The Discovery of Highly Efficient and Promising ABA Receptor Antagonists for Agricultural Applications Based on APAn Modification
Abstract
1. Introduction
2. Results and Discussion
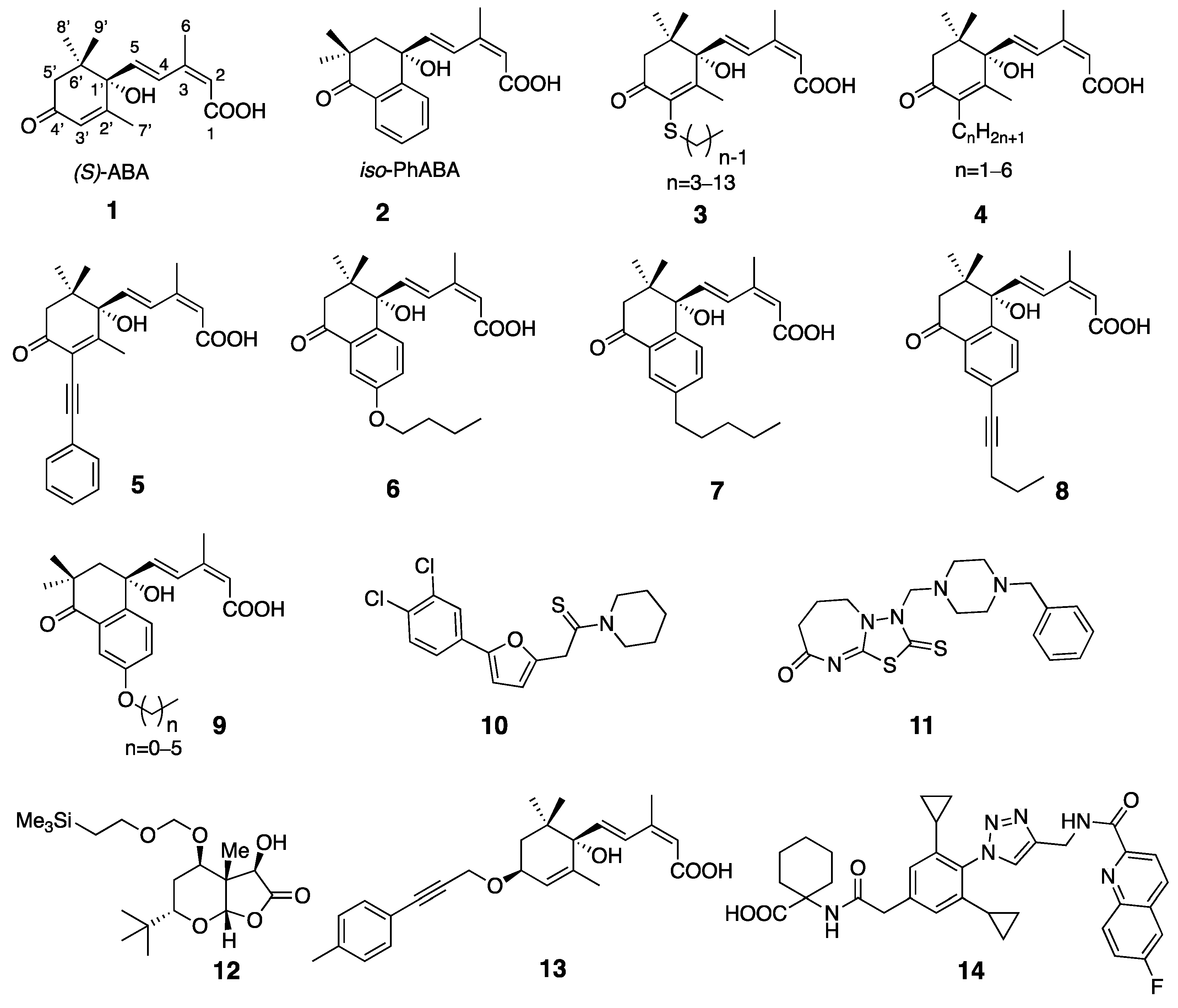
2.1. Chemistry
2.2. Seed Germination Promotion Activity
2.2.1. The Promotion Efficiency of APAn on A. thaliana Seed Germination
2.2.2. The Promotion Efficiency of APAn on Colza Seed Germination
2.2.3. The Promotion Efficiency of APAn on Rice Seed Germination
2.2.4. The Promotion Efficiency of APAn on Wheat Seed Germination
2.3. Influence on Stomatal Movement
2.4. Receptor-Binding Affinity and HAB1 Phosphatase Activity
2.5. Molecular Docking
2.6. Molecular Dynamics Simulation
3. Materials and Methods
4. Conclusions
Supplementary Materials
Author Contributions
Funding
Institutional Review Board Statement
Informed Consent Statement
Data Availability Statement
Acknowledgments
Conflicts of Interest
References
- Hewage, K.A.H.; Yang, J.F.; Wang, D.; Hao, G.F.; Yang, G.F.; Zhu, J.K. Chemical Manipulation of Abscisic Acid Signaling: A New Approach to Abiotic and Biotic Stress Management in Agriculture. Adv. Sci. 2020, 7, 2001265. [Google Scholar] [CrossRef]
- Cao, M.; Liu, X.; Zhang, Y.; Xue, X.; Zhou, X.E.; Melcher, K.; Gao, P.; Wang, F.; Zeng, L.; Zhao, Y.; et al. An ABA-mimicking ligand that reduces water loss and promotes drought resistance in plants. Cell Res. 2013, 23, 1043. [Google Scholar] [CrossRef]
- Zhu, J.; Gong, Z.; Zhang, C.; Song, C.P.; Damsz, B.; Inan, G.; Koiwa, H.; Zhu, J.K.; Hasegawa, P.M.; Bressan, R.A. OSM1/SYP61: A syntaxin protein in Arabidopsis controls abscisic acid-mediated and non-abscisic acid-mediated responses to abiotic stress. Plant Cell 2002, 14, 3009. [Google Scholar] [CrossRef]
- Raghavendra, A.S.; Gonugunta, V.K.; Christmann, A.; Grill, E. ABA perception and signalling. Trends Plant Sci. 2010, 15, 395. [Google Scholar] [CrossRef] [PubMed]
- Chen, H.H.; Li, P.H.; Brenner, M.L. Involvement of abscisic Acid in potato cold acclimation. Plant Physiol. 1983, 71, 362. [Google Scholar] [CrossRef]
- Tanino, K.K.; Chen, T.H.H.; Fuchigami, L.H.; Weiser, C.J. Abscisic Acid-Induced Cellular Alterations During the Induction of Freezing Tolerance in Bromegrass Cells. J. Plant Physiol. 1991, 137, 619. [Google Scholar] [CrossRef]
- Finkelstein, R.R.; Gampala, S.S.; Rock, C.D. Abscisic acid signaling in seeds and seedlings. Plant Cell 2002, 14, S15–S45. [Google Scholar] [CrossRef]
- Roelfsema, M.R.; Hedrich, R. In the light of stomatal opening: New insights into ‘the Watergate’. New Phytol. 2005, 167, 665. [Google Scholar] [CrossRef] [PubMed]
- Treutter, D. Significance of flavonoids in plant resistance: A review. Environ. Chem. Lett. 2006, 4, 147. [Google Scholar] [CrossRef]
- Lu, S.; Su, W.; Li, H.; Guo, Z. Abscisic acid improves drought tolerance of triploid bermudagrass and involves H2O2- and NO-induced antioxidant enzyme activities. Plant Physiol. Biochem. 2009, 47, 132. [Google Scholar] [CrossRef]
- Teng, K.; Li, J.; Liu, L.; Han, Y.; Du, Y.; Zhang, J.; Sun, H.; Zhao, Q. Exogenous ABA induces drought tolerance in upland rice: The role of chloroplast and ABA biosynthesis-related gene expression on photosystem II during PEG stress. Acta Physiol. Plant. 2014, 36, 2219. [Google Scholar] [CrossRef]
