Schiff Bases and Stereocontrolled Formation of Fused 1,3-Oxazolidines from 1-Amino-2-Indanol: A Systematic Study on Structure and Mechanism
Abstract
1. Introduction
2. Results and Discussion
2.1. Imine Synthesis
2.2. Solid-State Structures
2.3. Structures in Solution
2.4. Theoretical Calculations on Imine–Enamine Stability
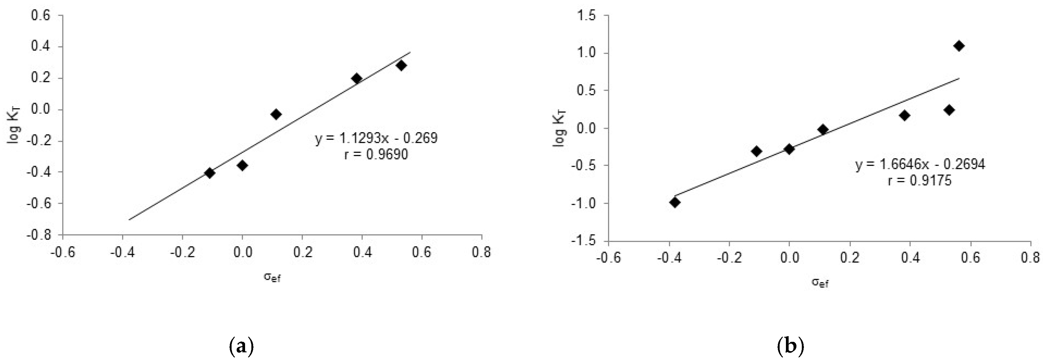
2.5. Electronic Effect of the Substituents on Imine–Enamine Tautomeric Equilibria
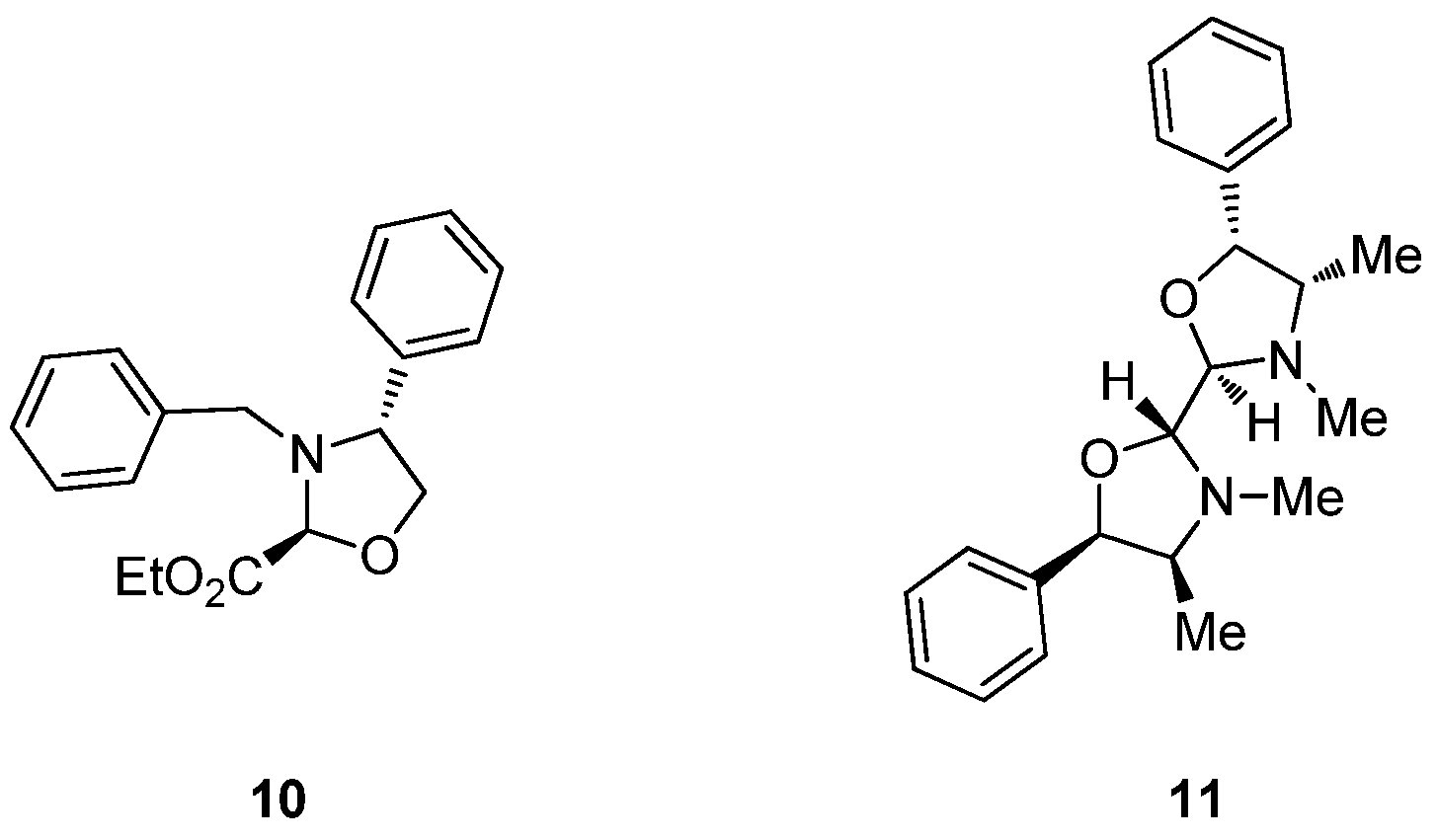
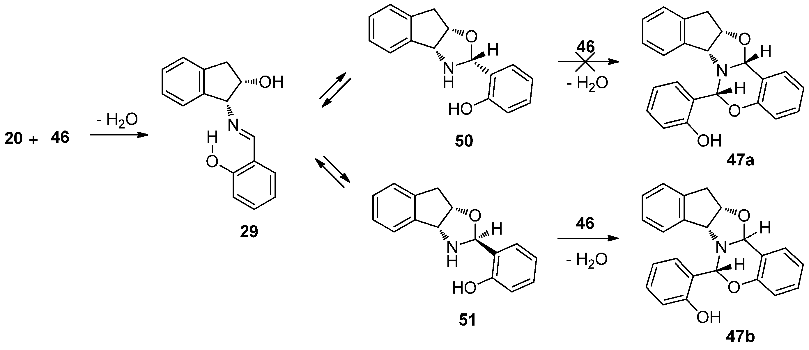
2.6. Reaction of 1-Amino-2-Indanol with Salicylaldehyde
- (a)
- (b)
- The oxazolidine fragment shows a 3T2 conformation.
