. [Google Scholar] [CrossRef]
- Antoine John, A.; Lin, Q. Synthesis of Azobenzenes Using N-Chlorosuccinimide and 1,8-Diazabicyclo[5.4.0]Undec-7-Ene (DBU). J. Org. Chem. 2017, 82, 9873–9876. [Google Scholar] [CrossRef]
- Sarkar, P.; Mukhopadhyay, C. First Use of P-Tert-Butylcalix[4]Arene-Tetra-O-Acetate as a Nanoreactor Having Tunable Selectivity towards Cross Azo-Compounds by Trapping Silver Ions. Green. Chem. 2016, 18, 442–451. [Google Scholar] [CrossRef]
- Amtawong, J.; Balcells, D.; Wilcoxen, J.; Handford, R.C.; Biggins, N.; Nguyen, A.I.; Britt, R.D.; Tilley, T.D. Isolation and Study of Ruthenium–Cobalt Oxo Cubanes Bearing a High-Valent, Terminal RuV–Oxo with Significant Oxyl Radical Character. J. Am. Chem. Soc. 2019, 141, 19859–19869. [Google Scholar] [CrossRef]
- Qin, H.; Liu, C.; Lv, N.; He, W.; Meng, J.; Fang, Z.; Guo, K. Continuous and Green Microflow Synthesis of Azobenzene Compounds Catalyzed by Consecutively Prepared Tetrahedron CuBr. Dye. Pigment. 2020, 174, 108071. [Google Scholar] [CrossRef]
- Hu, L.; Cao, X.; Chen, L.; Zheng, J.; Lu, J.; Sun, X.; Gu, H. Highly Efficient Synthesis of Aromatic Azos Catalyzed by Unsupported Ultra-Thin Pt Nanowires. Chem. Commun. 2012, 48, 3445. [Google Scholar] [CrossRef]
- Ötvös, S.B.; Georgiádes, Á.; Mészáros, R.; Kis, K.; Pálinkó, I.; Fülöp, F. Continuous-Flow Oxidative Homocouplings without Auxiliary Substances: Exploiting a Solid Base Catalyst. J. Catal. 2017, 348, 90–99. [Google Scholar] [CrossRef]
- Oseghale, C.O.; Fapojuwo, D.P.; Alimi, O.A.; Akinnawo, C.A.; Mogudi, B.M.; Onisuru, O.R.; Meijboom, R. Bifunctional Cs−Au/Co3O4 (Basic and Redox)-Catalyzed Oxidative Synthesis of Aromatic Azo Compounds from Anilines. Eur. J. Org. Chem. 2021, 2021, 5063–5073. [Google Scholar] [CrossRef]
- Wang, J.; He, J.; Zhi, C.; Luo, B.; Li, X.; Pan, Y.; Cao, X.; Gu, H. Highly Efficient Synthesis of Azos Catalyzed by the Common Metal Copper (0) through Oxidative Coupling Reactions. RSC Adv. 2014, 4, 16607. [Google Scholar] [CrossRef]
- Zhang, X.; Yao, J.; Ke, X. Tuning Catalytic Selectivity in Cascade Reactions by Light Irradiation. Catal. Lett. 2018, 148, 1124–1129. [Google Scholar] [CrossRef]
- Saha, A.; Payra, S.; Selvaratnam, B.; Bhattacharya, S.; Pal, S.; Koodali, R.T.; Banerjee, S. Hierarchical Mesoporous RuO2/Cu2O Nanoparticle-Catalyzed Oxidative Homo/Hetero Azo-Coupling of Anilines. ACS Sustain. Chem. Eng. 2018, 6, 11345–11352. [Google Scholar] [CrossRef]
- Cai, S.; Rong, H.; Yu, X.; Liu, X.; Wang, D.; He, W.; Li, Y. Room Temperature Activation of Oxygen by Monodispersed Metal Nanoparticles: Oxidative Dehydrogenative Coupling of Anilines for Azobenzene Syntheses. ACS Catal. 2013, 3, 478–486. [Google Scholar] [CrossRef]
- Yaghoubian, A.; Hodgson, G.K.; Adler, M.J.; Impellizzeri, S. Direct Photochemical Route to Azoxybenzenes via Nitroarene Homocoupling. Org. Biomol. Chem. 2022, 20, 7332–7337. [Google Scholar] [CrossRef] [PubMed]
