Structural Insights into New Bi(III) Coordination Polymers with Pyridine-2,3-Dicarboxylic Acid: Photoluminescence Properties and Anti-Helicobacter pylori Activity
Abstract
1. Introduction
2. Results and Discussion
2.1. Molecular Structure and Lone Pair Stereoactivity
2.2. Topology and Supramolecular Structure
2.3. FT-IR Analysis
2.4. Thermal Analysis
2.5. Photoluminescence Properties
2.6. Solubility and Stability
2.7. Antibacterial Activity towards Helicobacter Pylori
3. Experimental
3.1. Materials and Physicochemical Measurements
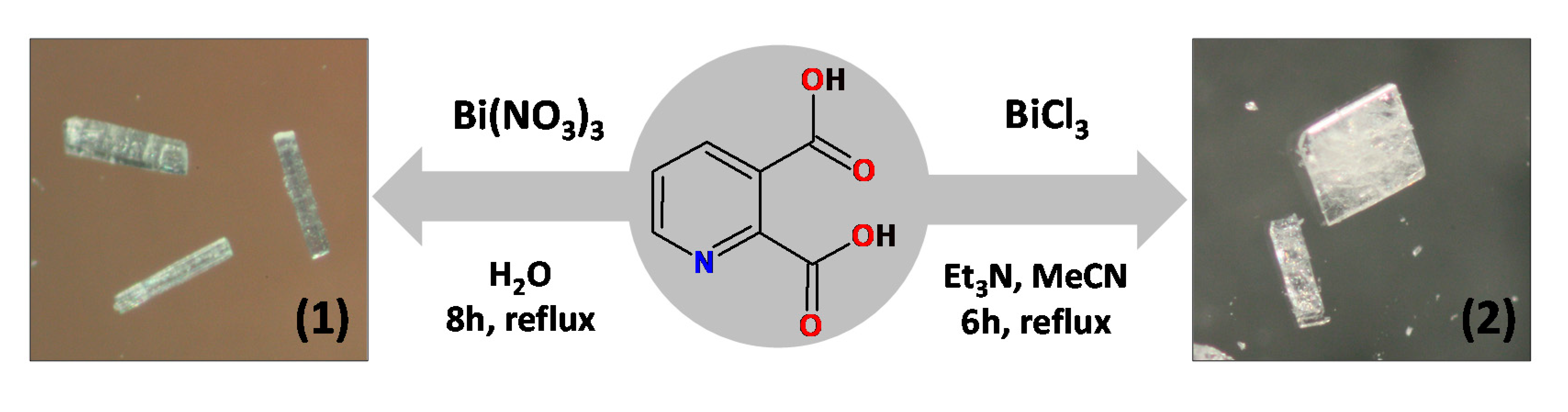
3.2. Synthesis of [Bi2(2,3pydc)2(2,3pydcH)2(H2O)]n (1)
3.3. Synthesis of {(Et3NH)2[Bi(2,3pydc)(2,3pydcH)Cl2]}n (2)
3.4. Crystal Data Collection and Refinement
3.5. Topological Analysis
3.6. DFT Calculations
3.7. Solid-State Photoluminescence Measurements
3.8. Solubility and Stability Studies
3.9. Bacterial Strains and Culture Conditions
3.10. Determination of The Minimum Inhibitory Concentration (MIC)
4. Conclusions
Supplementary Materials
Author Contributions
Funding
Acknowledgments
Conflicts of Interest
References
- Allendorf, M.D.; Bauer, C.A.; Bhakta, R.K.; Houk, R.J.T. Luminescent metal-organic frameworks. Chem. Soc. Rev. 2009, 38, 1330–1352. [Google Scholar] [CrossRef] [PubMed]
- Custelcean, R.; Moyer, B.A. Anion separation with metal-organic frameworks. Eur. J. Inorg. Chem. 2007, 2007, 1321–1340. [Google Scholar] [CrossRef]
- Dzhardimalieva, G.I.; Uflyand, I.E. Design and synthesis of coordination polymers with chelated units and their application in nanomaterials science. RSC Adv. 2017, 7, 42242–42288. [Google Scholar] [CrossRef]
- Furukawa, H.; Cordova, K.E.; O’Keeffe, M.; Yaghi, O.M. The chemistry and applications of metal-organic frameworks. Science 2013, 341, 1230444. [Google Scholar] [CrossRef] [PubMed]
- Pettinari, C.; Marchetti, F.; Mosca, N.; Tosi, G.; Drozdov, A. Application of metal—Organic frameworks. Polym. Int. 2017, 66, 731–744. [Google Scholar] [CrossRef]
- Zhang, X.; Wang, W.; Hu, Z.; Wang, G.; Uvdal, K. Coordination polymers for energy transfer: Preparations, properties, sensing applications, and perspectives. Coord. Chem. Rev. 2015, 284, 206–235. [Google Scholar] [CrossRef]
- Zhang, Y.; Yuan, S.; Day, G.; Wang, X.; Yang, X.; Zhou, H.C. Luminescent sensors based on metal-organic frameworks. Coord. Chem. Rev. 2018, 354, 28–45. [Google Scholar] [CrossRef]
- Novio, F.; Simmchen, J.; Vázquez-Mera, N.; Amorín-Ferré, L.; Ruiz-Molina, D. Coordination polymer nanoparticles in medicine. Coord. Chem. Rev. 2013, 257, 2839–2847. [Google Scholar] [CrossRef]
- Liu, R.; Yu, T.; Shi, Z.; Wang, Z. The preparation of metal-organic frameworks and their biomedical application. Int. J. Nanomed. 2016, 11, 1187–1200. [Google Scholar] [CrossRef]
- Kowalik, M.; Masternak, J.; Kazimierczuk, K.; Khavryuchenko, O.V.; Kupcewicz, B.; Barszcz, B. An unusual four-nuclear Pb(II)-pyrrole-2-carboxylato polymer: The effect of the lone pair and non-covalent interactions on the supramolecular assembly and fluorescence properties. J. Solid State Chem. 2019, 273, 207–218. [Google Scholar] [CrossRef]
- Kowalik, M.; Masternak, J.; Kazimierczuk, K.; Khavryuchenko, O.V.; Kupcewicz, B.; Barszcz, B. Lead(II) coordination polymers with imidazole-4- and pyrazole-3-carboxylate isomeric linkers: Structural diversity and luminescence properties. J. Solid State Chem. 2018, 266, 100–111. [Google Scholar] [CrossRef]
- Kowalik, M.; Masternak, J.; Kazimierczuk, K.; Kupcewicz, B.; Khavryuchenko, O.V.; Barszcz, B. A comparison of structural and luminescence properties of lead(II) coordination polymers with isomeric thiophenecarboxylate ligands. Inorg. Chim. Acta 2018, 471, 446–458. [Google Scholar] [CrossRef]
- Masternak, J.; Barszcz, B.; Hodorowicz, M.; Khavryuchenko, O.V.; Majka, A. Synthesis and physicochemical characterization of two lead(II) complexes with O-,N-donor ligands. Lone pair functionality and crystal structure. Spectrochim. Acta Part A Mol. Biomol. Spectrosc. 2015, 136, 1998–2007. [Google Scholar] [CrossRef] [PubMed]
- Kowalik, M.; Masternak, J.; Kazimierczuk, K.; Kupcewicz, B.; Khavryuchenko, O.; Barszcz, B. Exploring thiophene-2-acetate and thiophene-3-acetate binding modes towards the molecular, supramolecular structures and photoluminescence properties of Pb(II) polymers. CrystEngComm 2020, 22, 7025–7035. [Google Scholar] [CrossRef]