- Park, S.Y.; Fung, P.; Nishimura, N.; Jensen, D.R.; Fujii, H.; Zhao, Y.; Lumba, S.; Santiago, J.; Rodrigues, A.; Chow, T.F.; et al. Abscisic acid inhibits type 2C protein phosphatases via the PYR/PYL family of START proteins. Science 2009, 324, 1068. [Google Scholar] [CrossRef]
- Hao, Q.; Yin, P.; Yan, C.; Yuan, X.; Li, W.; Zhang, Z.; Liu, L.; Wang, J.; Yan, N. Functional mechanism of the abscisic acid agonist pyrabactin. J. Biol. Chem. 2010, 285, 28946. [Google Scholar] [CrossRef]
- Miyakawa, T.; Fujita, Y.; Yamaguchi-Shinozaki, K.; Tanokura, M. Structure and function of abscisic acid receptors. Trends Plant Sci. 2013, 18, 259. [Google Scholar] [CrossRef]
- Miyazono, K.; Miyakawa, T.; Sawano, Y.; Kubota, K.; Kang, H.J.; Asano, A.; Miyauchi, Y.; Takahashi, M.; Zhi, Y.; Fujita, Y.; et al. Structural basis of abscisic acid signalling. Nature 2009, 462, 609. [Google Scholar] [CrossRef] [PubMed]
- Ma, Y.; Szostkiewicz, I.; Korte, A.; Moes, D.; Yang, Y.; Christmann, A.; Grill, E. Regulators of PP2C phosphatase activity function as abscisic acid sensors. Science 2009, 324, 1064. [Google Scholar] [CrossRef]
- Soon, F.F.; Ng, L.M.; Zhou, X.E.; West, G.M.; Kovach, A.; Tan, M.H.; Suino-Powell, K.M.; He, Y.; Xu, Y.; Chalmers, M.J.; et al. Molecular mimicry regulates ABA signaling by SnRK2 kinases and PP2C phosphatases. Science 2012, 335, 85. [Google Scholar] [CrossRef] [PubMed]
- Ng, L.M.; Soon, F.F.; Zhou, X.E.; West, G.M.; Kovach, A.; Suino-Powell, K.M.; Chalmers, M.J.; Li, J.; Yong, E.L.; Zhu, J.K.; et al. Structural basis for basal activity and autoactivation of abscisic acid (ABA) signaling SnRK2 kinases. Proc. Natl. Acad. Sci. USA 2011, 108, 21259. [Google Scholar] [CrossRef] [PubMed]
- Melcher, K.; Ng, L.M.; Zhou, X.E.; Soon, F.F.; Xu, Y.; Suino-Powell, K.M.; Park, S.Y.; Weiner, J.J.; Fujii, H.; Chinnusamy, V.; et al. A gate-latch-lock mechanism for hormone signalling by abscisic acid receptors. Nature 2009, 462, 602. [Google Scholar] [CrossRef]
- Takeuchi, J.; Okamoto, M.; Akiyama, T.; Muto, T.; Yajima, S.; Sue, M.; Seo, M.; Kanno, Y.; Kamo, T.; Endo, A.; et al. Designed abscisic acid analogs as antagonists of PYL-PP2C receptor interactions. Nat. Chem. Biol. 2014, 10, 477. [Google Scholar] [CrossRef]
- Takeuchi, J.; Ohnishi, T.; Okamoto, M.; Todoroki, Y. Conformationally restricted 3′-modified ABA analogs for controlling ABA receptors. Org. Biomol. Chem. 2015, 13, 4278. [Google Scholar] [CrossRef]
- Yoshida, K.; Kondoh, Y.; Iwahashi, F.; Nakano, T.; Honda, K.; Nagano, E.; Osada, H. Abscisic Acid Derivatives with Different Alkyl Chain Lengths Activate Distinct Abscisic Acid Receptor Subfamilies. ACS Chem. Biol. 2019, 14, 1964. [Google Scholar] [CrossRef] [PubMed]
- Diddi, N.; Lai, L.; Brookbank, B.P.; Hussain, S.; Nambara, E.; Todd, C.; Nourimand, M.; Tar’an, B.; Song, D.; Holbrook, L.; et al. 3′-(Phenyl alkynyl) analogs of abscisic acid: Synthesis and biological activity of potent ABA antagonists. Org. Biomol. Chem. 2021, 19, 2978. [Google Scholar] [CrossRef] [PubMed]
