Chemical Transformations of Benzyl Alcohol Caused by Atomic Chlorine
Abstract
1. Introduction
2. Results and Discussion
3. Experimental Part
4. Conclusions
Supplementary Materials
Author Contributions
Funding
Institutional Review Board Statement
Informed Consent Statement
Data Availability Statement
Conflicts of Interest
References
- Kulkarni, S.G.; Mehendale, H.M. Encyclopedia of Toxicology, 2nd ed.; Wexler, P., Ed.; Elsevier Inc.: Amsterdam, The Netherlands, 2005; pp. 262–264. [Google Scholar]
- Ibrahim, N.A. Benzyl alcohol. Encycl. Toxicol. 2024, 2, 17–21. [Google Scholar] [CrossRef]
- Burkhart, C.G.; Adappa, V.; Burkhart, C.N. Uses of Bile Salts, Namely Cholate and Deoxycholate for Earwax Removal. Open Dermatol. J. 2009, 3, 1–2. [Google Scholar] [CrossRef]
- Johnson, W.; Bergfeld, W.F.; Belsito, D.V.; Hill, R.A.; Klaassen, C.D.; Liebler, D.C.; Marks, R.C.; Shank, J.G.; Slaga, T.J.; Snyder, P.W.; et al. Safety Assessment of Benzyl Alcohol, Benzoic Acid and its Salts, and Benzyl Benzoate. Int. J. Toxicol. 2017, 36, 5–30. [Google Scholar] [CrossRef] [PubMed]
- Scognamiglio, J.; Jones, L.; Vitale, D.; Letizia, C.S.; Api, A.M. Fragrance material review on benzyl alcohol. Food Chem. Toxicol. 2012, 50, 140–160. [Google Scholar] [CrossRef] [PubMed]
- Younes, M.; Aquilina, G.; Castle, L.; Engel, K.; Fowler, P.; Fürst, P.; Gürtler, R.; Gundert-Remy, U.; Husøy, T.; EFSA Panel on Food Additives and Flavourings (FAF); et al. Re-evaluation of benzyl alcohol (E 1519) as food additive. EFSA J. 2019, 17, e05876. [Google Scholar] [PubMed]
- Api, A.M.; Belsito, D.; Bhatia, S.; Bruze, M.; Calow, P.; Dagli, M.L.; Dekant, W.; Fryer, A.D.; Kromidas, L.; La Cava, S.; et al. RIFM fragrance ingredient safety assessment, Benzyl alcohol, CAS Registry Number 100-51-6. Food Chem. Toxicol. 2015, 84, 1–14. [Google Scholar] [CrossRef] [PubMed]
- Geier, J.; Mallmer-Weber, B.; Buhl, T.; Rieker-Schwienbacher, J.; Mahler, V.; Dickel, H.; Schubert, S. Is benzyl alcohol a significant contact sensitizer? J. Eur. Acad. Dermatol. Venereol. 2022, 36, 866–872. [Google Scholar] [CrossRef]
- Nair, B. Final report on the safety assessment of Benzyl Alcohol, Benzoic Acid, and Sodium Benzoate. Int. J. Toxicol. 2001, 20, 23–50. [Google Scholar]
- Wu, Y.W.; Liu, J.; Chen, Z.; Burnham, W.M. Benzyl alcohol suppresses seizures in two different animal models. Neurol. Res. 2019, 41, 652–657. [Google Scholar] [CrossRef]
- Hunt, S.V.; Malhotra, R. Bacteriostatic preserved saline for pain-free periocular injections: Review. Eye 2022, 36, 1546–1552. [Google Scholar] [CrossRef]
- Wilson, L.; Martin, S. Benzyl alcohol as an alternative local anesthetic. Ann. Emerg. Med. 1999, 33, 495–499. [Google Scholar] [CrossRef] [PubMed]
- Bartfield, J.M.; May-Wheeling, H.E.; Raccio-Robak, N.; Lai, S.Y. Benzyl alcohol with epinephrine as an alternative to lidocaine with epinephrine. J. Emerg. Med. 2001, 21, 375–379. [Google Scholar] [CrossRef] [PubMed]
- Patman, G. Liver: Benzyl alcohol limits acute liver injury. Nat. Rev. Gastroenterol. Hepatol. 2014, 11, 396. [Google Scholar] [CrossRef] [PubMed]
