Unveiling the Role of Fractionated Graphene Oxide in Nitric Oxide Scavenging
Abstract
1. Introduction
2. Results
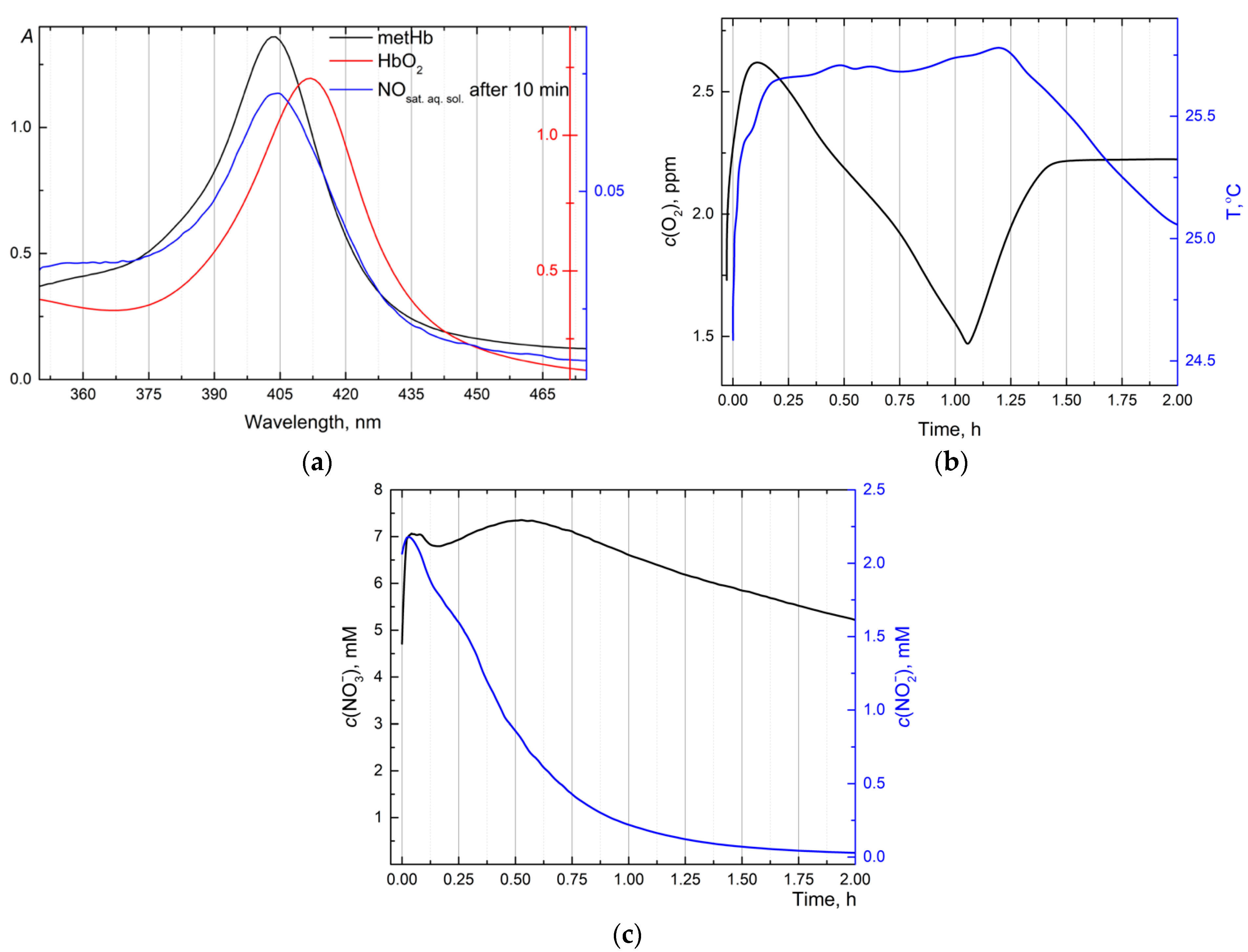
2.1. Preparation of Nitric Oxide Saturated Aqueous Solution
- (1)
- Argon purging line with flow 0.3 L/min;
- (2)
- Schlenk reactor with solid reagents NaI, NaNO2, and syringe to drop-by-drop adding 50% H2SO4;
- (3)
- Axillary parts of set-up including serial connections of absorbers with H2O, NaOH saturated solution at 25 °C, H2SO4 concentrated solution, and an empty safety vessel;
- (4)
- Polypropylene tube filled with solid fine-grained sodium hydroxide ca. 10 g sealed with double-sided absorbent cotton;
- (5)
- Online monitoring system for registering dissolved oxygen, nitrite, and nitrate anion content (see Figure 1a);
- (6)
- Online monitoring requires auxiliary equipment; gas analysis and an exhaust system (for FTIR analysis) are optional additions.
2.2. FTIR Analysis of Gaseous Nitric Oxide
2.3. Nitric Oxide Quantification in an Aqueous Solution
2.4. Byproduct Quantification in Aqueous Nitric Oxide Solution
2.5. Chemiluminescent System: Luminol, Hydrogen Peroxide, and Nitric Oxide—Influences of Byproducts on Chemiluminescence
2.6. Aqueous Graphene Oxide Aqueous Dispersions: Preparation and Characterization
2.7. Raman Spectroscopy Analysis of Prepared Graphene Oxide
- In the wide range of 477–800 nm (i.e., 177–8640 cm−1), to obtain photoluminescence spectra.
- In the 177–4500 cm−1 range (i.e., 477–601 nm), to obtain high-quality Raman spectra of graphite D- and G-bands and their second orders at a probing power of 5 mW.
- In the range 177–4500 cm−1 (i.e., 477–601 nm), to obtain qualitative Raman spectra of graphite D- and G-bands and their second orders at a probing power of 50 mW.
2.8. ATR-FTIR Analysis of Prepared Graphene Oxide and Their Fractions
2.9. Chemiluminescent System Luminol, Hydrogen Peroxide, Nitric Oxide, and Graphene Oxide Aqueous Dispersions
- Bulk fraction after synthesis and extra exfoliated by ultrasound: (a) purified (500 Da) sample and (b) non-purified sample (Figure 6a);
- Fractionated samples of (nano) graphene oxide (nanoGO) with an average mass below 14 kDa (Figure 6b).
2.10. Modeling Chemical Reaction Kinetics
- NO + H2O2 → ONOO−, representing peroxynitrite formation from NO.
- NO2− + H2O2 → ONOO−, representing peroxynitrite formation from NO2−.
- NO + H2O2 → NO2− + H2O, indicating NO oxidation by H2O2 to NO2−.