- Takeuchi, J.; Nagamiya, H.; Moroi, S.; Ohnishi, T.; Todoroki, Y. Design of potent ABA receptor antagonists based on a conformational restriction approach. Org. Biomol. Chem. 2020, 18, 4988. [Google Scholar] [CrossRef]
- Che, C.; Zeng, Y.; Xu, Y.; Lu, H.; Xu, Y.; Zhang, X.; Xiao, Y.; Li, J.Q.; Qin, Z. APAn, a Class of ABA Receptor Agonism/Antagonism Switching Probes. J. Agric. Food Chem. 2020, 68, 8524. [Google Scholar] [CrossRef] [PubMed]
- Takeuchi, J.; Mimura, N.; Okamoto, M.; Yajima, S.; Sue, M.; Akiyama, T.; Monda, K.; Iba, K.; Ohnishi, T.; Todoroki, Y. Structure-Based Chemical Design of Abscisic Acid Antagonists That Block PYL-PP2C Receptor Interactions. ACS Chem. Biol. 2018, 13, 1313. [Google Scholar] [CrossRef] [PubMed]
- Vaidya, A.S.; Peterson, F.C.; Eckhardt, J.; Xing, Z.; Park, S.Y.; Dejonghe, W.; Takeuchi, J.; Pri-Tal, O.; Faria, J.; Elzinga, D.; et al. Click-to-lead design of a picomolar ABA receptor antagonist with potent activity in vivo. Proc. Natl. Acad. Sci. USA 2021, 118, e2108281118. [Google Scholar] [CrossRef] [PubMed]
- Kim, T.H.; Hauser, F.; Ha, T.; Xue, S.; Bohmer, M.; Nishimura, N.; Munemasa, S.; Hubbard, K.; Peine, N.; Lee, B.H.; et al. Chemical genetics reveals negative regulation of abscisic acid signaling by a plant immune response pathway. Curr. Biol. 2011, 21, 990. [Google Scholar] [CrossRef] [PubMed]
- Ye, Y.J.; Zhou, L.J.; Liu, X.; Liu, H.; Li, D.Q.; Cao, M.J.; Chen, H.F.; Xu, L.; Zhu, J.K.; Zhao, Y. A Novel Chemical Inhibitor of ABA Signaling Targets All ABA Receptors. Plant Physiol. 2017, 173, 2356. [Google Scholar] [CrossRef]
- Ito, T.; Kondoh, Y.; Yoshida, K.; Umezawa, T.; Shimizu, T.; Shinozaki, K.; Osada, H. Novel Abscisic Acid Antagonists Identified with Chemical Array Screening. Chembiochem 2015, 16, 2471. [Google Scholar] [CrossRef]
- Tang, X.; Li, X.; Qin, Z. Development of abscisic acid receptor agonists/antagonists and their application prospect in agriculture: An overview. Adv. Agrochem. 2023, 3, 9–25. [Google Scholar] [CrossRef]
- Singh, A.; Banerjee, A.; Roychoudhury, A. Fluoride tolerance in rice is negatively regulated by the ‘stress-phytohormone’ abscisic acid (ABA), but promoted by ABA-antagonist growth regulators, melatonin, and gibberellic acid. Protoplasma 2022, 259, 1331. [Google Scholar] [CrossRef] [PubMed]
- Song, D.; Zhou, J.; Lai, L.; Alarcon, I.; Taran, B.; Abrams, S. Development of ABA Antagonists to Overcome ABA- and Low Temperature-Induced Inhibition of Seed Germination in Canola, Lentil, and Soybean. J. Plant Growth Regul. 2019, 39, 1403. [Google Scholar] [CrossRef]
- Liu, Z.; Dai, H.; Hao, J.; Li, R.; Pu, X.; Guan, M.; Chen, Q. Current research and future directions of melatonin’s role in seed germination. Stress. Biol. 2023, 3, 53. [Google Scholar] [CrossRef]
- Bewley, J.D.; Bradford, K.; Hilhorst, H. Seeds: Physiology of Development, Germination and Dormancy; Springer Science & Business Media: Berlin/Heidelberg, Germany, 2012. [Google Scholar]
- Tuan, P.A.; Kumar, R.; Rehal, P.K.; Toora, P.K.; Ayele, B.T. Molecular Mechanisms Underlying Abscisic Acid/Gibberellin Balance in the Control of Seed Dormancy and Germination in Cereals. Front. Plant Sci. 2018, 9, 668. [Google Scholar] [CrossRef]
