The Influence of Some Physicochemical Parameters of Surface Waters on the Formation of Trihalomethanes During the Drinking Water Treatment Process
Abstract
1. Introduction
2. Results and Discussions
2.1. The Influence of Temperature and Disinfectant Dose on THMs Formation
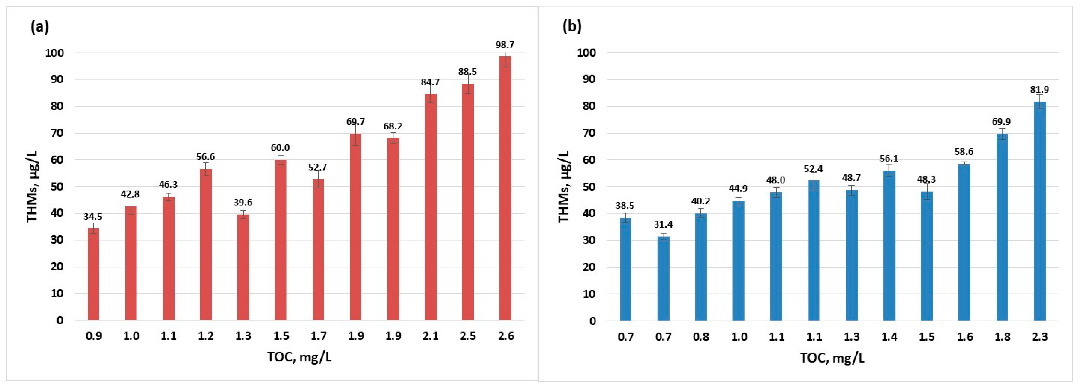
2.2. The Influence of Total Organic Carbon (TOC) on the Formation of THMs
2.3. Influence of pH on THMs Formation in the Water Disinfection Process
3. Materials and Methods
3.1. Materials
3.2. Analysis of THMs
3.3. Total Organic Carbon (TOC)
3.4. Free Chlorine
3.5. pH Determination
4. Conclusions
Author Contributions
Funding
Institutional Review Board Statement
Informed Consent Statement
Data Availability Statement
Conflicts of Interest
References
- Koskeroglu, K.; Barel, M.; Hizlisoy, H.; Yildirim, Y. Biofilm formation and antibiotic resistance profiles of water-borne pathogens. Res. Microbiol. 2023, 174, 104056. [Google Scholar] [CrossRef] [PubMed]
- Ni, R.; Opoku, K.N.; Li, X.; Gao, Y.; Wang, Y.; Yang, F. Recent advance in utilization of advanced composite photothermal materials for water disinfection: Synthesis, mechanism, and application. Chin. Chem. Lett. 2025, 36, 110813. [Google Scholar] [CrossRef]
- Li, X.; Li, A.; Li, Z.; Sun, H.; Shi, P.; Zhou, Q.; Shuang, C. Organic micropollutants and disinfection byproducts removal from drinking water using concurrent anion exchange and chlorination process. Sci. Total Environ. 2021, 752, 141470. [Google Scholar] [CrossRef] [PubMed]
- Santos, J.S.; Sikora, M.S.; Praserthdam, P. A comprehensive review of anodic TiO2 films as heterogeneous catalysts for photocatalytic and photoelectrocatalytic water disinfection. J. Water Process Eng. 2025, 69, 106589. [Google Scholar] [CrossRef]
- Yang, F.; Zhao, Y. Piezoelectric water disinfection: Mechanisms, applications, and emerging prospects. Nano Energy 2024, 131, 110270. [Google Scholar] [CrossRef]
- Nair, S.S.; Marasini, R.; Lakshmi, K.V.; Buck, L.; McGuigan, K.G. Life cycle assessment comparison of point-of-use water treatment technologies: Solar water disinfection (SODIS), boiling water, and chlorination. J. Environ. Chem. Eng. 2023, 11, 110015. [Google Scholar] [CrossRef]
- Atrashkevich, A.; Garcia-Segura, S.; Alum, A.; Stirling, R.; Abbaszadegan, M. Approaching easy water disinfection for all: Can in situ electrochlorination outperform conventional chlorination under realistic conditions? Water Res. 2024, 250, 121014. [Google Scholar] [CrossRef] [PubMed]
