Abstract
This review highlights how advances in silico techniques have shed new light on phenomena in confined supramolecular resorcinarene-based systems. Computational studies have provided detailed insights into capsule formation, their dynamic behavior, guest encapsulation and reaction mechanisms within these hosts, often revealing information that experimental methods cannot reach. The focus is placed on the self-assembly of resorcin[4]arenes, pyrogallol[4]arenes, velcrands, and octa acid systems. These computational studies complement experimental findings and, in many cases, offer new perspectives that are inaccessible using experimental techniques alone. Supramolecular architectures are growing in complexity the role of in silico approaches is becoming indispensable. They offer a way to design rationally and understand host–guest chemistry more deeply.
1. Introduction
The rapid development of in silico techniques over the past few decades has completely changed our approach to chemical research [1,2,3,4,5]. Initially limited by computational power and model sophistication, these methods now allow the exploration of increasingly complex supramolecular systems. Molecular modeling has been a particular boon to supramolecular chemistry [6,7,8,9,10,11,12]. Modern analytical techniques have greatly improved the characterization of supramolecular assemblies, but they still exhibit intrinsic limitations, particularly in terms of spatial and temporal resolution at the atomic scale. These limitations hinder our understanding of the dynamic and structural aspects of certain systems, such as molecular capsules.
In silico studies are now essential complementary tools. These simulations decisively address certain experimental limitations and provide additional insights into the structure, dynamics, and molecular interactions within supramolecular assemblies. They undoubtedly contribute to a more integrated and comprehensive understanding of the properties of these systems by enriching the experimental data.
The chemistry of supramolecular containers is a significant sub-discipline of supramolecular chemistry. Various strategies have been developed, leveraging non-covalent interactions such as ionic interaction, coordination bonds, hydrogen bonds, or halogen bonds [13]. Assemblies based on hydrogen bonding, in particular, have attracted particular attention due to their dynamic nature [14]. Resorcin[4]arenes are one of the most utilized macrocycles in this field. They serve as versatile molecular platforms [15,16]. These macromolecules are known to self-assemble in organic solutions in the presence of water, as demonstrated by Atwood [17]. Their remarkable chemical modularity has expanded the range of possible supramolecular architectures, generating sustained interest in the scientific community, particularly in the field of catalysis [18,19,20,21,22].
In this review, we will explore the contributions of in silico approaches to understanding these supramolecular assemblies. We highlight the methodologies and computational levels employed. The systems studied include resorcin[4]arenes 1 self-assembled into hexameric capsules (Atwood’s capsule), their pyrogallol[4]arene counterparts 2, velcrands 3 and 4, and, finally, octa acid-based 5 assemblies (Figure 1). The four sections will demonstrate how molecular simulations complement experimental data and provide unique perspectives on the dynamics and properties of these fascinating assemblies.
Figure 1.
Resorcin[4]arene (1) and pyrogallol[4]arene (2) forming a hexameric capsule (left) and velcrands (3 and 4) and octa acid (5) forming dimeric assemblies (right).
2. Discussion
2.1. Atwood Capsule
The self-assembly of resorcin[4]arene 1 in the presence of water in organic media [23,24,25], discovered by Atwood and MacGillivray in 1997 [17], represents a significant advance in supramolecular chemistry. This self-assembly process, which involves the formation of a capsule from six resorcin[4]arene 1 molecules and eight water molecules in non-polar solvents (Figure 2), offers numerous advantages. The resulting cavity is hydrophobic; its diameter and volume were determined from the X-ray structure to be 24.3 Å and 1375 Å3, respectively, making it an interesting structure for the encapsulation of various compounds. Indeed, the confined space of the capsule allows efficient encapsulation of a wide variety of organic compounds [26,27,28,29,30], as well as metal complexes [31,32,33,34,35,36,37,38,39,40,41,42,43]. Some of these encapsulated systems can be used for catalysis, showing marked differences in reactivity and selectivity compared to free catalytic systems [40,41,42,43,44,45,46]. These differences, sometimes subtle, have motivated in-depth studies to understand the effects of supramolecular confinement in this type of capsule.
Figure 2.
Formation of the Atwood capsule in an apolar solvent in presence of water.
This section will be divided into three subsections. The first will include studies on the intrinsic properties of the resorcin[4]arene capsule, examining its formation and the role of water. The second will focus on work related to the encapsulation of different species within the capsule, analyzing what leads to the grafting of different species. Finally, the third subsection will deal with mechanistic studies, focusing on the impact of supramolecular confinement on the catalytic processes and molecular dynamics of the system.
2.1.1. Capsule Assembly
- Early-stage formation of the hexameric capsule.
The groups of Capelli and Piccini have studied in silico the preliminary stages of the resorcinarenyl capsule formation [47]. Given the rapidity of the self-assembly process, current experimental techniques do not allow for direct observation of the dynamics; recourse to simulation allows us to overcome this problem.
The formation of the capsule 16 involves a series of slowly activated processes, characterized by significantly large free energy barriers between structural intermediates [48]. Because of these barriers, classical molecular dynamics is not suitable for capturing the transitions between states, which led the authors to employ metadynamics [49,50], a simulation technique more suitable for studying the various intermediates. Simulations were performed in chloroform with eight equivalents of water per capsule. All their calculations were performed using GROMACS 2019.223 patched with PLUMED 2.6 [51,52].
The results show that dimer 12 and hexamer 16 structures are thermodynamically favored over the monomer 1. In the second step, the team established the free energy surface for the assembly process, which allowed them to map the structural intermediates between each metastable state. Their analysis revealed several intermediate states: the first metastable state is an association of dimers (12)n interacting in pairs (forming aggregates of n = 2 or 3 dimers), while the formation of isolated monomers or dimers is not located in a stable free-energy region. The second metastable state corresponds to a tetramer interacting with a dimer (14•12). Although relatively stable, this assembly is less stable than dimers or the final hexamer. The final state of the assembly is the hexamer 16, the most stable and predominant structure in this equilibrium. The team observed that the equilibrium is mainly between dimeric (12)n and hexameric species 16. Furthermore, the authors note that water does not have a limiting kinetic effect due to its rapid diffusion compared to that of the resorcinarene monomers.
In their work, the group also examined the average number of solvent molecules encapsulated within the hexameric capsule. NMR analysis in chloroform suggests the presence of six [53] to eight [46] chloroform molecules within the structure. However, this method seems to reveal only those molecules that interact directly with the resorcinarene subunits. In contrast, computational simulations determined an average number of encapsulated solvents of eight, a result that differs from the experimental observations. This difference suggests that the NMR studies may underestimate the actual number of chloroform molecules encapsulated in the capsule by highlighting only molecules closely associated with the resorcinarene subunits, whereas the simulations include all the solvents present.
- Water molecules.
An essential parameter for the self-assembly of the capsule is the ratio of water to the capsule itself. Capsule formation does not occur in the presence of anhydrous chloroform [25,54]. The effect of the water concentration is even more important to study because the mechanisms of encapsulation and release of guests within this capsule are not fully understood. Some publications suggest the existence of pentameric intermediates 15 for encapsulation and during certain catalytic reactions, as well as the possibility of partial opening of the capsule to facilitate guest exchange [45,55]. In addition, a study by Tiefenbacher and co-workers observed that the catalytic activity of the capsule varies with water concentration [56].
X-ray crystallographic analysis revealed that the eight structural water molecules within the assembly can be categorized into two distinct groups. Four of them act as double hydrogen bond donors and single acceptors (Figure 3, oxygen atoms in yellow), whereas the remaining four function as single donors and double acceptors (Figure 3, oxygen atoms in green). The latter group exhibits a hydrogen atom oriented toward the interior of the capsule, enabling potential interactions with encapsulated guest species. The capsule exhibits acidic behavior, with a global pKa value of 5.9 [57]. In silico pKa estimations for each water molecule were performed using Gaussian 09 at the PM6 level of theory [58,59,60]. These calculations revealed significant variations in the acidity of the individual water molecules, particularly for the second group, which displays microenvironment-dependent pKa values around 2.5. It is important to understand that the water molecules observed in the solid-state structure are in dynamic equilibrium with bulk solvent molecules in solution.
Figure 3.
Description of the hydrogen bonds (in magenta) forming the hexameric capsule in organic solvents in the presence of water. The two types of water are represented in yellow and green.
To learn more about the role of water, several studies, both experimental and in silico, have been conducted to understand the behavior of the capsule as a function of the relative amount of water. Thompson and co-workers studied the water diffusion coefficient as a function of the water/capsule ratio [61,62], for which they performed molecular dynamics simulations using the Large-Scale Atomic/Molecular Massively Parallel Simulator (LAMMPS) [63,64] software. The data obtained were then compared with the experimental results of the group of Cohen [24]. From an experimental point of view, a rapid exchange between different water populations on the NMR time scale was demonstrated. Indeed, a single water peak was observed in the 1H NMR spectra for all water/capsule ratios. This leads to a diffusion coefficient measured by NMR, which is a weighted average of the diffusion coefficients of the different water populations, including molecules interacting with the assembly and those remaining free in solution. As far as diffusion coefficients are concerned, that of the capsule remains practically invariant as a function of the water/capsule ratio, unlike that of water, which shows a notable increase, followed by a plateau as the ratio increases. This observation allowed them to model the behavior of the water diffusion coefficient as a simple adsorption isotherm, providing an excellent correlation between experimental results and simulations. This model highlights a dynamic equilibrium between the so-called structural water molecules, which are integrated into the hydrogen bond network that holds them together, and those that remain free in the solution. However, in order to more accurately describe the experimental data, it was necessary to introduce an additional category of water molecules, called “bound”. The presence of encapsulated water molecules was also observed in their simulations. The calculations performed showed that, on average, 6.3 water molecules are encapsulated or attached in the capsule structure, in addition to the eight structural water molecules. This value is in agreement with the value of six molecules obtained from NMR measurements.
To study the behavior of attached or encapsulated water molecules, the authors examined the probability of a water molecule’s presence as a function of its distance from the capsule’s center of mass and as a function of the relative water concentration. In all simulations, the eight structural water molecules were always present, regardless of the water concentration. The second most stable type of water observed is encapsulated water. The presence of these encapsulated water molecules in chloroform had already been suggested experimentally [53]. In fact, encapsulated water molecules were observed at a ratio of 6/14 (resorcinarene/water). Beyond this ratio, the number of encapsulated water molecules reaches a plateau at 2–2.5 molecules per capsule, from a ratio of 6/16, despite the continuous increase in water concentration. The authors also observed the attachment of water molecules to the outside of the capsule. These molecules are associated with structural water molecules, forming bound water clusters in a variety of arrangements. These bound water molecules are detected at a ratio of 6/16. However, they only become significantly present at higher ratios (6/40 to 6/50), where the concentration reaches an average value of about one bound water molecule per capsule. However, the number of bound water molecules can reach up to 17 molecules per bound cluster. The team also studied the free energy profiles of each type of water molecule as a function of the relative water concentration. They found that, as this concentration increased, the free energy for each category of water molecule became progressively more favorable. Furthermore, a van’t Hoff analysis showed that the free energy surface is mainly influenced by entropic contributions. The exchange kinetics between the different water populations have also been studied in detail by the group of Thompson. The transition from encapsulated or bound water molecules to structural water molecules is fast, on the order of 5 to 10 ps. In contrast, the reverse exchange, i.e., from structural water molecules to encapsulated or bound forms, is much slower, with times on the order of 100 ps to a few ns. The slowest dynamics concern the transfer of free water molecules to bound molecules, a process that takes between 3 and 15 ns, depending on the relative water concentration. Exchanges between these populations are fast on the NMR timescale, as observed experimentally [61,62].
A classical molecular dynamics study by Reek and co-workers, performed with pmemd.CUDA [64,65], suggests the formation of a water crown around one of the six resorcinarene units, forming the capsule 16(15•H2O) [66]. In their simulations, the presence of more than 14 water molecules per capsule enables the formation of this crown, which is positioned at the top of one of the resorcinarene units (Figure 4a). At least six additional water molecules are required to initiate this extension. These molecules are more mobile than the structural molecules and are not strongly localized. Although the formation of a water crown is thermodynamically favored, the formation of multiple crowns around the same capsule is energetically unfavorable because it leads to too much entropic loss. These results were supported by NMR investigations, including both 1H NMR and DOSY experiments. In particular, the splitting observed in the phenolic proton signals in the 1H NMR spectrum was unambiguously attributed to the presence of both capsule 16(8•H2O) and 16 (15•H2O) in equilibrium, rather than to the intrinsic chirality of the assembly, as had previously been assumed (Figure 4b). They also showed that the formation of the water crown induces an increase in capsule acidity and reactivity, for example, in the Diels–Alder reaction.
Figure 4.
(a) Representation of the incorporation of water molecules into 16 leading to 16 (15•H2O); (b) 1H NMR spectrum of phenols 16(8•H2O) (green square) and 16(15•H2O) (blue triangle) at different H2O concentrations (CDCl3 saturated in H2O at the bottom and after addition of H2O at the top).
It is possible to partially replace the structural water molecules with either alcohols or halogens [24,65,66,67,68,69,70]. In the latter case, Szumna and co-workers demonstrated that the eight structural water molecules present in the capsule could be replaced by an equimolar number of halides while maintaining the hexameric assembly [71]. It has been shown that this capsule can be obtained in solvents such as benzene or tetrahydrofuran, which are weak solvents for anions. However, these assemblies are not observed in chloroform. The formation of this hexamer has been supported by both experimental and DFT (B3LYP functional, employing the 6-31g basis set) [72,73] studies using the Gaussian 09 program suite [59]. These calculations have allowed the electrostatic potential of resorcinarene to be plotted, highlighting broad regions of positive electrostatic potential along the phenolic groups and upper rim hydrogens. These regions are expected to favor interactions with anions. Thus, three hydrogen bonds are formed for each halide, with bond distances varying between 3.1 and 3.3 Å for chlorides. The distances between chlorides were calculated to be 6.2 Å, indicating the absence of significant repulsive interactions between these anions. The formation of the capsule was also supported by several experimental studies.
2.1.2. Formation of Inclusion Complexes
Given the substantial size of the cavity, 1375 Å3, it is plausible that guest molecules can adopt different conformations within it and that dynamic exchange between these different configurations can occur. Although some of these phenomena can be addressed by experimental studies, it should be noted that not all systems can be fully characterized by this approach due to the rapidity of the exchange and the inherent limitations of the techniques. For a deeper understanding of these dynamics, in silico studies provide a valuable alternative.
A well-known emblematic example of guests for this capsule is tetra-alkyl ammoniums [26]. It is important to keep in mind that the encapsulation of a guest inside the hexameric capsule requires some energy, corresponding to the energy needed to open a door in the capsule (energy needed to break down hydrogen bonds) as well as the energy required to push guests through this door. Using DFT at the PBE-D3/def2-SVP/Ɛ level with TURBOMOLE v. 5.5–5.6 [74,75,76,77,78]. Tiefenbacher and co-workers have elucidated the reasons for the efficient encapsulation of these ammoniums [79]. Their work showed that the hexameric capsule promotes stabilization of the cations through π•••cation interactions, as would be expected. But that is not all: the resorcinarenyl capsule is also able to stabilize the counter anion. To demonstrate this, the authors calculated the electrostatic potential map of the inner surface of the capsule. The results indicate that the hydrogen atom on the top surface of resorcinarene, as well as the protons of the structured water molecules, are positively charged (similar to the capsule maintained by halide previously described). These positively charged sites can then interact with the anion, helping to stabilize it within the capsule. This mechanism reduces the energy associated with charge dissociation compared to a situation where the anion would not be part of the assembly, thus facilitating the stability of the whole.
To go further, the group of Rebek performed molecular mechanics calculations on the hosted tetra-alkyl ammonium salts to better understand the specific chemical shifts observed in the 1H NMR spectrum for the proton of the alkyl chains [55]. In this example, in silico studies using the Wab Lab Viewer program [80] were performed on three different ammonium salts, namely tetra-hexyl ammonium bromide (6), tetra-heptyl ammonium bromide (7) and tetra-octyl ammonium bromide (8). Results from 1H NMR spectroscopy and molecular mechanics calculations show that encapsulation occurs without refolding of the hexyl chains. Conversely, for ammonium salts with longer alkyl chains (heptyl 7 and octyl 8), the size of the ammonium salts becomes too large to allow their encapsulation with a linear conformation of the alkyl chain. A folding of the alkyl chain occurs to accommodate the limited space provided by the capsule. This phenomenon was found to occur at the fourth carbon atom of the alkyl chain. The group of Shivanyuk reported the co-encapsulation of a calix[4]arene 9 and a tetra-methylammonium iodide (10) inside the resorcinarenyl capsule [81]. Molecular mechanics calculations were carried out based on crystallographic coordinates obtained by MacGillivray and Atwood [17] and calculated with MMX force [82]. This simulation predicted that the calixarene is encapsulated “face-to-face” with respect to a unit of the hexamer. This prediction is corroborated by the shielding effect observed in NMR spectroscopy (1H and NOESY), which supports the proposed configuration. The energetically optimized structure shows that ammonium can indeed be encapsulated in this arrangement. Two positions corresponding to energy minima were identified, and NMR analysis revealed that most of the ammonium 10 is located in the calixarene cavity.
The self-assembling capsule can also host organometallic complexes [31,32,33,34,35,36,37,38,39,40,41,42,43]. A number of the latter inclusion complexes have been studied in silico by molecular methods (Figure 5) [37,38,39,40,41,83,84].
Figure 5.
Selected organometallic complexes 11–16 studied by in silico inside the Atwood capsule.