- Chemiluminescence process:- (a)
- ONOO− + Lum → Lum*, signifying the formation of the excited product.
- (b)
- Lum* → P + hν, representing luminescence.
 
- 5.
- GO + NO → P, scheme representing suppression nitric oxide activity.
- 6.
- GO + Lum* → P, signifying chemiluminescence quenching.
3. Discussion
- An improved procedure to saturate aqueous dispersions with control of the oxidized byproduct content was pronounced.
- Purified aqueous dispersions and their dialysis-separated (nano) fractions can suppress the signals in the nitric oxide CL system.
- Modeling of chemical reaction kinetics was conducted to estimate the effective rates of reactions.
3.1. Preparation of Nitric Oxide and Saturated Aqueous Solution
3.2. Characterization of Graphene Oxide
3.3. Chemiluminescence Analysis Systems
- Metal impurities [88] can influence reagents:
- Carbonaceous highly oxidized fragments (debris) can act as follows:
3.4. Modeling and Estimation of Effective Rate Constants
- Nitric oxide suppression by binding or transformation by graphene oxide oxygen groups [56], which can act as a potential antioxidant.
3.5. Comparative Analysis of Graphene Oxide as a NO Scavenger: Performance and Benchmarking
4. Materials and Methods
4.1. Reagents
4.2. Materials
4.3. Materials Purification
4.4. Equipment for the Spectroscopy Characterization and Analysis
4.5. Procedures
5. Conclusions
Author Contributions
Funding
Institutional Review Board Statement
Informed Consent Statement
Data Availability Statement
Acknowledgments
Conflicts of Interest
Abbreviations
| (bulk) GO | Purified aqGO using dialysis bag (membrane) 0.5 kDa | 
| (nano) GO | Molecular mass-dependent fractions of aqGO prepared using dialysis bag (membrane) separation in the range of MWCO from 14 to 0.5 kDa | 
| aqGO | Aqueous graphene oxide dispersions | 
| CL | Chemiluminescence | 
| c₁/₂ | Concentration showing half-suppression of signal | 
| GO | Graphene oxide | 
| Hb | Hemoglobin | 
| LOQ | Limit of quantification | 
| MetHb | Methemoglobin | 
| MWCO | Molecular-weight cut-off | 
| PBS | Phosphate-buffered saline | 
| SG | Savitzky–Golay | 
| STP | Standard temperature and pressure | 
Appendix A
References
- Peplow, M. Twenty years after the ballyhooed discovery of graphene, the atom-thin carbon sheets are finding their footing. Science 2024, 386, 138–143. [Google Scholar] [CrossRef]
- Guo, S.; Garaj, S.; Bianco, A.; Ménard-Moyon, C. Controlling covalent chemistry on graphene oxide. Nat. Rev. Phys. 2022, 4, 247–262. [Google Scholar] [CrossRef]
- Sy, S.; Jiang, G.; Zhang, J.; Zarrin, H.; Cumberland, T.; Abureden, S.; Bell, E.; Gostick, J.; Yu, A.; Chen, Z. A Near-Isotropic Proton-Conducting Porous Graphene Oxide Membrane. ACS Nano 2020, 14, 14947–14959. [Google Scholar] [CrossRef] [PubMed]
- Gurianov, K.E.; Eliseev, A.A.; Brotsman, V.A.; Poyarkov, A.A.; Ryzhov, I.A.; Zotov, T.A.; Chumakov, A.P.; Petukhov, D.I. Pervaporation desalination with graphene oxide membranes: The influence of cation type and loading. Desalination 2023, 547, 116238. [Google Scholar] [CrossRef]
- Brisebois, P.P.; Siaj, M. Harvesting graphene oxide—Years 1859 to 2019: A review of its structure, synthesis, properties and exfoliation. J. Mater. Chem. C 2020, 8, 1517–1547. [Google Scholar] [CrossRef]
- Wu, J.; Lin, H.; Moss, D.J.; Loh, K.P.; Jia, B. Graphene oxide for photonics, electronics and optoelectronics. Nat. Rev. Chem. 2023, 7, 162–183. [Google Scholar] [CrossRef] [PubMed]
- Yaghoubi, F.; Motlagh, N.S.H.; Naghib, S.M.; Haghiralsadat, F.; Jaliani, H.Z.; Moradi, A. A functionalized graphene oxide with improved cytocompatibility for stimuli-responsive co-delivery of curcumin and doxorubicin in cancer treatment. Sci. Rep. 2022, 12, 1959. [Google Scholar] [CrossRef]
- Shih, C.-Y.; Huang, W.-L.; Chiang, I.T.; Su, W.-C.; Teng, H. Biocompatible hole scavenger–assisted graphene oxide dots for photodynamic cancer therapy. Nanoscale 2021, 13, 8431–8441. [Google Scholar] [CrossRef] [PubMed]
- Peng, G.; Sinkko, H.M.; Alenius, H.; Lozano, N.; Kostarelos, K.; Bräutigam, L.; Fadeel, B. Graphene oxide elicits microbiome-dependent type 2 immune responses via the aryl hydrocarbon receptor. Nat. Nanotechnol. 2022, 18, 42–48. [Google Scholar] [CrossRef] [PubMed]
- Voitko, K.V.; Goshovska, Y.V.; Demianenko, E.M.; Sementsov, Y.I.; Zhuravskyi, S.V.; Mys, L.A.; Korkach, Y.P.; Kolev, H.; Sagach, V.F. Graphene oxide nanoflakes prevent reperfusion injury of Langendorff isolated rat heart providing antioxidative activity in situ. Free Radic. Res. 2022, 56, 328–341. [Google Scholar] [CrossRef] [PubMed]
- Nishina, Y. Mass Production of Graphene Oxide Beyond the Laboratory: Bridging the Gap Between Academic Research and Industry. ACS Nano 2024, 18, 33264–33275. [Google Scholar] [CrossRef] [PubMed]
- Donato, K.Z.; Tan, H.L.; Marangoni, V.S.; Martins, M.V.S.; Ng, P.R.; Costa, M.C.F.; Jain, P.; Lee, S.J.; Koon, G.K.W.; Donato, R.K.; et al. Graphene oxide classification and standardization. Sci. Rep. 2023, 13, 6064. [Google Scholar] [CrossRef] [PubMed]