- Timm, S.; Woitschach, F.; Heise, C.; Hagemann, M.; Bauwe, H. Faster Removal of 2-Phosphoglycolate through Photorespiration Improves Abiotic Stress Tolerance of Arabidopsis. Plants 2019, 8, 563. [Google Scholar] [CrossRef]
- Buckley, T.N. How do stomata respond to water status? New Phytol. 2019, 224, 21. [Google Scholar] [CrossRef]
- Long, S.P.; Taylor, S.H.; Burgess, S.J.; Carmo-Silva, E.; Lawson, T.; De Souza, A.P.; Leonelli, L.; Wang, Y. Into the Shadows and Back into Sunlight: Photosynthesis in Fluctuating Light. Annu. Rev. Plant Biol. 2022, 73, 617. [Google Scholar] [CrossRef] [PubMed]
- Gao, F.Y.; Fu, Y.S.; Yi, J.J.; Gao, A.N.; Jia, Y.J.; Cai, S.B. Effects of Different Dietary Flavonoids on Dipeptidyl Peptidase-IV Activity and Expression: Insights into Structure-Activity Relationship. J. Agric. Food Chem. 2020, 68, 12141. [Google Scholar] [CrossRef] [PubMed]
- Zhao, M.; Li, J.; Zhou, S.; Li, K.; Niu, L.; Zhao, L.; Xu, D. Analysis of the effects of sulfamethoxazole on the secondary metabolites and antioxidants in oilseed rape (Brassica napus L.) and the underlying mechanisms. Sci. Total Env. 2023, 902, 165768. [Google Scholar] [CrossRef]
- Li, Y.; Yang, X.; Liu, H.; Wang, W.; Wang, C.; Ding, G.; Xu, F.; Wang, S.; Cai, H.; Hammond, J.P.; et al. Local and systemic responses conferring acclimation of Brassica napus roots to low phosphorus conditions. J. Exp. Bot. 2022, 73, 4753. [Google Scholar] [CrossRef] [PubMed]
- Hernández-Herrera, R.; Santacruz-Ruvalcaba, F.; Ruiz-López, M.A.; Norrie, J.; Hernández-Carmona, G. Effect of liquid seaweed extracts on growth of tomato seedlings (L.). J. Appl. Phycol. 2014, 26, 619. [Google Scholar] [CrossRef]
- Shaffique, S.; Imran, M.; Injamum-Ul-Hoque, M.; Zainurin, N.; Peter, O.; Alomrani, S.O.; Lee, I.J. Unraveling the new member Bacillus pumilus SH-9 of Bacillaceae family and its potential role in seed biopriming to mitigate drought stress in Oryza sativa. Plant Stress. 2024, 11, 100318. [Google Scholar] [CrossRef]
- Su, W.; Yang, M.; Ma, R.; Li, Q.; Xu, H.; Xue, F.; Sun, L.; Lu, C.; Wu, R. Adaptability and Germination Characteristics of Volunteer Wheat in China’s Main Wheat-Producing Areas. Biology 2023, 12, 1090. [Google Scholar] [CrossRef] [PubMed]
- Wan, C.; Hong, Q.L.; Zhang, X.Q.; Zeng, Y.J.; Yang, D.Y.; Che, C.L.; Ding, S.S.; Xiao, Y.M.; Li, J.Q.; Qin, Z.H. Role of the Ring Methyl Groups in 2′,3′-Benzoabscisic Acid Analogues. J. Agric. Food Chem. 2019, 67, 4995. [Google Scholar] [CrossRef] [PubMed]
- Jain, A.N. Surflex-Dock 2.1: Robust performance from ligand energetic modeling, ring flexibility, and knowledge-based search. J. Comput. Aided Mol. Des. 2007, 21, 281. [Google Scholar] [CrossRef] [PubMed]
- Nishimura, N.; Hitomi, K.; Arvai, A.S.; Rambo, R.P.; Hitomi, C.; Cutler, S.R.; Schroeder, J.I.; Getzoff, E.D. Structural mechanism of abscisic acid binding and signaling by dimeric PYR1. Science 2009, 326, 1373. [Google Scholar] [CrossRef]
- Sun, D.; Wang, H.; Wu, M.; Zang, J.; Wu, F.; Tian, C. Crystal structures of the Arabidopsis thaliana abscisic acid receptor PYL10 and its complex with abscisic acid. Biochem. Biophys. Res. Commun. 2012, 418, 122. [Google Scholar] [CrossRef]