The group of Umakoshi studied the modeling of the inclusion complex formed by the cationic iridium complex [Ir(ppy)2(bpy)]X (11, Figure 5) (ppy = 2-phenylpyridinate and bpy = 2,2′-bipyridine) in the hexameric capsule. The geometries of the resorcinol capsule and the guest 11 were based on their individual X-ray structures. The simulations have clearly shown that the hexameric capsule has a cavity large enough to trap the iridium complex cation. In addition, the VOIDOO program estimates that the remaining space in the capsule is of the order of 40–70 Å3, which is sufficient to allow also the encapsulation of the small cation (chloride, bromide, iodide, nitrite, nitrate or tetrafluoroborate) and to form an ion-pair in the inner space of the capsule, leading to a large blue shift in the emission wavelength of the iridium complex 11 [83]. Reinaud, Colasson and co-workers also observed that the triflate counteranion, unlike BArF− (BArF− = tetrakis(3,5-bis(trifluoromethyl)phenyl)borate), can also be accommodated in the cavity with the organometallic cation [ZnCl(TMPA)]+ (TMPA = tris(2-pyridylmethyl)amine) (12, Figure 5) [37]. The authors also performed molecular modeling by docking the zinc cation with LigandFit [85]. For the [ZnCl(TMPA)]+ complex, the calculations revealed two preferred binding orientations. Several CH•••π interactions and CH2•••OH2 interactions were observed in the simulations. Furthermore, the encapsulation of three chloroform molecules was observed, which is consistent with a favorable packing coefficient [86]. These results are consistent with the cleavage patterns observed in the NMR spectra. In addition, the in silico studies showed that the metal-bound chloride ion does not form hydrogen bonds with the OH groups of the capsule in the simulation. In contrast, the [CuN3(TMPA)]+ complex, which can be used as a probe for hydrogen bonding by IR spectroscopy [87,88], revealed the formation of relatively strong hydrogen bonds with the azide during encapsulation. The simulation of this complex showed two conformations similar to those observed for the zinc complex. In one of these conformations, a hydrogen bond was observed between the azide and the hexameric capsule, with a bond length of 1.52 Å, which is consistent with the strength of the hydrogen bond as measured by IR spectroscopy. On the other hand, the groups of Fogg and Reek investigated two modified Grubbs complexes (13a and 13b, Figure 5) by molecular dynamics using the CUDA-enabled Amber14 software suite [41]. They first demonstrated that this complex could indeed fit into the interior of the capsule. They then simulated the diffusion coefficient of the complex and obtained a value in excellent agreement with the experimental data (logD(simulated) = −9.57 vs. logD(measured) = −9.62) [24]. They also observed a small expansion of the assembly due to the encapsulation of the guest, to approximately 1930 Å3, as determined by the Conolly roll method [89]. For their part, Echavarren, Ballester and co-workers carried out a detailed study of encapsulation behavior of gold-based complexes, employing molecular modeling with the MM3 force field [90]. According to the authors and based on molecular simulations, when the gold precursors themselves cannot be directly encapsulated, the addition of water facilitates the formation of μ-OH pseudo-dimer complexes (14, Figure 5) [91], which could dissociate into cationic gold complexes bearing an H2O ligand (15, Figure 5), the latter species being easily encapsulated [39]. In this context, we investigated the encapsulation of a neutral ruthenium-based complex in the hexameric host through molecular dynamics simulations using the AMBER.18 GPU software [92] (16, Figure 5) [40]. As observed experimentally by 31P and 19F NMR spectroscopy performed on the inclusion complex, the simulation showed that the complex is in rapid motion within the cavity whose volume remains relatively stable (2367 Å3 versus 2324 Å3 for the simulated “empty” capsule). The theoretical study revealed that the ruthenium complex strongly interacts with the inner walls of the capsule through supramolecular interactions of π•••π, CH•••π and CF•••π types, as observed in Figure 6.
Figure 6.
Selected orthogonal views of interactions between a resorcinarene unit and the ruthenium complex 16: (1) p-cymene π-system; (2) aromatic protons of the p-cymene ring; (3) phenyl ring attached to the oxadiazole; (4) CH protons of the P(O)(OEt)2 groups; (5) CF3 substituent.
2.1.3. Study of Mechanisms Inside the Atwood Capsule
The group of Neri was interested in exploiting the acidic properties of water molecules of the hexameric capsule architecture in organic reactions. In order to better understand the role played by the water molecules and the inner walls of the cavity, in silico studies were carried out. This research group investigated the 1,3-dipolar cycloaddition between a nitrone 17 and an α,β-unsaturated aldehyde 18 catalyzed by L-proline 19 (Scheme 1) [44]. In the absence of the capsule, no conversion was observed. Conversely, in the presence of the capsule, important conversions, substantial regioisomeric 4-formyl-isoxazolidine/5-formyl-isoxazolidine 20 ratios (up to 100/0) with high diastereoisomeric (endo/exo) ratios (up to 96/4) and enantiomeric excess (up to 95%, (4R)-product) were observed, except when acrylaldehyde was employed as a substrate.
Scheme 1.
1,3-dipolar cycloaddition of nitrones with α,β-unsaturated aldehydes catalyzed with L-proline inside the hexameric capsule.
To explain these catalytic results, quantum chemical investigations were performed using N-methyl-C-phenyl nitrone 17a and (E)-crotonaldehyde 18a as substrates. The simulations were carried out with the Gaussian 09 program using the PM6 semiempirical Hamiltonian [59,60] and showed that the encapsulation of the reactants occurs in the following order: L-proline 19, the nitrone 17a, and then the aldehyde 18a. Hydrogen bonds were observed between the oxygen atoms of the nitrone 17a, aldehyde 18a, or carboxyl groups and the structural water molecules, explaining the observed stabilization. The iminium intermediate, resulting from the addition of L-proline and the aldehyde, was formed within the capsule and served as a catalyst for the 1,3-dipolar cycloaddition of the nitrone. Once the product is formed, hydrolysis can take place either inside or outside the capsule. They show that the latter case appears to be the least favorable, but if the entry of the nitrone 17a is considered along with the expulsion process, the energy cost is reduced, making the catalytic cycle viable. A total of eight possible products and, correspondingly, eight reactive channels were identified. The study of the free energy profiles showed that the meta-channel is less energetic, which explains the observed regioselectivity in favor of the endo-(4R)-product 20a (Scheme 2). It is noteworthy that the hexameric capsule has demonstrated a degree of flexibility during the process of inclusion complex formation [40]. This capacity for accommodation to the host should be sustained through the utilization of reaction intermediates during catalytic processes. This adaptability of the capsule should allow, for example, better stabilization of cationic intermediates by the inner aromatic walls of the capsule.
Scheme 2.
Proposed mechanism for the meta-channel as the least energetic pathway.
Similarly, the authors studied the Michael-type Friedel–Crafts alkylation between N-methylpyrrole 22 and (E)-(2-nitrovinyl)arene 23 (Scheme 3a) [93]. As previously observed, no conversion was measured in the absence of the hexameric capsule. Under optimal reaction conditions, in the presence of the supramolecular assembly and at 50 °C, quasi-full conversions were obtained, except when sterically hindered (E)-(2-nitrovinyl)arene was employed ((E)-1-methoxy-2-(2-nitrovinyl)benzene 23a and (E)-1-chloro-2-(2-nitrovinyl)benzene 23b with conversions of 70 and 80%, respectively). A marked regioselectivity for the α-products, up to 85%, was obtained. In order to better understand these observations, quantum mechanical investigations were performed using the ONIOM method included in the Gaussian 16 package [94]. Since two regioisomers are possible, the mechanistic analysis helped to explain the observed regioselectivity in the presence of the capsule. Calculations showed that (E)-(2-nitrovinyl)arene 23 was the first to host the capsule, followed by N-methylpyrrole 22. Hydrogen bonding with the structural water molecules of the capsule occurs with the nitro group, which facilitates this step. The calculated enthalpy was negative, although this was accompanied by an entropic penalty. It is well established that the formation of the two regioisomers depends on two different pathways leading to two different Wheland intermediates. In this Michael–Friedel–Crafts-type mechanism, the pathway leading to the β-product 25 is higher in energy (δ(ΔG) of 1.2 kcal/mol), which explains the preferential formation of the α-regioisomer 24, in agreement with the experimental data. The in silico study highlights that the capsule plays a key role in activating the substrates and stabilizing the reaction intermediates through hydrogen bonding and π•••cation interactions. Furthermore, no inhibition by the capsule is observed, as the release of the product is favored over the encapsulation of the reactants. In addition, the theoretical study demonstrates that the capsule effectively controls the reactivity by protecting the nitronic acid intermediate from common degradation pathways observed in the bulk medium.
Scheme 3.
Michael-type Friedel–Crafts alkylation between N-methylpyrrole 22 and (E)-(2-nitrovinyl)arene 23 (equation (a) with two Wheland intermediates leading to the two regioisomers), benzylic chloride 26 (equation (b)) and benzoyl chloride 28 (equation (c)).
Neri and co-workers investigated in detail the carbon-chloride bond activation by the capsule. In the supramolecular assembly, the presence of a hydrogen bond formed between one of the structural water molecules and the chlorine atom of the substrate makes the C-Cl bond weaker and consequently the species more reactive. The first example investigated was the Friedel–Crafts alkylation of aromatic substrates with benzylic halides (Scheme 3b) [58]. The investigations demonstrated that in the absence of the hexameric capsule at 50 °C in CDCl3 saturated with water, no reaction occurred after 16 h. Repeating the run in the presence of the resorcinarenyl capsule (50 mol %) led to high conversions of N-methylpyrrole 22; the conversions depend drastically on the benzylic halides and increased in the order I (no conversion) << Br (72%) ≈ F (75%) < Cl (81%). The main formed product, the β-product 27, adopts an unusual regiospecificity for this reaction with an α-/β-products ratio of up to 6/94 [95,96,97,98]. To explain this out-of-the-ordinary regioselectivity, quantum chemical investigations using the ONIOM method incorporated in the Gaussian 09 package were carried out on the model reaction N-methylpyrrole 22 and benzyl chloride 26 [59]. The calculations showed that the Friedel–Crafts alkylation takes place inside the hexameric capsule. Thanks to a hydrogen bond between a water molecule of the supramolecular structure and the chlorine atom of the substrate 26 (distance Cl•••H of 2.34 Å), the formation of the hetero-binary inclusion complex between the two substrates and the capsule has a slightly negative enthalpy. In addition, the calculations indicate that the α-product 27 is formed preferentially via a Wheland intermediate at ΔG = 26.4 kcal/mol. It has also been calculated that the retro Friedel–Crafts reaction requires a modest energy barrier of 6.1 kcal/mol, which makes the reaction of the product reversible. Therefore, the [1,2]-benzyl shift can occur via a transition state at ΔG = 21.9 kcal/mol. Then, the formed intermediate can rearrange itself via a [1,2]-H shift to generate the Wheland intermediate at ΔG = 13.2 kcal/mol. Finally, the β-product 27 is generated by rearomatization. The calculated enthalpy for the generated inclusion complex made of the β-product and the hexameric capsule (ΔG = −12.2 kcal/mol) is thermodynamically more stable than the inclusion complex made with the α-product 27 (ΔG = −9.3 kcal/mol) and explains the unusual observed regioselectivity of the Friedel–Crafts alkylation inside the supramolecular capsule (Scheme 4).
Scheme 4.
Gibbs free energy profile for the Friedel–Crafts alkylation of N-methylpyrrole with benzyl chloride inside the resorcinarenyl capsule.
It is interesting to note that in the case of the Friedel–Crafts alkylation of N-methylpyrrole 22 with benzoyl chloride 28, calculations demonstrated that the retro Friedel–Crafts reaction was very slow, due to a significant activation barrier of ΔG = 33.6 kcal/mol for the α-product 29; although the thermodynamic product is the β-product 29, the formation of both products was observed with an α-/β-products ratio of 40/60 (Scheme 3c) [99].
The stabilization of a chloride anion by the hexameric capsule was put to good use in the Diels–Alder reaction catalyzed by a trityl cation [100]. To this end, the group of Neri has carried out the reaction between 1,3-cyclohexadiene 30 and crotonaldehyde 31 in the presence of trityl halide 32 (26 mol%) and the resorcinarenyl capsule (26 mol%) in CDCl3 saturated with water. After 16 h at 50 °C, the conversions strongly depend on the nature of the halide. Conversions increased in the following order: I (no conversion) << Br (68%) < Cl (92%). In each case, the endo-product 33 was favored (endo-/exo-product ratio of 99/1) (Scheme 5).
Scheme 5.
Diels–Alder reaction catalyzed by trityl halide in the resorcinarenyl capsule.
Molecular dynamics simulations and quantum mechanical calculations revealed that in the case of trityl chloride 32, the encapsulation of the covalent form occurs through a hydrogen bond between one of the structural water molecules and the chlorine atom. This interaction makes the C-Cl bond weaker, thereby activating it and facilitating the formation of the ionic species. Once ionized, the chloride counterion displaces one of the water molecules bridging the capsule. A similar substitution of a water molecule was observed when the chloride ion was positioned outside the capsule before the simulation. In terms of trityl encapsulation, the three phenyl rings of the trityl group nestle into three distinct resorcin[4]arene cavities, establishing π•••π and CH•••π interactions. These in silico studies also explored the effects of different halides and counterions. When chloride was replaced by BF4−, the encapsulation of trityl remained similar to the chloride case. However, molecular dynamics simulations indicated that encapsulation occurred for bromide and iodide counterions, but the resulting ionic complex was unstable. After approximately 2 ns of simulation, the hydrogen bonding network broke down, leading to the disassembly of the capsule. This result is consistent with experimental observations of the absence or moderate conversions in the presence of iodide and bromide, respectively. To understand the regioselectivity of the reaction in favor of the endo-product 33, the authors investigated the transition states leading to the endo- or exo-products using QM/SE methods performed using the ONIOM method incorporated in the Gaussian 16 package [94]. The transition states were found to be non-concerted within the capsule. Furthermore, the geometries of the transition state leading to the endo- and exo-products differed significantly between the free trityl BF4− (without capsule) and the encapsulated trityl chloride. The energy difference between the transition states leading to the endo- (ΔG = 17.6 kcal/mol) and exo-products (ΔG = 20.2 kcal/mol) was notable, at 2.6 kcal/mol which correlates well with experimental findings, where the endo-/exo-products ratio exceeds 99/1 (Scheme 6).
Scheme 6.
Endo- and exo-routes catalyzed with the trityl carbocation inside the capsule. The resorcinarene was not represented for clarity.
In a recent article, the group of Neri explored the photoacidity of the hexameric capsule in the alkylation of anthracen-2-amine 35 with 1,3-cyclohexadiene 36 [101]. Under 365 nm irradiation and in the absence of the capsule, classical cycloadducts were observed. However, when the capsule was also present, a unique and new product was isolated in an 80% yield as a result of the alkylation of anthracen-2-amine 35 with 1,3-cyclohexadiene 36 (Scheme 7).
Scheme 7.
Alkylation of anthracen-2-amine 35 observed in presence of capsule and under irradiation.
The formation of 1-(cyclohex-1-en-1-yl)anthracen-2-amine 37 was explained through DFT at the PBE0-D3/def2-SVP [75,102] with the NWChem package [77] and time-dependent DFT was performed with the ADF package [103] using the simplified TDDFT approach developed by Grimme [104]. First, the study of photochemical processes was conducted. The computational studies determined that photoexcitation of the capsule occurred at 301 nm, which is in excellent agreement with experimental data. Intersystem crossing to the T1 state is favored in this process, with an energetic gain of 14.9 kcal/mol. Proton transfer from the T1 state is more reactive than transfer from the S0 state, with a 19.7 kcal/mol energy penalty. DFT also verified the reduction of the pKa of the structural water molecules, leading to a lower value of approximately 4–5 pKa units. This value is consistent with the 8 log units reduction of the experimental pKa, estimated between −3.3 and −2.8. Subsequently, protonation of the amine by the capsule occurs, followed by deprotonation, which involves a reorganization of the hydrogen-bonding network. The induced charge is localized between two resorcinarenyl units, and the highest occupied molecular orbital of the capsule is located in this region. Two of the structural water molecules, which originally point inward within the capsule, reorient and form hydrogen bonds to stabilize the capsule. The activated reactant then proceeds to react, as shown in Scheme 8.
Scheme 8.
Proposed mechanism for the alkylation of anthracen-2-amine observed in the presence of a capsule under irradiation.
In this last example, Neri and co-workers investigated the Michael reaction between N-methylpyrrole 22 and methyl vinyl ketone 38. The authors used an “amplified halogen bonding catalyst”, namely the 4-iodo-N,N,N-trimethylbenzenaminium iodide 39 (Scheme 9) [45]. This organocatalyst is unique because it has a trimethylammonium group that can establish π•••cation interactions with the inner wall of the cavity. It also has an iodophenyl moiety that donates to noncovalent interactions. In the optimal catalytic conditions, the product of Michael reaction 40 was isolated in 98% yield. This was performed in CDCl3 saturated with water at 50 °C for 16 h. Once again, without the presence of the supramolecular capsule, no conversion of N-methylpyrrole 22 was observed.
Scheme 9.
Michael reaction between N-methylpyrrole 22 and methyl vinyl ketone 38.
In silico studies were conducted to understand the role of the halogen-bonding interaction in the activation of methyl vinyl ketone 38. Quantum chemical investigations were performed using the ONIOM method (M06-2X:PM6) [60,105]. The calculations show that the sequence of reactant encapsulation occurs in the following order: the organocatalyst 40, for which the counteranion iodide is located inside the capsule through hydrogen-bond interactions with a bridging water molecule; the methyl vinyl ketone 38; and the N-methylpyrrole 22. In the case of a hexameric capsule, no transition state involving halogen bonding that could lead to the product was found. However, they discovered that in the presence of a pentameric capsule 15, a transition state involving halogen bonding between the reactants, capable of leading to the desired reaction, was indeed present (Figure 7).
Figure 7.
Transition states involving the hexameric capsule (left) and the pentameric assembly (right).