- Malhotra, R.; Halbig, C.E.; Sim, Y.F.; Lim, C.T.; Leong, D.T.; Neto, A.H.C.; Garaj, S.; Rosa, V. Cytotoxicity survey of commercial graphene materials from worldwide. npj 2D Mater. Appl. 2022, 6, 65. [Google Scholar] [CrossRef]
- Bhunia, P.; Kumar, M.; De, S. Fast purification of graphene oxide solution by continuous counter current hollow fibre dialysis: A step towards large scale production. Can. J. Chem. Eng. 2019, 97, 1596–1604. [Google Scholar] [CrossRef]
- Mikheev, I.V.; Byvsheva, S.M.; Sozarukova, M.M.; Kottsov, S.Y.; Proskurnina, E.V.; Proskurnin, M.A. High-Throughput Preparation of Uncontaminated Graphene-Oxide Aqueous Dispersions with Antioxidant Properties by Semi-Automated Diffusion Dialysis. Nanomaterials 2022, 12, 4159. [Google Scholar] [CrossRef]
- Saikam, L.; Arthi, P.; Senthil, B.; Shanmugam, M. A review on exfoliated graphite: Synthesis and applications. Inorg. Chem. Commun. 2023, 152, 110685. [Google Scholar] [CrossRef]
- de Lima, A.H.; Scarpa, I.; Azevedo, N.C.L.; Lelis, G.C.; Strauss, M.; Martinez, D.S.T.; Furlan de Oliveira, R. Oxidative debris in graphene oxide: A decade of research. J. Mater. Chem. C 2023, 11, 12429–12452. [Google Scholar] [CrossRef]
- Tabish, T.A.; Zhang, S.; Winyard, P.G. Developing the next generation of graphene-based platforms for cancer therapeutics: The potential role of reactive oxygen species. Redox Biol. 2018, 15, 34–40. [Google Scholar] [CrossRef] [PubMed]
- Xie, J.; Wang, N.; Dong, X.; Wang, C.; Du, Z.; Mei, L.; Yong, Y.; Huang, C.; Li, Y.; Gu, Z.; et al. Graphdiyne Nanoparticles with High Free Radical Scavenging Activity for Radiation Protection. ACS Appl. Mater. Interfaces 2019, 11, 2579–2590. [Google Scholar] [CrossRef] [PubMed]
- Hsieh, H.-S.; Zepp, R.G. Reactivity of graphene oxide with reactive oxygen species (hydroxyl radical, singlet oxygen, and superoxide anion). Environ. Sci. Nano 2019, 6, 3734–3744. [Google Scholar] [CrossRef] [PubMed]
- Robert, A.; Meunier, B. How to Define a Nanozyme. ACS Nano 2022, 16, 6956–6959. [Google Scholar] [CrossRef] [PubMed]
- Le, P.G.; Le, X.A.; Duong, H.S.; Jung, S.H.; Kim, T.; Kim, M.I. Ultrahigh peroxidase-like catalytic performance of Cu–N4 and Cu–N4S active sites-containing reduced graphene oxide for sensitive electrochemical biosensing. Biosens. Bioelectron. 2024, 255, 116259. [Google Scholar] [CrossRef]
- Feng, W.; Wang, J.; Li, B.; Liu, Y.; Xu, D.; Cheng, K.; Zhuang, J. Graphene oxide leads to mitochondrial-dependent apoptosis by activating ROS-p53-mPTP pathway in intestinal cells. Int. J. Biochem. Cell Biol. 2022, 146, 106206. [Google Scholar] [CrossRef] [PubMed]
- Hayyan, M.; Hashim, M.A.; AlNashef, I.M. Superoxide Ion: Generation and Chemical Implications. Chem. Rev. 2016, 116, 3029–3085. [Google Scholar] [CrossRef] [PubMed]
- Radich, E.J.; Kamat, P.V. Making Graphene Holey. Gold-Nanoparticle-Mediated Hydroxyl Radical Attack on Reduced Graphene Oxide. ACS Nano 2013, 7, 5546–5557. [Google Scholar] [CrossRef]
- Jin, G.H.; Ko, E.; Kim, M.K.; Tran, V.-K.; Son, S.E.; Geng, Y.; Hur, W.; Seong, G.H. Graphene oxide-gold nanozyme for highly sensitive electrochemical detection of hydrogen peroxide. Sens. Actuators B Chem. 2018, 274, 201–209. [Google Scholar] [CrossRef]
- Cardoso, M.A.; Duarte, A.J.; Gonçalves, H.M.R. Carbon dots as Reactive Nitrogen Species nanosensors. Anal. Chim. Acta 2022, 1202, 339654. [Google Scholar] [CrossRef] [PubMed]
- Johns, R.A. Endothelium-derived relaxing factor: Basic review and clinical implications. J. Cardiothorac. Vasc. Anesth. 1991, 5, 69–79. [Google Scholar] [CrossRef]
- Moncada, S.; Higgs, A. The L-Arginine-Nitric Oxide Pathway. N. Engl. J. Med. 1993, 329, 2002–2012. [Google Scholar] [CrossRef]
- Poderoso, J.J.; Helfenberger, K.; Poderoso, C. The effect of nitric oxide on mitochondrial respiration. Nitric Oxide 2019, 88, 61–72. [Google Scholar] [CrossRef]
- Vincent, S.R.; Hope, B.T. Neurons that say NO. Trends Neurosci. 1992, 15, 108–113. [Google Scholar] [CrossRef] [PubMed]
- Moncada, S.; Palmer, R.M.; Higgs, E.A. Nitric oxide: Physiology, pathophysiology, and pharmacology. Pharmacol. Rev. 1991, 43, 109–142. [Google Scholar] [CrossRef]
- Kolb, H.; Kolb-Bachofen, V. Nitric oxide: A pathogenetic factor in autoimmunity. Immunol. Today 1992, 13, 157–160. [Google Scholar] [CrossRef] [PubMed]
- Wenninger, N.; Bračič, U.; Kollau, A.; Pungjunun, K.; Leitinger, G.; Kalcher, K.; Ortner, A. Development of an electrochemical sensor for nitric oxide based on carbon paste electrode modified with Nafion, gold nanoparticles and graphene nanoribbons. Sens. Actuators B Chem. 2021, 346, 130532. [Google Scholar] [CrossRef]
- Makhova, N.N.; Fershtat, L.L. 5.05-1,2,5-Oxadiazoles. In Comprehensive Heterocyclic Chemistry IV; Black, D.S., Cossy, J., Stevens, C.V., Eds.; Elsevier: Oxford, UK, 2022; pp. 190–251. [Google Scholar]
- Peng, G.; Montenegro, M.F.; Ntola, C.N.M.; Vranic, S.; Kostarelos, K.; Vogt, C.; Toprak, M.S.; Duan, T.; Leifer, K.; Bräutigam, L.; et al. Nitric oxide-dependent biodegradation of graphene oxide reduces inflammation in the gastrointestinal tract. Nanoscale 2020, 12, 16730–16737. [Google Scholar] [CrossRef] [PubMed]