- Jaeschke, H.; Du, K. Benzyl Alcohol: A novel treatment for acetaminophen overdose? Hepatology 2015, 62, 1641–1642. [Google Scholar] [CrossRef] [PubMed]
- You, T.; Yuan, S.; Bai, L.; Zhang, X.; Chen, P.; Zhang, W. Benzyl alcohol accelerates recovery from Achilles tendon injury, potentially via TGF-β1/Smad2/3 pathway. Injury 2020, 51, 1515–1521. [Google Scholar] [CrossRef]
- Korcek, S.; Chenier, J.H.B.; Howard, J.A.; Ingold, K.U. Absolute Rate Constants for Hydrocarbon Autoxidation. XXI. Activation Energies for Propagation and the Correlation of Propagation Rate Constants with Carbon–Hydrogen Bond Strengths. Can. J. Chem. 1972, 50, 2285–2297. [Google Scholar] [CrossRef]
- Levina, A.B.; Trusov, S.R. Selective oxidation of benzyl alcohol to benzaldehyde via oxygen in the presence of nitric acid. Z. Obshchei Khimii 1990, 60, 1932–1933. [Google Scholar]
- Choudhary, V.R.; Chaudhari, P.A.; Narkhede, V.S. Solvent-free liquid phase oxidation of benzyl alcohol to benzaldehyde by molecular oxygen using non-noble transition metal containing hydrotalcite-like solid catalysts. Catal. Commun. 2003, 4, 171–175. [Google Scholar] [CrossRef]
- Andreas, M.A.; Chung, L.; Bibart, R.T.; Brooks, M.; McCollum, D.G. Concerning the stability of benzyl alcohol: Formation of benzaldehyde dibenzyl acetal under aerobic conditions. J. Pharm. Biomed. Anal. 2004, 34, 957–962. [Google Scholar]
- Herrmann, H.; Majdik, Z.; Ervens, B.; Weise, D. Halogen production from aqueous tropospheric particles. Chemosphere 2003, 52, 485–502. [Google Scholar] [CrossRef]
- Hoffmann, E.H.; Tilgner, A.; Wolke, R.; Herrmann, H. Enhanced Chlorine and Bromine Atom Activation by Hydrolysis of Halogen Nitrates from Marine Aerosols at Polluted Coastal Areas. Environ. Sci. Technol. 2019, 53, 771–778. [Google Scholar] [CrossRef]
- Simpson, W.R.; Chang, C.T.; Liu, T.H.; Jeng, F.T. Atmospheric concentrations of the Cl atom, ClO radical, and HO radical in the coastal marine boundary layer. Environ. Res. 2004, 94, 67–74. [Google Scholar]
- Simpson, W.R.; Brown, S.S.; Saiz-Lopez, A.; Thornton, J.A.; Glasow, R.V. Tropospheric halogen chemistry: Sources, cycling, and impacts. Chem. Rev. 2015, 115, 4035–4062. [Google Scholar] [CrossRef]
- Peng, X.; Wang, W.; Xia, M.; Chen, H.; Ravishankara, A.R.; Li, Q.; Saiz-Lopez, A.; Liu, P.; Zhang, F.; Zhang, C.; et al. An unexpected large continental source of reactive bromine and chlorine with significant impact on wintertime air quality. Natl. Sci. Rev. 2020, 8, nwaa304. [Google Scholar] [CrossRef]
- Custard, K.D.; Pratt, K.A.; Wang, S.; Shepson, P.B. Constraints on Arctic Atmospheric Chlorine Production through Measurements and Simulations of Cl2 and ClO. Environ. Sci. Technol. 2016, 50, 12394–12400. [Google Scholar] [CrossRef]
- Rodebush, W.H.; Klingelhoefer, W.C., Jr. Atomic Chlorine and its Reaction with Hydrogen. J. Am. Chem. Soc. 1933, 55, 130–142. [Google Scholar] [CrossRef]
- Wren, A.G.; Phillips, R.W.; Tolentino, L.U. Surface reactions of chlorine molecules and atoms with water and sulfuric acid at low temperatures. J. Colloid Interface Sci. 1979, 70, 544–557. [Google Scholar] [CrossRef]