- Leng, M.; Yang, Y.; Zeng, K.; Chen, Z.; Tan, Z.; Li, S.; Li, J.; Xu, B.; Li, D.; Hautzinger, M.P.; et al. All-inorganic bismuth-based perovskite quantum dots with bright blue photoluminescence and excellent stability. Adv. Funct. Mater. 2017, 28, 1704446. [Google Scholar] [CrossRef]
- Dang, P.; Liu, D.; Li, G.; Al Kheraif, A.A.; Lin, J. Recent Advances in Bismuth Ion-Doped Phosphor Materials: Structure Design, Tunable Photoluminescence Properties, and Application in White LEDs. Adv. Opt. Mater. 2020, 8, 1901993. [Google Scholar] [CrossRef]
- Zhou, D.D.; Liu, B.M.; Zhou, Y.; Chen, M.Z.; Fang, Y.Z.; Hou, J.S.; Li, L.N.; Sun, H.T. Air-stable and highly luminescent bismuth complex nanoparticles. J. Mater. Chem. C 2016, 4, 4899–4904. [Google Scholar] [CrossRef]
- Bothwell, J.M.; Krabbe, S.W.; Mohan, R.S. Applications of bismuth(III) compounds in organic synthesis. Chem. Soc. Rev. 2011, 40, 4649–4707. [Google Scholar] [CrossRef]
- Keogan, D.M.; Griffith, D.M. Current and potential applications of bismuth-based drugs. Molecules 2014, 19, 15258–15297. [Google Scholar] [CrossRef]
- Yang, Y.; Ouyang, R.; Xu, L.; Guo, N.; Li, W.; Feng, K.; Ouyang, L.; Yang, Z.; Zhou, S.; Miao, Y. Review: Bismuth complexes: Synthesis and applications in biomedicine. J. Coord. Chem. 2015, 68, 379–397. [Google Scholar] [CrossRef]
- Salvador, J.A.; Figueiredo, S.A.; Pinto, R.M.; Silvestre, S.M. Bismuth compounds in medicinal chemistry. Future Med. Chem. 2012, 4, 1495–1523. [Google Scholar] [CrossRef] [PubMed]
- Li, H.-M.; Yang, J.-C. Bismuth-Containing Therapy for Helicobacter pylori Eradication. Int. J. Clin. Pharmacol. Pharmacother. 2016, 1, 1–5. [Google Scholar] [CrossRef] [PubMed]
- Cordero, B.; Gómez, V.; Platero-Prats, A.E.; Revés, M.; Echeverría, J.; Cremades, E.; Barragán, F.; Alvarez, S. Covalent radii revisited. J. Chem. Soc. Dalton Trans. 2008, 2832–2838. [Google Scholar] [CrossRef] [PubMed]
- Shimoni-Livny, L.; Glusker, J.P.; Bock, C.W. Lone Pair Functionality in Divalent Lead Compounds. Inorg. Chem. 1998, 37, 1853–1867. [Google Scholar] [CrossRef]
- Hu, M.L.; Morsali, A.; Aboutorabi, L. Lead(II) carboxylate supramolecular compounds: Coordination modes, structures and nano-structures aspects. Coord. Chem. Rev. 2011, 255, 2821–2859. [Google Scholar] [CrossRef]
- Tabatabaee, M.; Amjad, S.; Tabatabaei, S.; Molčanov, K. A Bismuth(III) Coordination Polymer with Pyridine-2,3-dicarboxylic Acid as Precursor for Preparation of Bi2O3 Nanoparticles via Thermal Decomposition. Synth. React. Inorg. Met. Nano Metal Chem. 2014, 44, 507–513. [Google Scholar] [CrossRef]
- Wibowo, A.C.; Vaughn, S.A.; Smith, M.D.; Zur Loye, H.C. Novel bismuth and lead coordination polymers synthesized with pyridine-2,5-dicarboxylates: Two single component “white” light emitting phosphors. Inorg. Chem. 2010, 49, 11001–11008. [Google Scholar] [CrossRef]
- Wibowo, A.C.; Smith, M.D.; Zur Loye, H.C. A new Kagomé lattice coordination polymer based on bismuth and pyridine-2,5-dicarboxylate: Structure and photoluminescent properties. Chem. Commun. 2011, 47, 7371–7373. [Google Scholar] [CrossRef]
- Wibowo, A.C.; Smith, M.D.; Yeon, J.; Halasyamani, P.S.; Zur Loye, H.C. Novel 3D bismuth-based coordination polymers: Synthesis, structure, and second harmonic generation properties. J. Solid State Chem. 2012, 195, 94–100. [Google Scholar] [CrossRef]
- Tröbs, L.; Wilke, M.; Szczerba, W.; Reinholz, U.; Emmerling, F. Mechanochemical synthesis and characterisation of two new bismuth metal organic frameworks. CrystEngComm 2014, 16, 5560–5565. [Google Scholar] [CrossRef]
- Wibowo, A.C.; Smith, M.D.; zur Loye, H.-C. Structural Diversity of Metal-Organic Materials Containing Bismuth(III) and Pyridine-2,5-Dicarboxylate. Cryst. Growth Des. 2011, 11, 4449–4457. [Google Scholar] [CrossRef]
- Thirumurugan, A.; Li, W.; Cheetham, A.K. Bismuth 2,6-pyridinedicarboxylates: Assembly of molecular units into coordination polymers, CO2 sorption and photoluminescence. Dalton Trans. 2012, 41, 4126–4134. [Google Scholar] [CrossRef] [PubMed]
- Sheshmani, S.; Kheirollahi, P.D.; Aghabozorg, H.; Shokrollahi, A.; Kickelbick, G.; Shamsipur, M.; Ramezanipour, F.; Moghimi, A. Synthesis and crystal structure of CeIII and BiIII complexes and solution studies of ZnII, CdII, PbII, CeIII, and BiIII complexes obtained from proton transfer compounds containing 2,6-pyridinedicarboxylate ion. Z. Anorg. Allg. Chem. 2005, 631, 3058–3065. [Google Scholar] [CrossRef]