| Treatment 1 a | Germination Rate (%) | Treatment 2 b | Germination Rate (%) | Treatment 3 c | Germination Rate (%) |
|---|---|---|---|---|---|
| DMSO | 91.33 ± 2.31 A | DMSO | 92.67 ± 2.31 A | DMSO | 93.33 ± 3.06 A |
| ABA | 13.33 ± 1.15 G | ABA | 31.33 ± 3.06 F | ABA | 10.67 ± 3.06 G |
| iso-PhABA | 8.67 ± 3.06 G | iso-PhABA | 22.67 ± 1.15 GH | iso-PhABA | 7.33 ± 2.31 G |
| / | / | / | / | NaCl | 48.67 ± 6.11 E |
| APA6 | 85.33 ± 3.06 A | ABA + APA6 | 78.67 ± 3.06 B | APA6 + NaCl | 82.67 ± 3.06 B |
| APA11 | 84.67 ± 4.16 A | ABA + APA11 | 75.33 ± 6.11 B | APA11 + NaCl | 81.33 ± 4.16 B |
| APA14 | 85.33 ± 4.16 A | ABA + APA14 | 78.67 ± 4.16 B | APA14 + NaCl | 86.00 ± 2.00 B |
| APA15 | 85.33 ± 3.06 A | ABA + APA15 | 74.67 ± 1.15 B | APA15 + NaCl | 85.33 ± 1.15 B |
| APA16 | 84.67 ± 3.06 A | ABA + APA16 | 76.67 ± 1.15 B | APA16 + NaCl | 84.00 ± 4.00 B |
| APA17 | 83.33 ± 3.06 A | ABA + APA17 | 75.33 ± 3.06 B | APA17 + NaCl | 82.67 ± 3.06 B |
| APA18 | 83.33 ± 2.31 A | ABA + APA18 | 76.00 ± 2.00 B | APA18 + NaCl | 84.00 ± 3.46 B |
| Treatment 1 a | Germination Rate (%) | Treatment 2 b | Germination Rate (%) | Treatment 3 c | Germination Rate (%) |
|---|---|---|---|---|---|
| DMSO | 91.77 ± 2.75 A | DMSO | 89.52 ± 3.30 A | DMSO | 91.43 ± 5.71 A |
| ABA | 18.70 ± 3.92 K | ABA | 49.52 ± 3.30 K | ABA | 2.86 ± 2.86 K |
| iso-PhABA | 13.60 ± 3.29 K | iso-PhABA | 21.90 ± 4.36 K | iso-PhABA | 0 K |
| / | / | / | / | NaCl | 42.86 ± 1.00 H |
| APA6 | 85.33 ± 3.65 ABC | ABA + APA6 | 82.86 ± 2.86 ABC | APA6 + NaCl | 77.14 ± 2.86 BCD |
| APA11 | 87.13 ± 1.15 AB | ABA + APA11 | 80.95 ± 3.30 AB | APA11 + NaCl | 77.14 ± 4.95 BCD |
| APA14 | 86.20 ± 4.56 AB | ABA + APA14 | 75.24 ± 3.30 AB | APA14 + NaCl | 75.24 ± 6.00 CD |
| APA15 | 83.93 ± 1.79 BCD | ABA + APA15 | 75.24 ± 4.36 BCD | APA15 + NaCl | 73.33 ± 3.30 CDE |
| APA16 | 84.77 ± 4.38 ABCD | ABA + APA16 | 76.19 ± 4.36 ABCD | APA16 + NaCl | 80.95 ± 4.36 BC |
| APA17 | 83.33 ± 2.97 BCD | ABA + APA17 | 83.81 ± 4.36 BCD | APA17 + NaCl | 85.71 ± 7.56 AB |
| APA18 | 83.83 ± 4.38 BCD | ABA + APA18 | 81.90 ± 5.95 BCD | APA18 + NaCl | 82.86 ± 4.95 ABC |
| Treatment | Germination Potential (%) | Germination Rate (%) | Germination Index | Cotyledon Length (cm) | Root Length (cm) | Vitality Index | |
|---|---|---|---|---|---|---|---|
| Compd. | Additive | ||||||
| DMSO | none | 77.33 ± 3.06 A | 97.33 ± 3.06 AB | 15.34 ± 0.44 ABC | 6.19 ± 0.67 A | 8.08 ± 0.57 A | 94.93 ± 10.13 A |
| 10 μM ABA | none | 36.00 ± 4.00 G | 97.33 ± 2.31 AB | 13.50 ± 0.36 E | 4.42 ± 0.40 F | 4.93 ± 0.67 G | 63.07 ± 5.71 DE |
| 10 μM iso-PhABA | none | 18.00 ± 2.00 H | 98.00 ± 1.46 AB | 12.92 ± 0.30 F | 3.76 ± 0.51 G | 4.51 ± 0.42 G | 48.57 ± 6.38 E |
| 10 μM APA6 | none | 73.33 ± 2.31 ABCD | 97.33 ± 1.15 AB | 15.17 ± 0.26 ABC | 5.81 ± 0.46 ABC | 6.99 ± 0.52 BC | 88.16 ± 6.89 ABC |
| 10 μM APA11 | none | 73.33 ± 3.06 ABCD | 96.67 ± 2.31 AB | 15.12 ± 0.19 ABCD | 5.63 ± 0.35 BCD | 7.00 ± 0.81 BC | 85.14 ± 5.18 ABC |
| 10 μM APA14 | none | 77.33 ± 2.31 A | 94.00 ± 2.00 B | 14.94 ± 0.24 ABCD | 5.75 ± 0.49 ABC | 6.98 ± 0.71 BC | 85.91 ± 7.13 ABC |