- Rhyman, L.; Lee, E.P.F.; Ramasami, P.; Dyke, J.M. A study of the thermodynamics and mechanisms of the atmospherically relevant reaction dimethyl sulphide (DMS) with atomic chlorine (Cl) in the absence and presence of water, using electronic structure methods. Phys. Chem. Chem. Phys. 2023, 25, 4780–4793. [Google Scholar] [CrossRef]
- Wang, W.; Finlayson-Pitts, B.J. 4-Chlorocrotonaldehyde as a unique chlorine-containing compound from the reaction of atomic chlorine with 1,3-butadiene in air at room temperature. Geophys. Res. Lett. 2000, 27, 947–950. [Google Scholar] [CrossRef]
- Wang, W.; Finlayson-Pitts, B.J. Unique markers of chlorine atom chemistry in coastal urban areas: The reaction with 1,3-butadiene in air at room temperature. J. Geophys. Res. 2001, 106, 4939–4958. [Google Scholar] [CrossRef]
- Ragains, M.L.; Finlayson-Pitts, B.J. Kinetics and Mechanism of the Reaction of Cl Atoms with 2-Methyl-1,3-butadiene (Isoprene) at 298 K. J. Phys. Chem. A 1997, 101, 1509–1517. [Google Scholar] [CrossRef]
- Xing, J.H.; Takahashi, K.; Hurley, M.D.; Wallington, T.J. Kinetics of the reaction of chlorine atoms with isoprene (2-methyl 1,3-butadiene, CH2=C(CH3)CH=CH2) at 297 ± 2 K. Chem. Phys. Lett. 2009, 472, 39–43. [Google Scholar] [CrossRef]
- Sarzyński, D.S.; Gola, A.A.; Brudnik, K.; Berkowski, R.; Jodkowski, J.T. Temperature dependence of the kinetic isotopic effect of the reaction of Cl atoms with C2H5Cl between 298 and 550 K. Chem. Phys. Lett. 2012, 554, 20–26. [Google Scholar] [CrossRef]
- McNamara, S.M.; Raso, A.R.W.; Wang, S.Y.; Thanekar, S.; Boone, E.J.; Kalesar, K.R.; Peterson, P.K.; Simpson, W.R.; Fuentes, J.D.; Shepson, P.B.; et al. Springtime Nitrogen Oxide-Influenced Chlorine Chemistry in the Coastal Arctic. Environ. Sci. Technol. 2019, 53, 8057–8067. [Google Scholar] [CrossRef]
- Takashi, S.; Kazuhiro, M.; Hiroyuki, H.; Meiseki, K. On the Reactivity of Chlorine Atoms towards Alcohols. Chem. Lett. 1987, 16, 1429–1439. [Google Scholar]
- Rodríguez, A.; Rodríguez, D.; Soto, A.; Bravo, I.; Diaz-de-Mera, Y.; Notario, A.; Aranda, A. Products and mechanism of the reaction of Cl atoms with unsaturated alcohols. Atmos. Environ. 2012, 50, 214–224. [Google Scholar] [CrossRef]
- Takahashi, K.; Xing, J.H.; Hurley, M.D.; Wallington, T.J. Kinetics and Mechanism of Chlorine-Atom-Initiated Oxidation of Allyl Alcohol, 3-Buten-2-ol, and 2-Methyl-3-buten-2-ol. J. Phys. Chem. A 2010, 114, 4224–4231. [Google Scholar] [CrossRef]
- Wang, Y.; Liu, L.J.-Y.; Li, Z.-S. Ab initio direct dynamics studies on the reactions of chlorine atom with CH3-nFnCH2OH (n = 1–3). J. Comput. Chem. 2007, 28, 2517–2530. [Google Scholar] [CrossRef]
- Skell, P.S.; Baxter, H.N.; Tanko, J.M.; Chebolu, V. Chlorine Atom Benzene System. 1. The Role of the 6-Chlorocyclohexadienyl Radical. J. Am. Chem. Soc. 1986, 108, 6300–6311. [Google Scholar] [CrossRef]
- Alcohols to Ethers via Acid Catalysis. Available online: https://www.masterorganicchemistry.com (accessed on 2 March 2024).