- Wink, D.A.; Mitchell, J.B. Chemical biology of nitric oxide: Insights into regulatory, cytotoxic, and cytoprotective mechanisms of nitric oxide. Free Radic. Biol. Med. 1998, 25, 434–456. [Google Scholar] [CrossRef]
- Lancaster, J.R., Jr. A tutorial on the diffusibility and reactivity of free nitric oxide. Nitric Oxide 1997, 1, 18–30. [Google Scholar] [CrossRef] [PubMed]
- Sato, M.; Nakajima, T.; Goto, M.; Umezawa, Y. Cell-based indicator to visualize picomolar dynamics of nitric oxide release from living cells. Anal. Chem. 2006, 78, 8175–8182. [Google Scholar] [CrossRef] [PubMed]
- Bai, J.; Wang, Q.; Qi, J.; Yu, H.; Wang, C.; Wang, X.; Ren, Y.; Yang, F. Promoting effect of baicalin on nitric oxide production in CMECs via activating the PI3K-AKT-eNOS pathway attenuates myocardial ischemia–reperfusion injury. Phytomedicine 2019, 63, 153035. [Google Scholar] [CrossRef]
- Granger, D.L.; Taintor, R.R.; Boockvar, K.S.; Hibbs, J.B., Jr. Measurement of nitrate and nitrite in biological samples using nitrate reductase and Griess reaction. Methods Enzym. 1996, 268, 142–151. [Google Scholar] [CrossRef]
- Tsikas, D. Analysis of nitrite and nitrate in biological fluids by assays based on the Griess reaction: Appraisal of the Griess reaction in the L-arginine/nitric oxide area of research. J. Chromatogr. B Anal. Technol. Biomed. Life Sci. 2007, 851, 51–70. [Google Scholar] [CrossRef] [PubMed]
- Schrör, K.; Förster, S.; Woditsch, I. On-line measurement of nitric oxide release from organic nitrates in the intact coronary circulation. Naunyn-Schmiedeberg's Arch. Pharmacol. 1991, 344, 240–246. [Google Scholar] [CrossRef] [PubMed]
- Murphy, M.E.; Noack, E. Nitric oxide assay using hemoglobin method. Methods Enzym. 1994, 233, 240–250. [Google Scholar] [CrossRef]
- Sugiyama, T.; Michel, T. Thiol-metabolizing proteins and endothelial redox state: Differential modulation of eNOS and biopterin pathways. Am. J. Physiol.-Heart Circ. Physiol. 2010, 298, H194–H201. [Google Scholar] [CrossRef] [PubMed]
- Malinski, T.; Taha, Z. Nitric oxide release from a single cell measured in situ by a porphyrinic-based microsensor. Nature 1992, 358, 676–678. [Google Scholar] [CrossRef]
- Kikuchi, K.; Nagano, T.; Hayakawa, H.; Hirata, Y.; Hirobe, M. Detection of nitric oxide production from a perfused organ by a luminol-hydrogen peroxide system. Anal. Chem. 1993, 65, 1794–1799. [Google Scholar] [CrossRef]
- Robinson, J.K.; Bollinger, M.J.; Birks, J.W. Luminol/H2O2 Chemiluminescence Detector for the Analysis of Nitric Oxide in Exhaled Breath. Anal. Chem. 1999, 71, 5131–5136. [Google Scholar] [CrossRef] [PubMed]
- Proskurnina, E.V.; Izmailov, D.Y.; Sozarukova, M.M.; Zhuravleva, T.A.; Leneva, I.A.; Poromov, A.A. Antioxidant Potential of Antiviral Drug Umifenovir. Molecules 2020, 25, 1577. [Google Scholar] [CrossRef]
- Mikheev, I.V.; Sozarukova, M.M.; Izmailov, D.Y.; Kareev, I.E.; Proskurnina, E.V.; Proskurnin, M.A. Antioxidant Potential of Aqueous Dispersions of Fullerenes C60, C70, and Gd@C82. Int. J. Mol. Sci. 2021, 22, 5838. [Google Scholar] [CrossRef]
- Dorhout, J.M.; Anderson, A.S.; Batista, E.; Carlson, R.K.; Currier, R.P.; Martinez, R.K.; Clegg, S.M.; Wilkerson, M.P.; Nowak-Lovato, K. NOx speciation from copper dissolution in nitric acid/water solutions using FTIR spectroscopy. J. Mol. Spectrosc. 2020, 372, 111334. [Google Scholar] [CrossRef]
- Petruci, J.F.d.S.; Tütüncü, E.; Cardoso, A.A.; Mizaikoff, B. Real-Time and Simultaneous Monitoring of NO, NO2, and N2O Using Substrate–Integrated Hollow Waveguides Coupled to a Compact Fourier Transform Infrared (FT-IR) Spectrometer. Appl. Spectrosc. 2019, 73, 98–103. [Google Scholar] [CrossRef]
- Meyerhoff, M.E.; Howland, J.L. Methods in nitric oxide research: Edited by M Feelisch and J S Stamler. pp 712. John Wiley and Sons, New York. 1996. $69.95 ISBN 0-471-95524-8. Biochem. Educ. 1997, 25, 184–185. [Google Scholar] [CrossRef]
- Szabó, T.; Berkesi, O.; Forgó, P.; Josepovits, K.; Sanakis, Y.; Petridis, D.; Dékány, I. Evolution of Surface Functional Groups in a Series of Progressively Oxidized Graphite Oxides. Chem. Mater. 2006, 18, 2740–2749. [Google Scholar] [CrossRef]
- Yu, H.; Zhang, B.; Bulin, C.; Li, R.; Xing, R. High-efficient Synthesis of Graphene Oxide Based on Improved Hummers Method. Sci. Rep. 2016, 6, 36143. [Google Scholar] [CrossRef] [PubMed]
- Lerf, A.; He, H.; Forster, M.; Klinowski, J. Structure of Graphite Oxide Revisited. J. Phys. Chem. B 1998, 102, 4477–4482. [Google Scholar] [CrossRef]
- Brusko, V.; Khannanov, A.; Rakhmatullin, A.; Dimiev, A.M. Unraveling the infrared spectrum of graphene oxide. Carbon 2024, 229, 119507. [Google Scholar] [CrossRef]
- Khalili, D. Graphene oxide: A promising carbocatalyst for the regioselective thiocyanation of aromatic amines, phenols, anisols and enolizable ketones by hydrogen peroxide/KSCN in water. New J. Chem. 2016, 40, 2547–2553. [Google Scholar] [CrossRef]