- Anjaneyulu, O.; Swamy, K.C.K. Studies on bismuth carboxylates-synthesis and characterization of a new structural form of bismuth(III) dipicolinate. J. Chem. Sci. 2011, 123, 131–137. [Google Scholar] [CrossRef]
- Anjaneyulu, O.; Prasad, T.K.; Swamy, K.C.K. Coordinatively polymeric and monomeric bismuth(III) complexes with pyridine carboxylic acids. Dalton Trans. 2010, 39, 1935–1940. [Google Scholar] [CrossRef]
- Aghabozorg, H.; Nemati, A.; Derikvand, Z.; Ghadermazi, M. Poly[piperazinediium [[aquabismuthate(III)]-di-μ-pyridine-2,6-dicarboxylato-bismuthate(III)-di-μ-pyridine-2,6-dicarboxylato] monohydrate]. Acta Cryst. E 2008, 64, m374. [Google Scholar] [CrossRef]
- Sushrutha, S.R.; Natarajan, S. Bismuth carboxylates with brucite- and fluorite-related structures: Synthesis structure and properties. Cryst. Growth Des. 2013, 13, 1743–1751. [Google Scholar] [CrossRef]
- Kan, L.; Li, J.; Luo, X.; Li, G.; Liu, Y. Three novel bismuth-based coordination polymers: Synthesis, structure and luminescent properties. Inorg. Chem. Commun. 2017, 85, 70–73. [Google Scholar] [CrossRef]
- Li, H.; Sun, H. Recent advances in bioinorganic chemistry of bismuth. Curr. Opin. Chem. Biol. 2012, 16, 74–83. [Google Scholar] [CrossRef]
- Yang, N.; Sun, H. Biocoordination chemistry of bismuth: Recent advances. Coord. Chem. Rev. 2007, 251, 2354–2366. [Google Scholar] [CrossRef]
- Ergül, B.; Koçak, E.; Taş, A.; Filik, L.; Köklü, S. Bismuth, moxifloxacin, tetracycline, lansoprazole quadruple first line therapy for eradication of H. pylori: A prospective study. Clin. Res. Hepatol. Gastroenterol. 2013, 37, 527–529. [Google Scholar] [CrossRef] [PubMed]
- Kowalik, M.; Masternak, J.; Barszcz, B. Recent Research Trends on Bismuth Compounds in Cancer Chemo- and Radiotherapy. Curr. Med. Chem. 2019, 26, 729–759. [Google Scholar] [CrossRef] [PubMed]
- Turner, D.R.; Batten, S.R. Catena-Poly[[copper(II)-bis(μ3-carboxypyridine-2-carboxylato)-κ3N,O2:O3;O3:N,O2] methanol disolvate]. Acta Cryst. E 2007, 63, m452–m454. [Google Scholar] [CrossRef]
- Soldin, Ž.; Kukovec, B.M.; Matković-Čalogović, D.; Popović, Z. A Design of Mercury(II) Coordination Polymers with Pyridinedicarboxylic Acids: Structural, Spectroscopic and Thermal Studies. J. Inorg. Organomet. Polym. Mater. 2018, 28, 2080–2089. [Google Scholar] [CrossRef]
- Du, Z.X.; Li, J.X. Catena-Poly[[[diaquamanganese(II)]-μ3-pyridine-2,3-dicarboxylato-κ4N,O2:O3:O3′] dihydrate]. Acta Cryst. E 2008, 64, m1295–m1296. [Google Scholar] [CrossRef]
- Jaber, F.; Charbonnier, F.; Faure, R. Preparation and crystal structure of tetraaqua-bis(hydrogenopyridine-2,3-(dicarboxylate)bis(pyridine-2,3-dicarboxylate) hexa silver(I) [Ag6(C7H4NO4)2(C7H3NO4)2(H2O)4]n. Polhedron 1996, 15, 2909–2913. [Google Scholar] [CrossRef]
- Barszcz, B.; Masternak, J.; Surga, W. Thermal properties of Ca(II) and Cd(II) complexes of pyridinedicarboxylates: Correlation with crystal structures. J. Therm. Anal. Calorim. 2010, 101, 633–639. [Google Scholar] [CrossRef]
- Barszcz, B.; Hodorowicz, M.; Jabłońska-Wawrzycka, A.; Masternak, J.; Nitek, W.; Stadnicka, K. Comparative study on Cd(II) and Ca(II) model complexes with pyridine-2,3-dicarboxylic acid: Synthesis, crystal structure and spectroscopic investigation. Polyhedron 2010, 29, 1191–1200. [Google Scholar] [CrossRef]
- Li, M.; Xiang, J.; Yuan, L.; Wu, S.; Chen, S.; Sun, J. Syntheses, Structures, and Photoluminescence of Three Novel Coordination Polymers Constructed from Dimeric d10 Metal Units. Cryst. Growth Des. 2006, 6, 2036–2040. [Google Scholar] [CrossRef]
- Yin, W.X.; Liu, Y.T.; Ding, Y.J.; Lin, Q.; Lin, X.M.; Wu, C.L.; Yao, X.D.; Cai, Y.P. Construction of variable dimensional cadmium(II) coordination polymers from pyridine-2,3-dicarboxylic acid. CrystEngComm 2015, 17, 3619–3626. [Google Scholar] [CrossRef]
- Patrick, B.O.; Stevens, C.L.; Storr, A.; Thompson, R.C. Structural and magnetic properties of three copper(II) pyridine-2,3-dicarboxylate coordination polymers incorporating the same chain motif. Polyhedron 2003, 22, 3025–3035. [Google Scholar] [CrossRef]
- Lush, S.F.; Shen, F.M. Poly[(μ4-pyridine-2,3-dicarboxylato)lead(II)]. Acta Cryst. E 2011, 67, m163–m164. [Google Scholar] [CrossRef] [PubMed]
- Li, L.J.; Li, Y. Hydrothermal synthesis and crystal structure of a novel 2-D coordination polymer [Mn2(pdc)2(H2O)3]n·2nH2O (pdc=pyridine-2,3-dicarboxylate). J. Mol. Struct. 2004, 694, 199–203. [Google Scholar] [CrossRef]