- (c)
- The oxazine ring adopts an unusual conformation for a six-membered heterocycle because five atoms lie approximately in the same plane, which is reflected by the low values of the dihedral angles ΦO2,C8,C13,C14 (2.56°) and ΦO2,C8,C13,C14 (9.12°), whereas the carbon atom between the oxygen and nitrogen atoms lies above that plane.
2.7. On the Stability of Diastereomeric Combinations
2.8. Hydrogen Bonding Energy
2.9. Reaction Mechanism: Experiment and Rationale
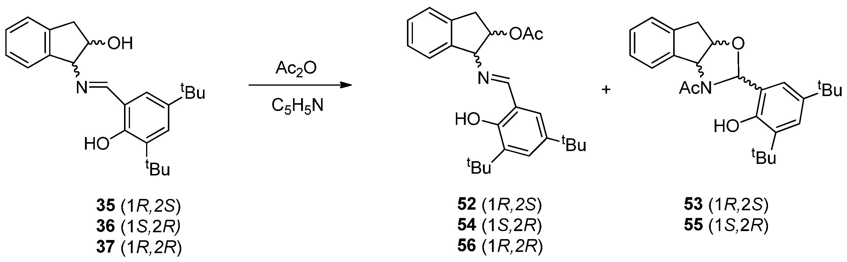
2.10. Acetylation of Indanol Imines
2.11. Imine Formation versus Oxazolidine Rings
- (a)
- When imine 35 is acetylated in pyridine at room temperature and worked-up as usual (poured into ice-water after 24 h), the crude product consisted in O-acetylated imine (52) and N-acetylated oxazolidine (53) in a 5:2 ratio.
- (b)
- Acetylation of 35 under the above conditions and then brought to dryness to avoid the aqueous work-up resulted in the same 5:2 ratio of 52 and 53. Clearly, the phenolic hydroxyl substituents do not undergo acetylation, thus evidencing a strong steric hindrance imposed by adjacent groups. It is known that this acetylation reaction is very sensitive to steric crowding when the tetrahedral intermediate leading to acetate is generated [76,77].
- (c)
- Acetylation of imine 35 in pyridine at −20 °C and worked up after 24 h by pouring the reaction into ice water resulted in a crude mixture of 52:53 in 7:1 ratio.
- (d)
- Acetylation of imine 35 in pyridine at 70 °C for 2 h followed by aqueous work-up decreased the 52:53 ratio to 2:1.
- (e)
- When imine 35 is acetylated in pyridine at higher temperatures (110–120 °C) for 2 h followed by aqueous work-up, the 52:53 ratio decreased further (1:1). Moreover, additional signals appeared in the proton NMR spectrum, most likely due to thermal decomposition.
- (f)
- Finally, to determine whether or not imine–oxazolidine interconversion takes place, compound 52 was subjected to acetylation (in pyridine at 110–120 °C) for 2 h, followed by product isolation after aqueous work-up. NMR monitoring gave no indication of oxazolidine (53) formation, albeit peaks accounting for a new side product (4:1 ratio) could be observed. The latter might be ascribed to per-O-diacetylated imine. Thus, at a high temperature, the formation of oxazolidine with respect to imine is favored, which was a behavior pointing to kinetic control during the formation of compounds 52 and 53.