- Qadoos, A.; Rashid, M.; Naeem, M.N.; Jiang, Z.; Moin, M.; Babar, M. Bandgap engineering in graphene oxide (GO) via integrating DFT calculations with atmospheric-pressure microplasma (AMP) treatment for optoelectronic applications. Hybrid Adv. 2025, 8, 100353. [Google Scholar] [CrossRef]
- Painter, P.C.; Starsinic, M.; Squires, E.; Davis, A.A. Concerning the 1600 cm−1 region in the i.r. spectrum of coal. Fuel 1983, 62, 742–744. [Google Scholar] [CrossRef]
- Hadjiivanov, K.I.; Panayotov, D.A.; Mihaylov, M.Y.; Ivanova, E.Z.; Chakarova, K.K.; Andonova, S.M.; Drenchev, N.L. Power of Infrared and Raman Spectroscopies to Characterize Metal-Organic Frameworks and Investigate Their Interaction with Guest Molecules. Chem. Rev. 2021, 121, 1286–1424. [Google Scholar] [CrossRef] [PubMed]
- Abu-Dalo, M.A.; Al-Atoom, M.A.; Aljarrah, M.T.; Albiss, B.A. Preparation and Characterization of Polymer Membranes Impregnated with Carbon Nanotubes for Olive Mill Wastewater. Polymers 2022, 14, 457. [Google Scholar] [CrossRef]
- Shchedrina, N.; Nemeth, G.; Borondics, F.; Ollier, N.; Lancry, M. Nano-FTIR spectroscopy reveals SiO2 densification within fs-laser induced nanogratings. Nanoscale Adv. 2024, 6, 5164–5170. [Google Scholar] [CrossRef]
- Zhang, M.; Zhang, Y.; Li, C.; Jing, N.; Shao, S.; Wang, F.; Mei, H.; Rogers, K.M.; Kong, X.; Yuan, Y. Identification of biodegradable plastics using differential scanning calorimetry and carbon composition with chemometrics. J. Hazard. Mater. Adv. 2023, 10, 100260. [Google Scholar] [CrossRef]
- Lu, Y.H.; Chen, W.; Feng, Y.P.; He, P.M. Tuning the Electronic Structure of Graphene by an Organic Molecule. J. Phys. Chem. B 2009, 113, 2–5. [Google Scholar] [CrossRef] [PubMed]
- Maes, M.; Galecki, P.; Chang, Y.S.; Berk, M. A review on the oxidative and nitrosative stress (O&NS) pathways in major depression and their possible contribution to the (neuro)degenerative processes in that illness. Prog. Neuro-Psychopharmacol. Biol. Psychiatry 2011, 35, 676–692. [Google Scholar] [CrossRef]
- Tan, S.P.; Piri, M. Modeling the Solubility of Nitrogen Dioxide in Water Using Perturbed-Chain Statistical Associating Fluid Theory. Ind. Eng. Chem. Res. 2013, 52, 16032–16043. [Google Scholar] [CrossRef]
- Rumble, J.R. CRC Handbook of Chemistry and Physics; CRC Press: Boca Raton, FL, USA, 2022. [Google Scholar]
- Hetrick, E.M.; Schoenfisch, M.H. Analytical Chemistry of Nitric Oxide. Annu. Rev. Anal. Chem. 2009, 2, 409–433. [Google Scholar] [CrossRef] [PubMed]
- Bendikov, T.A.; Kim, J.; Harmon, T.C. Development and environmental application of a nitrate selective microsensor based on doped polypyrrole films. Sens. Actuators B Chem. 2005, 106, 512–517. [Google Scholar] [CrossRef]
- Buck, R.P.; Lindner, E. Recommendations for nomenclature of ionselective electrodes (IUPAC Recommendations 1994). Pure Appl. Chem. 1994, 66, 2527–2536. [Google Scholar] [CrossRef]
- Bard, A.J.; Faulkner, L.R.; White, H.S. Electrochemical Methods: Fundamentals and Applications; Wiley: Hoboken, NJ, USA, 2022. [Google Scholar]
- Gabor, G. The Stability of Nitric Oxide in Acid Solutions. Microchem. J. 1997, 56, 171–176. [Google Scholar] [CrossRef]
- Venpin, W.K.P.F.; Kennedy, E.M.; Mackie, J.C.; Dlugogorski, B.Z. Trapping of Nitric Oxide, Generated during Sensitization of Ammonium Nitrate Emulsion Explosive, by Aromatic Nitroso Sulfonates. Ind. Eng. Chem. Res. 2013, 52, 10561–10568. [Google Scholar] [CrossRef]
- Kudin, K.N.; Ozbas, B.; Schniepp, H.C.; Prud’homme, R.K.; Aksay, I.A.; Car, R. Raman Spectra of Graphite Oxide and Functionalized Graphene Sheets. Nano Lett. 2008, 8, 36–41. [Google Scholar] [CrossRef] [PubMed]
- Claramunt, S.; Varea, A.; López-Díaz, D.; Velázquez, M.M.; Cornet, A.; Cirera, A. The Importance of Interbands on the Interpretation of the Raman Spectrum of Graphene Oxide. J. Phys. Chem. C 2015, 119, 10123–10129. [Google Scholar] [CrossRef]
- Davardoostmanesh, M.; Goharshadi, E.K.; Ahmadzadeh, H. Electrophoretic size fractionation of graphene oxide nanosheets. New J. Chem. 2019, 43, 5047–5054. [Google Scholar] [CrossRef]
- Osipov, V.Y.; Aleksenskiy, A.E.; Shames, A.I.; Panich, A.M.; Shestakov, M.S.; Vul’, A.Y. Infrared absorption study of surface functional groups providing chemical modification of nanodiamonds by divalent copper ion complexes. Diam. Relat. Mater. 2011, 20, 1234–1238. [Google Scholar] [CrossRef]
- Terada, D.; Segawa, T.F.; Shames, A.I.; Onoda, S.; Ohshima, T.; Ōsawa, E.; Igarashi, R.; Shirakawa, M. Monodisperse Five-Nanometer-Sized Detonation Nanodiamonds Enriched in Nitrogen-Vacancy Centers. ACS Nano 2019, 13, 6461–6468. [Google Scholar] [CrossRef] [PubMed]
- Matsumoto, I.; Sekiya, R.; Haino, T. A protocol for size separation of nanographenes. RSC Adv. 2019, 9, 33843–33846. [Google Scholar] [CrossRef] [PubMed]
- Khabibullin, V.R.; Ratova, D.-M.V.; Stolbov, D.N.; Mikheev, I.V.; Proskurnin, M.A. The Thermophysical and Physicochemical Properties of the Aqueous Dispersion of Graphene Oxide Dual-Beam Thermal Lens Spectrometry. Nanomaterials 2023, 13, 2126. [Google Scholar] [CrossRef]