- Ma, Y.; Wu, S.; Jiang, S.; Xiao, F.; Deng, G. Electrosynthesis of Azobenzenes Directly from Nitrobenzenes. Chin. J. Chem. 2021, 39, 3334–3338. [Google Scholar] [CrossRef]
- Ke, X.; Zhang, X.; Zhao, J.; Sarina, S.; Barry, J.; Zhu, H. Selective Reductions Using Visible Light Photocatalysts of Supported Gold Nanoparticles. Green. Chem. 2013, 15, 236–244. [Google Scholar] [CrossRef]
- Tran, V.H.; Kim, H.-K. Visible-Light-Driven SAQS-Catalyzed Aerobic Oxidative Dehydrogenation of Alkyl 2-Phenylhydrazinecarboxylates. RSC Adv. 2022, 12, 30304–30309. [Google Scholar] [CrossRef]
- Du, K.-S.; Huang, J.-M. Electrochemical Dehydrogenation of Hydrazines to Azo Compounds. Green. Chem. 2019, 21, 1680–1685. [Google Scholar] [CrossRef]
- Luo, C.; Ji, X.; Hou, S.; Eidson, N.; Fan, X.; Liang, Y.; Deng, T.; Jiang, J.; Wang, C. Azo Compounds Derived from Electrochemical Reduction of Nitro Compounds for High Performance Li-Ion Batteries. Adv. Mater. 2018, 30, 1706498. [Google Scholar] [CrossRef]
- He, Y.; Shangguan, Z.; Zhang, Z.; Xie, M.; Yu, C.; Li, T. Azobispyrazole Family as Photoswitches Combining (Near-) Quantitative Bidirectional Isomerization and Widely Tunable Thermal Half-Lives from Hours to Years**. Angew. Chem. Int. Ed. 2021, 60, 16539–16546. [Google Scholar] [CrossRef] [PubMed]
- Yoshida, Y.; Ida, H.; Mino, T.; Sakamoto, M. Formal [3 + 2] Cycloaddition of α-Imino Esters with Azo Compounds: Facile Construction of Pentasubstituted 1,2,4-Triazoline Skeletons. Molecules 2023, 28, 4339. [Google Scholar] [CrossRef] [PubMed]
- Ye, D.; Liu, L.; Peng, Q.; Qiu, J.; Gong, H.; Zhong, A.; Liu, S. Effect of Controlling Thiophene Rings on D-A Polymer Photocatalysts Accessed via Direct Arylation for Hydrogen Production. Molecules 2023, 28, 4507. [Google Scholar] [CrossRef] [PubMed]
- Dutta, B.; Biswas, S.; Sharma, V.; Savage, N.O.; Alpay, S.P.; Suib, S.L. Mesoporous Manganese Oxide Catalyzed Aerobic Oxidative Coupling of Anilines to Aromatic Azo Compounds. Angew. Chem. Int. Ed. 2016, 55, 2171–2175. [Google Scholar] [CrossRef] [PubMed]
- Jiang, B.; Du, Y.-Y.; Han, G.-Z. Palladium-Mediated Base-Free and Solvent-Free Synthesis of Aromatic Azo Compounds from Anilines Catalyzed by Copper Acetate. Green. Process. Synth. 2022, 11, 823–829. [Google Scholar] [CrossRef]
- Maier, M.S.; Hüll, K.; Reynders, M.; Matsuura, B.S.; Leippe, P.; Ko, T.; Schäffer, L.; Trauner, D. Oxidative Approach Enables Efficient Access to Cyclic Azobenzenes. J. Am. Chem. Soc. 2019, 141, 17295–17304. [Google Scholar] [CrossRef]
- Shukla, A.; Singha, R.K.; Konathala, L.N.S.; Sasaki, T.; Bal, R. Catalytic Oxidation of Aromatic Amines to Azoxy Compounds over a Cu–CeO 2 Catalyst Using H2O2 as an Oxidant. RSC Adv. 2016, 6, 22812–22820. [Google Scholar] [CrossRef]
- Kim, M.H.; Kim, J. Aerobic Oxidation of Alkyl 2-Phenylhydrazinecarboxylates Catalyzed by CuCl and DMAP. J. Org. Chem. 2018, 83, 1673–1679. [Google Scholar] [CrossRef]