3. Materials and Methods
3.1. General Methods
3.2. Computation
3.3. X-ray Data Collection and Structural Refinement
3.4. Synthetic Procedures: Method A
3.5. Synthetic Procedures: Method B
3.6. Synthetic Procedures: Method C
3.7. General Acetylation Procedure
4. Conclusions
Supplementary Materials
Author Contributions
Funding
Institutional Review Board Statement
Informed Consent Statement
Data Availability Statement
Acknowledgments
Conflicts of Interest
Sample Availability
References
- Martínez, R.F.; Ávalos, M.; Babiano, R.; Cintas, P.; Jiménez, J.L.; Light, M.E.; Palacios, J.C.; Pérez, E.M.S. An anomeric effect drives the regiospecific ring-opening of 1,3-oxazolidines under acetylating conditions. Eur. J. Org. Chem. 2010, 2010, 5263–5273. [Google Scholar] [CrossRef]
- Martínez, R.F.; Ávalos, M.; Babiano, R.; Cintas, P.; Jiménez, J.L.; Light, M.E.; Palacios, J.C.; Pérez, E.M.S. Schiff Bases from TRIS and formylpyridines: Structure and mechanistic rationale aided by DFT calculations. Eur. J. Org. Chem. 2010, 2010, 6224–6232. [Google Scholar] [CrossRef]
- Neelakantan, L.; Molin-Case, J.A. Crystal and molecular structure of 2-p-bromophenyl-3,4-dimethyl-5-phenyloxazolidine. J. Org. Chem. 1971, 36, 2261–2262. [Google Scholar] [CrossRef] [PubMed]
- Just, G.; Potvin, P.; Uggowitzer, P. Configuration at the 2-position of oxazolidines derived from l-ephedrine and p-bromobenzaldehyde. An x-ray structure redetermination. J. Org. Chem. 1983, 48, 2923–2924. [Google Scholar] [CrossRef]
- Andrés, C.; González, A.; Pedrosa, R.; Pérez-Encabo, A.; García-Granda, S.; Salvado, M.A.; Gómez-Beltran, F. A new chiral glycine synthon. Synthesis, x-ray structure of (−).(2S,4R)-2-ethoxycarbonyl-4-phenyl-1,3-oxazolidine and diastereoselective nucleophilic ring opening to (R)-ethyl α-amino carboxylates. Tetrahedron Lett. 1992, 33, 4743–4746. [Google Scholar] [CrossRef]
- O’Brien, P.; Warren, S. Asymmetric synthesis with diphenylphosphine oxides: Bicyclic aminals and oxazolidines as chiral auxiliaries. Tetrahedron Asymmetry 1996, 7, 3431–3444. [Google Scholar] [CrossRef]
- Agami, C.; Couty, F.; Lequesne, C. Asymmetric synthesis of homochiral 1,2-diols via N-boc oxazolidines. Tetrahedron Lett. 1994, 35, 3309–3312. [Google Scholar] [CrossRef]
- Santes, V.; Ortiz, A.; Santillan, R.; Gutiérrez, A.; Farfan, N. Syntheses of Bisoxazolidines and Morpholones. Synth. Commun. 1999, 29, 1277–1286. [Google Scholar] [CrossRef]
- Agami, C.; Rizk, T. Stereochemistry-60: Kinetic control of asymmetric induction during oxazolidine formation from (-)-ephedrine and aromatic aldehydes. Tetrahedron 1985, 41, 537–540. [Google Scholar] [CrossRef]
- Ávalos, M.; Babiano, R.; Cintas, P.; Jiménez, J.L.; Light, M.E.; Palacios, J.C.; Pérez, E.M. Chiral N-Acyloxazolidines: Synthesis, Structure, and Mechanistic Insights. J. Org. Chem. 2008, 73, 661–672. [Google Scholar] [CrossRef]
- Martínez, R.F.; Avalos, M.; Babiano, R.; Cintas, P.; Jiménez, J.L.; Light, M.E.; Palacios, J.C.; Pérez, E.M.S. An efficient and highly diastereoselective synthesis of C-glycosylated 1,3-oxazolidines from N-methyl-D-glucamine. Tetrahedron 2008, 64, 6377–6386. [Google Scholar] [CrossRef]
- Lindeman, S.V.; Andrianov, V.G.; Kravcheni, S.G.; Potapov, V.M.; Potekhin, K.A.; Struchkov, Y.T. Crystal and molecular structures of the two crystalline modifications of N-salicylidene-pentafluoroaniline. J. Struct. Chem. 1981, 22, 578–585. [Google Scholar] [CrossRef]
- Filipenko, O.S.; Ponomarev, V.I.; Bolotin, B.M.; Atovmyan, L.O. Crystal and molecular structure of a red modification of N-salicylidene-p-dimethylaminoaniline. Kristallografiya 1983, 28, 889–895. [Google Scholar]
- Aldoshin, S.M.; Atovmyan, L.O.; Ponomarev, V.I. Structure, spectral-luminescent and thermochromic properties of “yellow” N-salicylidene-p-dimethylaminoaniline crystals. Khim. Fiz. Sov. 1984, 3, 787–791. [Google Scholar]
- Bregman, J.; Leiserowitz, L.; Osaki, K.; Topochemistry, X. The crystal and molecular structures of 2-chloro-N-salicylideneaniline. J. Chem. Soc. 1964, 2086–2100. [Google Scholar] [CrossRef]
- Aldoshin, S.M.; Knyazhanskii, M.I.; Tymyanskii, Y.R.; Atovmyan, L.O.; D’Yachenko, O.A. Effect of intermolecular interactions on photo- and thermochromic properties of crystalline salicylaldehyde arylimines. Khim. Fiz. 1982, 1015–1023. [Google Scholar]