The theoretical study of the organic reaction was conducted in an open pentameric capsule 15, a significant departure from previous methods. In this open environment, two hydrogen bonds were observed between the carbonyl oxygen of methyl vinyl ketone 38 and a structural water molecule, as well as one encapsulated within the pentameric assembly. This synergistic interaction of halogen and hydrogen bonding activates the carbonyl group, facilitating the reaction. The pentameric capsule also stabilizes the counterion through hydrogen bonds with structural water molecules. Another transition state involving the hexameric capsule was identified, but it was found to be 6.28 kcal/mol higher in energy than the previous pentameric-based transition state. Experimental validation of the formation of the pentameric capsule during the reaction was achieved through DOSY NMR and Fourier transform ion cyclotron resonance (FT-ICR) mass spectrometry. At the end of the reaction, the thermodynamically more stable hexameric species is reformed (Scheme 10). Further studies on alternative counterions were also conducted, with experimental observations in agreement with their theoretical results. Additionally, a second-order perturbation theory analysis (SPOT) [106] indicates that the reaction is polar in nature. Reactivity is thus correlated with the local electrophilicity of the terminal carbon of the vinyl group in methyl vinyl ketone. Higher values of local electrophilicity were observed in the transition states associated with the formation of the pentameric capsule, demonstrating the enhanced catalytic activity of this particular capsule form.
Scheme 10.
Postulated mechanism involving the pentameric assembly 15.
2.2. Pyrogallol[4]arene
In 1999, Mattay and co-workers showed that 2,8,14,20-tetra-iso-butyl-5,11,17,23-tetrahydroxyresorcin[4]arene 2 leads to the formation of a hexameric assembly in both the solid state using X-ray diffraction and in solution (Figure 8) [107]. Subsequent studies showed that hexameric assembly of pyrogallol[4]arene remains stable in solution [23,108,109]. The self-assembly of this capsule does not require the presence of water, as it is stabilized by an intricate network of 72 hydrogen bonds formed between the phenolic units of the macrocycles [110]. This arrangement creates a cavity of approximately 1400 Å3, enabling the study and characterization of several encapsulation examples. However, its catalytic efficiency is diminished compared to its resorcinarene counterpart, as will be detailed later. This section is divided into three subsections. The first subsection is a study on the early-stage formation of the capsule. The second subsection is devoted to the examination of various encapsulation studies. The third subsection is the sole documented example of catalysis occurring within this self-assembled system.
Figure 8.
Pyrogallol[4]arene assembly formed from 6 units of pyrogallol[4]arene in organic solvent.
2.2.1. Capsule Assembly
Capelli and Piccini conducted a detailed in silico study on the formation of pyrogallolarene assemblies [47]. The authors performed metadynamic simulations using the same methodology as for the resorcinarene-based hexameric capsule previously described vide supra. The only difference was that the calculations with pyrogallol[4]arene were performed in anhydrous chloroform. While the formation of the hexamer is thermodynamically favorable, the free energy surfaces associated with the formation of the pyrogallolarene assembly differ significantly from those of the resorcinarene counterpart. Firstly, the formation of a pyrogallolarene dimer 22 is not thermodynamically favorable, unlike the resorcinarene dimer 12. Several factors contribute to this difference. The additional hydroxyl group in pyrogallolarene partially hinders the formation of intermolecular hydrogen bonds in the dimer species. Pyrogallolarene is known to form eight intramolecular hydrogen bonds, which limits its capacity for intermolecular interactions. The team calculated the probabilistic distribution of intermolecular hydrogen bonds within the pyrogallolarene dimers and observed a sharp distribution corresponding to a single intermolecular hydrogen bond. In contrast, resorcinarenes, with an average of four intramolecular hydrogen bonds, exhibit a broader distribution of intermolecular hydrogen bonds, ranging from one to five. Additionally, the formation of pyrogallolarene dimers introduces unfavorable dipole–dipole interactions, as demonstrated in their study. The first metastable structure observed on their free energy surfaces is a trimer 23 described as a “cup-shaped half of a hexamer”. Subsequently, the formation of a pentameric 25 species is observed, though it is relatively less stable than the trimer, followed by the assembly of the hexamer 26. In this system, the equilibrium predominantly lies between the monomer 2 and the hexamer 26.
The authors also studied the encapsulation dynamics of solvent molecules within the pyrogallolarene hexamer. Their findings suggest an average dynamic encapsulation of 9–10 molecules, which is significantly higher than the 7–8 molecules predicted by NMR studies [111,112]. This example also shows that the number of solvent molecules encapsulated by NMR appears to be minimized. This discrepancy, compared to the resorcinarene assembly, is here attributed to the lesser steric constraints imposed by the absence of water molecules, a conclusion supported by their analysis.
2.2.2. Formation of Inclusion Complexes
Purse and co-workers extensively investigated the encapsulation of a wide variety of guest molecules, including arenes, alkanes, amines, and carboxylic acids. The authors employed the melting approach, a solvent-free method [113,114] and they used molecular modeling with HyperChem 8.0.6 and Spartan 04 and by minimizing the guests on the interior at the AM1 level of theory. This allowed them to determine the host–guest stoichiometry and calculate the packing coefficient for each system [115,116]. Their capsule models were based on an X-ray structure, which served as a framework for the simulations. These simulations provided insight into the arrangement of guest molecules within the capsule. The details regarding the studied molecules 41–50, their stoichiometry, and packing coefficients are illustrated in Figure 9. Computational studies indicate that the encapsulation of these guest molecules adheres to the optimal packing coefficient defined by Rebek, which lies within the range of 0.55 ± 0.09 [86]. Naphthalene 41 (0.67) had the higher value, which can be rationalized by its small size and its efficient packing within the capsule cavity. Multiple π•••π interactions provide further stabilization. In contrast, the lowest packing coefficient was found for norbornene 49 (0.35). This guest lacks stabilizing π•••π interactions and exhibits a molecular geometry that is poorly suited for structural adaptation within the capsule (lock-and-key principle) [117], as seen in the simulation, thereby precluding a more favorable packing efficiency.
Figure 9.
Molecules studied in silico with the maximal number encapsulated inside the pyrogallolarene hexamer, the calculated volume (Å3) and the corresponding packing coefficient.
Atwood and co-workers explored two examples of polycyclic aromatic hydrocarbon encapsulations, 51 and 52, as shown in Figure 10 [118]. While X-ray structures of the corresponding supramolecular assemblies were obtained, they did not provide direct visualization of the guest molecules within the confined space. Several factors contributed to this limitation. First, significant disorder within the cavity obscured the positioning of the encapsulated species. Second, the guest molecules could adopt various orientations relative to the macrocyclic subunits. Finally, the occupancy rate of the capsules was low. For instance, benzo[α]pyrene 51 was encapsulated in only 1 out of 14 capsules, while pentacene 52 showed an even lower rate of 1 in 40. To overcome these challenges, the authors employed molecular modeling with B3LYP/cc-pVDZ calculation [119] to study the latter inclusion complexes. The models revealed that pentacene 52 could only fit within the cavity when positioned between two macrocyclic subunits. In contrast, benzo[α]pyrene 51 exhibited a greater range of possible orientations within the capsule. However, the large size of the molecule prevented it from adopting the optimal arrangement for maximizing interactions, such as aligning along the capsule walls, as seen in previous studies for a similar molecule [120]. Instead, the study observed that benzo[α]pyrene 51 was tilted and projected partially outside the half-nanocapsule, forming possible CH•••π and CH•••O interactions.
Figure 10.
Studied molecules in silico by the group of Atwood inside the pyrogallolarene assembly.
The analogous resorcinarene 1 is well known for its ability to encapsulate ammonium ions, but the pyrogallolarene 2 has apparently struggled to achieve the same. It was only observed after 17 years in benzene [121]. This discrepancy was initially puzzling, given the electron-rich cavity provided by the pyrogallolarene capsule. Tiefenbacher and co-workers set out to address this question, and their findings on the resorcinarene system are discussed in the previous section. Their DFT studies demonstrated that the pyrogallolarene capsule can also stabilize ammonium ions [79]. Their results indicate that the pyrogallolarene capsule can stabilize ammonium ions as effectively, if not more so, than its resorcinarene counterpart. Specifically, calculations on NEt4+ 53 showed greater stabilization with the pyrogallolarene capsule, with energy differences ranging from approximately 4 to 12 kcal/mol. In contrast, the stabilization of anions differed significantly between the two systems, which provided a key explanation for the observed behavior. The pyrogallolarene capsule is simply incapable of effectively stabilizing anions. The group of Tiefenbacher calculated the electrostatic potential map of the inner surface of the pyrogallolarenyl capsule to illustrate this point. The results revealed a critical difference: unlike the resorcinarene 1, the pyrogallolarene 2 lacks regions of high positive potential on its inner surface, preventing efficient anion stabilization. Further DFT studies on the encapsulation of NEt4Br showed that, even if the pyrogallolarene capsule stabilizes the cation 53 more effectively, the overall stabilization of the species is weaker (3–9 kcal/mol) due to the non-stabilizing effect of the anion. As demonstrated by NMR spectroscopy in the case of the [EtNPr3][MeSO3] salt 54, the counteranion remained external to the cavity, incurring a charge separation cost (in CDCl3). These findings highlight the delicate balance between cation and anion stabilization within these systems and underscore the electrostatic characteristics of the pyrogallolarenyl capsule.
2.2.3. Study of Mechanisms Inside the Pyrogallolarenyl Capsule
The pyrogallolarenyl capsule 26 has far fewer applications in catalysis than its resorcinarene 16 counterpart. This limitation stems from its apparent lack of catalytic properties. As described in the previous section by Tiefenbacher and co-workers, the pyrogallolarenyl capsule poorly stabilizes counteranions, resulting in weaker stabilization of confined species and their intermediates [79]. Additionally, the pyrogallolarenyl capsule has a lower acidity, measured at a pKa of 9.5–10, which is four pKa units higher than the resorcinarenyl capsule. This lower acidity further limits its catalytic potential. DFT calculations confirm this acidity, showing that the proton affinity of the resorcinarene species is approximately 5 kcal/mol lower than that of pyrogallolarene. Many catalytic applications of the resorcinarene capsule rely on its acidity and bridging water molecules. In the pyrogallolarene assembly, this effect is less pronounced due to its lower acidity and the absence of water molecules.
However, a recent publication by the group of Neri reported the unique use of the pyrogallolarene capsule in catalysis [122]. In their study, they investigated the 1,3-dipolar cycloaddition between nitrone 17a and crotonaldehyde 18a in the presence of L-proline 19 (Scheme 11). Preliminary observations revealed that chloroform molecules compete with the encapsulation process within the pyrogallolarenyl capsule. This suggests that encapsulation of the guest and catalysis within the supramolecular capsule is unfavorable. However, using benzene, a less competitive solvent, improved encapsulation of the iminium 55 and nitrone 17a, enabling catalytic activity. When the reaction was carried out in CHCl3, a competitive solvent to the encapsulation of the substrates, the isoxazolidine 20a products were isolated with a yield of 62%, and the exo-product was favored (60% of the formed products) among the eight possible products vide supra. In contrast, when the reaction was carried out in the confined space of the resorcinarenyl capsule with a non-competitive solvent such as benzene, the endo-product of the 4-formyl-isoxazolidine 20a predominated (58% of the formed products). The authors demonstrated by NMR spectroscopy that when the reaction is carried out outside the capsule, the formation of the exo-product 20a is favored (use of CHCl3 as solvent). Conversely, when the reaction is carried out in the inner space of the capsule, the reaction leads mainly to the endo-product 20a (use of benzene as solvent).
Scheme 11.
Model reaction of the 1,3-dipolar cycloaddition and the iminium intermediate studied in silico.
To support these observations, quantum-mechanical investigations were performed in the pyrogallolarenyl assembly. When the simulations were realized with benzene as solvent, two assemblies between the capsule and iminium ion 55 were stable, inside and outside the pyrogallolarenyl capsule. In both cases, the iminium ion was immobilized by two hydrogen bonds formed between the carboxylate group of the iminium ion 55 and a pyrogallolarene subunit. Furthermore, calculations show that the inclusion complex with the iminium ion 55 inside the capsule is more stable by 10.7 kcal/mol. However, this stabilization was only observed when the capsule was occupied by non-competitive species, which is not the case when using chloroform or competitive guests. The complexation of nitrone 17a and iminium 55 is exergonic, and the process is significantly more exergonic inside the capsule than outside. The authors then investigated the mechanism pathway. Eight reactive pathways were identified. In both the meta and ortho cases, stable initial complexes were observed at the start of the reaction. The meta pathway was unequivocally the most favorable reaction channel within the capsule. Furthermore, the two transition states were almost concerted, resembling a Michael-type addition. These results provide a comprehensive understanding of the mechanism of the reaction, highlighting the role of encapsulation in selectively stabilizing reactive intermediates and favoring specific reaction pathways. The modeling in chloroform revealed that the reactive iminium 55 intermediate resides outside the capsule. This stable intermediate forms a hydrogen bond between its carboxylate group and one of the hydroxyl groups of the capsule, similar to observations in the benzene simulations. After calculating the activation energies for reactions occurring both inside and outside the capsule, the authors estimated the relative contributions of each pathway. These calculations are in close alignment with the experimental results for the reaction in chloroform. This suggests that when a guest, such as chloroform, partially competes with the reactants, the reaction proceeds simultaneously inside and outside the capsule, albeit with varying proportions of encapsulated and free reactive intermediates. Interestingly, compared to the same reaction carried out using the resorcinarenyl capsule, the pyrogallolarenyl capsule exerts a significantly greater influence on stabilizing the reactive intermediates. These findings underscore the pivotal role of solvent choice in modulating the reactivity and selectivity of catalytic systems involving the pyrogallolarenyl capsule.
2.3. Velcrand
When adjacent phenols of the aromatic ring of the resorcin[4]arene are bridged by aromatic moieties, the formed cavitands exist in two forms: the receptive vase shape and the unreceptive kite (or velcrand) [123]. These compounds exist in dimeric form and were called «velcraplexes» by Cram [124]. Several velcrands have been studied to date, with two representative types illustrated in Figure 11. Velcrand 3 was the first to be synthesized by Rebek and co-workers in 1998 [125]. Eight bifurcated hydrogen bonds hold this capsule up. The cavity of this structure, as calculated through energy-minimized simulations (MacroModel 5.5, Amber* force field) [126], measures 425 Å3, enabling the investigation of guest encapsulation.
Figure 11.
Imide-velcrand 3 and urea-velcrand 4 described in the studies. Feet are not represented and depend on the desired solubility. In the simulation, they are simplified as methyl feet to avoid computational time, as they do not affect the cavity and encapsulation properties.
The present review focuses on imide-velcrand 3 and urea-velcrand 4, which exhibited comparable cavity volume [127]. The dimensionality of these assemblies can be further extended by incorporating spacers, as shown in Figure 12 [128,129]. For instance, the inclusion of four spacers 56 results in the formation of two isomers of the capsule 3•3 with a stoichiometry of 3•564•3, as depicted in Figure 12.
Figure 12.
Spacers studied in this review (left) and view of the extended capsule 3•564•3 (right).
These novel assemblies possess larger cavities, approximately 620 Å3, as determined through in silico calculations. In the first extended isomer form (denoted as 3•564•3), the glycoluril units form hydrogen bonds with both macrocycles and their neighboring glycoluril units. In the alternative form (denoted as 3•562•56′2•3; the prime “ ‘ “ denotes the different orientation of the spacer), two glycoluril units establish hydrogen bonds with both macrocycles and their neighbors, whereas the other two glycoluril units bond only with one cavitand and its respective neighbors. This second isomer is calculated to be more stable by 2 kcal/mol, according to M06-2X/6-31G(d,p) level of theory [73,105,130]. Studies have also focused on the host–guest properties of these assemblies, with some particularly using theoretical approaches, which are discussed in this section.
2.3.1. Encapsulation of Guests
Rebek and co-workers studied the encapsulation of a series of alkanes in the gas phase within the imide-velcrand (3•3) and its glycoluril extended capsule (3•564•3) [131]. The alkanes studied included ethane 58, cyclopropane 59, n-butane 60, and n-hexane 61. The authors calculated the van der Waals volumes of these molecules in silico using GRASP [132] and determined the packing coefficients based on the number of guests within the two different capsules at 295 K and room temperature (Table 1). The results are consistent with those of Kitaigorodsky, with packing coefficients below 51% for gaseous-phase guests [133], and stable inclusion complexes were observed when approximately 40% of the inner space of the capsule was occupied.
Table 1.
Packing coefficients for each theoretical number of encapsulated guests with the effective number of encapsulations in bold.
A similar work was carried out with straight-chain alkanes C10 to C15 within velcrand (3•3) [134]. The modeling procedures were conducted in a manner consistent with the previous example. This enabled the calculation of molecular volumes based on their conformations (either extended or folded) and their corresponding packing coefficients. Simulations further determined the internal length of the capsule to be approximately 16 Å. In an interesting way, n-tetradecane 62 (C14H30), which measures 20 Å in its linear form, was successfully encapsulated. This indicates that the molecule adopts a helical conformation, a shape that maximizes CH•••π interactions with the inner aromatic rings of the capsule. This hypothesis was confirmed through NMR spectroscopy and computational simulations. This is in contrast to alkanes in solution, where the linear conformation is predominant. Once inside the capsule, at least five gauche interactions, each of 0.5 kcal/mol, exist at both ends of the n-tetradecane 62 chain. On the NMR time scale, a rapid racemization of the enantiomeric helical forms occurred with a barrier of about 2.7 kcal/mol for each gauche bond [134,135].