- McMurry, J. Organic Chemistry: A Tenth Edition; Rice University: Houston, TX, USA, 2023; ISBN 978-1-711471-85-3/978-1-951693-98-5. [Google Scholar]
- Matsumoto, S.; Naito, M.; Oseki, T.; Akazane, M.; Otani, Y. Selective reaction of benzyl alcohols with HI gas: Iodination, reduction, and indane ring formations. Tetrahedron 2017, 73, 7254–7259. [Google Scholar] [CrossRef]
- Available online: https://www.chemistrysteps.com/reaction-alcohols-with-HCl-HBr-HI-acids/ (accessed on 9 March 2024).
- National Library of Medicine. National Center for Biotechnology Information. Information on the Harmfulness of Benaldehyde. Available online: https://pubchem.ncbi.nlm.nih.gov/compound/Benzaldehyde (accessed on 1 September 2023).
- National Library of Medicine. National Center for Biotechnology Information. Information on the Harmfulness of Benzyl Chloride. Available online: https://pubchem.ncbi.nlm.nih.gov/compound/Benzyl-Chloride (accessed on 1 September 2023).
- Information on the Harmfulness of Dichloromethylbenzene. Available online: https://pubchem.ncbi.nlm.nih.gov/compound/Benzal-chloride (accessed on 1 September 2023).
- Information about the Harmfulness of 2-Chlorobenzyl Alcohol. Available online: https://echa.europa.eu/substance-information/-/substanceinfo/100.037.986 (accessed on 1 September 2023).
- Information about the Harmfulness of 3-Chlorobenzyl Alcohol. Available online: https://www.chemspider.com/Chemical-Structure.63305.html (accessed on 1 September 2023).
- Information about the Harmfulness of Dibenzyl Ether. Available online: https://pubchem.ncbi.nlm.nih.gov/compound/dibenzyl%20ether (accessed on 28 June 2024).
- Information on the Harmfulness of Benzyl Benzoate. Available online: https://pubchem.ncbi.nlm.nih.gov/compound/Benzyl-benzoate-section=Toxicity-Summary (accessed on 1 September 2023).





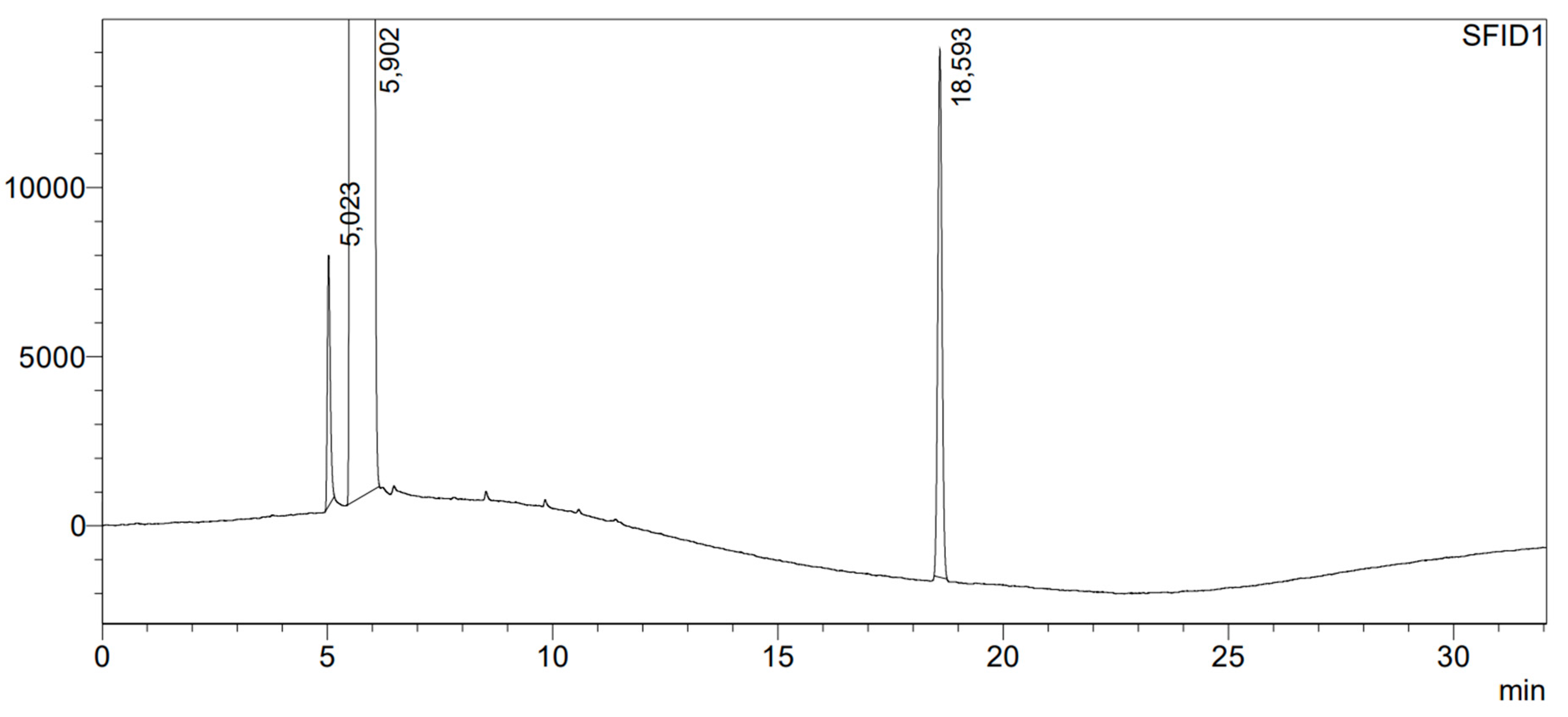