- Obodovskaya, A.E.; Starikova, Z.A.; Bolotin, B.M.; Safonova, T.N.; Etingen, N.B. X-Ray diffraction study of two crystalline modifications of N-(4-ethoxysalicylidene)-4-methylaniline. J. Struct. Chem. 1985, 26, 92–99. [Google Scholar] [CrossRef]
- Filipenko, O.S.; Atovmyan, L.O.; Tarnopol’skii, B.L.; Safina, Z.S. Crystal structures of nematogenic p-ethoxy- and p-propoxysalicylidene-p’-butylanilines. J. Struct. Chem. 1979, 20, 60–66. [Google Scholar] [CrossRef]
- Ondracek, J.; Kovarova, Z.; Maixner, J.; Jursik, F. Structure of o-(salicylideneamino)phenol hydrochloride. Acta Crystallogr. 1993, C49, 1948–1949. [Google Scholar]
- Mansilla-Koblavi, F.; Toure, S.; Lapasset, J.; Carles, M.; Bodot, H. N-Salicylidene trimethyl-2,4,6 aniline. Acta Crystallogr. 1989, C45, 451–453. [Google Scholar] [CrossRef]
- Inabe, T.; Hoshino, N.; Mitani, T.; Maruyama, Y. Structure and optical properties of a thermochromic Schiff Base. Low-temperature structural studies of the N,N′-disalicylidene-p-phenylenediamine and N,N′-disalicylidene-1,6-pyrenediamine crystals. Bull. Chem. Soc. Jpn. 1989, 62, 2245–2251. [Google Scholar] [CrossRef]
- Moloney, G.P.; Gable, R.W.; Iskander, M.N.; Craik, D.J.; Mackay, M.F. Anomalies in the reduction of the Schiff bases 5-(diethylamino)-2-(phenyliminomethyl)phenol and 2-[(4-diethylaminophenyl)iminomethyl]-phenol and their crystal Structures. Aust. J. Chem. 1990, 43, 99–107. [Google Scholar] [CrossRef]
- Inabe, T.; Gautier-Luneau, I.; Hoshino, N.; Okaniwa, K.; Okamoto, H.; Mitani, T.; Nagashima, U.; Maruyama, Y. Structure and optical properties of themochromic schiff bases. Charge transfer interaction and proton transfer in the N-tetrachlorosalicylideneaniline and N-tetrachlorosalicylidene-1-pyrenylamine crystals. Bull. Chem. Soc. Jpn. 1991, 64, 801–810. [Google Scholar] [CrossRef]
- Sergienko, V.S.; Mistryuko, A.E.; Litvino, V.V.; Knyazhanski, M.I.; Garnovskii, A.D.; Porai-Koshits, M.A. Preparation and crystal structure of 2-hydroxy-1-naphthylmethyleneaniline and its zinc chloride complex. Koord. Khim. 1990, 16, 168–176. [Google Scholar]
- Yeap, G.-Y.; Gan, C.-L.; Fun, H.-K.; Shawkataly, O.B.; Teoh, S.-G. Structure of 2-[(3-nitrophenylimino)methyl]phenol. Acta Crystallogr. 1992, C48, 1143–1144. [Google Scholar] [CrossRef]
- Wozniak, K.; He, H.; Klinowski, J.; Jones, W.; Dziembowska, T.; Grech, E. Intramolecular hydrogen bonding in N-salicylideneanilines. X-ray diffraction and solid-state NMR studies. J. Chem. Soc. Faraday Trans. 1995, 91, 77–85. [Google Scholar] [CrossRef]
- Kwiatkowski, E.; Olechnowicz, A.; Kosciuszko-Panek, B.; Ho, D.M. Crystal and molecular structure of N-salicylidene-1,2-diaminobenzene. Pol. J. Chem. 1994, 68, 85–92. [Google Scholar]
- Mansilla-Koblavi, F.; Tenon, J.A.; Toure, S.; Ebby, N.; Lapasset, J.; Carles, M. Une serie de N-(2,3-dihydroxybenzilidene)amines: Manifestation d’equilibres tautomères. Acta Crystallogr. 1995, C51, 1595–1602. [Google Scholar] [CrossRef]
- Fernández-G., J.M.; Rodríguez-Romero, A.; Pannerselvam, K.; Soriano-García, M. Two 2,3-naphthalenic Schiff bases. Acta Crystallogr. 1995, C51, 1643–1646. [Google Scholar] [CrossRef]
- Elerman, Y.; Elmali, A.; Atakol, O.; Svoboda, I. N-(2-Hydroxyphenyl)salicylaldimine. Acta Crystallogr. 1995, C51, 2344–2346. [Google Scholar] [CrossRef]
- Tenon, J.A.; Carles, M.; Aycard, J.-P. N-(5-Hydroxysalicylidène)-2,4,6-triméthylaniline. Acta Crystallogr. 1995, C51, 2603–2606. [Google Scholar] [CrossRef]
- Tafeenko, V.A.; Popov, S.I.; Medvedev, S.V. X-Ray study of the base of blue-black alizarine B dye at room and low (−150 °C) temperatures. Zh. Strukt. Khim. 1991, 32, 106–109. [Google Scholar]
- Tafeenko, V.A.; Bogdan, T.V.; Medvedev, S.V.; Kozyrev, A.A.; Popov, S.I. Crystal and molecular structure of the dibutyl derivative of alizarin blue-black B. Zh. Strukt. Khim 1991, 32, 169–171. [Google Scholar]
- Puranik, V.-G.; Tavale, S.S.; Kumbhar, A.S.; Yerande, R.G.; Padhye, S.B.; Butche, R.J. Crystal and molecular structure of an anchored catechol ligand: 2,3-dihydroxy benzenemethanimine α-(2-hydroxymethyl)phenyl. J. Cryst. Spectrosc. Res. 1992, 22, 725–731. [Google Scholar] [CrossRef]