A difference in encapsulation behavior emerged between n-pentadecane 63 and 1-pentadecyne 64. In the case of the acetylenic derivative, a particular positioning of the terminal alkynes was observed near the inferior rim of the macrocycle. This arrangement, for steric reasons, could not be achieved with methyl substituents. NMR investigations and DFT-based calculations of natural chemical shift index values for the magnetically shielded regions of the capsule at the B3LYP/6–31G* level of density functional theory [72] were in good agreement. This confirmed the spatial interactions of the terminal acetylenic moiety within the velcrand (Figure 13). NMR studies and modeling revealed that bulkier guests caused the alkyne group to approach closer to the inferior rim. Additionally, semi-empirical energy minimization at the AM1 level of theory [116] structure revealed the positioning of the guest. The acetylenic function approached the inferior rim, and the n-butyl chain adopted a gauche conformation, minimizing the steric constraints imposed by encapsulation [136].
Figure 13.
View of the acetylenic function (hydrogen in green) in proximity to the inferior ring of the resorcinarene moiety.
In the case of water-soluble urea-velcrand (4•4), in which water-soluble feet are grafted to the macrocycle instead of undecyl chains, investigations have shown that the capsule can adapt to guest molecules [137]. For instance, with n-heptadecane (C17H36) 64 encapsulation, computational studies at the ab initio level (HF/6-31G*) basis set with Gaussian 09 software [59] showed the incorporation of four water molecules into the hydrogen-bonding network within the capsule. This inclusion extended the internal volume of the capsule, which, under water-free conditions, is comparable to that of velcrand (3•3) and would not initially seem capable of accommodating a molecule of this size. The water molecules also facilitated better accommodation of the guest within the cavity, aligning the aromatic walls to conform to the folded alkane. However, they also noted that while adding more water molecules could provide additional space for guest motion, it would simultaneously weaken the favorable CH•••π interactions between the host and the guest.
As mentioned earlier, the self-assembly capsule based on imide-velcrand (3•3) can incorporate spacers between the two macrocycles, effectively increasing its volume. A study of the group of Rebek investigated imide-velcrand (3•3) in the presence of 57 as spacers [138]. The authors observed that, according to the guest, new supramolecular assemblies containing a greater or lesser number of spacers 57 could be formed. These assemblies were characterized using NMR spectroscopy, confirmed by DFT-level NMR spectral simulations (B3LYP/6-31G*), and analyzed via molecular modeling using Spartan [73]. The simulations validated the observed symmetries, chirality of the capsules, and the NMR chemical shifts.
Two types of assemblies were observed in the presence of n-tetradecane (C14H30) 62, 3•574•3 and 3•572•57′2•3 (the prime “ ’ “ denotes the different orientation of the propanediurea carbonyls of the spacer 57). The former is a linear “belt” shape with a D4-symmetric structure, and the latter is a twisted “belt” shape with a C2h-symmetric structure (Figure 14). These two assemblies are in equilibrium, with the balance shifting toward the formation of 3•574•3 when n-tetradecane (C14H30) 62 is encapsulated and toward the formation of 3•572•57′2•3 when n-heptadecane (C17H36) 64 is hosted. The transition from 3•574•3 to 3•572•57′2•3 is attributed to an accessible cavity length that is approximately 1 Å longer in the case of the less symmetrical assembly (3•572•57′2•3). This length fits better with bulkier guests. The study of encapsulation of alkanes with an increasingly long carbon chain, from n-octadecane (C18H38) 65 to n-tricosane (C23H48) 66, has revealed the formation of new supramolecular structures with “S” and “banana” shapes corresponding to the 3•57′2•574•3 and 3•574•57′4•3 structures, respectively (Figure 14). For these different capsules, the packing coefficients of the guests, from n-C14H30 62 to n-C23H48 66, were calculated. The results indicate that the formation of these capsules is consistent with packing coefficients close to the ideal value of 55% [86] (Table 2). The formation of inclusion complexes was confirmed by evaluating the positioning of the guest in the cavity through simulations. The assemblies were energy-minimized with the guest inside at the molecular mechanics level of theory (Spartan 03), and the cavity volumes were subsequently determined using Swiss-PdbViewer 4.0.1.
Figure 14.
Formation of the extended capsule from 3•3 and 57.
Table 2.
Packing coefficients of guest for the different capsules with bold values for experimentally observed assemblies.
2.3.2. Co-Encapsulation of Guests
An illustrative example from Wang and co-workers focused on the co-encapsulation of dichloromethane and various organic molecules within imide-velcrand (3•3) [139]. This study examined the co-encapsulation of cyclohexane 67, methylcyclohexane 68, 1,3-dioxane 69, and hydroxycyclohexane 70 using DFT. The structures were optimized utilizing Perdew–Wang’s exchange and correlation functionals (PW91) in conjunction with the 3-21G basis set [140]. All computations were performed using the Gaussian 03 software package [59]. The results are clear: when dichloromethane is co-encapsulated with an organic molecule, the host–guest complexes formed are more stable than systems in which only the organic molecule is encapsulated. This increased stability is due to the internal volume of the capsule being more efficient, allowing the guest molecules to occupy regions that stabilize them. Notably, the study revealed the presence of hydrogen bonding between the oxygen atom of 1,3-dioxane 69 and an imide group of the capsule (3•3) in the case of 1,3-dioxane associated with dichloromethane. These findings underscore the efficacy of co-encapsulation in optimizing spatial and interaction dynamics within the velcrand system, paving the way for more efficient host–guest assemblies.
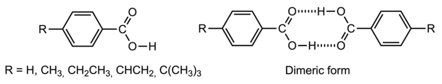
The group of Theodorakopoulos has investigated in silico several examples of inclusion complexes in which two carboxylic acids, in dimeric form, are hosted in the 3•3, 3•564•3 or 4•4 capsules [141]. Their results are directly comparable with experimental observations, as the dimers are sufficiently stable to be directly observed by NMR spectroscopy [142]. Initially, the study focused on benzoic acid 71, p-methyl-benzoic acid 72, p-ethyl-benzoic acid 73, p-vinyl-benzoic acid 74 and p-tert-butyl-benzoic acid 75, which are known to form dimers. The encapsulation complexes were optimized by DFT calculations employing the M06-2X [130] functional in conjunction with the 6-31G(d,p) basis set [73]. For all structures determined, basis set superposition error corrections to the dimerization energy have been taken into account using the counterpoise procedure [143]. All calculations were performed using the Gaussian 09 program package [59]. This method allowed for a comprehensive examination of various homodimers of carboxylic acids, both in their free state (in solution) and encapsulated form (see Figure 15 for a visual representation of the guests). The primary goal was to elucidate the effects of encapsulation-induced compression on these dimers.
Figure 15.
Studied guests inside 3•3, 3•564•3 and 4•4 capsules.
In silico investigations revealed that the dimerization energy decreases slightly upon encapsulation compared to the free-solution case (in the range of −14 to −17 kcal/mol), except for the benzoic acid substituted with an alkyl chain (CH3 and CH2CH3) (72 and 73) in the 3•3 capsule. In these cases, the significant compression within the cavity disrupts the dimer of acids. The decrease in dimerization energy, the smallest elongation of the OH•••O hydrogen bond, is attributed to stabilizing interactions between the encapsulated species and the capsule, mainly through hydrogen bonds between the two carboxyl groups of the acids and the terminal hydrogen and oxygen atoms of the two imide-velcrands 3•3. These interactions make encapsulation energetically favorable in all cases, even in the absence of a dimer with alkyl substituents. In these latter cases, due to confinement effects, the guests exhibit a stacking arrangement, with one positioned above the other. In this position, the OH•••O hydrogen bond distances of the encapsulated “dimer” increased from 1.66 Å in the free dimer to 2.56–3.72 Å in the capsule. As experimentally observed [144], the compression of the hosted dimer by the walls of the capsule 3•564•3 reduced the dimerization energies, accompanied by shorter hydrogen-bond lengths, with the exception of p-tert-butyl-benzoic acid 75. Despite the energy required to induce this compression, the encapsulation of the dimeric guest was energetically favorable. Additionally, while the free dimers are coplanar in solution, the encapsulated dimers exhibit deviations from coplanarity. This effect diminishes in the larger capsule, 3•564•3, where spatial constraints are reduced. Finally, the study found good theoretical and experimental correlations between the bond lengths in the O-H•••O network, highlighting the agreement between computational predictions and experimental measurements.
Theodorakopoulos, Rebek and co-workers further explored the distribution of encapsulated homodimers and heterodimers of carboxylic acids and amides within velcrands 3•3 and 3•564•3 [145,146]. For the inclusion complexes made with benzamide 76, either as a homodimer (benzamide–benzamide) or heterodimer (benzamide–benzoic acid) and the smaller capsule 3•3, the formation of zero and a hydrogen bond, respectively, between the dimers and the capsule was observed. This is in contrast to the larger capsule, 3•564•3, in which two supramolecular interactions were present. The authors integrated energetic data with statistical factors to calculate the percent distribution of the different dimers, homo and hetero, encapsulated in both capsules. For instance, in the smaller capsule 3•3, the calculated distribution of the inclusion complexes hosted benzamide–benzamide, benzamide–benzoic acid and benzoic acid–benzoic acid dimers, which were found to be 18, 35 and 47%, respectively. These values are in agreement with experimental distributions of 19, 22 and 59%, respectively [147].
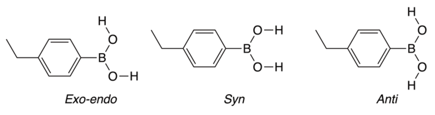
The authors also investigated the distribution of homodimers and heterodimers in a mixed system of p-ethyl-benzoic acid (77), p-ethyl-benzamide (78), and (p-ethyl-phenyl)boronic acid (79). They studied both free molecules in solution and those encapsulated [142]. Theoretical work was carried out using DFT calculations under various conditions: gas phase, solvated in CCl4, in DMF, and within capsules 3•3, 3•562•56′2•3 and 3•564•3, in which, for the last two capsules, the four glycoluril molecules were stitched by 24 and 32 hydrogen bonds. In the theoretical study, only the latter structure involving 32 hydrogen bonds was employed. Optimization of the encapsulated structures was problematic for the capsules, which had 24 hydrogen bonds. With these guests, two configurations, cis and trans, exist in the dimeric forms. The capsule has slightly lower interaction energy, up to 0.5 kcal/mol, for the trans-configurations of the dimers. For the (p-ethyl-phenyl)boronic acid 79, three possible configurations were considered: exo-endo, syn and anti (Figure 16). The computational results indicate that the exo-endo configuration was the most stable, regardless of whether the dimers are homodimeric or heterodimeric.
Figure 16.
Three possible conformations of the boronic acid 79.
Gas-phase calculations indicate the stability order for non-encapsulated dimers: 79•79 > 78•79 > 78•78 > 77•79 > 77•78 > 77•77 in the range 10.6 to 17.1 kcal/mol (calculated with M06-2X/6-31G(d,p) at various levels of theory). In CCl4, the only difference was that 78•78 and 77•79 became degenerate. When the calculation was carried out in DMF, the 78•78 dimer became the least stable. For encapsulated dimers, the authors used a combination of computational methods, including DFT at the M06-2X/6-31G(d,p) level and ONIOM approaches [M06-2X/6-31G(d,p); PM6] and [MP2/6-31G(d,p); PM6] using the Gaussian 09 program package [73,105,130,148,149,150,151]. Both methods produced nearly identical dimerization energies, though some convergence issues arose for specific encapsulated configurations. The dimerization energy order remained similar to the gas-phase calculations: 79•79 > 78•79 > 78•78 > 77•79 > 77•78 > 77•77. The interaction energy between the dimers and the capsule contributed significantly to the overall stabilization of encapsulated dimers. When the total encapsulation energies were summed, the energetic hierarchy of encapsulated dimers shifted, resulting in a new order, denoted as 77•77 > 77•79 > 78•79 > 78•77 = 79•79 > 78•78 (Table 3).
Table 3.
Energies of interaction for the dimers.
The authors used theoretical data to determine the relative distributions of dimers in mixed systems (78 + 79, 77 + 79, 77 + 78 and 77 + 78 + 79) under both free and encapsulated conditions. The predicted distributions closely matched the experimental observations, as shown by incorporating statistical factors. For example, when the three guests were mixed, the calculated (ONIOM-MP2/6-31G(d,p)) distribution of the encapsulated dimer was 77•77, 78•79, 77•79, 79•79, 78•77 and 78•78, which were 29, 20, 17, 11, 15 and 9, respectively, compared to 34, 23, 18, 15, 6 and 4, respectively, for the experimental values [152]. The enhanced prevalence of boronic acid dimer 77•77 is attributable to its adaptable structure.
It is interesting to note that for their calculations, the authors compared computational methods, which provided comparable results. Nevertheless, ONIOM calculations were approximately 30 times faster, making them advantageous for larger systems. For the systems studied here, employing PM6 at the ONIOM lower level proved sufficient when paired with higher-level calculations such as M06-2X/6-311+G(d,p) or MP2/6-311+G(d,p).
2.4. Octa Acid
A notable example of a supramolecular assembly based on resorcinarene is the cavitand illustrated in Figure 17. This macrocyclic molecule has four carboxylic moieties attached to the larger and smaller rims of the macrocyclic platform. It is commonly referred to as “octa acid”. This macrocyclic system spontaneously forms dimers, also known as capsuleplexes, in the presence of hydrophobic guests, forming a supramolecular interaction network [153]. The primary driving force for encapsulation is the hydrophobic effect, and additional stabilization is provided by π•••π interactions, CH•••π interactions, and van der Waals forces [154,155,156]. A key advantage of this capsule is its solubility in aqueous solutions under basic conditions (pH ~9, achieved using a borate buffer). This solubility arises from its eight carboxylic acid groups of each cavitand, allowing it to form inclusion complexes with host/guest ratios of 2:1 or 2:2 [157]. Despite the aqueous medium, the interior of the capsule remains hydrophobic [153]. The assembly of macrocycles with host molecules is stable on the millisecond scale, although the host molecules undergo a fast rotation along the molecular x-axis [158,159].
Figure 17.
Octa acid capsule forms in the presence of a guest.
The confined environment provided by the octa acid capsule introduces several key effects for the study of excited states: solvent isolation, reagent proximity (minimizing diffusion-related limitations), spatial restriction (affecting processes requiring clearance) and alteration of the effects of the solvent. In a bulk solution, the dynamics of excited states are controlled not only by the electronic properties inherent to the molecule but also by the solvent properties (micropolarity and microviscosity). Inside the octa acid capsule, polarization effects will probably not play a major role because its interior mimics a benzene-like environment, providing a coherent framework for all encapsulated compounds [153]. The apparent absence of environmental reorganization contrasts with the behavior observed in the free solution. These attributes make the octa acid capsule an interesting tool for studying, in particular, the dynamics of excited states.
The last part of the review is divided into two sections. The first focuses on in silico studies of molecular encapsulation and its consequences. The second explores theoretical analyses of photochemical phenomena observed experimentally.
2.4.1. Encapsulation of Guests
Ramamurthy and co-workers conducted a thorough study on the encapsulation of phenyl-substituted alkanes 80, alkenes 81, and alkynes 82 (Figure 18) within the octa acid capsule. They investigated the effects of length and the rigidity and presence of an unsaturation of the substituent [160]. The authors combined NMR experiments with molecular dynamics studies to investigate the conformational dynamics and encapsulation geometries of the host molecules.
Figure 18.
Guests studied in the octa acid capsule.
Theoretical studies involved modeling and optimizing the guest molecules using the Chembio3D program with the MM2 force field [161]. Docking was performed using AutoDock Vina [162], and the most stable conformers were further refined with energy minimization in GROMACS, employing the OPLS-AA force field [163,164,165,166]. These methods provided a detailed view of the conformations of the guests within the capsule and their interactions with the host. In silico investigations revealed that molecular size played a critical role in the formation of capsuleplexes. Guests exceeding 15 Å in length were too large for encapsulation without folding their alkyl chains. For smaller molecules, linear conformations were favored, with the methyl group oriented near the narrower rim of the cavitand and the phenyl ring positioned closer to the aromatic moieties of the host. The only exception was dodecylbenzene (PhC12H25; length of 17.8 Å), where the phenyl ring, instead of residing in the aromatic cavity, was found in the broader middle region of the capsule, as observed by NMR spectroscopy. This positioning allows for possible π•••π interactions with the benzene rings of the host, facilitated by the molecule’s flexibility. In contrast, similar unsaturated guests lacked the necessary mobility for similar conformations, underscoring the role of molecular plasticity. Molecular dynamics simulations are key to understanding the dynamic processes by which guests achieve their stable conformations. Guests with short and unsaturated chains maintained their linear shapes throughout the 40 ns simulations. Molecules whose length is equal to or slightly exceeds the threshold of 15 Å, such as the trans-octylstyrene (PhCH=CHC8H17; length of 15.0 Å), change from linear to folded configurations after 10 ns and are stabilized in the central and wider region of the capsule. Heptylphenylacetylene (PhC≡CC7H15; length of 14.0 Å) exhibited rapid folding and unfolding during the initial nanoseconds before adopting a stable folded state, maximizing interactions with the inner walls of the capsule. Longer molecules, such as octylphenylacetylene (PhC≡CC8H17; length of 15.3 Å) and nonylphenylacetylene (PhC≡CC9H19; length of 16.4 Å), remained folded throughout their simulations. More flexible molecules like nonylbenzene (PhC9H19; length of 14.1 Å) demonstrated dynamic conformational behavior, occupying multiple positions within the capsule. In contrast, dodecylbenzene (PhC12H25; length of 17.8 Å) remained in the middle region.