- Ferro, S. Comment on “Approaching easy water disinfection for all: Can in situ electrochlorination outperform conventional chlorination under realistic conditions?, published by Atrashkevich et al. [Water Research 250 (2024) 121,014]”. Water Res. 2024, 258, 121787. [Google Scholar] [CrossRef] [PubMed]
- Castano-Henao, L.; Garcia Mendez, D.F.; Egan, S.; Sanabria, J. Changes in groundwater and surface water bacterial communities under disinfection processes: Chlorination, ozonization, photo-fenton and ultraviolet radiation. Curr. Res. Microb. Sci. 2024, 7, 100244. [Google Scholar] [CrossRef] [PubMed]
- Yan, X.; Lin, T.; Wang, X.; Zhang, S.; Zhou, K. Effects of pipe materials on the characteristic recognition, disinfection byproduct formation, and toxicity risk of pipe wall biofilms during chlorination in water supply pipelines. Water Res. 2022, 210, 117980. [Google Scholar] [CrossRef] [PubMed]
- Duan, X.; Liao, X.; Chen, J.; Xie, S.; Qi, H.; Li, F.; Yuan, B. THMs, HAAs and NAs production from culturable microorganisms in pipeline network by ozonation, chlorination, chloramination and joint disinfection strategies. Sci. Total Environ. 2020, 744, 140833. [Google Scholar] [CrossRef] [PubMed]
- Padhi, R.K.; Subramanian, S.; Satpathy, K.K. Formation, distribution, and speciation of DBPs (THMs, HAAs, ClO2− and ClO3−) during treatment of different source water with chlorine and chlorine dioxide. Chemosphere 2019, 218, 540–550. [Google Scholar] [CrossRef] [PubMed]
- Singh, G.; Singh, A.; Kumar Mishra, V. A critical review of occurrence, sources, fate, ecological risk, and health effect of emerging contaminants in water and wastewater. Environ. Nanotechnol. Monit. Manag. 2024, 22, 100994. [Google Scholar] [CrossRef]
- Koley, S.; Dash, S.; Khwairakpam, M.; Kalamdhad, A.S. Perspectives and understanding on the occurrence, toxicity and abatement technologies of disinfection by-products in drinking water. J. Environ. Manag. 2024, 351, 119770. [Google Scholar] [CrossRef] [PubMed]
- EC. Directive (EU) 2020/2184 of the European Parliament and of the Council of 16 December 2020 on the Quality of Water Intended for Human Consumption (Recast). 2020. Available online: https://eur-lex.europa.eu/eli/dir/2020/2184/oj (accessed on 15 January 2025).
- USEPA. Comprehensive Disinfectants and Disinfection Byproducts Rules (Stage 1 and Stage 2): Quick Reference Guide. 2010. Available online: https://nepis.epa.gov/Exe/ZyPDF.cgi?Dockey=P100C8XW.txt (accessed on 15 January 2025).
- WHO. Trihalomethanes in Drinking-Water. Background Document for Development of WHO Guidelines for Drinking-Water Quality. 2004. Available online: https://cdn.who.int/media/docs/default-source/wash-documents/wash-chemicals/trihalomethanes.pdf?sfvrsn=3d3a90e3_4 (accessed on 15 January 2025).