- Schilf, W.; Kamiénski, B.; Szady-Chelmieniecka, A.; Grech, E. The 15N and 13C solid state NMR study of intramolecular hydrogen bond in some Schiff bases. J. Mol. Struct. 2004, 700, 105–108. [Google Scholar] [CrossRef]
- Schilf, W.; Kamiénski, B.; Kolodziej, B.; Grech, E. The NMR study of hydrogen bond formation in some tris(((-salicylidene)amino)ethyl)amine derivatives in solution and in the solid state. J. Mol. Struct. 2004, 708, 33–38. [Google Scholar] [CrossRef]
- Wojciechowski, G.; Przybylski, P.; Schilf, W.; Kamiénski, B.; Brzezinski, B. Spectroscopic studies of Schiff bases of 2,2′-dihydroxybiphenyl-3-carbaldehyde and para substituted anilines. J. Mol. Struct. 2003, 649, 197–205. [Google Scholar] [CrossRef]
- Wojciechowski, G.; Ratajczak-Sitarz, M.; Katrusiak, A.; Schilf, W.; Przybylski, P.; Brzezinski, B. Crystal structure of Schiff base derivative of 2,2′-dihydroxybiphenyl-3-carbaldehyde with n-butylamine. J. Mol. Struct. 2003, 650, 191–199. [Google Scholar] [CrossRef]
- Kolodziej, B.; Dominiak, P.M.; Koscielecka, A.; Schilf, W.; Wozniak, K. Neutral and ionic multiple hydrogen bonded moieties in crystal structure of a one tripodal Schiff base. J. Mol. Struct. 2004, 691, 133–139. [Google Scholar] [CrossRef]
- Montalvo-González, R.; Ariza-Castolo, A. Molecular structure of di-aryl-aldimines by multinuclear magnetic resonance and X-ray diffraction. J. Mol. Struct. 2003, 655, 375–389. [Google Scholar] [CrossRef]
- Berger, S.; Braun, S.; Kalinowski, H.-O. NMR Spectroscopy of the Non-Metallic Elements; John Wiley & Sons: Hoboken, NJ, USA, 1996. [Google Scholar]
- Alarcón, S.H.; Olivieri, A.C.; Sanz, D.; Claramunt, R.M.; Elguero, J. Substituent and solvent effects on the proton transfer equilibrium in anils and azo derivatives of naphthol. Multinuclear NMR study and theoretical calculations. J. Mol. Struct. 2004, 705, 1–9. [Google Scholar] [CrossRef]
- Schilf, W.; Bloxsidge, J.P.; Jones, J.R.; Lu, S.-Y. Investigations of intramolecular hydrogen bonding in three types of Schiff bases by 2H and 3H NMR isotope effects. Magn. Reson. Chem. 2004, 42, 556–560. [Google Scholar] [CrossRef] [PubMed]
- Schilf, W.; Kamieński, B.; Szady-Chelmieniecka, A.; Grech, E. The intramolecular hydrogen bonds in some Schiff bases derived from cyclopropyl-, cyclobutyl- and cyclopentylamine. J. Mol. Struct. 2005, 743, 237–241. [Google Scholar] [CrossRef]
- Schilf, W.; Kamieński, B.; Szady-Chelmieniecka, A.; Grech, E.; Makal, A.; Woźniak, K. NMR and X-ray studies of 2,6-bis (alkylimino) phenol Schiff bases. J. Mol. Struct. 2007, 844, 94–101. [Google Scholar] [CrossRef]
- Parr, R.G.; Yang, W. Density-Functional Theory of Atoms and Molecules; Oxford University Press: Oxford, UK, 1989. [Google Scholar]
- Abanowski, J.K.; Andzelm, J.W. Density Functional Methods in Chemistry; Springer: New York, NY, USA, 1991. [Google Scholar]
- Andzelm, J.; Wimmer, E. Density functional Gaussian-type-orbital approach to molecular geometries, vibrations, and reaction energies. J. Chem. Phys. 1992, 96, 1280–1303. [Google Scholar] [CrossRef]
- Becke, A.D. Density-functional thermochemistry. I. The effect of the exchange-only gradient correction. J. Chem. Phys. 1992, 96, 2155–2160. [Google Scholar] [CrossRef]
- Gill, P.M.W.; Johnson, B.G.; Pople, J.A.; Frisch, M. The performance of the Becke-Lee-Yang-Parr (B-LYP) density functional theory with various basis sets. J. Chem. Phys. Lett. 1992, 197, 499–505. [Google Scholar] [CrossRef]
- Scuseria, G.E. Comparison of coupled-cluster results with a hybrid of Hartree–Fock and density functional theory. J. Chem. Phys. 1992, 97, 7528–7530. [Google Scholar] [CrossRef]
- Sosa, C.; Lee, C. Density functional description of transition structures using nonlocal corrections. Silylene insertion reactions into the hydrogen molecule. J. Chem. Phys. 1993, 98, 8004–8011. [Google Scholar] [CrossRef]
- Stephens, P.J.; Devlin, F.J.; Frisch, M.J.; Chabalowski, C.F. Ab Initio Calculation of Vibrational Absorption and Circular Dichroism Spectra Using Density Functional Force Fields. J. Phys. Chem. 1994, 98, 11623–11627. [Google Scholar] [CrossRef]
- Zhao, Y.; Truhlar, D.G. The M06 suite of density functionals for main group thermochemistry, thermochemical kinetics, noncovalent interactions, excited states, and transition elements: Two new functionals and systematic testing of four M06-class functionals and 12 other functionals. Theor. Chem. Acc. 2008, 215–241. [Google Scholar]