- Narita, A.; Wang, X.-Y.; Feng, X.; Müllen, K. New advances in nanographene chemistry. Chem. Soc. Rev. 2015, 44, 6616–6643. [Google Scholar] [CrossRef]
- Inagaki, M.; Takai, K. Terminology for graphene to graphite and for graphene oxide to graphite oxide. Carbon Rep. 2022, 1, 59–69. [Google Scholar] [CrossRef]
- Kodamatani, H.; Kubo, S.; Takeuchi, A.; Kanzaki, R.; Tomiyasu, T. Sensitive Detection of Nitrite and Nitrate in Seawater by 222 nm UV-Irradiated Photochemical Conversion to Peroxynitrite and Ion Chromatography-Luminol Chemiluminescence System. Environ. Sci. Technol. 2023, 57, 5924–5933. [Google Scholar] [CrossRef] [PubMed]
- Deng, Y.; Shi, X.; Hu, X.; Xu, L.; Liu, X.; Gao, G.; Wang, R.; Liang, G. A Chemiluminescent Probe for Imaging Peroxynitrite in Inflammatory Cells and Tissues. Anal. Chem. 2023, 95, 6496–6500. [Google Scholar] [CrossRef] [PubMed]
- Radi, R.; Cosgrove, T.P.; Beckman, J.S.; Freeman, B.A. Peroxynitrite-induced luminol chemiluminescence. Biochem. J. 1993, 290, 51–57. [Google Scholar] [CrossRef]
- Cabello, M.C.; Chen, G.; Melville, M.J.; Osman, R.; Kumar, G.D.; Domaille, D.W.; Lippert, A.R. Ex Tenebris Lux: Illuminating Reactive Oxygen and Nitrogen Species with Small Molecule Probes. Chem. Rev. 2024, 124, 9225–9375. [Google Scholar] [CrossRef] [PubMed]
- Bhunia, P.; Kumar, M.; De, S. Rapid and efficient removal of ionic impurities from graphene oxide through hollow fiber diafiltration. Sep. Purif. Technol. 2019, 209, 103–111. [Google Scholar] [CrossRef]
- Wang, Y.; Liu, Y.; Liu, Y. Elimination of nitric oxide using new Fenton process based on synergistic catalysis: Optimization and mechanism. Chem. Eng. J. 2019, 372, 92–98. [Google Scholar] [CrossRef]
- Song, Y.; Zhu, S.; Xiang, S.; Zhao, X.; Zhang, J.; Zhang, H.; Fu, Y.; Yang, B. Investigation into the fluorescence quenching behaviors and applications of carbon dots. Nanoscale 2014, 6, 4676–4682. [Google Scholar] [CrossRef] [PubMed]
- Bonanni, A.; Ambrosi, A.; Chua, C.K.; Pumera, M. Oxidation Debris in Graphene Oxide Is Responsible for Its Inherent Electroactivity. ACS Nano 2014, 8, 4197–4204. [Google Scholar] [CrossRef]
- Cui, C.; Sun, Y.; Huang, J. Separation of graphene oxides of different sizes by multi-layer dialysis and anti-friction and lubrication performance. Green Process. Synth. 2023, 12, 20230114. [Google Scholar] [CrossRef]
- Szabo, T.; Maroni, P.; Szilagyi, I. Size-dependent aggregation of graphene oxide. Carbon 2020, 160, 145–155. [Google Scholar] [CrossRef]
- Gascho, J.L.S.; Costa, S.F.; Recco, A.A.C.; Pezzin, S.H. Graphene Oxide Films Obtained by Vacuum Filtration: X-Ray Diffraction Evidence of Crystalline Reorganization. J. Nanomater. 2019, 2019, 5963148. [Google Scholar] [CrossRef]
- Bu, Y.; Li, K.; Xiong, Z.; Liang, Z.; Zhang, J.; Bi, Z.; Zhang, H. Evolution of layer distance and structural arrangement of graphene oxide with various oxygen content and functional types in low temperature: A ReaxFF molecular dynamics simulation. Appl. Surf. Sci. 2022, 572, 151390. [Google Scholar] [CrossRef]
- Sekiya, R.; Arimura, S.; Moriguchi, H.; Haino, T. Chirality generation on carbon nanosheets by chemical modification. Nanoscale 2025, 17, 774–787. [Google Scholar] [CrossRef] [PubMed]
- Navalon, S.; Dhakshinamoorthy, A.; Alvaro, M.; Antonietti, M.; García, H. Active sites on graphene-based materials as metal-free catalysts. Chem. Soc. Rev. 2017, 46, 4501–4529. [Google Scholar] [CrossRef]
- Wang, S.; Zhu, J.; Zhang, Y.; Liu, Q.; Chen, G.; Kong, X. Identifying the Active Site on Graphene Oxide Nanosheets for Ambient Electrocatalytic Nitrogen Reduction. Inorg. Chem. 2020, 59, 11108–11112. [Google Scholar] [CrossRef] [PubMed]
- Amato, F.; Ferrari, I.; Motta, A.; Zanoni, R.; Dalchiele, E.A.; Marrani, A.G. Assessing the evolution of oxygenated functional groups on the graphene oxide surface upon mild thermal annealing in water. RSC Adv. 2023, 13, 29308–29315. [Google Scholar] [CrossRef] [PubMed]
- Arnault, J.-C.; Petit, T.; Girard, H.; Chavanne, A.; Gesset, C.; Sennour, M.; Chaigneau, M. Surface chemical modifications and surface reactivity of nanodiamonds hydrogenated by CVD plasma. Phys. Chem. Chem. Phys. 2011, 13, 11481–11487. [Google Scholar] [CrossRef]
- Gyarmati, B.; Farah, S.; Farkas, A.; Sáfrán, G.; Voelker-Pop, L.M.; László, K. Long-Term Aging of Concentrated Aqueous Graphene Oxide Suspensions Seen by Rheology and Raman Spectroscopy. Nanomaterials 2022, 12, 916. [Google Scholar] [CrossRef] [PubMed]
- Palacio Lozano, D.C.; Jones, H.E.; Ramirez Reina, T.; Volpe, R.; Barrow, M.P. Unlocking the potential of biofuels via reaction pathways in van Krevelen diagrams. Green Chem. 2021, 23, 8949–8963. [Google Scholar] [CrossRef]
- Gocyla, M.; Pisarek, M.; Holdynski, M.; Opallo, M. Electrochemical detection of graphene oxide. Electrochem. Commun. 2018, 96, 77–82. [Google Scholar] [CrossRef]