- Su, Y.; Liu, X.; Yu, J.; Cao, G.; Zhang, R.; Zhao, Y.; Huang, D.; Wang, K.-H.; Huo, C.; Hu, Y. Trichloroisocyanuric Acid Mediated Oxidative Dehydrogenation of Hydrazines: A Practical Chemical Oxidation to Access Azo Compounds. Synthesis 2020, 52, 1103–1112. [Google Scholar] [CrossRef]
- Jiang, B.; Ning, Y.; Fan, W.; Tu, S.-J.; Li, G. Oxidative Dehydrogenative Couplings of Pyrazol-5-Amines Selectively Forming Azopyrroles. J. Org. Chem. 2014, 79, 4018–4024. [Google Scholar] [CrossRef] [PubMed]
- Mondal, B.; Mukherjee, P.S. Cage Encapsulated Gold Nanoparticles as Heterogeneous Photocatalyst for Facile and Selective Reduction of Nitroarenes to Azo Compounds. J. Am. Chem. Soc. 2018, 140, 12592–12601. [Google Scholar] [CrossRef] [PubMed]
- Yan, Z.; Xie, X.; Song, Q.; Ma, F.; Sui, X.; Huo, Z.; Ma, M. Tandem Selective Reduction of Nitroarenes Catalyzed by Palladium Nanoclusters. Green. Chem. 2020, 22, 1301–1307. [Google Scholar] [CrossRef]
- Liu, Q.; Xu, Y.; Qiu, X.; Huang, C.; Liu, M. Chemoselective Hydrogenation of Nitrobenzenes Activated with Tuned Au/h-BN. J. Catal. 2019, 370, 55–60. [Google Scholar] [CrossRef]
- Pahalagedara, M.N.; Pahalagedara, L.R.; He, J.; Miao, R.; Gottlieb, B.; Rathnayake, D.; Suib, S.L. Room Temperature Selective Reduction of Nitrobenzene to Azoxybenzene over Magnetically Separable Urchin-like Ni/Graphene Nanocomposites. J. Catal. 2016, 336, 41–48. [Google Scholar] [CrossRef]
- Wang, J.; Yu, X.; Shi, C.; Lin, D.; Li, J.; Jin, H.; Chen, X.; Wang, S. Iron and Nitrogen Co-Doped Mesoporous Carbon-Based Heterogeneous Catalysts for Selective Reduction of Nitroarenes. Adv. Synth. Catal. 2019, 361, 3525–3531. [Google Scholar] [CrossRef]
- Moran, M.J.; Martina, K.; Baricco, F.; Tagliapietra, S.; Manzoli, M.; Cravotto, G. Tuneable Copper Catalysed Transfer Hydrogenation of Nitrobenzenes to Aniline or Azo Derivatives. Adv. Synth. Catal. 2020, 362, 2689–2700. [Google Scholar] [CrossRef]
- Hu, L.; Cao, X.; Shi, L.; Qi, F.; Guo, Z.; Lu, J.; Gu, H. A Highly Active Nano-Palladium Catalyst for the Preparation of Aromatic Azos under Mild Conditions. Org. Lett. 2011, 13, 5640–5643. [Google Scholar] [CrossRef]
- Huang, R.; Wang, Y.; Liu, X.; Zhou, P.; Jin, S.; Zhang, Z. Co–N x Catalyst: An Effective Catalyst for the Transformation of Nitro Compounds into Azo Compounds. React. Chem. Eng. 2021, 6, 112–118. [Google Scholar] [CrossRef]
- Qiao, W.; Waseem, I.; Shang, G.; Wang, D.; Li, Y.; Besenbacher, F.; Niemantsverdriet, H.; Yan, C.; Su, R. Paired Electrochemical N–N Coupling Employing a Surface-Hydroxylated Ni3 Fe-MOF-OH Bifunctional Electrocatalyst with Enhanced Adsorption of Nitroarenes and Anilines. ACS Catal. 2021, 11, 13510–13518. [Google Scholar] [CrossRef]
- Gong, W.; Mao, X.; Zhang, J.; Lin, Y.; Zhang, H.; Du, A.; Xiong, Y.; Zhao, H. Ni–Co Alloy Nanoparticles Catalyze Selective Electrochemical Coupling of Nitroarenes into Azoxybenzene Compounds in Aqueous Electrolyte. ACS Nano 2023, 17, 3984–3995. [Google Scholar] [CrossRef] [PubMed]