- Yu, Y.; Li, G.; Chen, R.; Shi, B. Trihalomethanes formation enhanced by manganese chlorination and deposition in plastic drinking water pipes. Water Res. 2021, 204, 117582. [Google Scholar] [CrossRef] [PubMed]
- Zhang, X.; Feng, X.; Ma, Y.; Niu, Z.; Zhang, Y. Comparison of chlorination resistance of biodegradable microplastics and conventional microplastics during the disinfection process in water treatments. Sci. Total Environ. 2024, 908, 168229. [Google Scholar] [CrossRef] [PubMed]
- Zhang, M.; Lü, X.; Yuan, C.; He, W.; Qiu, C.; Lan, B.; He, J.; Zhang, L.; Li, Y. Impact of non-aged and UV-aged microplastics on the formation of halogenated disinfection byproducts during chlorination of drinking water and its mechanism. Environ. Pollut. 2024, 344, 123394. [Google Scholar] [CrossRef] [PubMed]
- Zhang, X.; Ren, P.; Zhou, J.; Li, J.; Li, Z.; Wang, D. Formation of disinfection byproducts in anammonia-polluted source waterwith UV/chlorine treatment followed by post-chlorination: A pilot-scale study. Environ. Technol. Innov. 2022, 26, 102266. [Google Scholar] [CrossRef]
- Valenti-Quiroga, M.; Cabrera-Codony, A.; Emiliano, P.; Valero, F.; Monclús, H.; Martin, M.J. In-depth analysis of natural organic matter fractions in drinking water treatment performance: Fate and role of humic substances in trihalomethanes formation potential. Sci. Total Environ. 2024, 954, 176600. [Google Scholar] [CrossRef] [PubMed]
- Samonte, P.R.V.; Li, Z.; Mao, J.; Chaplin, B.P.; Xu, W. Pyrogenic carbon-promoted haloacetic acid decarboxylation to trihalomethanes in drinking water. Water Res. 2022, 210, 117988. [Google Scholar] [CrossRef] [PubMed]
- Montoya-Pachongo, C.; Douterelo, I.; Noakes, C.; Camargo-Valero, M.A.; Andrew Sleigh, A.; Escobar-Rivera, J.C.; Torres-Lozada, P. Field assessment of bacterial communities and total trihalomethanes: Implications for drinking water networks. Sci. Total Environ. 2018, 616–617, 345–354. [Google Scholar] [CrossRef] [PubMed]
- Fang, C.; Yang, W.; Lu, N.; Xiao, R.; Du, Z.; Wang, Q.; Chu, W. Alkaline chlorination of drinking water: A trade-off between genotoxicity control and trihalomethane formation. Water Res. 2023, 246, 120692. [Google Scholar] [CrossRef] [PubMed]
- Sriboonnak, S.; Induvesa, P.; Wattanachira, S.; Rakruam, P.; Siyasukh, A.; Pumas, C.; Wongrueng, A.; Khan, E. Trihalomethanes in Water Supply System and Water Distribution Networks. Int. J. Environ. Res. Public Health 2021, 18, 9066. [Google Scholar] [CrossRef] [PubMed]
- O’Driscoll, C.; Sheahan, J.; Renou-Wilson, F.; Croot, P.; Pilla, F.; Misstear, B.; Xiao, L. National scale assessment of total trihalomethanes in Irish drinking water. J. Environ. Manag. 2018, 212, 131–141. [Google Scholar] [CrossRef] [PubMed]
- Qadafi, M.; Notodarmojo, S.; Yuniati Zevi, Y. Effects of microbubble pre-ozonation time and pH on trihalomethanes and haloacetic acids formation in pilot-scale tropical peat water treatments for drinking water purposes. Sci. Total Environ. 2020, 747, 141540. [Google Scholar] [CrossRef]
- Matboo, S.A.; Hasani, K.; Moradi, M.; Shahram, N.; Mokhtari, S.A. Efficiency of electrochemical-synthesized alum nanoparticles in the removal of tannic acid as a precursor of carcinogenic trihalomethanes from drinking water: Isotherm and kinetics study. Desalin. Water Treat. 2021, 241, 74–86. [Google Scholar] [CrossRef]
- Corso, M.; Galey, C.; Seux, R.; Beaudeau, P. AnAssessment of Current and Past Concentrations of Trihalomethanes in Drinking Water throughout France. Int. J. Environ. Res. Public Health 2018, 15, 1669. [Google Scholar] [CrossRef] [PubMed]
- WHO. Guidelines for Drinking-Water Quality: Fourth Edition Incorporating the First and Second Addenda. 2022. Available online: https://cdn.who.int/media/docs/default-source/wash-documents/water-safety-and-quality/chemical-fact-sheets-2022/uranium-fact-sheet-2022.pdf?sfvrsn=8e93735e_2&download=true (accessed on 15 January 2025).