- Kang, Y.; Zhang, J.; Li, Z.J.; Cheng, J.K.; Yao, Y.G. Syntheses, structures, and photoluminescent properties of four d10 metal-quinolinato coordination polymers with similar rod-like SBUs. Inorg. Chim. Acta 2006, 359, 2201–2209. [Google Scholar] [CrossRef]
- Jablońska-Wawrzycka, A.; Zienkiewicz, M.; Hodorowicz, M.; Rogala, P.; Barszcz, B. Thermal behavior of manganese(II) complexes with pyridine-2,3-dicarboxylic acid: Spectroscopic, X-ray, and magnetic studies. J. Therm. Anal. Calorim. 2012, 110, 1367–1376. [Google Scholar] [CrossRef]
- Mantina, M.; Chamberlin, A.C.; Valero, R.; Cramer, C.J.; Truhlar, D.G. Consistent van der Waals radii for the whole main group. J. Phys. Chem. A 2009, 113, 5806–5812. [Google Scholar] [CrossRef]
- Harrowfield, J.M.; Lugan, N.; Marandi, F.; Shahverdizadeh, G.H.; Soudi, A.A. Lead(II) complexes of pyridinedicarboxylates—Lattice interactions and metal ion stereochemistry. Aust. J. Chem. 2006, 59, 400–406. [Google Scholar] [CrossRef]
- Malone, J.F.; Murray, C.M.; Charlton, M.H.; Docherty, R.; Lavery, A.J. X-H⋯π (phenyl) interactions: Theoretical and crystallographic observations. J. Chem. Soc. Faraday Trans. 1997, 93, 3429–3436. [Google Scholar] [CrossRef]
- Takusagawa, F.; Koetzle, T.F. A refinement of the crystal structure of quinolinic acid at 100 K with neutron diffraction data. Acta Cryst. B 1978, 34, 1149–11154. [Google Scholar] [CrossRef]
- Kvick, Å.; Koetzle, T.F.; Thomas, R.; Takusagawa, F. Hydrogen bond studies. 85. A very short, asymmetrical, intramolecular hydrogen bond: A neutron diffraction study of pyridine-2,3-dicarboxylic acid (C7H5NO4). J. Chem. Phys. 1974, 60, 3866–3874. [Google Scholar] [CrossRef]
- Deacon, G.B.; Phillips, R.J. Relationships between the carbon-oxygen stretching frequencies of carboxylato complexes and the type of carboxylate coordination. Coord. Chem. Rev. 1980, 33, 227–250. [Google Scholar] [CrossRef]
- Feng, Y.Q.; Zhong, Z.G.; Wang, H.W.; Xing, Z.Z.; Wang, L. Crystal structure and luminescence properties of a new dinuclear bismuth(III) coordination polymer containing three types of ligands. Zeitschrift für Naturforschung B 2018, 73, 155–160. [Google Scholar] [CrossRef]
- Jia, Y.; Li, H.; Guo, Q.; Zhao, B.; Zhao, Y.; Hou, H.; Fan, Y. Template-induced structural isomerism of pyridine-2,3-dicarboxylate and PbII with similar high stability and different fluorescent properties. Eur. J. Inorg. Chem. 2012, 2012, 3047–3053. [Google Scholar] [CrossRef]
- Wang, E.R.; Huang, J.H.; Gu, X.Y.; Cheng, J.W. Structural modulation of two luminescent bismuth-organic frameworks by the mixed-ligand synthetic strategy. Chin. J. Struct. Chem. 2017, 36, 1100–1107. [Google Scholar]
- Feng, Y.Q.; Chen, S.Y.; Wang, L.; Xing, Z.Z. Ionothermal synthesis, structure and luminescent properties of a new 2-D bismuth(III) coordination polymer with (6,5)-connected topological sheet. Chin. J. Struct. Chem. 2018, 37, 1656–1662. [Google Scholar]
- Lambert, J.R.; Midolo, P. The actions of bismuth in the treatment of Helicobacter pylori infection. Aliment. Pharmacol. Ther. 1997, 11, 27–33. [Google Scholar] [CrossRef]
- Pathak, A.; Blair, V.L.; Ferrero, R.L.; Kedzierski, L.; Andrews, P.C. Structural influences on the activity of bismuth(III) indole-carboxylato complexes towards Helicobacter pylori and Leishmania. J. Inorg. Biochem. 2017, 177, 266–275. [Google Scholar] [CrossRef]
- Andrews, P.C.; Ferrero, R.L.; Junk, P.C.; Kumar, I.; Luu, Q.; Nguyen, K.; Taylor, J.W. Bismuth(III) complexes derived from non-steroidal anti-inflammatory drugs and their activity against Helicobacter pylori. Dalton Trans. 2010, 39, 2861–2868. [Google Scholar] [CrossRef]
- Schlesinger, M.; Pathak, A.; Richter, S.; Sattler, D.; Seifert, A.; Rüffer, T.; Andrews, P.C.; Schalley, C.A.; Lang, H.; Mehring, M. Salicylate-functionalized bismuth oxido clusters: Hydrolysis processes and microbiological activity. Eur. J. Inorg. Chem. 2014, 2014, 4218–4227. [Google Scholar] [CrossRef]
- Andrews, P.C.; Blair, V.L.; Ferrero, R.L.; Junkb, P.C.; Kumar, I. Making Bispirin: Synthesis, structure and activity against Helicobacter pylori of bismuth(III) acetylsalicylate. Chem. Commun. 2013, 49, 2870–2872. [Google Scholar] [CrossRef]
- Andrews, P.C.; Deacon, G.B.; Ferrero, R.L.; Junk, P.C.; Karrar, A.; Kumar, I.; MacLellan, J.G. Bismuth(III) 5-sulfosalicylate complexes: Structure, solubility and activity against Helicobacter pylori. Dalton Trans. 2009, 6377–6384. [Google Scholar] [CrossRef] [PubMed]