It is well established that the sine qua non condition for forming an “octa acid” capsule is the presence of a guest. To better understand the formation of capsuleplexes, Choudhury and co-workers investigated the role of nonylbenzene (PhC9H20) in the self-assembly of the two cavitands 5 [167]. Previous theoretical studies revealed discrepancies between molecular docking predictions and experimental NMR observations [16]. Söderhjelm, Ryde and co-workers have noted that these deviations result from limitations in the docking approach, which neglects critical factors such as capsule and guest flexibility, conformational changes during complexation, and the involvement of solvent molecules and internal charges [168]. To simulate the capsuleplex formation, molecular dynamics studies were performed by positioning the macrocycles 10 Å apart, within the non-bonding interaction cut-off distance. Nonylbenzene was placed between the two cavitands, and the system was allowed to evolve and interact with its environment. The simulations spanned 500 ns and were conducted using the OPLS-AA force field implemented in the GROMACS 5.1.1 software at 300 K [163,164,165,166]. The initial event occurred within the first 10 ps, as the phenyl group of the guest approached the aromatic walls of one macrocycle. The alkyl chain adopted a folded loop conformation after 50 ps, facilitating the entry of the guest into the first cavity. Afterwards, the second macrocycle approached and interacted with the alkyl chain of the nonylbenzene, inducing a conformational change to an extended state. This process led to the formation of a partially open capsule after 50 ns, which rapidly evolved into a fully closed capsule by 55 ns. The resulting assembly remained stable throughout the simulation period, with only minor fluctuations. During encapsulation, the guest underwent significant folding and explored a range of conformations throughout the simulation. The final simulated capsuleplex aligned well with prior NMR observations. A control simulation conducted without the guest failed to produce a capsule, consistent with experimental findings [157].
2.4.2. Studies of Excited States
Ramamurthy and co-workers have investigated the encapsulation behavior of coumarin derivatives 83–88 within the octa acid capsule (Figure 19) [169]. The study determined that the guest molecules remain isolated from the external aqueous solvent, a crucial factor for photochemical applications. Experimental and computational approaches were employed, with the Gaussian 09 program used to optimize the geometries of the organic capsule and the guest molecules at the B3LYP/6-31g(d) level [59,170]. Molecular docking was conducted using AutoDock Vina 1.5.6 to evaluate the binding affinities, while molecular dynamics simulations, performed with GROMACS 4.5.6 using the AMBER 03 force field, provided insights into the dynamic behavior of the capsuleplexes [162,171,172].
Figure 19.
Courmarin derivatives studied inside the octa acid capsule.
Molecular dynamics showed that the three fluorinated coumarin derivatives 83–85 were encapsulated in completely closed capsules. In contrast, derivatives 86–88 remained in contact with external water molecules. Specifically, derivatives 86 and 87 formed one and two hydrogen bonds with water, respectively, while the larger adamantyl-substituted derivative 88 interacted with at least six molecules of water. This trend is attributed to steric congestion, caused by the increasing steric hindrance of these guests, which induces partial capsule opening. Since coumarins exhibit solvent polarity-dependent emission maxima, quantum yields, and S1 lifetimes, the experimental results corroborate the computational findings regarding the presence or absence of a “dry” environment within the capsule. For derivatives 86–88, known phototriggers, UV excitation triggered α-cleavage, resulting in two radical intermediates. One remained encapsulated, while the other, the carboxylic acid derivative, was released into the solution, further demonstrating this opening.
The same group explored the formation of inclusion complexes with 1,4-diaryl-1,3-dienes and their reactivity toward the photoisomerization and photooxygenation of the guest [173]. The two dienes, namely 1,4-diphenyl-1,3-butadiene 89 and 1,4-ditolyl-1,3-butadiene 90, adopt two conformations, cisoid and transoid, in equilibrium at room temperature (Figure 20a).
Figure 20.
Studied 1,4-Diphenyl-1,3-butadiene (R = H) 89 and 1,4-ditolyl-1,3-butadiene (R = CH3) 90; (a) transoid/cisoid isomer equilibrium; (b) reaction of each isomer with singlet oxygen.
Experiments show that irradiating transoid dienes 89 and 90 and then reacting with singlet oxygen results exclusively in the formation of 6-membered ring endoperoxides 91 and 92 [174], rather than oxetanes 93 and 94 [175] (Figure 20b). The conversions for dienes 89 and 90 reach up to 79 and 57%, respectively, when the reaction is carried out in the presence of the cavitand 5. Notably, a lower amount of endoperoxides 91 and 92 is formed in acetonitrile. Molecular dynamics simulations were carried out to understand this behavior, employing the OPLS-AA force field in GROMACS [163,164,165,176]. The guest molecules were optimized using Chembio3D and the MM2 force field and docked using the AutoDoc Vina program [161,162]. The computational analyses showed that all diene isomers preferentially adopted the cisoid conformation upon encapsulation. Solvent-accessible volume [177] calculations using the AMBER 03 force field [172] revealed that the cisoid form is more spherical and compact, making it a better fit for the cavity and enhancing van der Waals interactions. This preferential encapsulation explains the experimentally observed selectivity. The selective formation of the endoperoxides 91 and 92 confirms that only the cisoid form is present in the confined capsule environment, dictating the reaction pathway.
Elles and co-workers have studied the photoisomerization of stilbenes encapsulated in the octa acid capsule, focusing on how confinement affects their excited state dynamics [178]. The guests were encapsulated as monomers, and the experimental results showed significant changes in the cis/trans isomer distribution, excited state lifetimes, and quantum yields compared to their behavior in classical solvents [179,180]. In cyclohexane, the photostationary state of free 4,4′-dimethylstilbene 95 displayed a trans/cis ratio of 18/76 with 6% of phenanthrene, while within the octa acid capsule, this shifts dramatically to 80/20. Similarly, the photostationary state of 4-propylstilbene 96 changes from a trans/cis ratio of 20/80 in solution to 3/97 in the octa acid capsule. The alkyl substituents on the stilbene backbone have a marked effect on these ratios, highlighting the influence of substituent size and position. Molecular dynamics simulations were used to analyze the conformations and binding energies of the trans and cis isomers within the confined space of the octa acid capsule in order to understand these phenomena. The guests were optimized using B3LYP/6-31G* calculations via the Gaussian 09 software, while the dynamics were performed with the GROMACS 4.5.6 program using the AMBER03 force field for 100 ns with a 2-fs time step [59,170,171,172,181]. Binding energies were computed using the molecular mechanics/Poisson-Boltzmann surface area (MM/PBSA) method [182]. The in silico results revealed that the nature of the substituents on the stilbene moiety significantly influences the stability of encapsulated conformers. The position and size of the substituents modulate the interactions with the inner walls of the capsule. In solution, trans isomers generally exhibit greater stability. However, within the capsule, the cis/trans ratio was strongly dependent on the substituents. For unsubstituted stilbene 97, the trans isomer is 1.9 kcal/mol more stable. For monosubstituted substrates, increasing alkyl chain length stabilizes the cis isomer, which becomes more favorable starting with 4-ethylstilbene 98 (by 2.4 kcal/mol) and increasing to 15.2 kcal/mol for 4-propylstilbene 96. Among the disubstituted stilbenes, only 3,3′-dimethylstilbene 99 favored the cis isomer within the capsule. These computational results are in good agreement with experimental observations and provide an explanation for the altered photostationary states observed in the confined environment [180]. The experiments also revealed increased excited-state lifetimes within the octa acid capsule, particularly for 4-propylstilbene 96, where the lifetime extension was most pronounced, up to 4.5 times longer than in cyclohexane. This is due to the substantial stabilization of the cis isomer relative to the trans isomer, driven by steric hindrance. This steric effect inhibits rotation around the central C=C bond, a critical step in isomerization that proceeds via torsional rotation [183]. In contrast, for 4,4′-dimethylstilbene 95, the trans isomer is more stabilized within the capsule due to CH•••π interactions between the methyl groups and the inner aromatic walls of the octa acid cavity.
Gibb, Ramamurthy and co-workers reported an intriguing example of altered photochemical behavior within the capsule. They observed excimer formation of anthracene 42 in aqueous solution in the presence of octa acid capsule [184]. Under typical irradiation conditions, anthracene 42 typically photodimerizes [185,186]. However, in this encapsulated system, no photodimerization occurred. This deviation arises from the unique formation of capsuleplex, which hosts two molecules of anthracene 42. The photodimerization product cannot be encapsulated due to its incompatibility with the cavity of the capsule. Instead, the capsule effectively prevents dimer formation while preassembling the system for excimer generation. Motivated by these observations, Srinivasan, Ramamurthy, Sen and co-workers conducted in silico studies to explore the stability of the two hosts in the capsule [187]. Molecular dynamics simulations, conducted using methodologies similar to those described in the previous example, revealed that the two anthracene 42 molecules are encapsulated in a slipped-sandwich arrangement. This configuration clearly facilitates π•••π stacking between the two anthracenes 42 and the aromatic walls of the capsule, while leaving no free space around the guests. This explains the suppression of photodimerization. The molecular dynamics simulations also suggested that the encapsulated arrangement is suboptimal for excimer formation, which is a key finding that will be further investigated through quantum chemical calculations. The authors used the QM/MM-TDDFT method with a 6-31g(d,p) basis set to map the excited-state surfaces [188,189]. The DFT-optimized ground-state structure closely matched the equilibrated structure obtained from molecular dynamics simulations. Upon excitation, different excimer configurations were identified and classified as anthracene-like, naphthalene-like, and benzene-like, based on their π•••π stacking arrangements [190]. Computational results indicate that within the capsule, the naphthalene-like excimer is the most stable form, contrasting with gas-phase conditions where the anthracene-like excimer dominates. This disparity arises from interactions with the capsule walls. Theoretical insights indicate that the anthracene-like excimer can stabilize if the capsule undergoes structural reorganization. This dynamic was not modeled due to computational limitations. Excitation to the S₁ state has been shown to induce guest motion, leading initially to the formation of the naphthalene-like excimer, followed by the anthracene-like excimer, and subsequent emission. Ultrafast spectroscopic measurements corroborated these computational findings, revealing multiple intermediates in the excited-state pathway.
Energy transfer mechanisms, Förster resonance energy transfer [191,192] and photoinduced electron transfer (PET) [193,194,195] are two other photophysical phenomena that have been rigorously studied in the supramolecular octa acid capsule [196]. Conventionally, PET necessitates direct interaction between an electron donor and an acceptor. However, this system has demonstrated the intriguing possibility of electron transfer through the rigid walls of the capsule, a notable deviation from classical PET paradigms. In the aforementioned studies, conducted by Ramamurthy and co-workers, electron transfers have been observed between various encapsulated donors, including coumarin or azulene derivatives, and viologen-based acceptors. Subsequent to the photoexcitation of the donors, an observation was made of a long-lived radical-ion pair, with a separation made by the capsular assembly. It is crucial to note that these transfers do not rely on the partial (~5 μs) or full disassembly of the host capsule. The disassembly of the capsule occurs on a second (~2.7 s) timescale [197,198]. Instead, PET occurs on a timescale faster than a nanosecond. This unequivocally rules out dynamic exchange or diffusion as the operative mechanism. This accelerated kinetics, in comparison to diffusion, underscores a static transfer mechanism, likely facilitated by proximity and the structural features of the capsule itself. In silico molecular dynamics simulations have been conducted, particularly involving coumarin 85 (Figure 19) and dimethylviologen 100 (Figure 21), using the OPLS-AA force field within the GROMACS software framework [163,164,165,166]. These simulations reveal that while the donor is securely encapsulated within the hydrophobic cavity, the acceptor is electrostatically tethered to the outer surface of the capsule. The positively charged moieties of the viologen interact with the anionic carboxylate groups of the capsule through Coulombic interactions. This results in the localization of the cationic species between the carboxylate groups at the extremities of the capsule and along its equator (Figure 21). The distance between the donor and acceptor was estimated to be 8.9 Å [194]. This model provides a compelling rationale for the absence of translational diffusion and is further supported by complementary NMR studies. In addition, TDDFT calculations within a polarizable continuum model (PCM), as reported by Ramamurthy, Dunietz and co-workers, provide significant insights into the excited-state behavior of coumarin derivatives [199]. Their findings indicate that the capsule itself can act as a transient electron acceptor from an excited donor, such as coumarin 85. Subsequent to the transfer of the charge to the capsule wall, the electron is relayed to an external acceptor, such as a viologen species in close proximity. This observation underscores the active role of the capsule architecture, refuting the notion of it being merely a passive container and establishing it as a participant in the electron transfer chain.
Figure 21.
Dimethylviologen involved in PET with octa acid capsule.
These results underscore the multifaceted role of supramolecular capsules in mediating and directing charge transfer processes. The electron-conductive capability of the capsule walls themselves opens exciting new possibilities in the realms of biological electron transfer mimics and materials science, particularly in the design of nano-reactors and charge relay systems.
3. Conclusions
In silico studies have proven to be invaluable tools in supporting experimental hypotheses and providing new insights that are otherwise inaccessible. Supramolecular systems based on resorcinarenes have particularly benefited from advances in simulation methodologies, as highlighted in this review. This work has focused on hexameric assemblies of resorcinarenes and their pyrogallolarene homologues, as well as resorcinarene derivatives such as velcrands and octa acid-based systems.
One of the key contributions of in silico studies is their ability to provide information on the early stages of assembly formation, details that remain elusive to modern analytical techniques. In addition, these simulations allow the investigation of guest stoichiometry, guest conformation, and even mechanistic pathways of reactions occurring within confined cavities. Whenever possible, in silico results have been compared with experimental data, showing strong complementarities. For example, experimental calculations of product distributions from catalytic processes in confined systems have been successfully matched with computational predictions.
The continued improvement of in silico techniques holds great promise for the future of supramolecular chemistry. By enabling predictive modeling prior to experimental validation, these methods not only improve our understanding of confined systems but also pave the way for more efficient and innovative designs in supramolecular assembly and catalysis. These advances will undoubtedly contribute to the development of the next generation of confined systems with enhanced functionality and broader applicability.
Author Contributions
Writing—original draft preparation, M.S.; D.S., writing—review and editing. All authors have read and agreed to the published version of the manuscript.
Funding
This research received no external funding.
Acknowledgments
M.S. thanks M.R.T. for a research fellowship. This work was supported by the Agence Nationale de la Recherche (HEXCAPS Programme, ANR-24-CE07-1738).
Conflicts of Interest
The authors declare no conflicts of interest.