- Yang, S.; Chen, Q.; Shi, M.; Zhang, Q.; Lan, S.; Maimaiti, T.; Li, Q.; Ouyang, P.; Tang, K.; Yang, S.-T. Fast Identification and Quantification of Graphene Oxide in Aqueous Environment by Raman Spectroscopy. Nanomaterials 2020, 10, 770. [Google Scholar] [CrossRef] [PubMed]
- Orth, E.S.; Ferreira, J.G.L.; Fonsaca, J.E.S.; Blaskievicz, S.F.; Domingues, S.H.; Dasgupta, A.; Terrones, M.; Zarbin, A.J.G. pKa determination of graphene-like materials: Validating chemical functionalization. J. Colloid Interface Sci. 2016, 467, 239–244. [Google Scholar] [CrossRef] [PubMed]
- Lee, C.T.; Yu, L.E.; Wang, J.Y. Nitroxide antioxidant as a potential strategy to attenuate the oxidative/nitrosative stress induced by hydrogen peroxide plus nitric oxide in cultured neurons. Nitric Oxide 2016, 54, 38–50. [Google Scholar] [CrossRef] [PubMed]
- Danushika, G.; Yap, P.L.; Losic, D. Quantifying the Epoxide Group and Epoxide Index in Graphene Oxide by Catalyst-Assisted Acid Titration. Anal. Chem. 2024, 96, 19339–19347. [Google Scholar] [CrossRef]
- Janzen, E.G.; Wilcox, A.L.; Manoharan, V. Reactions of nitric oxide with phenolic antioxidants and phenoxyl radicals. J. Org. Chem. 1993, 58, 3597–3599. [Google Scholar] [CrossRef]
- Yenes, S.; Messeguer, A. A study of the reaction of different phenol substrates with nitric oxide and peroxynitrite. Tetrahedron 1999, 55, 14111–14122. [Google Scholar] [CrossRef]
- Shepherd, M.; Giordano, D.; Verde, C.; Poole, R.K. The Evolution of Nitric Oxide Function: From Reactivity in the Prebiotic Earth to Examples of Biological Roles and Therapeutic Applications. Antioxidants 2022, 11, 1222. [Google Scholar] [CrossRef] [PubMed]
- Jedrzejczak-Silicka, M.; Urbas, K.; Mijowska, E.; Rakoczy, R. The covalent and non-covalent conjugation of graphene oxide with hydroxycamptothecin in hyperthermia for its anticancer activity. J. Alloys Compd. 2017, 709, 112–124. [Google Scholar] [CrossRef]
- Radovic, L.R. Active Sites in Graphene and the Mechanism of CO2 Formation in Carbon Oxidation. J. Am. Chem. Soc. 2009, 131, 17166–17175. [Google Scholar] [CrossRef]
- Marković, Z.M.; Jovanović, S.P.; Mašković, P.Z.; Mojsin, M.M.; Stevanović, M.J.; Danko, M.; Mičušík, M.; Jovanović, D.J.; Kleinová, A.; Špitalský, Z.; et al. Graphene oxide size and structure pro-oxidant and antioxidant activity and photoinduced cytotoxicity relation on three cancer cell lines. J. Photochem. Photobiol. B Biol. 2019, 200, 111647. [Google Scholar] [CrossRef] [PubMed]
- Wu, X.; Xing, Y.; Zeng, K.; Huber, K.; Zhao, J.X. Study of Fluorescence Quenching Ability of Graphene Oxide with a Layer of Rigid and Tunable Silica Spacer. Langmuir 2018, 34, 603–611. [Google Scholar] [CrossRef]
- Tero, R.; Lau, J.M.Y.; Kanomata, K.; Hirose, F. Controlling fluorescence quenching efficiency by graphene oxide in supported lipid bilayers using SiO2 layer fabricated by atomic layer deposition. Jpn. J. Appl. Phys. 2023, 62, SC1041. [Google Scholar] [CrossRef]
- Helms, C.; Kim-Shapiro, D.B. Hemoglobin-mediated nitric oxide signaling. Free Radic. Biol. Med. 2013, 61, 464–472. [Google Scholar] [CrossRef] [PubMed]
- Flogel, U.; Merx, M.W.; Godecke, A.; Decking, U.K.; Schrader, J. Myoglobin: A scavenger of bioactive NO. Proc. Natl. Acad. Sci. USA 2001, 98, 735–740. [Google Scholar] [CrossRef] [PubMed]
- Patel, R.P. Biochemical aspects of the reaction of hemoglobin and NO: Implications for Hb-based blood substitutes. Free Radic. Biol. Med. 2000, 28, 1518–1525. [Google Scholar] [CrossRef]
- Lane, P.; Gross, S. Hemoglobin as a chariot for NO bioactivity. Nat. Med. 2002, 8, 657–658. [Google Scholar] [CrossRef]
- Osipov, A.N.; Stepanov, G.O.; Vladimirov, Y.A.; Kozlov, A.V.; Kagan, V.E. Regulation of cytochrome C peroxidase activity by nitric oxide and laser irradiation. Biochemistry 2006, 71, 1128–1132. [Google Scholar] [CrossRef]
- Ghafoor, D.D.; Kekilli, D.; Abdullah, G.H.; Dworkowski, F.S.; Hassan, H.G.; Wilson, M.T.; Strange, R.W.; Hough, M.A. Hydrogen bonding of the dissociated histidine ligand is not required for formation of a proximal NO adduct in cytochrome c′. J. Biol. Inorg. Chem. 2015, 20, 949–956. [Google Scholar] [CrossRef] [PubMed]
- Lorenz, P.; Roychowdhury, S.; Engelmann, M.; Wolf, G.; Horn, T.F. Oxyresveratrol and resveratrol are potent antioxidants and free radical scavengers: Effect on nitrosative and oxidative stress derived from microglial cells. Nitric Oxide 2003, 9, 64–76. [Google Scholar] [CrossRef]
- Haruyama, T.; Shiino, S.; Yanagida, Y.; Kobatake, E.; Aizawa, M. Two types of electrochemical nitric oxide (NO) sensing systems with heat-denatured Cyt C and radical scavenger PTIO. Biosens. Bioelectron. 1998, 13, 763–769. [Google Scholar] [CrossRef] [PubMed]
- Sueishi, Y.; Hori, M.; Kita, M.; Kotake, Y. Nitric oxide (NO) scavenging capacity of natural antioxidants. Food Chem. 2011, 129, 866–870. [Google Scholar] [CrossRef] [PubMed]
- ISO 23497:2019; Determination of pH Value—Technical Buffer Solutions for the Calibration of Technical Measuring Installations. International Organization for Standardization: Geneva, Switzerland, 2019.