- Lafontaine, A.; Lee, S.; Jacquemin, B.; Glorennec, P.; Le Bot, B.; Verrey, D.; Goldberg, M.; Marie Zins, M.; Lequy, E.; Villanueva, C.M. Chronic exposure to drinking water nitrate and trihalomethanes in the French CONSTANCES cohort. Environ. Res. 2024, 259, 119557. [Google Scholar] [CrossRef] [PubMed]
- Zumel-Marne, A.; Castano-Vinyals, G.; Alguacil, J.; Villanueva, C.M.; Maule, M.; Gracia-Lavedan, E.; Momoli, F.; Krewski, D.; Mohipp, C.; Petridou, E.; et al. Exposure to drinking water trihalomethanes and nitrate and the risk of brain tumours in young people. Environ. Res. 2021, 200, 111392. [Google Scholar] [CrossRef] [PubMed]
- Shi, Y.; Xia, W.; Liu, H.; Liu, J.; Cao, S.; Fang, X.; Li, S.; Li, Y.; Chen, C.; Xu, S. Trihalomethanes in global drinking water: Distributions, risk assessments, and attributable disease burden of bladder cancer. J. Hazard. Mater. 2024, 469, 133760. [Google Scholar] [CrossRef] [PubMed]
- Chiu, H.F.; Tsai, S.S.; Wu, T.N.; Yang, C.Y. Effect modification of the association between trihalomethanes and pancreatic cancer by drinking water hardness: Evidence from an ecological study. Environ. Res. 2010, 110, 513–518. [Google Scholar] [CrossRef] [PubMed]
- Chen, Y.J.; Liu, C.; Huang, L.L.; Ai, S.H.; Sun, L.; Huang, Z.; Li, J.; Lei, H.S.; Liu, J.; Liu, Y.A.; et al. First-trimester blood concentrations of drinking water trihalomethanes and neonatal neurobehavioral development in a Chinese birth cohort. J. Hazard. Mater. 2019, 362, 451–457. [Google Scholar] [CrossRef] [PubMed]
- Amjad, H.; Hashmi, I.; Rehman, M.; Awan, M.A.; Ghaffar, S.; Khan, Z. Cancer and non-cancer risk assessment of trihalomethanes in urban drinking water supplies of Pakistan. Ecotoxicol. Environ. Saf. 2013, 91, 25–31. [Google Scholar] [CrossRef] [PubMed]
- Tafesse, N.; Porcelli, M.; Hirpessa, B.B.; Gasana, J.; Padhi, R.K.; Robele, S.; Ambelu, A. Trihalomethanes and physicochemical quality of drinking water in Addis Ababa, Ethiopia. Heliyon 2023, 9, e19446. [Google Scholar] [CrossRef] [PubMed]
- DIRECTIVE 2008/105/EC of the European Parliament and of the Council of 16 December 2008. Available online: https://eur-lex.europa.eu/legal-content/EN/TXT/PDF/?uri=CELEX:32008L0105 (accessed on 15 January 2025).