References
- Filipe, H.A.L.; Loura, L.M.S. Molecular dynamics simulations: Advances and applications. Molecules 2022, 27, 2105. [Google Scholar] [CrossRef] [PubMed]
- Zois, K.P.; Tzeli, D. A critical look at density functional theory in chemistry: Untangling its strengths and weaknesses. Atoms 2024, 12, 65. [Google Scholar] [CrossRef]
- Wang, Y.; Ribeiro, J.M.L.; Tiwary, P. Machine learning approaches for analyzing and enhancing molecular dynamics simulations. Curr. Opin. Struct. Biol. 2020, 61, 139–145. [Google Scholar] [CrossRef] [PubMed]
- Sulimov, V.B.; Kutov, D.C.; Sulimov, A.V. Advances in docking. Curr. Med. Chem. 2020, 26, 7555–7580. [Google Scholar] [CrossRef]
- Aldossary, A.; Campos-Gonzalez-Angulo, J.A.; Pablo-García, S.; Leong, S.X.; Rajaonson, E.M.; Thiede, L.; Tom, G.; Wang, A.; Avagliano, D.; Aspuru-Guzik, A. In silico chemical experiments in the age of AI: From quantum chemistry to machine learning and back. Adv. Mater. 2024, 36, 2402369. [Google Scholar] [CrossRef]
- Frederix, P.W.J.M.; Patmanidis, I.; Marrink, S.J. Molecular simulations of self-assembling bio-inspired supramolecular systems and their connection to experiments. Chem. Soc. Rev. 2018, 47, 3470–3489. [Google Scholar] [CrossRef]
- Calbo, J. Supramolecular polymer chemistry meets computational chemistry: Theoretical simulations on advanced self-assembling chiral materials. Supramol. Chem. 2018, 30, 876–890. [Google Scholar] [CrossRef]
- Moradi, S.; Nowroozi, A.; Shahlaei, M. Shedding light on the structural properties of lipid bilayers using molecular dynamics simulation: A review study. RSC Adv. 2019, 9, 4644–4658. [Google Scholar] [CrossRef]
- Abadie, M.J.M.; Pinteala, M.; Rotaru, A. (Eds.) New Trends in Macromolecular and Supramolecular Chemistry for Biological Applications; Springer: Cham, Switzerland, 2021. [Google Scholar]
- van Lommel, R.; Zhao, J.; de Borggraeve, W.M.; de Proft, F.; Alonso, M. Molecular dynamics based descriptors for predicting supramolecular gelation. Chem. Sci. 2020, 11, 4226–4238. [Google Scholar] [CrossRef]
- Wang, M.; Ma, A.; Wang, H.; Lou, X. Atomic molecular dynamics simulation advances of de novo-designed proteins. Q. Rev. Biophys. 2024, 57, e14. [Google Scholar] [CrossRef]
- Colaço, M.C.; Glitz, V.A.; Jacobs, A.K.; Port, V.C.; Caramori, G.F. Supramolecular chemistry: Exploring the use of electronic structure, molecular dynamics, and machine learning approaches. Eur. J. Org. Chem. 2024, 27, e202400367. [Google Scholar] [CrossRef]
- Cox, C.J.T.; Hale, J.; Molinska, P.; Lewis, J.E.M. Supramolecular and molecular capsules, cages and containers. Chem. Soc. Rev. 2024, 53, 10380–10408. [Google Scholar] [CrossRef] [PubMed]
- Rebek, J., Jr. Hydrogen-Bonded Capsules: Molecular Behavior in Small Spaces; World Scientific: Singapore, 2015. [Google Scholar]
- Kobayashi, K.; Yamanaka, M. Self-assembled capsules based on tetrafunctionalized calix[4]resorcinarene cavitands. Chem. Soc. Rev. 2015, 44, 449–466. [Google Scholar] [CrossRef] [PubMed]
- Wang, K.; Liu, Q.; Zhou, L.; Sun, H.; Yao, X.; Hu, X.-Y. State-of-the-art and recent progress in resorcinarene-based cavitand. Chin. Chem. Lett. 2023, 34, 108559. [Google Scholar] [CrossRef]
- MacGillivray, L.R.; Atwood, J.L. A chiral spherical molecular assembly held together by 60 hydrogen bonds. Nature 1997, 389, 469–472. [Google Scholar] [CrossRef]
- Li, T.-R.; Huck, F.; Piccini, G.M.; Tiefenbacher, K. Mimicry of the proton wire mechanism of enzymes inside a supramolecular capsule enables β-selective O-glycosylations. Nat. Chem. 2022, 14, 985–994. [Google Scholar] [CrossRef]
- Osman, Z.; Sperni, L.; Fabris, F.; Scarso, A. Supramolecular catalysis in phosphite hydrolysis to H-phosphonate by the resorcinarene hexameric capsule. Tetrahedron Lett. 2024, 139, 154985. [Google Scholar] [CrossRef]
- Némethová, I.; Schmid, D.; Tiefenbacher, K. Supramolecular capsule catalysis enables the exploration of terpenoid chemical space untapped by nature. Angew. Chem. Int. Ed. 2023, 62, e202218625. [Google Scholar] [CrossRef]
- Bordignon, F.; Calmanti, R.; Perosa, A.; Fabris, F.; Scarso, A. Confinement effects in catalysis: Steering the product selectivity in cannabidiol isomerization by the resorcinarene supramolecular capsule. ChemCatChem 2024, 16, e202400278. [Google Scholar] [CrossRef]
- Gambaro, S.; Talotta, C.; Sala, P.D.; Sorienten, A.; De Rosa, M.; Gaeta, C.; Neri, P. Kinetic and thermodynamic modulation of dynamic imine libraries driven by the hexameric resorcinarene capsule. J. Am. Chem. Soc. 2020, 142, 4914–14923. [Google Scholar] [CrossRef]
- Atwood, J.L.; Barbour, L.J.; Jerga, A. Hydrogen-bonded molecular capsules are stable in polar media. Chem. Commun. 2001, 22, 2376–2377. [Google Scholar] [CrossRef] [PubMed]
- Avram, L.; Cohen, Y. The role of water molecules in a resorcinarene capsule as probed by NMR diffusion measurements. Org. Lett. 2002, 4, 4365–4368. [Google Scholar] [CrossRef] [PubMed]
- Avram, L.; Cohen, Y. Spontaneous formation of hexameric resorcinarene capsule in chloroform solution as detected by diffusion NMR. J. Am. Chem. Soc. 2002, 124, 15148–15149. [Google Scholar] [CrossRef] [PubMed]
- Shivanyuk, A.; Rebek, J., Jr. Reversible encapsulation by self-assembling resorcinarene subunits. Proc. Natl. Acad. Sci. USA 2001, 98, 7662–7665. [Google Scholar] [CrossRef]
- Shivanyuk, A.; Rebek, J., Jr. Reversible encapsulation of multiple, neutral guests in hexameric resorcinarene hosts. Chem. Commun. 2001, 2424–2425. [Google Scholar] [CrossRef]
- Avram, L.; Cohen, Y. Discrimination of guests encapsulation in large hexameric molecular capsules in solution: Pyrogallol[4]arene versus resorcin[4]arene capsules. J. Am. Chem. Soc. 2003, 125, 16180–16181. [Google Scholar] [CrossRef]
- Yi, S.; Mileo, E.; Kaifer, A.E. EPR and NMR investigation on the interactions of nitroxide probes with resorcin[4]arene molecular capsules. Org. Lett. 2009, 11, 5690–5693. [Google Scholar] [CrossRef]
- Mileo, E.; Yi, S.; Bhattacharya, P.; Kaifer, A.E. Probing the inner space of resorcinarene molecular capsules with nitroxide guests. Angew. Chem. Int. Ed. 2009, 48, 5337–5340. [Google Scholar] [CrossRef]
- Beyeh, N.K.; Kogej, M.; Åhman, A.; Rissanen, K.; Schalley, C.A. Flying capsules: Mass spectrometric detection of pyrogallarene and resorcinarene hexamers. Angew. Chem. Int. Ed. 2006, 45, 5214–5218. [Google Scholar] [CrossRef]
- Jans, A.C.H.; Gómez-Suárez, A.; Nolan, S.P.; Reek, J.N.H. A switchable gold catalyst by encapsulation in a self-assembled cage. Chem. Eur. J. 2016, 22, 14836–14839. [Google Scholar] [CrossRef]
- Philip, I.E.; Kaifer, A.E. Electrochemically driven formation of a molecular capsule around the ferrocenium ion. J. Am. Chem. Soc. 2002, 124, 12678–12679. [Google Scholar] [CrossRef] [PubMed]
- Horiuchi, S.; Yamaguchi, T.; Tessarolo, J.; Tanaka, H.; Sakuda, E.; Arikawa, Y.; Meggers, E.; Clever, G.H.; Umakoshi, K. Symmetry-breaking host-guest assembly in a hydrogen-bonded supramolecular system. Nat. Commun. 2023, 14, 155. [Google Scholar] [CrossRef] [PubMed]
- Philip, I.; Kaifer, A.E. Noncovalent encapsulation of cobaltocenium inside resorcinarene molecular capsules. J. Org. Chem. 2005, 70, 1558–1564. [Google Scholar] [CrossRef]
- Bianchini, G.; Scarso, A.; Sorella, G.L.; Strukul, G. Switching the activity of a photoredox catalyst through reversible encapsulation and release. Chem. Commun. 2012, 48, 12082. [Google Scholar] [CrossRef]
- Zhang, T.; Le Corre, L.; Reinaud, O.; Colasson, B. A promising approach for controlling the second coordination sphere of biomimetic metal complexes: Encapsulation in a dynamic hydrogen-bonded capsule. Chem. Eur. J. 2021, 27, 434–443. [Google Scholar] [CrossRef]
- Horiuchi, S.; Tanaka, H.; Sakuda, E.; Arikawa, Y.; Umakoshi, K. Encapsulation and enhanced luminescence properties of IrIII complexes within a hexameric self-assembled capsule. Chem. Eur. J. 2016, 22, 17533–17537. [Google Scholar] [CrossRef]
- Adriaenssens, L.; Escribano-Cuesta, A.; Homs, A.; Echavarren, A.M.; Ballester, P. Encapsulation studies of cationic gold complexes within a self-assembled hexameric resorcin[4]arene capsule. Eur. J. Org. Chem. 2013, 2013, 1494–1500. [Google Scholar] [CrossRef]
- Hkiri, S.; Steinmetz, M.; Schurhammer, R.; Sémeril, D. Encapsulated neutral ruthenium catalyst for substrate-selective oxidation of alcohols. Chem. Eur. J. 2022, 28, e202201887. [Google Scholar] [CrossRef]
- Jongkind, L.J.; Rahimi, M.; Poole, D., III; Ton, S.J.; Fogg, D.E.; Reek, J.N.H. Protection of ruthenium olefin metathesis catalysts by encapsulation in a self-assembled resorcinarene capsule. ChemCatChem 2020, 12, 4019–4023. [Google Scholar] [CrossRef]
- Cavarzan, A.; Scarso, A.; Sgarbossa, P.; Strukul, G.; Reek, J.N.H. Supramolecular control on chemo- and regioselectivity via encapsulation of (NHC)-Au catalyst within a hexameric self-assembled host. J. Am. Chem. Soc. 2011, 133, 2848–2851. [Google Scholar] [CrossRef]
- Cavarzan, A.; Reek, J.N.H.; Trentin, F.; Scarso, A.; Strukul, G. Substrate selectivity in the alkyne hydration mediated by NHC-Au(I) controlled by encapsulation of the catalyst within a hydrogen bonded hexameric host. Catal. Sci. Technol. 2013, 3, 2898–2901. [Google Scholar] [CrossRef]
- La Manna, P.; De Rosa, M.; Talotta, C.; Gaeta, C.; Soriente, A.; Floresta, G.; Rescifina, A.; Neri, P. The hexameric resorcinarene capsule as an artificial enzyme: Ruling the regio and stereochemistry of a 1,3-dipolar cycloaddition between nitrones and unsaturated aldehydes. Org. Chem. Front. 2018, 5, 827–837. [Google Scholar] [CrossRef]
- La Manna, P.; De Rosa, M.; Talotta, C.; Rescifina, A.; Floresta, G.; Soriente, A.; Gaeta, C.; Neri, P. Synergic Interplay between halogen bonding and hydrogen bonding in the activation of a neutral substrate in a nanoconfined space. Angew. Chem. Int. Ed. 2020, 59, 811–818. [Google Scholar] [CrossRef]
- Bräuer, M.; Zhang, Q.; Tiefenbacher, K. Iminium catalysis inside a self-assembled supramolecular capsule: Modulation of enantiomeric excess. Angew. Chem. Int. Ed. 2016, 55, 7698–7701. [Google Scholar] [CrossRef]
- Capelli, R.; Piccini, G. Atomistic insights into hydrogen-bonded supramolecular capsule self-assembly dynamics. J. Phys. Chem. C 2024, 128, 635–641. [Google Scholar] [CrossRef]
- Trugilho, L.F.; Rizzi, L.G. Microcanonical characterization of first-order phase transitions in a generalized model for aggregation. J. Stat. Phys. 2022, 186, 40. [Google Scholar] [CrossRef]
- Laio, A.; Parrinello, M. Escaping free-energy minima. Proc. Natl. Acad. Sci. USA 2002, 99, 12562–12566. [Google Scholar] [CrossRef]
- Barducci, A.; Bussi, G.; Parrinello, M. Well-tempered metadynamics: A smoothly converging and tunable free-energy method. Phys. Rev. Lett. 2008, 100, 020603. [Google Scholar] [CrossRef]
- Tribello, G.A.; Bonomi, M.; Branduardi, D.; Camilloni, C.; Bussi, G. PLUMED 2: New feathers for an old bird. Comput. Phys. Commun. 2014, 185, 604–613. [Google Scholar] [CrossRef]
- PLUMED Consortium. Promoting transparency and reproducibility in enhanced molecular simulations. Nat. Methods 2019, 16, 670–673. [Google Scholar] [CrossRef]
- Shivanyuk, A.; Rebek, J., Jr. Assembly of resorcinarene capsules in wet solvents. J. Am. Chem. Soc. 2003, 125, 3432–3433. [Google Scholar] [CrossRef] [PubMed]
- Evan-Salem, T.; Baruch, I.; Avram, L.; Cohen, Y.; Palmer, L.C.; Rebek, J., Jr. Resorcinarenes are hexameric capsules in solution. Proc. Natl. Acad. Sci. USA 2006, 103, 12296–12300. [Google Scholar] [CrossRef] [PubMed]
- Yamanaka, M.; Shivanyuk, A.; Rebek, J., Jr. Kinetics and thermodynamics of hexameric capsule formation. J. Am. Chem. Soc. 2004, 126, 2939–2943. [Google Scholar] [CrossRef] [PubMed]
- Merget, S.; Catti, L.; Piccini, G.; Tiefenbacher, K. Requirements for terpene cyclizations inside the supramolecular resorcinarene capsule: Bound water and its protonation determine the catalytic activity. J. Am. Chem. Soc. 2020, 142, 4400–4410. [Google Scholar] [CrossRef]
- Zhang, Q.; Tiefenbacher, K. Hexameric resorcinarene capsule is a Brønsted acid: Investigation and application to synthesis and catalysis. J. Am. Chem. Soc. 2013, 135, 16213–16219. [Google Scholar] [CrossRef]
- La Manna, P.; Talotta, C.; Floresta, G.; De Rosa, M.; Soriente, A.; Rescifina, A.; Gaeta, G.; Neri, P. Mild Friedel-Crafts reactions inside a hexameric resorcinarene capsule: C- Cl bond activation through hydrogen bonding to bridging water molecules. Angew. Chem. Int. Ed. 2018, 57, 5423–5428. [Google Scholar] [CrossRef]
- Frisch, M.J.; Trucks, G.W.; Schlegel, H.B.; Scuseria, G.E.; Robb, M.A.; Cheeseman, J.R.; Scalmani, G.; Barone, V.; Mennucci, B.; Petersson, G.A.; et al. Gaussian 09, Revision D.01; Gaussian, Inc.: Wallingford, CT, USA, 2009. [Google Scholar]
- Stewart, J.J.P. Optimization of parameters for semiempirical methods V: Modification of NDDO approximations and application to 70 elements. J. Mol. Model. 2007, 13, 1173–1213. [Google Scholar] [CrossRef]
- Katiyar, A.; Sovierzoski, J.C.F.; Calio, P.B.; Vartia, A.A.; Thompson, W.H. Water plays a diverse role in a hydrogen-bonded, hexameric supramolecular assembly. Chem. Commun. 2019, 55, 6591–6594. [Google Scholar] [CrossRef]
- Katiyar, A.; Sovierzoski, J.C.F.; Calio, P.B.; Vartia, A.A.; Thompson, W.H. Water plays a dynamical role in a hydrogen-bonded, hexameric supramolecular assembly. Phys. Chem. Chem. Phys. 2020, 22, 6167–6175. [Google Scholar] [CrossRef]
- Plimpton, S. Fast parallel algorithms for short-range molecular dynamics. J. Comput. Phys. 1995, 117, 1–19. [Google Scholar] [CrossRef]
- Thompson, A.P.; Aktulga, H.M.; Berger, R.; Bolintineau, D.S.; Brown, W.M.; Crozier, P.S.; in’t Veld, P.J.; Kohlmeyer, A.; Moore, S.G.; Nguyen, T.D.; et al. LAMMPS—A flexible simulation tool for particle-based materials modeling at the atomic, meso, and continuum scales. Comput. Phys. Commun. 2022, 271, 109171. [Google Scholar] [CrossRef]
- Salomon-Ferrer, R.; Götz, A.W.; Poole, D.; Le Grand, S.; Walker, R.C. Routine microsecond molecular dynamics simulations with AMBER on GPUs. 2. explicit solvent particle mesh Ewald. J. Chem. Theory Comput. 2013, 9, 3878–3888. [Google Scholar] [CrossRef] [PubMed]
- Poole, D.A., III; Mathew, S.; Reek, J.N.H. Just add water: Modulating the structure-derived acidity of catalytic hexameric resorcinarene capsules. J. Am. Chem. Soc. 2021, 143, 16419–16427. [Google Scholar] [CrossRef] [PubMed]
- Slovak, S.; Avram, L.; Cohen, Y. Encapsulated or not encapsulated? Mapping alcohol sites in hexameric capsules of resorcin[4]arenes in solution by diffusion NMR spectroscopy. Angew. Chem. Int. Ed. 2010, 49, 428–431. [Google Scholar] [CrossRef]
- Slovak, S.; Cohen, Y. The effect of alcohol structures on the interaction mode with the hexameric capsule of resorcin[4]arene. Chem. Eur. J. 2012, 18, 8515–8520. [Google Scholar] [CrossRef]
- Payne, R.M.; Oliver, C.L. A propanol-seamed C-methylcalix[4]resorcinarene hexamer accessible via solution crystallization, liquid-assisted grinding and vapour sorption. CrystEngComm 2018, 20, 1919–1922. [Google Scholar] [CrossRef]
- Ugono, O.; Holman, K.T. An achiral form of the hexameric resorcin[4]arene capsule sustained by hydrogen bonding with alcohols. Chem. Commun. 2006, 2144–2146. [Google Scholar] [CrossRef]
- Chwastek, M.; Cmoch, P.; Szumna, A. Anion-based self-assembly of resorcin[4]arenes and pyrogallol[4]arenes. J. Am. Chem. Soc. 2022, 144, 5350–5358. [Google Scholar] [CrossRef]
- Frisch, M.J.; Trucks, G.W.; Schlegel, H.B.; Scuseria, G.E.; Robb, M.A.; Cheeseman, J.R.; Montgomery, J.A., Jr.; Vreven, T.; Kudin, K.N.; Burant, J.C.; et al. Gaussian 03, Revision A.1; Gaussian, Inc.: Pittsburgh, PA, USA, 2003. [Google Scholar]
- Curtiss, L.A.; McGrath, M.P.; Blaudeau, J.-P.; Davis, N.E.; Binning, R.C., Jr.; Radom, L. Extension of Gaussian-2 theory to molecules containing third-row atoms Ga–Kr. J. Chem. Phys. 1995, 103, 6104–6113. [Google Scholar] [CrossRef]
- Perdew, J.P.; Burke, K.; Ernzerhof, M. Generalized gradient approximation made simple. Phys. Rev. Lett. 1996, 77, 3865–3868. [Google Scholar] [CrossRef]
- Grimme, S.; Antony, J.; Ehrlich, S.; Krieg, H. A consistent and accurate ab initio parametrization of density functional dispersion correction (DFT-D) for the 94 elements H-Pu. J. Chem. Phys. 2010, 132, 154104. [Google Scholar] [CrossRef] [PubMed]
- Sierka, M.; Hogekamp, A.; Ahlrichs, R. Fast evaluation of the Coulomb potential for electron densities using multipole accelerated resolution of identity approximation. J. Chem. Phys. 2003, 118, 9136–9148. [Google Scholar] [CrossRef]
- Weigend, F.; Ahlrichs, R. Balanced basis sets of split valence, triple zeta valence and quadruple zeta valence quality for H to Rn: Design and assessment of accuracy. Phys. Chem. Chem. Phys. 2005, 7, 3297–3305. [Google Scholar] [CrossRef] [PubMed]
- Ahlrichs, R.; Bär, M.; Häser, M.; Horn, H.; Kölmel, C. Electronic structure calculations on workstation computers: The program system turbomole. Chem. Phys. Lett. 1989, 162, 165–169. [Google Scholar] [CrossRef]
- Zhang, Q.; Catti, L.; Kaila, V.R.I.; Tiefenbacher, K. To catalyze or not to catalyze: Elucidation of the subtle differences between the hexameric capsules of pyrogallolarene and resorcinarene. Chem. Sci. 2017, 8, 1653–1657. [Google Scholar] [CrossRef]
- WebLab ViewerPro Version 4.0, Molecular Simulation, Inc.: San Diego, CA, USA, 2000.