| 10 μM APA15 | none | 74.67 ± 4.62 ABCD | 98.67 ± 1.15 A | 15.41 ± 0.37 A | 5.73 ± 0.51 BC | 7.17 ± 0.40 B | 88.30 ± 7.84 ABC |
| 10 μM APA16 | none | 76.67 ± 6.11 AB | 95.33 ± 3.06 AB | 15.36 ± 0.64 AB | 5.62 ± 0.39 BCD | 7.07 ± 0.56 BC | 86.34 ± 6.55 ABC |
| 10 μM APA17 | none | 75.33 ± 4.16 ABC | 96.67 ± 1.15 A | 15.42 ± 0.36 A | 5.78 ± 0.60 ABC | 7.12 ± 0.46 BC | 89.13 ± 9.09 AB |
| 10 μM APA18 | none | 76.67 ± 3.06 AB | 96.67 ± 1.15 AB | 15.26 ± 0.24 ABC | 5.87 ± 0.36 AB | 7.10 ± 0.67 BC | 89.58 ± 5.46 AB |
| DMSO | none | 77.33 ± 3.06 A | 97.33 ± 3.06 AB | 15.34 ± 0.44 A | 6.19 ± 0.67 A | 8.08 ± 0.57 A | 94.93 ± 10.13 A |
| 1 μM ABA | none | 51.33 ± 2.31 DE | 96.67 ± 3.06 AB | 14.27 ± 0.37 BCDEF | 5.03 ± 0.23 EF | 6.27 ± 0.42 EF | 67.91 ± 3.30 D |
| 1 μM iso-PhABA | none | 26.67 ± 8.33 G | 97.33 ± 2.31 AB | 13.33 ± 0.71 H | 4.86 ± 0.47 F | 5.43 ± 0.35 H | 64.77 ± 6.75 E |
| 10 μM APA6 | 1 μM ABA | 62.00 ± 2.00 BC | 96.67 ± 2.31 A | 14.88 ± 0.27 AB | 5.93 ± 0.32 ABC | 7.01 ± 0.50 BC | 88.26 ± 4.79 AB |
| 10 μM APA11 | 1 μM ABA | 60.67 ± 3.06 BC | 95.33 ± 3.06 AB | 14.69 ± 0.50 ABCD | 5.91 ± 0.32 ABC | 6.97 ± 0.51 BC | 86.86 ± 5.18 ABC |
| 10 μM APA14 | 1 μM ABA | 62.00 ± 6.00 BC | 97.33 ± 1.15 AB | 14.73 ± 0.36 ABCD | 6.02 ± 0.63 AB | 7.27 ± 0.67 B | 88.67 ± 9.09 AB |
| 10 μM APA15 | 1 μM ABA | 60.00 ± 5.29 BC | 98.00 ± 0.00 AB | 14.72 ± 0.25 ABCD | 6.01 ± 0.81 AB | 7.25 ± 0.46 B | 88.45 ± 11.55 AB |
| 10 μM APA16 | 1 μM ABA | 59.33 ± 1.15 BC | 98.00 ± 0.00 AB | 14.69 ± 0.05 ABCD | 6.11 ± 0.69 AB | 7.06 ± 0.51 BC | 89.76 ± 9.74 AB |
| 10 μM APA17 | 1 μM ABA | 64.00 ± 4.00 B | 97.33 ± 1.15 AB | 14.83 ± 0.22 AB | 6.06 ± 0.55 AB | 7.16 ± 0.68 B | 89.89 ± 8.01 AB |
| 10 μM APA18 | 1 μM ABA | 62.67 ± 4.62 BC | 97.33 ± 1.15 AB | 14.78 ± 0.29 ABC | 6.12 ± 0.46 AB | 7.08 ± 0.45 BC | 90.43 ± 6.78 AB |
| DMSO | none | 77.33 ± 3.06 A | 97.33 ± 3.06 A | 15.34 ± 0.44 A | 6.19 ± 0.67 A | 8.08 ± 0.57 A | 94.93 ± 10.13 A |
| 50 μM ABA | none | 0 I | 97.33 ± 2.31 A | 11.28 ± 0.33 G | 4.10 ± 0.77 I | 4.48 ± 0.77 J | 46.26 ± 8.49 H |
| 50 μM iso-PhABA | none | 0 I | 49.33 ± 3.06 B | 5.42 ± 0.33 H | 3.41 ± 0.84 J | 2.58 ± 0.39 K | 18.47 ± 4.47 I |
| none | 100 mM NaCl | 46.67 ± 1.15 B | 96.00 ± 0.00 A | 13.94 ± 0.05 AB | 4.93 ± 0.51 GH | 5.71 ± 0.85 FGHI | 68.76 ± 6.81 FG |
| 50 μM APA6 | 100 mM NaCl | 64.00 ± 4.00 BC | 95.33 ± 1.15 A | 14.55 ± 0.31 BCD | 6.11 ± 0.70 ABC | 7.37 ± 0.61 AB | 88.90 ± 9.89 ABCD |
| 50 μM APA11 | 100 mM NaCl | 61.33 ± 1.15 CD | 96.00 ± 2.00 A | 14.51 ± 0.29 BCDE | 6.12 ± 0.39 ABC | 7.13 ± 0.92 BCD | 88.76 ± 5.67 ABCD |
| 50 μM APA14 | 100 mM NaCl | 64.00 ± 4.00 DE | 97.33 ± 1.15 A | 14.82 ± 0.06 BCDE | 6.12 ± 0.32 ABC | 7.34 ± 0.58 AB | 90.68 ± 4.57 ABC |
| 50 μM APA15 | 100 mM NaCl | 60.00 ± 4.00 B | 96.67 ± 1.15 A | 14.55 ± 0.06 ABC | 6.16 ± 0.28 AB | 7.42 ± 0.65 AB | 89.63 ± 3.94 ABCD |
| 50 μM APA16 | 100 mM NaCl | 60.67 ± 3.06 BC | 96.00 ± 4.00 A | 14.51 ± 0.44 BCDE | 6.06 ± 0.34 ABCD | 7.46 ± 1.03 AB | 87.95 ± 5.29 ABCDE |
| 50 μM APA17 | 100 mM NaCl | 61.33 ± 1.15 B | 98.00 ± 2.00 A | 14.72 ± 0.30 BCDE | 6.15 ± 0.44 AB | 7.19 ± 0.84 BCD | 90.53 ± 6.41 ABC |