- Zhang, Y.-F.; Mellah, M. Convenient Electrocatalytic Synthesis of Azobenzenes from Nitroaromatic Derivatives Using SmI2. ACS Catal. 2017, 7, 8480–8486. [Google Scholar] [CrossRef]
- Zhou, B.; Song, J.; Wu, T.; Liu, H.; Xie, C.; Yang, G.; Han, B. Simultaneous and Selective Transformation of Glucose to Arabinose and Nitrosobenzene to Azoxybenzene Driven by Visible-Light. Green. Chem. 2016, 18, 3852–3857. [Google Scholar] [CrossRef]
- Wang, B.; Deng, Z.; Li, Z. Efficient Chemoselective Hydrogenation of Nitrobenzene to Aniline, Azoxybenzene and Azobenzene over CQDs/ZnIn2S4 Nanocomposites under Visible Light. J. Catal. 2020, 389, 241–246. [Google Scholar] [CrossRef]
- Sousa, A.C.; Baptista, S.R.; Martins, L.O.; Robalo, M.P. Synthesis of Azobenzene Dyes Mediated by CotA Laccase. Chem. Asian J. 2019, 14, 187–193. [Google Scholar] [CrossRef]
- Pariyar, G.C.; Kundu, T.; Mitra, B.; Mukherjee, S.; Ghosh, P. Ethyl Lactate: An Efficient Green Mediator for Transition Metal Free Synthesis of Symmetric and Unsymmetric Azobenzenes. ChemistrySelect 2020, 5, 9781–9786. [Google Scholar] [CrossRef]
- Xie, R.; Xiao, Y.; Wang, Y.; Xu, Z.-W.; Tian, N.; Li, S.; Zeng, M.-H. Hydrazine–Halogen Exchange Strategy Toward N=N-Containing Compounds and Process Tracking for Mechanistic Insight. Org. Lett. 2023, 25, 2415–2419. [Google Scholar] [CrossRef]
- Finck, L.; Oestreich, M. Synthesis of Non-Symmetric Azoarenes by Palladium-Catalyzed Cross-Coupling of Silicon-Masked Diazenyl Anions and (Hetero)Aryl Halides. Angew. Chem. Int. Ed. 2022, 61, e202210907. [Google Scholar] [CrossRef]


























Disclaimer/Publisher’s Note: The statements, opinions and data contained in all publications are solely those of the individual author(s) and contributor(s) and not of MDPI and/or the editor(s). MDPI and/or the editor(s) disclaim responsibility for any injury to people or property resulting from any ideas, methods, instructions or products referred to in the content. |
© 2023 by the authors. Licensee MDPI, Basel, Switzerland. This article is an open access article distributed under the terms and conditions of the Creative Commons Attribution (CC BY) license (https://creativecommons.org/licenses/by/4.0/).
Share and Cite
Zhao, M.-Y.; Tang, Y.-F.; Han, G.-Z. Recent Advances in the Synthesis of Aromatic Azo Compounds. Molecules 2023, 28, 6741. https://doi.org/10.3390/molecules28186741
Zhao M-Y, Tang Y-F, Han G-Z. Recent Advances in the Synthesis of Aromatic Azo Compounds. Molecules. 2023; 28(18):6741. https://doi.org/10.3390/molecules28186741
Chicago/Turabian StyleZhao, Meng-Yun, Yue-Feng Tang, and Guo-Zhi Han. 2023. "Recent Advances in the Synthesis of Aromatic Azo Compounds" Molecules 28, no. 18: 6741. https://doi.org/10.3390/molecules28186741
APA StyleZhao, M.-Y., Tang, Y.-F., & Han, G.-Z. (2023). Recent Advances in the Synthesis of Aromatic Azo Compounds. Molecules, 28(18), 6741. https://doi.org/10.3390/molecules28186741