- Shivanyuk, A. Nanoencapsulation of calix[4]arene inclusion complexes. J. Am. Chem. Soc. 2007, 129, 14196–14199. [Google Scholar] [CrossRef]
- PCMODEL, version 7.50.00; Serena Software: Bloomington, IN, USA, 2000.
- Horiuchi, S.; Matsuo, C.; Sakuda, E.; Arikawa, Y.; Clever, G.H.; Umakoshi, K. Anion-mediated encapsulation-induced emission enhancement of an IrIII complex within a resorcin[4]arene hexameric capsule. Dalton Trans. 2020, 49, 8472–8477. [Google Scholar] [CrossRef]
- Uratani, H.; Horiuchi, S. Encapsulation-induced hypsochromic shift of emission properties from a cationic Ir(III) complex in a hydrogen-bonded organic cage: A theoretical study. J. Chem. Phys. 2024, 161, 201101. [Google Scholar] [CrossRef]
- Venkatachalam, C.M.; Jiang, X.; Oldfield, T.; Waldman, M. LigandFit: A novel method for the shape-directed rapid docking of ligands to protein active sites. J. Mol. Graph. Model. 2003, 21, 289–307. [Google Scholar] [CrossRef]
- Mecozzi, S.; Rebek, J., Jr. The 55 % solution: A formula for molecular recognition in the liquid state. Chem. Eur. J. 1998, 4, 1016–1022. [Google Scholar] [CrossRef]
- Diaz, D.E.; Quist, D.A.; Herzog, A.E.; Schaefer, E.W.; Kipouros, I.; Bhadra, M.; Solomon, E.I.; Karlin, K.D. Impact of intramolecular hydrogen bonding on the reactivity of cupric superoxide complexes with O-H and C-H substrates. Angew. Chem. Int. Ed. 2019, 58, 17572–17576. [Google Scholar] [CrossRef] [PubMed]
- Ehudin, M.A.; Schaefer, A.W.; Adam, S.M.; Quist, D.A.; Diaz, D.E.; Tang, J.A.; Solomon, E.I.; Karlin, K.D. Influence of intramolecular secondary sphere hydrogen-bonding interactions on cytochrome c oxidase inspired low-spin heme-peroxo-copper complexes. Chem. Sci. 2019, 10, 2893–2905. [Google Scholar] [CrossRef] [PubMed]
- Connolly, M.L. The molecular surface package. J. Mol. Graph. 1993, 11, 139–141. [Google Scholar] [CrossRef] [PubMed]
- Lech, L.M.; Freiser, B.S.; Gord, J.R. Heteronuclear diatomic transition-metal cluster ions in the gas phase: Reactions of ScFe+ with hydrocarbons. J. Am. Chem. Soc. 1989, 111, 8588–8592. [Google Scholar] [CrossRef]
- Fortman, G.C.; Poater, A.; Levell, J.W.; Gaillard, S.; Slawin, A.M.Z.; Samuel, I.D.W.; Cavallo, L.; Nolan, S.P. A versatile gold synthon for acetylene C-H bond activation. Dalton Trans. 2010, 39, 10382–10390. [Google Scholar] [CrossRef]
- Case, D.A.; Ben-Shalom, I.Y.; Brozell, S.R.; Cerutti, D.S.; Cheatham, T.E., III; Cruzeiro, V.W.D.; Darden, T.A.; Duke, R.E.; Ghoreishi, D.; Gilson, M.K.; et al. AMBER 18; University of California: San Francisco, CA, USA, 2018. [Google Scholar]
- Gambaro, S.; De Rosa, M.; Soriente, A.; Talotta, C.; Floresta, G.; Rescifina, A.; Gaeta, C.; Neri, P. A hexameric resorcinarene capsule as a hydrogen bonding catalyst in the conjugate addition of pyrroles and indoles to nitroalkenes. Org. Chem. Front. 2019, 6, 2339–2347. [Google Scholar] [CrossRef]
- Frisch, M.J.; Trucks, G.W.; Schlegel, H.B.; Scuseria, G.E.; Robb, M.A.; Cheeseman, J.R.; Scalmani, G.; Barone, V.; Petersson, G.A.; Nakatsuji, H.; et al. GaussView 5.0; Gaussian, Inc.: Wallingford, CT, USA, 2016. [Google Scholar]
- Pratihar, S.; Roy, S. Nucleophilicity and site selectivity of commonly used arenes and heteroarenes. J. Org. Chem. 2010, 75, 4957–4963. [Google Scholar] [CrossRef]
- Kędziorek, M.; Mayer, P.; Mayr, H. Nucleophilic reactivities of azulene and fulvenes. Eur. J. Org. Chem. 2009, 2009, 1202–1206. [Google Scholar] [CrossRef]
- Zhu, J.; Pérez, M.; Stephan, D.W. C-C Coupling of benzyl fluorides catalyzed by an electrophilic phosphonium cation. Angew. Chem. Int. Ed. 2016, 55, 8448–8451. [Google Scholar] [CrossRef]
- Schmuck, C.; Rupprecht, D. The synthesis of highly functionalized pyrroles: A challenge in regioselectivity and chemical reactivity. Synthesis 2007, 20, 3095–3110. [Google Scholar] [CrossRef]
- Iuliano, V.; Talotta, C.; De Rosa, M.; Soriente, A.; Neri, P.; Rescifina, A.; Floresta, G.; Gaeta, C. Insights into the Friedel-Crafts benzoylation of N-methylpyrrole inside the confined space of the self-assembled resorcinarene capsule. Org. Lett. 2023, 25, 6464–6468. [Google Scholar] [CrossRef] [PubMed]
- De Rosa, M.; Gambaro, S.; Soriente, A.; Della Sala, P.; Iuliano, V.; Talotta, C.; Gaeta, C.; Rescifina, A.; Neri, P. Carbocation catalysis in confined space: Activation of trityl chloride inside the hexameric resorcinarene capsule. Chem. Sci. 2022, 13, 8618–8625. [Google Scholar] [CrossRef] [PubMed]
- Ferrino, G.; De Rosa, M.; Della Sala, P.; Gaeta, C.; Talotta, C.; Soriente, A.; Cao, Z.; Maity, B.; Cavallo, L.; Neri, P. The resorcinarene hexameric capsule as a supramolecular photoacid to trigger olefin hydroarylation in confined space. Chem. Eur. J. 2024, 30, e202303678. [Google Scholar] [CrossRef]
- Adamo, C.; Barone, V. Toward reliable density functional methods without adjustable parameters: The PBE0 model. J. Chem. Phys. 1999, 110, 6158–6170. [Google Scholar] [CrossRef]
- Te Velde, G.; Bickelhaupt, F.M.; Baerends, E.J.; Fonseca Guerra, C.; van Gisbergen, S.J.A.; Snijders, J.G.; Ziegler, T. Chemistry with ADF. J. Comput. Chem. 2001, 22, 931–967. [Google Scholar] [CrossRef]
- Bannwarth, C.; Grimme, S. A simplified time-dependent density functional theory approach for electronic ultraviolet and circular dichroism spectra of very large molecules. Comput. Theor. Chem. 2014, 1040–1041, 45–53. [Google Scholar] [CrossRef]
- Zhao, Y.; Truhlar, D.G. The M06 suite of density functionals for main group thermochemistry, thermochemical kinetics, noncovalent interactions, excited states, and transition elements: Two new functionals and systematic testing of four M06-class functionals and 12 other functionals. Theor. Chem. Acc. 2008, 120, 215–241. [Google Scholar]
- Weinhold, F.; Landis, C. A natural Bond Orbital Donor-Acceptor Perspective; Cambridge University Press: Cambridge, UK, 2005. [Google Scholar]
- Gerkensmeier, T.; Iwanek, W.; Agena, C.; Fröhlich, R.; Kotila, S.; Näther, C.; Mattay, J. Self-assembly of 2,8,14,20-tetraisobutyl-5,11,17,23-tetrahydroxyresorc[4]arene. Eur. J. Org. Chem. 1999, 1999, 2257–2262. [Google Scholar] [CrossRef]
- Avram, L.; Cohen, Y. Hexameric capsules of lipophilic pyrogallolarene and resorcinarene in solutions as probed by diffusion NMR: one hydroxyl makes the difference. Org. Lett. 2003, 5, 3329–3332. [Google Scholar] [CrossRef]
- Avram, L.; Cohen, Y. Self-recognition, structure, stability, and guest affinity of pyrogallol[4]arene and resorcin[4]arene capsules in solution. J. Am. Chem. Soc. 2004, 126, 11556–11563. [Google Scholar] [CrossRef]
- Cave, G.W.V.; Antesberger, J.; Barbour, L.J.; McKinlay, R.M.; Atwood, J.L. Inner core structure responds to communication between nanocapsule walls. Angew. Chem. Int. Ed. 2004, 43, 5263–5266. [Google Scholar] [CrossRef]
- Avram, L.; Cohen, Y. Molecules at close range: Encapsulated solvent molecules in Pyrogallol[4]arene hexameric capsules. Org. Lett. 2006, 8, 219–222. [Google Scholar] [CrossRef] [PubMed]
- Guralnik, V.; Avram, L.; Cohen, Y. Unique organization of solvent molecules within the hexameric capsules of pyrogallol[4]arene in solution. Org. Lett. 2014, 16, 5592–5595. [Google Scholar] [CrossRef] [PubMed]
- Chapin, J.C.; Kvasnica, M.; Purse, B.W. Molecular encapsulation in pyrogallolarene hexamers under nonequilibrium conditions. J. Am. Chem. Soc. 2012, 134, 15000–15009. [Google Scholar] [CrossRef]
- Journey, S.N.; Teppang, K.L.; Garcia, C.A.; Brim, S.A.; Onofrei, D.; Addison, J.B.; Holland, G.P.; Purse, B.W. Mechanically induced pyrogallol[4]arene hexamer assembly in the solid state extends the scope of molecular encapsulation. Chem. Sci. 2017, 8, 7737–7745. [Google Scholar] [CrossRef]
- HyperChem Professional 8.0; Hypercube, Inc.: Gainesville, FL, USA, 2007.
- Dewar, M.J.S.; Zoebisch, E.G.; Healy, E.F.; Stewart, J.J.P. Development and use of quantum mechanical molecular models. 76. AM1: A new general purpose quantum mechanical molecular model. J. Am. Chem. Soc. 1985, 107, 3902–3909. [Google Scholar] [CrossRef]
- Fischer, E. Einfluss der Configuration auf die Wirkung der Enzyme. Berichte Dtsch. Chem. Ges. 1894, 27, 2985–2993. [Google Scholar] [CrossRef]
- Dalgarno, S.J.; Szabo, T.; Siavosh-Haghighi, A.; Deakyne, C.A.; Adams, J.E.; Atwood, J.L. Exploring the limits of encapsulation within hexameric pyrogallol[4]arene nano-capsules. Chem. Commun. 2009, 1339–1341. [Google Scholar] [CrossRef]
- Frisch, M.J.; Trucks, G.W.; Schlegel, H.B.; Scuseria, G.E.; Robb, M.A.; Cheeseman, J.R.; Montgomery, J.J.A.; Vreven, T.; Kudin, K.N.; Burant, J.C.; et al. Gaussian 03 Revision C.02; Gaussian, Inc.: Wallingford, CT, USA, 2004. [Google Scholar]
- Dalgarno, S.J.; Tucker, S.A.; Bassil, D.B.; Atwood, J.L. Fluorescent guest molecules report ordered inner phase of host capsules in solution. Science 2005, 309, 2037–2039. [Google Scholar] [CrossRef]
- Yariv-Shoushan, S.; Cohen, Y. Encapsulated or not encapsulated? Ammonium salts can be encapsulated in hexameric capsules of pyrogallol[4]arene. Org. Lett. 2016, 18, 936–939. [Google Scholar] [CrossRef]
- La Manna, P.; Talotta, C.; Gaeta, C.; Cohen, Y.; Slovak, S.; Rescifina, A.; Sala, P.D.; De Rosa, M.; Soriente, A.; Neri, P. Supramolecular catalysis in confined space: Making the pyrogallol[4]arene capsule catalytically active in non-competitive solvent. Org. Chem. Front. 2022, 9, 2453–2463. [Google Scholar] [CrossRef]
- Moran, J.R.; Ericson, J.L.; Dalcanale, E.; Bryant, J.A.; Knobler, C.B.; Cram, D.J. Vases and kites as cavitands. J. Am. Chem. Soc. 1991, 113, 5707–5714. [Google Scholar] [CrossRef]
- Cram, D.J.; Choi, H.J.; Bryant, J.A.; Knobler, C.B. Host-guest complexation. 62. Solvophobic and entropic driving forces for forming velcraplexes, which are 4-fold, lock-key dimers in organic media. J. Am. Chem. Soc. 1992, 114, 7748–7765. [Google Scholar] [CrossRef]
- Heinz, T.; Rudkevich, D.M.; Rebek, J., Jr. Pairwise selection of guests in a cylindrical molecular capsule of nanometre dimensions. Nature 1998, 394, 764–766. [Google Scholar] [CrossRef]
- Mohamadi, F.; Richards, N.G.J.; Guida, W.C.; Liskamp, R.; Lipton, M.; Caufield, C.; Chang, G.; Hendrickson, T.; Still, W.C. Macromodel—An integrated software system for modeling organic and bioorganic molecules using molecular mechanics. J. Comput. Chem. 1990, 11, 440–467. [Google Scholar] [CrossRef]
- Ebbing, M.H.K.; Villa, M.-J.; Valpuesta, J.-M.; Prados, P.; de Mendoza, J. Resorcinarenes with 2-benzimidazolone bridges: Self-aggregation, self-assembled dimeric capsules, and guest encapsulation. Proc. Natl. Acad. Sci. USA 2002, 99, 4962–4966. [Google Scholar] [CrossRef]
- Ajami, D.; Rebek, J., Jr. Expanded capsules with reversibly added spacers. J. Am. Chem. Soc. 2006, 128, 5314–5315. [Google Scholar] [CrossRef]
- Ajami, D.; Rebek, J., Jr. More chemistry in small spaces. Acc. Chem. Res. 2013, 46, 990–999. [Google Scholar] [CrossRef]
- Zhao, Y.; Truhlar, D.G. Density functionals with broad applicability in chemistry. Acc. Chem. Res. 2008, 41, 157–167. [Google Scholar] [CrossRef]
- Ajami, D.; Rebek, J., Jr. Gas behavior in self-assembled capsules. Angew. Chem. Int. Ed. 2008, 47, 6059–6061. [Google Scholar] [CrossRef]
- Nicholls, A.; Sharp, K.A.; Honig, B. Protein folding and association: Insights from the interfacial and thermodynamic properties of hydrocarbons. Proteins Struct. Funct. Bioinf. 1991, 11, 281–296. [Google Scholar] [CrossRef] [PubMed]
- Kitaigorodskii, A.I. Molecular Crystals and Molecules, 1st ed.; Academic Press: San Diego, CA, USA, 1973. [Google Scholar]
- Scarso, A.; Trembleau, L.; Rebek, J., Jr. Encapsulation induces helical folding of alkanes. Angew. Chem. Int. Ed. 2003, 42, 5499–5502. [Google Scholar] [CrossRef] [PubMed]
- Scarso, A.; Trembleau, L.; Rebek, J., Jr. Helical folding of alkanes in a self-assembled, cylindrical capsule. J. Am. Chem. Soc. 2004, 126, 13512–13518. [Google Scholar] [CrossRef] [PubMed]
- Ajami, D.; Iwasawa, T.; Rebek, J., Jr. Experimental and computational probes of the space in a self-assembled capsule. Proc. Natl. Acad. Sci. USA 2006, 103, 8934–8936. [Google Scholar] [CrossRef]
- Gavette, J.V.; Zhang, K.-D.; Ajami, D.; Rebek, J., Jr. Folded alkyl chains in water-soluble capsules and cavitands. Org. Biomol. Chem. 2014, 12, 6561–6563. [Google Scholar] [CrossRef]
- Tiefenbacher, K.; Ajami, D.; Rebek, J., Jr. Self-assembled capsules of unprecedented shapes. Angew. Chem. Int. Ed. 2011, 50, 12003–12007. [Google Scholar] [CrossRef]
- Wang, J.; Shi, X.; Cao, W. Theoretical studies on co-encapsulation of two different guests inside a cylindrical capsular host. Russ. J. Appl. Chem. 2015, 88, 682–686. [Google Scholar] [CrossRef]
- Wesolowski, T.A.; Parisel, O.; Ellinger, Y.; Weber, J. Comparative study of benzene···X (X = O2, N2, CO) complexes using density functional theory: the importance of an accurate exchange-correlation energy density at high reduced density gradients. J. Phys. Chem. A 1997, 101, 7818–7825. [Google Scholar] [CrossRef]
- Tzeli, D.; Petsalakis, I.D.; Theodorakopoulos, G. Compression in encapsulated carboxylic acid homodimers. Chem. Phys. Lett. 2013, 573, 48–55. [Google Scholar] [CrossRef]
- Tzeli, D.; Theodorakopoulos, G.; Petsalakis, I.D.; Ajami, D.; Rebek, J., Jr. Theoretical study of hydrogen bonding in homodimers and heterodimers of amide, boronic acid, and carboxylic acid, free and in encapsulation complexes. J. Am. Chem. Soc. 2011, 133, 16977–16985. [Google Scholar] [CrossRef]
- Xantheas, S.S. On the importance of the fragment relaxation energy terms in the estimation of the basis set superposition error correction to the intermolecular interaction energy. J. Chem. Phys. 1996, 104, 8821–8824. [Google Scholar] [CrossRef]
- Ajami, D.; Tolstoy, P.M.; Dube, H.; Odermatt, S.; Koeppe, B.; Guo, J.; Limbach, H.; Rebek, J., Jr. Encapsulated carboxylic acid dimers with compressed hydrogen bonds. Angew. Chem. Int. Ed. 2011, 50, 528–531. [Google Scholar] [CrossRef] [PubMed]