- McLean, A.D.; Chandler, G.S. Contracted Gaussian basis sets for molecular calculations. I. Second row atoms, Z=11–18. J. Chem. Phys. 1980, 72, 5639–5648. [Google Scholar] [CrossRef]
- Raghavachari, K.; Binkley, J.S.; Seeger, R.; Pople, J.A. Self-consistent molecular orbital methods. XX. A basis set for correlated wave functions. J. Chem. Phys. 1980, 72, 650–654. [Google Scholar]
- Frisch, M.J.; Trucks, G.W.; Schlegel, H.B.; Scuseria, G.E.; Robb, M.A.; Cheeseman, J.R.; Scalmani, G.; Barone, V.; Mennucci, B.; Petersson, G.A.; et al. Gaussian09, Revision A.1; Gaussian, Inc.: Wallingford, CT, USA, 2009. [Google Scholar]
- Marenich, A.V.; Cramer, C.J.; Truhlar, D.G. Universal Solvation Model Based on Solute Electron Density and on a Continuum Model of the Solvent Defined by the Bulk Dielectric Constant and Atomic Surface Tensions. J. Phys. Chem. B 2009, 113, 6378–6396. [Google Scholar] [CrossRef]
- Martínez, R.F.; Matamoros, E.; Cintas, P.; Palacios, J.C. Imine or Enamine? Insights and Predictive Guidelines from the Electronic Effect of Substituents in H-Bonded Salicylimines. J. Org. Chem. 2020, 85, 5838–5862. [Google Scholar] [CrossRef]
- Matamoros, E.; Cintas, P.; Light, M.E.; Palacios, J.C. Electronic effects in tautomeric equilibria: The case of chiral imines from D-glucamine and 2-hydroxyacetophenones. Org. Biomol. Chem. 2019, 17, 10209–10222. [Google Scholar] [CrossRef]
- Romero-Fernández, M.P.; Ávalos, M.; Babiano, R.; Cintas, P.; Jiménez, J.L.; Light, M.E.; Palacios, J.C. Pseudo-cyclic structures of mono- and di-azaderivatives of malondialdehydes. Synthesis and conformational disentanglement by computational analyses. Org. Biomol. Chem. 2014, 12, 8997–9010. [Google Scholar] [CrossRef]
- Romero-Fernández, M.P.; Ávalos, M.; Babiano, R.; Cintas, P.; Jiménez, J.L.; Palacios, J.C. Rethinking Aromaticity in H-Bonded Systems. Caveats for Transition Structures Involving Hydrogen Transfer and π-Delocalization. J. Phys. Chem. A 2015, 119, 525–534. [Google Scholar] [CrossRef]
- Matamoros, E.; Cintas, P.; Palacios, J.C. Tautomerism and stereodynamics in Schiff bases from gossypol and hemigossypol with N-aminoheterocycles. Org. Biomol. Chem. 2019, 17, 6229–6250. [Google Scholar] [CrossRef]
- Alarcón, S.; Pagani, D.; Bacigalupo, J.; Olivieri, A.C. Spectroscopic and Semi-Empirical MO Study of Substituent Effects on the Intramolecular Proton Transfer in Anils of 2-Hydroxybenzaldehydes. J. Mol. Struct. 1999, 475, 233–240. [Google Scholar] [CrossRef]
- Neuvonen, K.; Fülöp, F.; Neuvonen, H.; Koch, A.; Kleinpeter, E.; Pihlaja, K. Substituent Influences on the Stability of the Ring and Chain Tautomers in 1,3-O,N-Heterocyclic Systems: Characterization by 13C NMR Chemical Shifts, PM3 Charge Densities, and Isodesmic Reactions. J. Org. Chem. 2001, 66, 4132–4140. [Google Scholar] [CrossRef] [PubMed]
- Fülöp, F.; Pihlaja, K. Ring-chain tautomerism of oxazolidines derived from serine esters. Tetrahedron 1993, 49, 6701–6706. [Google Scholar] [CrossRef]
- Fülöp, F.; Pihlaja, K.; Neuvonen, K.; Bernáth, G.; Argay, G.; Kálmán, A. Ring-chain tautomerism in oxazolidines. J. Org. Chem. 1993, 58, 1967–1969. [Google Scholar] [CrossRef]
- Maireanu, C.; Darabantu, M.; Plé, G.; Berghian, C.; Condamine, E.; Ramondenc, Y.; Silaghi-Dumitrescu, I.; Mager, S. Ring-chain tautomerism and other versatile behaviour of 1,4-diimino- and 1,2-phenylene derivatives of some C-substituted serinols. Tetrahedron 2002, 58, 2681–2693. [Google Scholar] [CrossRef]
- Matamoros, E.; Cintas, P.; Palacios, J.C. Amphipathic 1,3-oxazolidines from N-alkyl glucamines and benzaldehydes: Stereochemical and mechanistic studies. N. J. Chem. 2021, 45, 4365–4386. [Google Scholar] [CrossRef]
- Stoddart, J.F. On the nomenclature of the five- or six-membered ring conformations. In Stereochemistry of Carbohydrates; John Wiley: New York, NY, USA, 1971; Chapter 3; pp. 55–58. [Google Scholar]
- Radhakrishnan, T.P.; Agranat, I. Measures of pyramidalization. Struct. Chem. 1991, 2, 107–115. [Google Scholar] [CrossRef]
- Eliel, E.L.; Wilen, S.H.; Mander, L.N. Stereochemistry of Organic Compounds; Wiley-Interscience: New York, NY, USA, 1994. [Google Scholar]