| 50 μM APA18 | 100 mM NaCl | 66.00 ± 3.46 B | 96.67 ± 1.15 A | 14.83 ± 0.58 ABC | 6.13 ± 0.17 AB | 7.18 ± 0.97 BCD | 90.95 ± 3.82 AB |
| Culture Temperature | Germination Rate (%) | Cotyledon Length (cm) | Root Length (cm) | |||
|---|---|---|---|---|---|---|
| 24 °C a | 4 °C b | 24 °C a | 4 °C b | 24 °C a | 4 °C b | |
| DMSO | 93.67 ± 2.35 ABC | 78.50 ± 0.75 C | 1.38 ± 0.11 B | 2.38 ± 0.11 DE | 3.58 ± 0.35 A | 4.08 ± 0.46 CD |
| FD | 95.26 ± 2.41 AB | 90.27 ± 3.94 AB | 1.32 ± 0.19 B | 2.52 ± 0.16 D | 3.40 ± 0.25 A | 4.52 ± 0.53 BC |
| DCN | 84.73 ± 2.42 E | 63.21 ± 5.02 D | 0.80 ± 0.07 C | 1.70 ± 0.10 G | 1.84 ± 0.15 C | 3.62 ± 0.31 D |
| PBZ | 87.52 ± 1.70 DE | 72.40 ± 1.15 C | 0.62 ± 0.16 D | 1.88 ± 0.19 G | 1.54 ± 0.21 C | 3.82 ± 0.36 D |
| GA3 | 94.69 ± 0.34 AB | 87.40 ± 2.82 B | 1.42 ± 0.13 B | 2.72 ± 0.08 C | 3.62 ± 0.43 A | 4.62 ± 0.26 AB |
| APA18 | 96.22 ± 1.70 A | 91.09 ± 6.92 AB | 1.46 ± 0.09 AB | 2.76 ± 0.13 BC | 3.56 ± 0.42 A | 4.72 ± 0.41 AB |
| FD + APA18 | 96.47 ± 3.23 CD | 93.95 ± 1.93 A | 1.48 ± 0.13 AB | 2.94 ± 0.21 AB | 3.76 ± 0.24 A | 4.96 ± 0.44 AB |
| DCN + APA18 | 91.79 ± 1.64 BC | 72.87 ± 0.65 C | 0.88 ± 0.08 C | 2.10 ± 0.16 F | 1.90 ± 0.37 C | 3.78 ± 0.34 D |
| PBZ + APA18 | 91.44 ± 2.68 BC | 76.39 ± 3.26 C | 0.94 ± 0.11 C | 2.24 ± 0.11 EF | 2.54 ± 0.18 B | 3.98 ± 0.26 D |
| GA3 + APA18 | 97.49 ± 1.10 A | 94.45 ± 0.90 A | 1.62 ± 0.13 A | 3.00 ± 0.16 A | 3.64 ± 0.09 A | 5.08 ± 0.46 A |
| Ligand | PYR1 | PYL2 | PYL3 | PYL6 | PYL10 |
|---|---|---|---|---|---|
| ABA | 187.98 ± 28.99 A | 16.20 ± 4.84 A | 37.89 ± 2.41 A | 19.51 ± 3.92 A | 152.16 ± 31.03 A |
| iso-PhABA | 186.58 ± 22.30 A | 7.54 ± 2.36 B | 16.31 ± 2.78 B | 6.77 ± 0.32 C | 92.04 ± 5.13 B |
| APA6 | 120.88 ± 13.65 B | 2.91 ± 0.17 CD | 4.09 ± 0.65 E | 1.62 ± 0.17 DE | 44.91 ± 8.09 D |
| APA11 | 59.44 ± 3.41 CD | 0.46 ± 0.09 D | 3.11 ± 0.40 E | 0.90 ± 0.22 E | 17.60 ± 2.11 E |
| APA14 | 60.84 ± 9.02 CD | 0.11 ± 0.01 D | 5.18 ± 0.84 DE | 2.55 ± 0.46 DE | 45.46 ± 2.47 D |
| APA15 | 37.91 ± 3.09 D | 2.04 ± 0.29 D | 7.95 ± 1.66 CD | 1.99 ± 0.32 DE | 36.33 ± 2.18 DE |
| APA16 | 53.43 ± 4.71 CD | 5.84 ± 0.24 BC | 7.84 ± 0.95 CD | 2.10 ± 0.31 DE | 65.01 ± 2.76 C |
| APA17 | 42.20 ± 6.71 D | 7.07 ± 0.21 B | 18.99 ± 2.10 B | 13.12 ± 1.46 B | 23.92 ± 2.68 E |
| APA18 | 73.94 ± 5.28 C | 0.14 ± 0.02 D | 9.33 ± 1.39 C | 4.17 ± 0.93 D | 37.48 ± 2.83 DE |
| Ligand | PYR1 | PYL2 | PYL3 | PYL6 | PYL10 |
|---|---|---|---|---|---|
| ABA | 0.64 ± 0.04 C | 2.15 ± 0.20 F | 2.32 ± 1.18 G | 3.08 ± 0.27 E | 0.99 ± 0.08 E |
| iso-PhABA | 0.51 ± 0.08 C | 3.28 ± 0.59 F | 2.44 ± 0.76 G | 1.39 ± 0.71 E | 1.80 ± 0.73 E |
| APA6 | 85.62 ± 0.76 B | 95.48 ± 0.59 B | 82.93 ± 0.42 F | 86.9 ± 1.33 C | 88.50 ± 1.11 BC |
| APA11 | 85.11 ± 0.44 B | 97.97 ± 0.78 A | 90.98 ± 0.56 C | 92.60 ± 0.46 B | 83.06 ± 0.36 D |
| APA14 | 88.24 ± 0.44 B | 84.41 ± 0.78 E | 88.54 ± 0.73 D | 83.79 ± 1.07 CD | 90.46 ± 0.23 B |
| APA15 | 91.35 ± 3.64 A | 87.63 ± 0.20 D | 94.27 ± 1.88 B | 81.03 ± 6.16 D | 92.53 ± 1.02 B |
| APA16 | 87.23 ± 3.12 B | 91.02 ± 0.52 C | 87.68 ± 1.28 DE | 84.11 ± 4.55 CD | 85.27 ± 7.07 CD |
| APA17 | 86.46 ± 0.38 B | 84.69 ± 1.28 E | 85.98 ± 0.21 E | 87.98 ± 0.92 BC | 83.79 ± 1.89 D |