- Tsitsifli, S.; Kanakoudis, V. Total and Specific THMs’ Prediction Models in Drinking Water Pipe Networks. Environ. Sci. Proc. 2020, 2, 55. [Google Scholar] [CrossRef]
- Stanhope, J.; Davidson, G.; McAuley, K.; Cook, A.; Weinstein, P. Spatial and Temporal Variability in Trihalomethane Concentrations in the Bromine-Rich Public Waters of Perth, Australia. Int. J. Environ. Res. Public Health 2020, 17, 7280. [Google Scholar] [CrossRef] [PubMed]
- Furst, K.; Graham, K.E.; Weisman, R.J.; Adusei, K.B. It’s getting hot in here: Effects of heat on temperature, disinfection, and opportunistic pathogens in drinking water distribution systems. Water Res. 2024, 260, 121913. [Google Scholar] [CrossRef] [PubMed]
- Kimbrough, D.E. Impact of local climate change on drinking water quality in a distribution system. Water Qual. Res. J. 2019, 54, 179–192. [Google Scholar] [CrossRef]
- Li, X.; Li, C.; Bayier, M.; Zhao, T.; Zhang, T.; Chen, X.; Mao, X. Desalinated seawater into pilot-scale drinking water distribution system: Chlorine decay and trihalomethanes formation. Desalin. Water Treat. 2016, 57, 19149–19159. [Google Scholar] [CrossRef]
- Absalan, F.; Hatam, F.; Blokker, M.; Besner, M.C.; Prevost, M.; Bichai, F. Impact of heat islands vs. city greening: Real-time monitoring and modeling of drinking water temperature in the city of Montreal in Canada. Water Res. 2024, 256, 121490. [Google Scholar] [CrossRef] [PubMed]
- Total Organic Carbon (TOC) Guidance Manual. 2002. Available online: https://www.tceq.texas.gov/downloads/publications/rg/total-organic-carbon-guidance-manual-rg-379.pdf/@@download/file/rg-379.pdf (accessed on 25 January 2025).
- Zeeshan, M.; Ingold, V.; Saal, L.; Höra, C.; Kämpfe, A.; Ruhl, A.S. Compositions and concentrations of dissolved organic matter, selected elements and anions in German drinking waters. J. Environ. Manag. 2025, 376, 124459. [Google Scholar] [CrossRef] [PubMed]
- Why pH Matters in a Free Chlorine Measurement. Available online: https://www.kuntzeusa.com/news/why-ph-matters-in-a-free-chlorine-measurement (accessed on 15 January 2025).
- Ghernaout, D. Water treatment chlorination: An updated mechanistic insight review. Chem. Res. J. 2017, 2, 125–138. [Google Scholar]
- Marín, A.; Tudela, J.A.; Garrido, Y.; Albolafio, S.; Hernandez, N.; Andújar, S.; Allende, A.; Gil, M.I. Chlorinated wash water and pH regulators affect chlorine gas emission and disinfection by-products. Innov. Food Sci. Emerg. Technol. 2020, 66, 102533. [Google Scholar] [CrossRef]
- Fan, X.; Gurtler, J.B. Depletion of Free Chlorine and Generation of Trichloromethane in the Presence of pH Control Agents in Chlorinated Water at pH 6.5. J. Food Prot. 2024, 87, 100296. [Google Scholar] [CrossRef] [PubMed]
- Leite, L.d.S.; dos Santos, D.V.; Paschoalato, C.F.P.R.; Bond, T.; Daniel, L.A. Disinfection By-Products Formation from Chlor(am)ination of Algal Organic Matter of Chlorella sorokiniana. Toxics 2023, 11, 690. [Google Scholar] [CrossRef] [PubMed]
- Li, R.A.; McDonald, J.A.; Sathasivan, A.; Khan, S.J. A multivariate Bayesian network analysis of water quality factors influencing trihalomethanes formation in drinking water distribution systems. Water Res. 2021, 190, 116712. [Google Scholar] [CrossRef] [PubMed]
- Sriboonnak, S.; Yanun, A.; Induvesa, P.; Pumas, C.; Duangjan, K.; Rakruam, P.; Nitayavardhana, S.; Sittisom, P.; Wongrueng, A. Efficiencies of O-MBR and A/O-MBR for Organic Matter Removal from and Trihalomethane Formation Potential Reduction in Domestic Wastewater. Membranes 2022, 12, 761. [Google Scholar] [CrossRef] [PubMed]
- Dubowski, Y.; Greenberg-Eitan, R.; Rebhun, M. Removal of Trihalomethane Precursors by Nanofiltration in Low-SUVA Drinking Water. Water 2018, 10, 1370. [Google Scholar] [CrossRef]
- SR 13158:1993; Drinking Water. Determination of the Dose of Chlorine for Disinfection. ASRO: Bucharest, Romania, 1993.