- Oki, M. The Chemistry of Rotational Isomers. In Reactivity and Structure Concepts in Organic Chemistry; Hafner, K., Lehn, J.-M., Rees, C.W., Ragué Schleyer, P.V., Trost, B.M., Zahradník, R., Eds.; Springer: Berlin/Heidelberg, Germany, 1993; Volume 30. [Google Scholar]
- Schaefer, T. Relation between hydroxyl proton chemical shifts and torsional frequencies in some ortho-substituted phenol derivatives. J. Phys. Chem. 1975, 79, 1888–1890. [Google Scholar] [CrossRef]
- Musin, R.N.; Mariam, Y.H. An integrated approach to the study of intramolecular hydrogen bonds in malonaldehyde enol derivatives and naphthazarin: Trend in energetic versus geometrical consequences. J. Phys. Org. Chem. 2006, 19, 425–444. [Google Scholar] [CrossRef]
- Raiford, L.C.; Taft, R.; Lankelman, H.P. Steric relations in the acylation of aromatic amines and aminophenols. J. Am. Chem. Soc. 1924, 46, 2051–2057. [Google Scholar] [CrossRef]
- Auwers, K.; Bondy, R. Mixed observations over acylations. Ber 1904, 37, 3905–3915. [Google Scholar]
- Dolomanov, O.V.; Bourhis, L.J.; Gildea, R.J.; Howard, J.A.K.; Puschmann, H. OLEX2: A Complete Structure Solution, Refinement and Analysis Program. J. Appl. Cryst. 2009, 42, 339–341. [Google Scholar] [CrossRef]
- Sheldrick, G.M. A short history of SHELX. Acta Crystallogr. 2008, A64, 112–122. [Google Scholar] [CrossRef]
- Sheldrick, G.M. SHELXT-Integrated space-group and crystal-structure determination. Acta Crystallogr. Sect. A Found. Adv. 2015, 71, 3–8. [Google Scholar] [CrossRef]






































| Compound | Model Structure [c] | ||||||
|---|---|---|---|---|---|---|---|
| Bond | 24 | 40 | 41a | 41b | 42 | Phenolimine | Ketoamine |
| N1-C2 | 1.322 | 1.310 | 1.285 | 1.289 | 1.299 | 1.287 (1.266, 1.317) | 1.327 (1.303, 1.347) |
| C2-C3 | 1.422 | 1.414 | 1.439 | 1.433 | 1.414 | 1.445 (1.426, 1.457) | 1.407 (1.399, 1.413) |
| C3-C4 | 1.443 | 1.433 | 1.459 | 1.454 | 1.437 | ||
| C4-O5 | 1.309 | 1.298 | 1.259 | 1.263 | 1.281 | 1.349 (1.323, 1.399) | 1.294 (1.279, 1.301) |
| Compound | Structure [b] | δOH/NH [c] | δN-CH [c] | δC-OH/C=O [d] | δN-CH [d] |
|---|---|---|---|---|---|
| 23 | 38 | 14.49 bs | 8.94 s | 178.06 | 166.86 |
| 24 | 24 | 13.05 s | 8.67 s | 154.62 | 165.19 |
| 25 | 25 | 13.92 bs | 8.68 s | 161.26 | 164.54 |
| 26 | 26 | 14.32 bs | 8.69 s | 165.89 | 165.23 |
| 27 | 40 | 14.01 bs | 8.49 s | 168.92 | 164.03 |
| 28 | 41 | 13.86 bs | 9.10 d | 169.99 | 167.97 |
| 29 | 29 | 13.73 s | 8.71 s | 161.80 | 166.24 |
| 30 | 43 | 14.50 bs | 8.95 s | 178.10 | 166.88 |
| 31 | 31 | 13.05 s | 8.67 s | 154.95 | 165.53 |
| 32 | 32 | 13.91 bs | 8.69 s | 160.77 | 164.06 |
| 33 | 44 | 14.01 s | 8.49 s | 168.88 | 164.03 |
| 34 | 34 | 13.74 s | 8.71 s | 161.41 | 165.87 |
| 37 | 37 | 13.96 s | 8.75 s | 157.37 | 167.79 |
| Imine | TS ‡ | Enamine | |||||
|---|---|---|---|---|---|---|---|
| Compound | ΔE | ΔG | ΔE | ΔG | ṽ ‡ [b] | ΔE | ΔG |
| 24/31 | 0.00 | 0.00 | 8.31 | 6.24 | −966.8 | 6.28 | 5.63 |
| 29/34 | 0.00 | 0.00 | 8.23 | 5.34 | −849.7 | 6.69 | 6.51 |
| 38/43 | 0.00 | 0.00 | 6.20 | 3.85 | −961.2 | 4.25 | 3.96 |
| 40/44 | 0.00 | 0.00 | 6.75 | 4.11 | −995.3 | 4.42 | 4.47 |
| 41 | 0.00 | 0.00 | 4.07 | 1.64 | −957.6 | 1.36 | 1.67 |
| Imine | TS ‡ | Enamine | |||||
|---|---|---|---|---|---|---|---|
| Comp. | ΔE | ΔG | ΔE | ΔG | ṽ ‡ [b] | ΔE | ΔG |
| 24/31 | 0.00 | 0.00 | 7.01 | 4.68 | −919.2 | 3.24 | 3.84 |
| 29/34 | 0.00 | 0.00 | 5.15 | 3.05 | −983.1 | 2.74 | 2.89 |
| 38/43 | 0.00 | 0.00 | 3.13 | 1.20 | −1056.2 | −0.57 | −0.10 |
| 40/44 | 0.00 | 0.00 | 4.23 | 2.50 | −1099.9 | 0.73 | 1.32 |
| 41 | 0.00 | 0.00 | [c] | [c] | [c] | −4.44 | −4.05 |
| Dihedral Angle | X-ray | Gas Phase | EtOH [b] |
|---|---|---|---|
| C15, C19, C18, C17 | 0.293 | −1.820 | −1.470 |
| O2, C8, C13, C14 | −2.562 | −3.216 | −2.374 |
| C8, C13, C14, N1 | −9.124 | −6.554 | −7.271 |
| C19, C15, C16, O3 | −101.525 | −105.189 | −103.936 |
| C19, C15, N1, C14 | 77.957 | 80.813 | 79.991 |
| C15, N1, C14, C13 | 161.424 | 160.689 | 160.197 |
| O3, C14, N1, C7 | −79.041 | −80.842 | −80.237 |
| N1, C7, C6, C1 | 44.052 | 45.921 | 46.721 |
| O2, C7, C6, C1 | −74.031 | −72.306 | −71.253 |
| Dihedral Angle (θ) | X-ray | Gas Phase | EtOH [b] |
|---|---|---|---|
| C15, N1, C7 | 112.046 | 113.041 | 112.43 |