- Chumakova, N.A.; Rebrikova, A.T.; Talyzin, A.V.; Paramonov, N.A.; Vorobiev, A.K.; Korobov, M.V. Properties of Graphite Oxide Powders and Membranes as Revealed by Electron Paramagnetic Resonance Spectroscopy. J. Phys. Chem. C 2018, 122, 22750–22759. [Google Scholar] [CrossRef]
- Volkov, D.S.; Krivoshein, P.K.; Proskurnin, M.A. Detonation Nanodiamonds: A Comparison Study by Photoacoustic, Diffuse Reflectance, and Attenuated Total Reflection FTIR Spectroscopies. Nanomaterials 2020, 10, 2501. [Google Scholar] [CrossRef] [PubMed]
- ISO 8655-2:2022; Piston-Operated Volumetric Apparatus. International Organization for Standardization: Geneva, Switzerland, 2022.
- Danzer, K.; Currie, L.A. Guidelines for calibration in analytical chemistry. Part I. Fundamentals and single component calibration (IUPAC Recommendations 1998). Pure Appl. Chem. 1998, 70, 993–1014. [Google Scholar] [CrossRef]
- ISO/IEC 17025:2017; General Requirements for the Competence of Testing and Calibration Laboratories; International Organization for Standardization: Geneva, Switzerland, 2017.
- Ischiropoulos, H.; Al-Mehdi, A.B. Peroxynitrite-mediated oxidative protein modifications. FEBS Lett. 1995, 364, 279–282. [Google Scholar] [CrossRef] [PubMed]
- Herold, S.; Shivashankar, K. Metmyoglobin and Methemoglobin Catalyze the Isomerization of Peroxynitrite to Nitrate. Biochemistry 2003, 42, 14036–14046. [Google Scholar] [CrossRef] [PubMed]
- Torrisi, L.; Cutroneo, M.; Torrisi, A.; Silipigni, L. Measurements on Five Characterizing Properties of Graphene Oxide and Reduced Graphene Oxide Foils. Phys. Status Solidi (A) 2022, 219, 2100628. [Google Scholar] [CrossRef]










| Wavenumber, cm−1 | Band Assignment in a Graph | Group in a Bulk GO Fraction Purified by 0.5 kDa Membrane | Fraction < 14 kDa | 1.0 < Fraction < 3.5 kDa | References | 
|---|---|---|---|---|---|
| 1730 | a | C=O stretching | Lowered | Disappeared | [57] | 
| 1620 | b | H2O bands | Disappeared (overlapped?) | Disappeared (overlapped?) | [58] | 
| 1590 | c | C=C (aromatic) | Increased | Shifted to 1600 | [59] | 
| 1600 | d | C=C or highly conjugated, hydrogen-bonded carbonyl | shifted to 1590 | Appeared | [60] | 
| 1404 | e | −C(=O)−O | Noticeable increase | Noticeable increase | [61] | 
| 1368 | f | –C–O–H bending | Significantly lowered | Disappeared | [57] | 
| 1335 | g | Unclear | Unclear | Appeared C–N or COOH | [62] | 
| 1285 | h | O=C–OH | Did not appear | Appeared | [61] | 
| 1258 | i | Water protonates the carboxylate groups giving rise to −COOH bands | Increased | Increased | [61] | 
| 1233 | j | Epoxy C–O–C | Lowered | Lowered | [58] | 
| 1107 | k | Not determined or Si–O–Si asymmetric | Appeared | Appeared | [63] | 
| 1064 | l | –C–OH stretching | Significantly lowered | Significantly lowered | [57] | 
| 986 | m | Epoxy stretching | Lowered | Significantly lowered | [57] | 
| 929 | n | Not appeared | Did not appear | C–O trans telescopic vibration | [64,65] | 
| Reactive Species | ||
|---|---|---|
| NO | NO2− | |
| Initial concentrations, μM | 30 | 100 | 
| Value of simulated constant, nM−1s−1 | ||
| Model CL system with nitric oxide (NO) + H2O2 + Luminol | ||
| 1. NO + H2O2 → ONOO− | 0.55 | Formation of reactive nitrogen species | 
| 2. NO2− + H2O2 → ONOO− | 0.083 | |
| 3. NO + H2O2 → NO2− + H2O | 0.28 | NO oxidation | 
| (4a) ONOO− + Lum → Lum* | 0.55 | Formation of an excited product | 
| (4b) Lum* → P + hν | 0.28 | Luminescence | 
| CL system with GO + nitric oxide + H2O2 + luminol | ||
| GO + NO → P | 1.94 | Antioxidant activity | 
| GO + Lum* → P | 0.028 | CL quenching | 
| Disclaimer/Publisher’s Note: The statements, opinions and data contained in all publications are solely those of the individual author(s) and contributor(s) and not of MDPI and/or the editor(s). MDPI and/or the editor(s) disclaim responsibility for any injury to people or property resulting from any ideas, methods, instructions or products referred to in the content. | 
© 2025 by the authors. Licensee MDPI, Basel, Switzerland. This article is an open access article distributed under the terms and conditions of the Creative Commons Attribution (CC BY) license (https://creativecommons.org/licenses/by/4.0/).
Share and Cite
Chermashentsev, G.R.; Mikheev, I.V.; Ratova, D.-M.V.; Proskurnina, E.V.; Proskurnin, M.A. Unveiling the Role of Fractionated Graphene Oxide in Nitric Oxide Scavenging. Molecules 2025, 30, 1069. https://doi.org/10.3390/molecules30051069
Chermashentsev GR, Mikheev IV, Ratova D-MV, Proskurnina EV, Proskurnin MA. Unveiling the Role of Fractionated Graphene Oxide in Nitric Oxide Scavenging. Molecules. 2025; 30(5):1069. https://doi.org/10.3390/molecules30051069
Chicago/Turabian StyleChermashentsev, Grigoriy R., Ivan V. Mikheev, Daria-Mariia V. Ratova, Elena V. Proskurnina, and Mikhail A. Proskurnin. 2025. "Unveiling the Role of Fractionated Graphene Oxide in Nitric Oxide Scavenging" Molecules 30, no. 5: 1069. https://doi.org/10.3390/molecules30051069
APA StyleChermashentsev, G. R., Mikheev, I. V., Ratova, D.-M. V., Proskurnina, E. V., & Proskurnin, M. A. (2025). Unveiling the Role of Fractionated Graphene Oxide in Nitric Oxide Scavenging. Molecules, 30(5), 1069. https://doi.org/10.3390/molecules30051069
 
         
                                                

 
                         
       