| APA18 | 93.89 ± 1.10 A | 98.19 ± 1.12 A | 97.56 ± 1.18 A | 97.69 ± 1.57 A | 99.64 ± 0.09 A |
| Compd. | Total Score | Crash | Polar | Cscore | Similarity | |||||
|---|---|---|---|---|---|---|---|---|---|---|
| PYR1 | PYL10 | PYR1 | PYL10 | PYR1 | PYL10 | PYR1 | PYL10 | PYR1 | PYL10 | |
| ABA | 10.96 | 10.53 | −0.92 | −1.53 | 6.67 | 5.6 | 81.72 | 42.5 | 0.72 | 0.81 |
| iso-PhABA | 15.74 | 11.48 | −1 | −2.61 | 9.4 | 7.44 | 75.09 | 45.19 | 0.96 | 0.9 |
| APA6 | 16.31 | 12.6 | −3.16 | −3.21 | 9.17 | 7.09 | 127.31 | 75.3 | 0.85 | 0.79 |
| APA11 | 14.61 | 16.64 | −4.66 | −2.24 | 8.32 | 9.27 | 128.27 | 73.38 | 0.79 | 0.85 |
| APA14 | 15.7 | 10.64 | −4.19 | −4.73 | 8.24 | 6.22 | 148.6 | 76.65 | 0.79 | 0.77 |
| APA15 | 10.44 | 13.88 | −4.86 | −2.79 | 4.87 | 7.24 | 159.56 | 87.43 | 0.84 | 0.77 |
| APA16 | 14.25 | 11.62 | −3.07 | −2.87 | 7.67 | 7.19 | 147.5 | 85.38 | 0.85 | 0.79 |
| APA17 | 14.09 | 15.19 | −3.59 | −2.48 | 7.54 | 9.08 | 104.33 | 96.78 | 0.79 | 0.85 |
| APA18 | 16.46 | 14.55 | −2.65 | −2.16 | 9.38 | 7.86 | 116.97 | 89.21 | 0.83 | 0.87 |
| iso-PhABA | APA16 | APA18 | |
|---|---|---|---|
| Evdw | −34.46 ± 2.19 | −50.62 ± 1.72 | −47.89 ± 1.71 |
| Eele | −19.3 ± 3.80 | −68.24 ± 7.32 | −91.06 ± 8.08 |
| Epb | 28.09 ± 5.70 | 75.96 ± 4.90 | 83.41 ± 8.28 |
| Enpolar | −3.75 ± 0.07 | −5.22 ± 0.13 | −4.82 ± 0.05 |
| ∆bind·cal | −29.42 ± 3.50 | −48.12 ± 4.68 | −60.36 ± 1.14 |
| ∆bind·exp a | −5.48 | −5.69 | −6.01 |
Disclaimer/Publisher’s Note: The statements, opinions and data contained in all publications are solely those of the individual author(s) and contributor(s) and not of MDPI and/or the editor(s). MDPI and/or the editor(s) disclaim responsibility for any injury to people or property resulting from any ideas, methods, instructions or products referred to in the content. |
© 2024 by the authors. Licensee MDPI, Basel, Switzerland. This article is an open access article distributed under the terms and conditions of the Creative Commons Attribution (CC BY) license (https://creativecommons.org/licenses/by/4.0/).
Share and Cite
Li, X.; Tang, X.; Wang, M.; Zhang, X.; Xu, Y.; Li, Y.; Li, J.; Qin, Z. The Discovery of Highly Efficient and Promising ABA Receptor Antagonists for Agricultural Applications Based on APAn Modification. Molecules 2024, 29, 3129. https://doi.org/10.3390/molecules29133129
Li X, Tang X, Wang M, Zhang X, Xu Y, Li Y, Li J, Qin Z. The Discovery of Highly Efficient and Promising ABA Receptor Antagonists for Agricultural Applications Based on APAn Modification. Molecules. 2024; 29(13):3129. https://doi.org/10.3390/molecules29133129
Chicago/Turabian StyleLi, Xiaobin, Xianjun Tang, Mian Wang, Xueqin Zhang, Yanjun Xu, Yiyi Li, Jiaqi Li, and Zhaohai Qin. 2024. "The Discovery of Highly Efficient and Promising ABA Receptor Antagonists for Agricultural Applications Based on APAn Modification" Molecules 29, no. 13: 3129. https://doi.org/10.3390/molecules29133129
APA StyleLi, X., Tang, X., Wang, M., Zhang, X., Xu, Y., Li, Y., Li, J., & Qin, Z. (2024). The Discovery of Highly Efficient and Promising ABA Receptor Antagonists for Agricultural Applications Based on APAn Modification. Molecules, 29(13), 3129. https://doi.org/10.3390/molecules29133129