| Compound | Retention Time in min | A | B | C |
|---|---|---|---|---|
| Benzyl aldehyde | 5.02 | 0.38% | 0.64% | 0.09% |
| Benzyl chloride | 5.44 | 0.24% | 0.62% | 0.28% |
| Benzyl alcohol | 5.88 | 98.46% | 96.42% | 99.11% |
| Dichloromethylbenzene | 6.50 | 0.01% | 0.02% | 0.0% |
| 2-chlorobenzyl alcohol | 7.01 | 0.04% | 0.04% | 0.0% |
| 3-chlorobenzyl alcohol | 7.17 | 0.04% | 0.05% | 0.0% |
| Dibenzyl ether | 9.84 | 0.69% | 1.65% | 0.47% |
| Benzyl benzoate | 10.77 | 0.10% | 0.31% | 0.01% |
Disclaimer/Publisher’s Note: The statements, opinions and data contained in all publications are solely those of the individual author(s) and contributor(s) and not of MDPI and/or the editor(s). MDPI and/or the editor(s) disclaim responsibility for any injury to people or property resulting from any ideas, methods, instructions or products referred to in the content. |
© 2024 by the authors. Licensee MDPI, Basel, Switzerland. This article is an open access article distributed under the terms and conditions of the Creative Commons Attribution (CC BY) license (https://creativecommons.org/licenses/by/4.0/).
Share and Cite
Sarzyński, D.S.; Majerz, I. Chemical Transformations of Benzyl Alcohol Caused by Atomic Chlorine. Molecules 2024, 29, 3124. https://doi.org/10.3390/molecules29133124
Sarzyński DS, Majerz I. Chemical Transformations of Benzyl Alcohol Caused by Atomic Chlorine. Molecules. 2024; 29(13):3124. https://doi.org/10.3390/molecules29133124
Chicago/Turabian StyleSarzyński, Dariusz S., and Irena Majerz. 2024. "Chemical Transformations of Benzyl Alcohol Caused by Atomic Chlorine" Molecules 29, no. 13: 3124. https://doi.org/10.3390/molecules29133124
APA StyleSarzyński, D. S., & Majerz, I. (2024). Chemical Transformations of Benzyl Alcohol Caused by Atomic Chlorine. Molecules, 29(13), 3124. https://doi.org/10.3390/molecules29133124