- Andrews, P.C.; Busse, M.; Deacon, G.B.; Ferrero, R.L.; Junk, P.C.; MacLellan, J.G.; Vom, A. Remarkable in vitro bactericidal activity of bismuth(III) sulfonates against Helicobacter pylori. Dalton Trans. 2012, 41, 11798–11806. [Google Scholar] [CrossRef] [PubMed]
- Busse, M.; Trinh, I.; Junk, P.C.; Ferrero, R.L.; Andrews, P.C. Synthesis and characterisation of bismuth(III) aminoarenesulfonate complexes and their powerful bactericidal activity against Helicobacter pylori. Chem. Eur. J. 2013, 19, 5264–5275. [Google Scholar] [CrossRef] [PubMed]
- Andrews, P.C.; Busse, M.; Deacon, G.B.; Ferrero, R.L.; Junk, P.C.; Huynh, K.K.; Kumar, I.; MacLellan, J.G. Structural and solution studies of phenylbismuth(III) sulfonate complexes and their activity against Helicobacter pylori. Dalton Trans. 2010, 39, 9633–9641. [Google Scholar] [CrossRef]
- Andrews, P.C.; Ferrero, R.L.; Forsyth, C.M.; Junk, P.C.; MacLellan, J.G.; Peiris, R.M. Bismuth(III) saccharinate and thiosaccharinate complexes and the effect of ligand substitution on their activity against Helicobacter pylori. Organometallics 2011, 30, 6283–6291. [Google Scholar] [CrossRef]
- Andrews, P.C.; Ferrero, R.L.; Junk, P.C.; Peiris, R.M. A sweeter way to combat Helicobacter pylori? Bismuth(III) complexes and oxido-clusters derived from non-nutritive sweeteners and their activity against H. pylori. J. Organomet. Chem. 2013, 724, 88–94. [Google Scholar] [CrossRef]
- Pathak, A.; Blair, V.L.; Ferrero, R.L.; Mehring, M.; Andrews, P.C. Bismuth(III) benzohydroxamates: Powerful anti-bacterial activity against Helicobacter pylori and hydrolysis to a unique Bi34 oxido-cluster [Bi34O22(BHA)22(H-BHA)14(DMSO)6]. Chem. Commun. 2014, 50, 15232–15234. [Google Scholar] [CrossRef]
- Pathak, A.; Blair, V.L.; Ferrero, R.L.; Junk, P.C.; Tabor, R.F.; Andrews, P.C. Synthesis and structural characterisation of bismuth(III) hydroxamates and their activity against Helicobacter pylori. Dalton Trans. 2015, 44, 16903–16913. [Google Scholar] [CrossRef]
- Song, Z.; Zhou, L.; Zhang, J.; He, L.; Bai, P.; Xue, Y. Levofloxacin, bismuth, amoxicillin and esomeprazole as second-line Helicobacter pylori therapy after failure of non-bismuth quadruple therapy. Dig. Liver Dis. 2016, 48, 506–511. [Google Scholar] [CrossRef]
- Gokcan, H.; Oztas, E.; Koral Onal, I. Different bismuth-based therapies for eradicating Helicobacter pylori: Randomized clinical trial of efficacy and safety. Clin. Res. Hepatol. Gastroenterol. 2016, 40, 124–131. [Google Scholar] [CrossRef]
- Muller, N.; Amiot, A.; Le Thuaut, A.; Bastuji-Garin, S.; Deforges, L.; Delchier, J.C. Rescue therapy with bismuth-containing quadruple therapy in patients infected with metronidazole-resistant Helicobacter pylori strains. Clin. Res. Hepatol. Gastroenterol. 2016, 40, 517–524. [Google Scholar] [CrossRef] [PubMed]
- STOE & Cie GmbH. X-area 1.75, Software Package for Collecting Single-Crystal Data on STOE Area-Detector Diffractometers, for Image Processing, Scaling Reflection Intensities and for Outlier Rejection; STOE & Cie GmbH: Darmstadt, Germany, 2015; Available online: https://www.stoe.com/wp-content/uploads/2014/03/STO012_Prospekt_X-Area_web.pdf (accessed on 15 October 2020).
- Sheldrick, G.M. SHELXT—Integrated space-group and crystal-structure determination. Acta Cryst. A 2015, 71, 3–8. [Google Scholar] [CrossRef] [PubMed]
- Dolomanov, O.V.; Bourhis, L.J.; Gildea, R.J.; Howard, J.A.K.; Puschmann, H. OLEX2: A complete structure solution, refinement and analysis program. J. Appl. Cryst. 2009, 42, 339–341. [Google Scholar] [CrossRef]
- Sheldrick, G.M. Crystal structure refinement with SHELXL. Acta Cryst. C 2015, 71, 3–8. [Google Scholar] [CrossRef] [PubMed]
- Farrugia, L.J. WinGX and ORTEP for Windows: An update. J. Appl. Cryst. 2012, 45, 849–854. [Google Scholar] [CrossRef]
- Brandenburg, K.; Putz, H. Diamond-Crystal and Molecular Structure Visualisation Crystal Impact; 3.1f; Rathausgasse 30; GbR: Bonn, Germany, 1997. [Google Scholar]
- Blatov, V.A.; Shevchenko, A.P.; Proserpio, D.M. Applied Topological Analysis of Crystal Structures with the Program Package ToposPro. Cryst. Growth Des. 2014, 14, 3576–3586. [Google Scholar] [CrossRef]
- O’Keeffe, M.; Yaghi, O.M. Deconstructing the crystal structures of metal-organic frameworks and related materials into their underlying nets. Chem. Rev. 2012, 112, 675–702. [Google Scholar] [CrossRef]