| C15, N1, C14 | 101.134 | 102.003 | 101.903 |
| C14, N1, C7 | 110.489 | 110.413 | 110.351 |
| Σθ | 323.669 | 325.457 | 324.684 |
| Pyramidalization | 36.331 | 34.543 | 35.316 |
| Chirality | Gas Phase | Ethanol [b] | ||||||
|---|---|---|---|---|---|---|---|---|
| Structure | C1 [c] | C2 [c] | N [d] | Axis [e] | ΔErel | ΔGrel | ΔErel | ΔGrel |
| 47a | R | R | S | aR | 6.68 | 6.88 | 5.95 | 6.25 |
| 47b | S | R | S | aR | 0.00 | 0.00 | 0.00 | 0.00 |
| 47c | R | S | S | aS | 15.40 | 15.17 | 13.70 | 13.58 |
| 47d | S | S | S | aS | 11.71 | 11.34 | 8.84 | 9.08 |
| 47e | R | R | S | aS | 12.90 | 13.45 | 10.65 | 10.42 |
| 47f | S | R | S | aS | 6.91 | 6.91 | 5.49 | 5.51 |
| 47g | R | S | S | aR | 14.02 | 13.32 | 13.84 | 13.99 |
| 47h | S | S | S | aR | 12.66 | 12.26 | 8.08 | 8.43 |
| 47i | R | R | R | aR | 12.16 | 13.46 | 10.65 | 12.40 |
| 47j | S | R | R | aR | [f] | [f] | 16.80 | 16.04 |
| 47k | R | S | R | aS | 10.82 | 10.56 | 6.91 | 8.16 |
| 47l | S | S | R | aS | 11.93 | 11.31 | 10.39 | 10.34 |
| 47m | R | R | R | aS | 11.66 | 12.34 | 11.29 | 12.33 |
| 47n | S | R | R | aS | 18.35 | 17.53 | 15.10 | 14.95 |
| 47o | R | S | R | aR | 4.15 | 4.85 | 3.15 | 4.29 |
| 47p | S | S | R | aR | 5.93 | 6.47 | 6.24 | 6.03 |
| Gas Phase | Ethanol [b] | |||
|---|---|---|---|---|
| ΔErel | ΔGrel | ΔErel | ΔGrel | |
| 47b | 0.00 | 0.00 | 0.00 | 0.00 |
| 49 | 9.79 | 8.87 | 4.18 | 3.66 |
| Structures | Gas phase | Ethanol [b] | ||
|---|---|---|---|---|
| ΔErel | ΔGrel | ΔErel | ΔGrel | |
| 20 + 2 × 46 − 2H2O | 7.81 | 1.83 | 16.03 | 10.01 |
| 29 + 46 − H2O | 5.15 | 0.17 | 8.97 | 3.53 |
| 50a + 46 − H2O | −0.89 | −2.42 | 2.53 | 0.62 |
| 50b + 46 − H2O | 0.65 | −1.36 | 4.69 | 2.87 |
| 51a + 46 − H2O | 0.66 | −1.90 | 5.53 | 2.49 |
| 51b + 46 − H2O | 2.10 | −1.15 | 6.75 | 3.77 |
| 47a | 6.68 | 6.88 | 5.95 | 6.25 |
| 47b | 0.00 | 0.00 | 0.00 | 0.00 |
| Compound | Yield [a] | Yield [b] | C=O | C=N |
|---|---|---|---|---|
| 52 | 90 | 45 | 1739 | 1627 |
| 53 | 11 | 1622 | ||
| 54 | 91 | 44 | 1739 | 1627 |
| 55 | 10 | 1623 | ||
| 56 | 92 | 64 | 1737 | 1625 |
| Bond Length | X-ray | Gas Phase | Pyridine [b] |
|---|---|---|---|
| N1-C2 | 1.288 | 1.274 | 1.275 |
| C2-C3 | 1.451 | 1.458 | 1.461 |
| C3-C4 | 1.420 | 1.412 | 1.413 |
| C4-O1 | 1.365 | 1.344 | 1.345 |
| O1-H | 0.840 | 0.995 | 0.998 |
| Gas phase | Pyridine [b] | |||
|---|---|---|---|---|
| ΔErel | ΔGrel | ΔErel | ΔGrel | |
| 52 | 0.00 | 0.00 | 0.00 | 0.00 |
| 53 | −1.23 | 1.95 | −2.43 | 1.33 |
| 53a | 2.46 | 6.11 | 1.48 | 5.81 |
| 57 | −1.09 | 3.14 | −2.39 | 2.27 |
Disclaimer/Publisher’s Note: The statements, opinions and data contained in all publications are solely those of the individual author(s) and contributor(s) and not of MDPI and/or the editor(s). MDPI and/or the editor(s) disclaim responsibility for any injury to people or property resulting from any ideas, methods, instructions or products referred to in the content. |
© 2023 by the authors. Licensee MDPI, Basel, Switzerland. This article is an open access article distributed under the terms and conditions of the Creative Commons Attribution (CC BY) license (https://creativecommons.org/licenses/by/4.0/).
Share and Cite
Matamoros, E.; Light, M.E.; Cintas, P.; Palacios, J.C. Schiff Bases and Stereocontrolled Formation of Fused 1,3-Oxazolidines from 1-Amino-2-Indanol: A Systematic Study on Structure and Mechanism. Molecules 2023, 28, 1670. https://doi.org/10.3390/molecules28041670
Matamoros E, Light ME, Cintas P, Palacios JC. Schiff Bases and Stereocontrolled Formation of Fused 1,3-Oxazolidines from 1-Amino-2-Indanol: A Systematic Study on Structure and Mechanism. Molecules. 2023; 28(4):1670. https://doi.org/10.3390/molecules28041670
Chicago/Turabian StyleMatamoros, Esther, Mark E. Light, Pedro Cintas, and Juan C. Palacios. 2023. "Schiff Bases and Stereocontrolled Formation of Fused 1,3-Oxazolidines from 1-Amino-2-Indanol: A Systematic Study on Structure and Mechanism" Molecules 28, no. 4: 1670. https://doi.org/10.3390/molecules28041670
APA StyleMatamoros, E., Light, M. E., Cintas, P., & Palacios, J. C. (2023). Schiff Bases and Stereocontrolled Formation of Fused 1,3-Oxazolidines from 1-Amino-2-Indanol: A Systematic Study on Structure and Mechanism. Molecules, 28(4), 1670. https://doi.org/10.3390/molecules28041670