- Tzeli, D.; Petsalakis, I.D.; Theodorakopoulos, G.; Ajami, D.; Jiang, W.; Rebek, J., Jr. Encapsulated hydrogen-bonded dimers of amide and carboxylic acid. Chem. Phys. Lett. 2012, 548, 55–59. [Google Scholar] [CrossRef]
- Tzeli, D.; Petsalakis, I.D.; Theodorakopoulos, G.; Ajami, D.; Rebek, J., Jr. Theoretical study of free and encapsulated carboxylic acid and amide dimers. Int. J. Quantum Chem. 2013, 113, 734–739. [Google Scholar] [CrossRef]
- Zhang, K.-D.; Ajami, D.; Rebek, J., Jr. Hydrogen-bonded capsules in water. J. Am. Chem. Soc. 2013, 135, 18064–18066. [Google Scholar] [CrossRef]
- Dapprich, S.; Komáromi, I.; Byun, K.S.; Morokuma, K.; Frisch, M.J. A new ONIOM implementation in Gaussian98. Part I. The calculation of energies, gradients, vibrational frequencies and electric field derivatives. J. Mol. Struct. Theochem 1999, 461–462, 1–21. [Google Scholar] [CrossRef]
- Vreven, T.; Morokuma, K.; Farkas, O.; Schlegel, H.B.; Frisch, M.J. Geometry optimization with QM/MM, ONIOM, and other combined methods. I. Microiterations and constraints. J. Comput. Chem. 2003, 24, 760–769. [Google Scholar] [CrossRef]
- Vreven, T.; Morokuma, K. Hybrid methods: ONIOM(QM:MM) and QM/MM. Annu. Rep. Comput. Chem. 2006, 2, 35–51. [Google Scholar]
- Zhao, Y.; Truhlar, D.G. A new local density functional for main-group thermochemistry, transition metal bonding, thermochemical kinetics, and noncovalent interactions. J. Chem. Phys. 2006, 125, 194101. [Google Scholar] [CrossRef]
- Ajami, D.; Dube, H.; Rebek, J., Jr. Boronic acid hydrogen bonding in encapsulation complexes. J. Am. Chem. Soc. 2011, 133, 9689–9691. [Google Scholar] [CrossRef]
- Porel, M.; Jayaraj, N.; Kaanumalle, L.S.; Maddipatla, M.V.S.N.; Parthasarathy, A.; Ramamurthy, V. Cavitand octa acid forms a nonpolar capsuleplex dependent on the molecular size and hydrophobicity of the guest. Langmuir 2009, 25, 3473–3481. [Google Scholar] [CrossRef] [PubMed]
- Tang, D.; Dwyer, T.; Bukannan, H.; Blackmon, O.; Delpo, C.; Barnett, J.W.; Gibb, B.C.; Ashbaugh, H.S. Pressure induced wetting and dewetting of the nonpolar pocket of deep-cavity cavitands in water. J. Phys. Chem. B 2020, 124, 4781–4792. [Google Scholar] [CrossRef] [PubMed]
- Ashbaugh, H.S.; Gibb, B.C.; Suating, P. Cavitand complexes in aqueous solution: Collaborative experimental and computational studies of the wetting, assembly, and function of nanoscopic bowls in water. J. Phys. Chem. B 2021, 125, 3253–3268. [Google Scholar] [CrossRef]
- Meyer, E.A.; Castellano, R.K.; Diederich, F. Interactions with aromatic rings in chemical and biological recognition. Angew. Chem. Int. Ed. 2003, 42, 1210–1250. [Google Scholar] [CrossRef]
- Jayaraj, N.; Zhao, Y.; Parthasarathy, A.; Porel, M.; Liu, R.S.H.; Ramamurthy, V. Nature of supramolecular complexes controlled by the structure of the guest molecules: Formation of octa acid based capsuleplex and cavitandplex. Langmuir 2009, 25, 10575–10586. [Google Scholar] [CrossRef]
- Caldararu, O.; Olsson, M.A.; Riplinger, C.; Neese, F.; Ryde, U. Binding free energies in the SAMPL5 octa-acid host-guest challenge calculated with DFT-D3 and CCSD (T). J. Comput. Aided Mol. Des. 2017, 31, 87–106. [Google Scholar] [CrossRef]
- Kulasekharan, R.; Jayaraj, N.; Porel, M.; Choudhury, R.; Sundaresan, A.K.; Parthasarathy, A.; Ottaviani, M.F.; Jockusch, S.; Turro, N.J.; Ramamurthy, V. Guest rotations within a capsuleplex probed by NMR and EPR techniques. Langmuir 2010, 26, 6943–6953. [Google Scholar] [CrossRef]
- Choudhury, R.; Barman, A.; Prabhakar, R.; Ramamurthy, V. Hydrocarbons depending on the chain length and head group adopt different conformations within a water-soluble nanocapsule: 1H NMR and molecular dynamics studies. J. Phys. Chem. B 2013, 117, 398–407. [Google Scholar] [CrossRef]
- Allinger, N.L. Conformational analysis. 130. MM2. A hydrocarbon force field utilizing V1 and V2 torsional terms. J. Am. Chem. Soc. 1977, 99, 8127–8134. [Google Scholar] [CrossRef]
- Trott, O.; Olson, A.J. AutoDock Vina: Improving the speed and accuracy of docking with a new scoring function, efficient optimization, and multithreading. J. Comput. Chem. 2010, 31, 455–461. [Google Scholar] [CrossRef]
- Van Der Spoel, D.; Lindahl, E.; Hess, B.; Groenhof, G.; Mark, A.E.; Berendsen, H.J.C. GROMACS: Fast, flexible, and free. J. Comput. Chem. 2005, 26, 1701–1718. [Google Scholar] [CrossRef] [PubMed]
- Kaminski, G.A.; Friesner, R.A.; Tirado-Rives, J.; Jorgensen, W.L. Evaluation and reparametrization of the OPLS-AA force field for proteins via comparison with accurate quantum chemical calculations on peptides. J. Phys. Chem. B 2001, 105, 6474–6487. [Google Scholar] [CrossRef]
- Jorgensen, W.L.; Tirado-Rives, J. The OPLS [optimized potentials for liquid simulations] potential functions for proteins, energy minimizations for crystals of cyclic peptides and crambin. J. Am. Chem. Soc. 1988, 110, 1657–1666. [Google Scholar] [CrossRef] [PubMed]
- Tzanov, A.T.; Cuendet, M.A.; Tuckerman, M.E. How accurately do current force fields predict experimental peptide conformations? An adiabatic free energy dynamics study. J. Phys. Chem. B 2014, 118, 6539–6552. [Google Scholar] [CrossRef]
- Cendejas, K.; Parker, H.E.; Molina, D.; Choudhury, R. Supramolecular self-assembly of water-soluble cavitands: Investigated by molecular dynamics simulation. J. Incl. Phenom. Macrocycl. Chem. 2017, 89, 199–205. [Google Scholar] [CrossRef]
- Mikulskis, P.; Cioloboc, D.; Andrejić, M.; Khare, S.; Brorsson, J.; Genheden, S.; Mata, R.A.; Söderhjelm, P.; Ryde, U. Free-energy perturbation and quantum mechanical study of SAMPL4 octa-acid host–guest binding energies. J. Comput. Aided Mol. Des. 2014, 28, 375–400. [Google Scholar] [CrossRef]
- Das, A.; Sharma, G.; Kamatham, N.; Prabhakar, R.; Sen, P.; Ramamurthy, V. Ultrafast solvation dynamics reveal that octa acid capsule’s interior dryness depends on the guest. J. Phys. Chem. A 2019, 123, 5928–5936. [Google Scholar] [CrossRef]
- Francl, M.M.; Pietro, W.J.; Hehre, W.J.; Binkley, J.S.; Gordon, M.S.; DeFrees, D.J.; Pople, J.A. Self-consistent molecular orbital methods. XXIII. A polarization-type basis set for second-row elements. J. Chem. Phys. 1982, 77, 3654–3665. [Google Scholar] [CrossRef]
- Pronk, S.; Páll, S.; Schulz, R.; Larsson, P.; Bjelkmar, P.; Apostolov, R.; Shirts, M.R.; Smith, J.C.; Kasson, P.M.; van der Spoel, D.; et al. GROMACS 4.5: A high-throughput and highly parallel open source molecular simulation toolkit. Bioinformatics 2013, 29, 845–854. [Google Scholar] [CrossRef]
- Case, D.A.; Cheatham, T.E., III; Darden, T.; Gohlke, H.; Luo, R.; Merz, K.M., Jr.; Onufriev, A.; Simmerling, C.; Wang, B.; Woods, R.J. The Amber biomolecular simulation programs. J. Comput. Chem. 2005, 26, 1668–1688. [Google Scholar] [CrossRef]
- Samanta, S.R.; Choudhury, R.; Ramamurthy, V. Photoisomerization and photooxygenation of 1, 4-diaryl-1, 3-dienes in a confined space. J. Phys. Chem. A 2014, 118, 10554–10562. [Google Scholar] [CrossRef] [PubMed]
- Rio, G.; Berthelot, J. Photooxidation of acyclic dienes: Trans-trans-1,4-diphenyl-1,3-butadiene photo oxide. Bull. Soc. Chim. Fr. 1969, 5, 1664–1667. [Google Scholar]
- Blackburn, E.V.; Timmons, C.J. The photocyclisation of stilbene analogues. Q. Rev. Chem. Soc. 1969, 23, 482–503. [Google Scholar] [CrossRef]
- Lindahl, E.; Hess, B.; Van Der Spoel, D. GROMACS 3.0: A package for molecular simulation and trajectory analysis. J. Mol. Model. 2001, 7, 306–317. [Google Scholar] [CrossRef]
- Shrake, A.; Rupley, J.A. Environment and exposure to solvent of protein atoms. Lysozyme and insulin. J. Mol. Biol. 1973, 79, 351–371. [Google Scholar] [CrossRef]
- Otolski, C.J.; Mohan Raj, A.; Sharma, G.; Prabhakar, R.; Ramamurthy, V.; Elles, C.G. Ultrafast trans → cis photoisomerization dynamics of alkyl-substituted stilbenes in a supramolecular capsule. J. Phys. Chem. A 2019, 123, 5061–5071. [Google Scholar] [CrossRef]
- Parthasarathy, A.; Ramamurthy, V. Role of free space and weak interactions on geometric isomerization of stilbenes held in a molecular container. Photochem. Photobiol. Sci. 2011, 10, 1455–1462. [Google Scholar] [CrossRef]
- Samanta, S.R.; Parthasarathy, A.; Ramamurthy, V. Supramolecular control during triplet sensitized geometric isomerization of stilbenes encapsulated in a water soluble organic capsule. Photochem. Photobiol. Sci. 2012, 11, 1652–1660. [Google Scholar] [CrossRef]
- Becke, A.D. Density-functional thermochemistry. III. The role of exact exchange. J. Chem. Phys. 1993, 98, 5648–5652. [Google Scholar] [CrossRef]
- Kumari, R.; Kumar, R. g_mmpbsa—A GROMACS Tool for High-Throughput MM-PBSA Calculations. J. Chem. Inf. Model. 2014, 54, 1951–1962. [Google Scholar] [CrossRef]
- Myers, A.B.; Mathies, R.A. Excited-state torsional dynamics of cis-stilbene from resonance Raman intensities. J. Chem. Phys. 1984, 81, 1552–1558. [Google Scholar] [CrossRef]
- Kaanumalle, L.S.; Gibb, C.L.D.; Gibb, B.C.; Ramamurthy, V. A hydrophobic nanocapsule controls the photophysics of aromatic molecules by suppressing their favored solution pathways. J. Am. Chem. Soc. 2005, 127, 3674–3675. [Google Scholar] [CrossRef]
- Bouas-Laurent, H.; Desvergne, J.-P.; Castellan, A.; Lapouyade, R. Photodimerization of anthracenes in fluid solution: Structural aspects. Chem. Soc. Rev. 2000, 29, 43–55. [Google Scholar] [CrossRef]
- Bouas-Laurent, H.; Desvergne, J.-P.; Castellan, A.; Lapouyade, R. Photodimerization of anthracenes in fluid solutions: (part 2) mechanistic aspects of the photocycloaddition and of the photochemical and thermal cleavage. Chem. Soc. Rev. 2001, 30, 248–263. [Google Scholar] [CrossRef]
- Das, A.; Danao, A.; Banerjee, S.; Raj, A.M.; Sharma, G.; Prabhakar, R.; Srinivasan, V.; Ramamurthy, V.; Sen, P. Dynamics of anthracene excimer formation within a water-soluble nanocavity at room temperature. J. Am. Chem. Soc. 2021, 143, 2025–2036. [Google Scholar] [CrossRef]
- Warshel, A.; Levitt, M. Theoretical studies of enzymic reactions: Dielectric, electrostatic and steric stabilization of the carbonium ion in the reaction of lysozyme. J. Mol. Biol. 1976, 103, 227–249. [Google Scholar] [CrossRef]
- Valiev, M.; Bylaska, E.J.; Govind, N.; Kowalski, K.; Straatsma, T.P.; Van Dam, H.J.J.; Wang, D.; Nieplocha, J.; Apra, E.; Windus, T.L.; et al. NWChem: A comprehensive and scalable open-source solution for large scale molecular simulations. Comput. Phys. Commun. 2010, 181, 1477–1489. [Google Scholar] [CrossRef]
- Gao, Y.; Liu, H.; Zhang, S.; Gu, Q.; Shen, Y.; Ge, Y.; Yang, B. Excimer formation and evolution of excited state properties in discrete dimeric stacking of an anthracene derivative: A computational investigation. Phys. Chem. Chem. Phys. 2018, 20, 12129–12137. [Google Scholar] [CrossRef]
- Gupta, S.; Adhikari, A.; Mandal, A.K.; Bhattacharyya, K. Ramamurthy, V. Ultrafast singlet singlet energy transfer between an acceptor electrostatically attached to the walls of an organic capsule and the enclosed donor. J. Phys. Chem. C 2011, 115, 9593–9600. [Google Scholar] [CrossRef]
- Santos, F.d.S.; Ramasamy, E.; da Luz, L.C.; Ramamurthy, V.; Rodembusch, F.S. Spectroscopic insights of an emissive complex between 4′-N,N-diethylaminoflavonol in octa-acid deep-cavity cavitand and rhodamine 6G. Molecules 2023, 28, 4260. [Google Scholar] [CrossRef]
- Raj, A.M.; Porel, M.; Mukherjee, P.; Ma, X.; Choudhury, R.; Galoppini, E.; Sen, P.; Ramamurthy, V. Ultrafast electron transfer from upper excited state of encapsulated azulenes to acceptors across an organic molecular wall. J. Phys. Chem. C 2017, 121, 20205–20216. [Google Scholar] [CrossRef]
- Chuang, C.H.; Porel, M.; Choudhury, R.; Burda, C.; Ramamurthy, V. Ultrafast electron transfer across a nanocapsular wall: Coumarins as donors, viologen as acceptor, and octa ocid capsule as the mediator. J. Phys. Chem. B 2018, 122, 328–337. [Google Scholar] [CrossRef] [PubMed]
- Das, A.; Kamatham, N.; Mohan Raj, A.; Sen, P.; Ramamurthy, V. Marcus Relationship maintained during ultrafast electron transfer across a supramolecular capsular wall. J. Phys. Chem. A 2020, 124, 5297–5305. [Google Scholar] [CrossRef] [PubMed]
- Ramamurthy, V. Photochemistry in a capsule: Controlling excited state dynamics via confinement. Chem. Commun. 2022, 58, 6571–6585. [Google Scholar] [CrossRef]
- Jayaraj, N.; Jockusch, S.; Kaanumalle, L.S.; Turro, N.J.; Ramamurthy, V. Dynamics of capsuleplex formed between octaacid and organic guest molecules—Photophysical techniques reveal the opening and closing of capsuleplex. Can. J. Chem. 2011, 89, 203–213. [Google Scholar] [CrossRef]
- Tang, H.; De Oliveira, C.S.; Sonntag, G.; Gibb, C.L.D.; Gibb, B.C.; Bohne, C. Dynamics of a supramolecular capsule assembly with pyrene. J. Am. Chem. Soc. 2012, 134, 5544–5547. [Google Scholar] [CrossRef]
- Bhandari, S.; Zheng, Z.; Maiti, B.; Chuang, C.H.; Porel, M.; You, Z.Q.; Ramamurthy, V.; Burda, C.; Herbert, J.M.; Dunietz, B.D. What Is the Optoelectronic Effect of the Capsule on the Guest Molecule in Aqueous Host/Guest Complexes? A Combined Computational and Spectroscopic Perspective. J. Phys. Chem. C 2017, 121, 15481–15488. [Google Scholar] [CrossRef]
Disclaimer/Publisher’s Note: The statements, opinions and data contained in all publications are solely those of the individual author(s) and contributor(s) and not of MDPI and/or the editor(s). MDPI and/or the editor(s) disclaim responsibility for any injury to people or property resulting from any ideas, methods, instructions or products referred to in the content. |
© 2025 by the authors. Licensee MDPI, Basel, Switzerland. This article is an open access article distributed under the terms and conditions of the Creative Commons Attribution (CC BY) license (https://creativecommons.org/licenses/by/4.0/).