- Li, M.; Li, D.; O’Keeffe, M.; Yaghi, O.M. Topological analysis of metal-organic frameworks with polytopic linkers and/or multiple building units and the minimal transitivity principle. Chem. Rev. 2014, 114, 1343–1370. [Google Scholar] [CrossRef]
- Becke, A.D. Density-functional thermochemistry. III. The role of exact exchange. J. Chem. Phys. 1993, 98, 5648–5652. [Google Scholar] [CrossRef]
- Weigend, F.; Ahlrichs, R. Balanced basis sets of split valence, triple zeta valence and quadruple zeta valence quality for H to Rn: Design and assessment of accuracy. Phys. Chem. Chem. Phys. 2005, 7, 3297–3305. [Google Scholar] [CrossRef]
- Neese, F.; Wennmohs, F.; Hansen, A.; Becker, U. Efficient, approximate and parallel Hartree-Fock and hybrid DFT calculations. A “chain-of-spheres” algorithm for the Hartree-Fock exchange. Chem. Phys. 2009, 356, 98–109. [Google Scholar] [CrossRef]
- Metz, B.; Stoll, H.; Dolg, M. Small-core multiconfiguration-Dirac-Hartree-Fock-adjusted pseudopotentials for post-d main group elements: Application to PbH and PbO. J. Chem. Phys. 2000, 113, 2563–2569. [Google Scholar] [CrossRef]
- Neese, F. The ORCA program system. WIREs Comput. Mol. Sci. 2012, 2, 73–78. [Google Scholar] [CrossRef]
- Kleier, D.A.; Halgren, T.A.; Hall, J.H.; Lipscomb, W.N. Localized molecular orbitals for polyatomic molecules. I. a comparison of the Edmiston-Ruedenberg and Boys localization methods. J. Chem. Phys. 1974, 61, 3905–3919. [Google Scholar] [CrossRef]
- Pettersen, E.F.; Goddard, T.D.; Huang, C.C.; Couch, G.S.; Greenblatt, D.M.; Meng, E.C.; Ferrin, T.E. UCSF Chimera—A visualization system for exploratory research and analysis. J. Comput. Chem. 2004, 25, 1605–1612. [Google Scholar] [CrossRef]
- Tomb, J.F.; White, O.; Kerlavage, A.R.; Clayton, R.A.; Sutton, G.G.; Fleischmann, R.D.; Ketchum, K.A.; Klenk, H.P.; Gill, S.; Dougherty, B.A.; et al. The complete genome sequence of the gastric pathogen Helicobacter pylori. Nature 1997, 388, 539–547. [Google Scholar] [CrossRef] [PubMed]
- Behrens, W.; Bönig, T.; Suerbaum, S.; Josenhans, C. Genome sequence of Helicobacter pylori hpEurope strain N6. J. Bacteriol. 2012, 194, 3725–3726. [Google Scholar] [CrossRef]
- Contreras, M.; Thiberge, J.M.; Mandrand-Berthelot, M.A.; Labigne, A. Characterization of the roles of NikR, a nickel-responsive pleiotropic autoregulator of Helicobacter pylori. Mol. Microbiol. 2003, 49, 947–963. [Google Scholar] [CrossRef]













| Bond Lengths (Å) | |||||||
|---|---|---|---|---|---|---|---|
| Bi1–O5 | 2.314(10) | Bi1–O7 | 2.697(9) | Bi2–O9 | 2.311(9) | Bi2–O14 ii | 2.539(9) |
| Bi1–O1 | 2.332(9) | Bi1–O15 | 2.710(9) | Bi2–O15 | 2.433(9) | Bi2–N4 | 2.640(11) |
| Bi1–N1 | 2.386(12) | Bi1–O8 | 2.829(10) | Bi2–O8 | 2.484(10) | Bi2–O14 | 2.650(10) |
| Bi1–O13 | 2.443(9) | Bi1–O17 | 2.841(10) | Bi2–O6 i | 2.491(9) | Bi2–O16 | 2.842(10) |
| Bi1–N2 | 2.521(12) | Bi2–N3 | 2.506(10) | ||||
| Bond Angles (°) | |||||||
| O1–Bi1–N2 | 74.3(4) | O5–Bi1–O7 | 141.6(3) | O15–Bi2–N3 | 117.4(4) | ||
| O1–Bi1–N1 | 68.8(4) | O5–Bi1–O17 | 121.4(3) | O15–Bi2–N4 | 141.6(3) | ||
| O1–Bi1–O5 | 131.9(3) | O13–Bi1–O15 | 72.8(3) | O15–Bi2–O9 | 77.2(3) | ||
| O1–Bi1–O13 | 135.0(3) | O13–Bi1–O8 | 88.2(3) | O14–Bi2–O16 | 117.2(3) | ||
| O1–Bi1–O15 | 143.0(3) | O13–Bi1–O7 | 77.9(3) | O14–Bi2–O6 i | 70.4(3) | ||
| O1–Bi1–O8 | 88.8(3) | O13–Bi1–O17 | 140.9(3) | O14–Bi2–O14 ii | 71.6(3) | ||
| O1–Bi1–O7 | 67.3(3) | O15–Bi1–O8 | 65.0(3) | O14–Bi2–N3 | 145.4(3) | ||
| O1–Bi1–O17 | 71.9(3) | O15–Bi1–O7 | 106.3(3) | O14–Bi2–N4 | 111.2(3) | ||
| N2–Bi1–N1 | 84.0(4) | O15–Bi1–O17 | 72.6(3) | O14–Bi2–O9 | 144.6(3) | ||
| N2–Bi1–O5 | 66.1(3) | O8–Bi1–O7 | 47.9(3) | O16–Bi2–O6 i | 79.4(3) | ||
| N2–Bi1–O13 | 130.9(3) | O8–Bi1–O17 | 60.9(3) | O16–Bi2–O14 ii | 138.5(3) | ||
| N2–Bi1–O15 | 107.2(3) | O7–Bi1–O17 | 95.0(3) | O16–Bi2–N3 | 69.3(4) | ||
| N2–Bi1–O8 | 137.8(3) | O8–Bi2–O15 | 74.5(3) | O16–Bi2–N4 | 131.2(3) | ||
| N2–Bi1–O7 | 141.2(3) | O8–Bi2–O14 | 72.2(3) | O16–Bi2–O9 | 65.1(3) | ||
| N2–Bi1–O17 | 77.1(4) | O8–Bi2–O16 | 115.1(3) | O6 i–Bi2–O14 ii | 65.4(3) | ||
| N1–Bi1–O5 | 80.6(4) | O8–Bi2–O6 i | 142.4(3) | O6 i–Bi2–N4 | 78.3(4) | ||
| N1–Bi1–O13 | 77.0(4) | O8–Bi2–O14 ii | 106.2(3) | O6 i–Bi2–N4 | 122.8(3) | ||
| N1–Bi1–O15 | 147.6(3) | O8–Bi2–N3 | 138.0(6) | O6 i–Bi2–O9 | 138.6(3) | ||
| N1–Bi1–O8 | 126.0(4) | O8–Bi2–N4 | 75.4(3) | O14 ii–Bi2–N3 | 82.5(5) | ||
| N1–Bi1–O7 | 78.1(4) | O8–Bi2–O9 | 75.5(3) | O14 ii–Bi2–N4 | 61.7(3) | ||
| N1–Bi1–O17 | 139.7(4) | O15–Bi2–O14 | 80.7(3) | O14 ii–Bi2–O9 | 132.0(3) | ||