- National Research Council (US); Safe Drinking Water Committee. Drinking Water and Health; National Academies Press (US): Washington, DC, USA, 1980; Volume 2. The Disinfection of Drinking Water. Available online: https://www.ncbi.nlm.nih.gov/books/NBK234590/ (accessed on 15 March 2021).
- STAS 12997–91; Drinking Water. Determination of Trihalomethanes Content. ASRO: Bucharest, Romania, 1991.
- EN 1484:1997; Water Analysis—Guidelines for the Determination of Total Organic Carbon (TOC) and Dissolved Organic Carbon (DOC). European Standard: Heidelberg, Germany, 1997.
- Dou, J.; Shang, J.; Kang, Q.; Shen, D. Field analysis free chlorine in water samples by a smartphone-based colorimetric device with improved sensitivity and accuracy. Microchem. J. 2019, 150, 104200. [Google Scholar] [CrossRef]
- STAS 6364–78:2012; Drinking Water. Determination of Residual Chlorine. ASRO: Bucharest, Romania, 2012.
- SR ISO 10523:1997; Water Quality. Determination of pH. ASRO: Bucharest, Romania, 1997.











| Parameter (Sampling 1) | Minimum Value | Maximum Value |
|---|---|---|
| Temperature, °C | 4.9 | 30.5 |
| pH | 7.18 | 7.72 |
| Conductivity, µS·cm−1 | 384 | 731 |
| Turbidity, NTU | 55 | 278 |
Disclaimer/Publisher’s Note: The statements, opinions and data contained in all publications are solely those of the individual author(s) and contributor(s) and not of MDPI and/or the editor(s). MDPI and/or the editor(s) disclaim responsibility for any injury to people or property resulting from any ideas, methods, instructions or products referred to in the content. |
© 2025 by the authors. Licensee MDPI, Basel, Switzerland. This article is an open access article distributed under the terms and conditions of the Creative Commons Attribution (CC BY) license (https://creativecommons.org/licenses/by/4.0/).
Share and Cite
Scarlat, A.; Modrogan, C.; Bosomoiu, M.; Orbuleț, O.D. The Influence of Some Physicochemical Parameters of Surface Waters on the Formation of Trihalomethanes During the Drinking Water Treatment Process. Molecules 2025, 30, 2983. https://doi.org/10.3390/molecules30142983
Scarlat A, Modrogan C, Bosomoiu M, Orbuleț OD. The Influence of Some Physicochemical Parameters of Surface Waters on the Formation of Trihalomethanes During the Drinking Water Treatment Process. Molecules. 2025; 30(14):2983. https://doi.org/10.3390/molecules30142983
Chicago/Turabian StyleScarlat (Matei), Alexandra, Cristina Modrogan, Magdalena Bosomoiu, and Oanamari Daniela Orbuleț. 2025. "The Influence of Some Physicochemical Parameters of Surface Waters on the Formation of Trihalomethanes During the Drinking Water Treatment Process" Molecules 30, no. 14: 2983. https://doi.org/10.3390/molecules30142983
APA StyleScarlat, A., Modrogan, C., Bosomoiu, M., & Orbuleț, O. D. (2025). The Influence of Some Physicochemical Parameters of Surface Waters on the Formation of Trihalomethanes During the Drinking Water Treatment Process. Molecules, 30(14), 2983. https://doi.org/10.3390/molecules30142983