| O5–Bi1–O13 | 66.4(3) | O15–Bi2–O16 | 48.6(3) | N3–Bi2–N4 | 73.3(6) | ||
| O5–Bi1–O15 | 76.8(3) | O15–Bi2–O6 i | 95.5(3) | N3–Bi2–O9 | 69.2(6) | ||
| O5–Bi1–O8 | 139.1(3) | O15–Bi2–O14 ii | 150.7(3) | N4–Bi2–O9 | 73.3(3) | ||
| Bond Lengths (Å) | |||||||
|---|---|---|---|---|---|---|---|
| Bi1–O5 | 2.374(7) | Bi1–N1 | 2.546(7) | Bi1–O7 i | 2.651(6) | Bi1–O8 i | 2.721(7) |
| Bi1–O1 | 2.429(7) | Bi1–N11 | 2.585(7) | Bi1–Cl2 | 2.672(2) | Bi1–Cl1 | 2.725(3) |
| Bond Angles (°) | |||||||
| O1–Bi1–N1 | 65.5(2) | N1–Bi1–N11 | 140.9(2) | O5–Bi1–O7 i | 136.5(2) | ||
| O1–Bi1–Cl1 | 97.3(3) | N1–Bi1–O7 i | 138.2(2) | O5–Bi1–Cl2 | 83.6(8) | ||
| O1–Bi1–O5 | 140.5(2) | N1–Bi1–Cl2 | 82.8(5) | O8 i–Bi1–N11 | 81.3(2) | ||
| O1–Bi1–O8 i | 77.5(2) | Cl1–Bi1–O5 | 83.5(3) | O8 i–Bi1–O7 i | 48.4(2) | ||
| O1–Bi1–N11 | 153.5(2) | Cl1–Bi1–O8 i | 74.3(2) | O8 i–Bi1–Cl2 | 125.8(5) | ||
| O1–Bi1–O7 i | 75.2(2) | Cl1–Bi1–N11 | 92.0(2) | N11–Bi1–O7 i | 78.8(2) | ||
| O1–Bi1–Cl2 | 82.3(10) | Cl1–Bi1–O7 i | 122.7(2) | N11–Bi1–Cl2 | 97.6(9) | ||
| N1–Bi1–Cl1 | 77.8(2) | Cl1–Bi1–Cl2 | 158.8(3) | O7 i–Bi1–Cl2 | 77.9(4) | ||
| N1–Bi1–O5 | 76.3(2) | O5–Bi1–O8 i | 138.8(2) | ||||
| N1–Bi1–O8 i | 129.7(2) | O5–Bi1–N11 | 65.1(2) | ||||
| Hydrogen Bonds | ||||
|---|---|---|---|---|
| Donor–H···Acceptor | D–H (Å) | H···A (Å) | D···A (Å) | D–H···A (°) |
| O3–H3A···O7 iii | 0.84(1) | 1.801(28) | 2.625(37) | 166.46(4) |
| O12–H12A···O1 iv | 0.84(1) | 2.550(41) | 3.171(40) | 131.65(5) |
| O17–H17B···O9 | 0.87(1) | 2.574(14) | 3.208(30) | 130.56(4) |
| C5–H5···O16 i | 0.95(1) | 2.220(38) | 3.140(51) | 162.68(4) |
| C10–H10···O16 i | 0.95(1) | 2.489(38) | 3.310(47) | 144.71(5) |
| C12–H12···O1 | 0.95(1) | 2.542(41) | 3.012(42) | 110.73(4) |
| C12–H12···O17 | 0.95(1) | 2.926(38) | 3.409(51) | 112.79(3) |
| C12–H12···O12 A iv | 0.95(1) | 2.211(36) | 2.957(53) | 134.64(4) |
| C17–H17···O11 vi | 0.95(2) | 2.519(5) | 3.313(13) | 141.00(3) |
| C17–H17···O11 A vi | 0.95(2) | 2.699(41) | 3.278(36) | 119.81(3) |
| C18–H18···O2 vii | 0.95(2) | 2.901(10) | 3.496(23) | 121.81(3) |
| C19–H19···O7 ii | 0.95(1) | 2.483(20) | 3.346(22) | 150.44(6) |
| C25–H25···O17 viii | 0.95(1) | 2.639(36) | 3.336(38) | 130.62(5) |
| C26–H26···O9 ii | 0.95(1) | 2.467(36) | 2.948(25) | 111.30(4) |
| π···π interactions | ||||
| Cg···Cg (Å) | ||||
| Cg1···Cg2 | 4.043(24) | |||
| Hydrogen Bonds | |||||
|---|---|---|---|---|---|
| Donor–H···Acceptor | D–H (Å) | H···A (Å) | D···A (Å) | D–H···A (°) | |
| Interchain | O4–H4A···O6 ii | 0.84 | 1.727(1) | 2.533(1) | 160.08 |
| C5–H5···O2 iii | 0.95 | 2.846(6) | 3.281(6) | 109.03 | |
| C6–H6···O3 iii | 0.95 | 2.654(3) | 3.460(3) | 143.04 | |
| C6–H6···O5 | 0.95 | 2.408(1) | 3.025(1) | 122.36 | |
| C14–H14···O1 iv | 0.95 | 2.585(2) | 3.399(2) | 143.88 | |
| C15–H15···O4 v | 0.95 | 2.545(2) | 3.323(1) | 139.22 | |
| C16–H16···O6 i | 0.95 | 2.689(1) | 3.598(1) | 160.22 | |
| C16–H16···O7 i | 0.95 | 2.661(2) | 3.280(2) | 123.17 | |
| Between Et3NH and polymeric chain | N2 ii–H2 ii···O2 | 1.00 | 1.742(1) | 2.740(2) | 174.95 |
| N3–H3···O8 | 1.00 | 1.752(2) | 2.701(3) | 156.94 | |
| C26–H26B···Cl1 | 0.97 | 2.801(4) | 3.523(5) | 131.09 | |
| C27 i–H27B i···Cl1 | 0.99 | 2.778(3) | 3.507(3) | 130.83 | |
| C29 i–H29B i···Cl1 | 0.98 | 3.004(5) | 3.696(5) | 128.49 | |
| C30 vi–H30B vi···Cl1 | 0.98 | 3.058(2) | 3.745(2) | 128.29 | |
| C20 ii–H20A ii···Cl2 | 0.98 | 1.992(1) | 2.458(3) | 106.68 | |
| C21–H21A···Cl2 | 0.99 | 2.925(1) | 3.615(2) | 127.11 | |
| C22–H22A···Cl2 | 0.99 | 2.986(2) | 3.609(4) | 121.93 | |
| C23–H23A···Cl2 | 0.99 | 3.052(1) | 4.012(2) | 163.96 | |
| C19 vii–H19A vii···O7 | 0.99 | 2.554(4) | 3.410(5) | 144.9 | |
| C20 ii–H20C ii···O2 | 0.98 | 2.986(5) | 3.640(5) | 125.41 | |
| C22 vii–H22B vii···O6 | 0.98 | 2.766(3) | 3.549(6) | 137.45 | |
| C23 vii–H23A vii···O7 | 0.99 | 2.624(4) | 3.475(3) | 144.18 | |
| C24 ii–H24C ii···O2 | 0.98 | 2.840(3) | 3.544(6) | 129.43 | |
| C25–H25B···O6 | 0.99 | 2.922(1) | 3.396(2) | 110.41 | |
| C26 vi–H26C vi···O3 | 0.98 | 2.642(4) | 3.610(6) | 170.72 | |
| C27 vi–H27A vi···O3 | 0.99 | 2.606(3) | 3.594(4) | 175.75 | |
| C28–H28B···O8 | 0.98 | 2.999(3) | 3.600(3) | 120.91 | |
| C30–H30C···O8 | 0.99 | 2.919(6) | 3.640(8) | 130.61 | |
| C24–H24C···Cg ii | 0.98 | 2.967(5) | 3.627(5) | 125.63 | |
| Compound | Representation of Bi(III) Coordination | Chromophore | MIC µg mL−1 (µM) | Ref. |
|---|---|---|---|---|
| Pyridinedicarboxylic acid | ||||
| [Bi2(2,3pydc)2(2,3pydcH)2(H2O)]n (1) | ![]() | {BiO7N2} | 15.0 (13.7) | This work |
| {(Et3NH)2[Bi(2,3pydc)(2,3pydcH)Cl2]}n (2) | ![]() | {BiO4N2Cl2} | 30.0 (36.8) | |
| BSS | 12.5 (34.5) | |||
| Indolecarboxylic acid | ||||
| [Bi(IAA)3] | ![]() [Bi(IAA)3] | {BiO6} | 6.25 (8.54) | [67] |
| [Bi(IPA)3] | {BiO6} | 6.25 (8.07) | ||
| [Bi(IBA)3] | {BiO6} | 6.25 (7.66) | ||
| [Bi(MICA)3] | {BiO6} | 6.25 (8.54) | ||
| [Bi(IGA)3] | {BiO6} | 6.25 (8.08) | ||
| BSS | 12.5 (34.5) | |||
| Acetylsalicylic acid | ||||
| [Bi(asp)3]∞ | ![]() [Bi(asp)3]∞ | {BiO8} | 6.25 (8.37) | [70] |
| [KBi(asp)4]∞ | {BiO9} | 6.25 (6.48) | ||
| NSAIDs | ||||
| [Bi(L1)3·H2O] | ![]() [Bi(Ketoprofen)3·H2O] | {BiO6} | ≥6.25 (6.35) | [68] |
| ≥6.25 (4.85) | ||||
| [Bi(L2)3] | {BiO6} | ≥6.25 (7.01) | ||
| ≥6.25 (7.58) | ||||
| ≥6.25 (6.47) | ||||
| ≥6.25 (8.67) | ||||
| ≥6.25 (6.75) | ||||
| ≥6.25 (6.55) | ||||
| ≥6.25 (6.33) | ||||
| ≥6.25 (5.97) | ||||
| BSS | ≥12.5 (34.5) | |||
| Empirical Formula | C28H16Bi2N4O17 | C26H39BiCl2N4O8 |
|---|---|---|
| CCDC number | 1911680 | 1911679 |
| Formula weight (g mol−1) | 1098.41 | 815.49 |
| Temperature (K) | 120(2) | 120(2) |
| Wavelength (Å) | 0.71073 | 0.71073 |
| Crystal system, space group | Triclinic, P-1 | Monoclinic, P21/c |
| Unit cell dimensions | a = 8.879(2) Å α = 71.29(3)° b = 12.643(3) Å β = 80.79(3)° c = 15.062(3) Å γ = 78.58(3)° | a = 17.1322(10) Å α = 90° b = 12.7920(5) Å β = 94.461(4)° c = 14.6083(7) Å γ = 90° |
| Volume (Å3) | 1561.2(7) | 3191.8(3) |
| Z | 2 | 4 |
| Calculated density (Mg m−3) | 2.337 | 1.697 |
| Absorption coefficient (mm−1) | 11.345 | 5.742 |
| F(000) | 1028 | 1616 |
| Crystal size (mm) | 0.15 × 0.14 × 0.13 | 0.17 × 0.13 × 0.11 |
| Theta range for data collection (°) | 2.55 to 29.278 | 3.219 to 29.509 |
| Limiting indices | −12 ≤ h ≤ 12 −17 ≤ k ≤ 17 −20 ≤ l ≤ 20 | −20 ≤ h ≤ 23 −16 ≤ k ≤ 17 −20 ≤ l ≤ 20 |
| Reflections collected/unique | 24,229/8402 [Rint = 0.0747] | 19,630/8551 [Rint = 0.0520] |
| Completeness to theta (%) | 99.9 | 98.8 |
| Refinement method | Full-matrix least-squares on F2 | |
| Data/restraints/parameters | 8402/0/481 | 8551/2/377 |
| Goodness-of-fit on F2 | 1.066 | 1.05 |
| Final R indices [I > 2σ(I)] | R1 = 0.0718, wR2 = 0.1867 | R1 = 0.0631, wR2 = 0.1629 |
| R indices (all data) | R1 = 0.1077, wR2 = 0.2158 | R1 = 0.0880, wR2 = 0.1827 |
| Largest diff. peak and hole (e Å−3) | 3.404 and −4.129 | 2.368 and −2.488 |
Publisher’s Note: MDPI stays neutral with regard to jurisdictional claims in published maps and institutional affiliations. |
© 2020 by the authors. Licensee MDPI, Basel, Switzerland. This article is an open access article distributed under the terms and conditions of the Creative Commons Attribution (CC BY) license (http://creativecommons.org/licenses/by/4.0/).
Share and Cite
Kowalik, M.; Masternak, J.; Łakomska, I.; Kazimierczuk, K.; Zawilak-Pawlik, A.; Szczepanowski, P.; Khavryuchenko, O.V.; Barszcz, B. Structural Insights into New Bi(III) Coordination Polymers with Pyridine-2,3-Dicarboxylic Acid: Photoluminescence Properties and Anti-Helicobacter pylori Activity. Int. J. Mol. Sci. 2020, 21, 8696. https://doi.org/10.3390/ijms21228696
Kowalik M, Masternak J, Łakomska I, Kazimierczuk K, Zawilak-Pawlik A, Szczepanowski P, Khavryuchenko OV, Barszcz B. Structural Insights into New Bi(III) Coordination Polymers with Pyridine-2,3-Dicarboxylic Acid: Photoluminescence Properties and Anti-Helicobacter pylori Activity. International Journal of Molecular Sciences. 2020; 21(22):8696. https://doi.org/10.3390/ijms21228696
Chicago/Turabian StyleKowalik, Mateusz, Joanna Masternak, Iwona Łakomska, Katarzyna Kazimierczuk, Anna Zawilak-Pawlik, Piotr Szczepanowski, Oleksiy V. Khavryuchenko, and Barbara Barszcz. 2020. "Structural Insights into New Bi(III) Coordination Polymers with Pyridine-2,3-Dicarboxylic Acid: Photoluminescence Properties and Anti-Helicobacter pylori Activity" International Journal of Molecular Sciences 21, no. 22: 8696. https://doi.org/10.3390/ijms21228696
APA StyleKowalik, M., Masternak, J., Łakomska, I., Kazimierczuk, K., Zawilak-Pawlik, A., Szczepanowski, P., Khavryuchenko, O. V., & Barszcz, B. (2020). Structural Insights into New Bi(III) Coordination Polymers with Pyridine-2,3-Dicarboxylic Acid: Photoluminescence Properties and Anti-Helicobacter pylori Activity. International Journal of Molecular Sciences, 21(22), 8696. https://doi.org/10.3390/ijms21228696






