Abstract
Leonurus japonicus Houtt is an exceptional medicinal herb used to treat obstetrical and gynecological diseases in traditional Chinese medicine, and it has significant effects on the treatment of dysmenorrhea and postpartum hemorrhage. This study investigated the effects of coumarins with diverse substituent groups from L. japonicus on isolated uterine smooth muscle and the preliminary mechanism of the most effective compound. Eight coumarins isolated from L. japonicus were assessed for their effects on the isolated uterine smooth muscle of nonpregnant rats in vitro. Coumarins 1 and 2 significantly promoted the contraction of rat uterine smooth muscle strips, whereas coumarins 3–5 showed remarkable relaxing effects against oxytocin (OT)-induced rat uterine smooth muscle contraction. Further mechanism investigations revealed that bergapten (coumarin 1) significantly increased the level of Ca2+ in uterine tissues by promoting extracellular Ca2+ influx and intracellular Ca2+ release, which were related to the activation of L-type Ca2+ channels and α-receptors. By contrast, osthole (coumarin 5), an α receptor antagonist, inhibited OT-induced uterine smooth muscle contraction by decreasing the level of Ca2+ in uterine tissues via inhibition of extracellular Ca2+ influx and intracellular Ca2+ release. This study demonstrates that the coumarins from L. japonicus are effective substances for regulating uterine smooth muscle contraction, but different coumarins with diverse substituent groups have different, even opposite effects. It can be inferred that coumarins are closely related to the efficacy of L. japonicus in the treatment of dysmenorrhea and postpartum hemorrhage.
1. Introduction
Leonurus japonicus Houtt (Chinese motherwort) is an exceptional medicinal herb used to treat obstetrical and gynecological diseases in traditional Chinese medicine (TCM) [1]. Extensive research has shown that more than 300 TCM prescriptions containing L. japonicus have been used for regulating menstrual disturbance, dysmenorrhea, amenorrhea, blood stasis, and postpartum hemorrhage [2,3,4,5]. Modern research has shown that motherwort has many pharmacological effects, such as the regulation of uterine contraction [6], endometrial reparation [1], pro-angiogenesis [7], anti-platelet aggregation [8], cardiovascular protection [9], anti-inflammation [10], and neuroprotection [11]. Interestingly, motherwort has bidirectional regulatory effects on uterine contraction activity [12], which are closely related to its efficacy in treating dysmenorrhea and postpartum hemorrhage [13]. Although efforts have been made to elucidate the effective constituents of motherwort, there is a limited understanding of the substances that regulate uterine activity. In our previous study, cyclopeptides and alkaloids isolated from motherwort were shown to promote the contraction of isolated uterine smooth muscle from rats, whereas flavonoid glycosides exhibited the opposite effect [6]. To date, the effects of other types of motherwort compounds on uterine smooth muscle have not been evaluated.
Coumarins are derivatives of cinnamic acid with a benzo-α-pyrone skeleton, which are widespread in plants and have a variety of biological activities, such as anti-platelet aggregative, antibacterial, and vasodilator effects [14,15]. An increasing number of studies have found that several coumarins can affect smooth muscle contractility in vitro [16,17,18]. Although a series of coumarins have been isolated and identified from motherwort [1,8], their effects on uterine smooth muscle have not been explored [19,20,21]. This study determined whether coumarins isolated from motherwort (Table 1) have an effect on uterine smooth muscle in vitro. In addition, the preliminary mechanisms of effective coumarins were investigated.
Table 1.
Coumarins Isolated From Motherwort.
2. Results
2.1. Effects of Coumarins on OT-Induced Rat Uterine Smooth Muscle Contraction
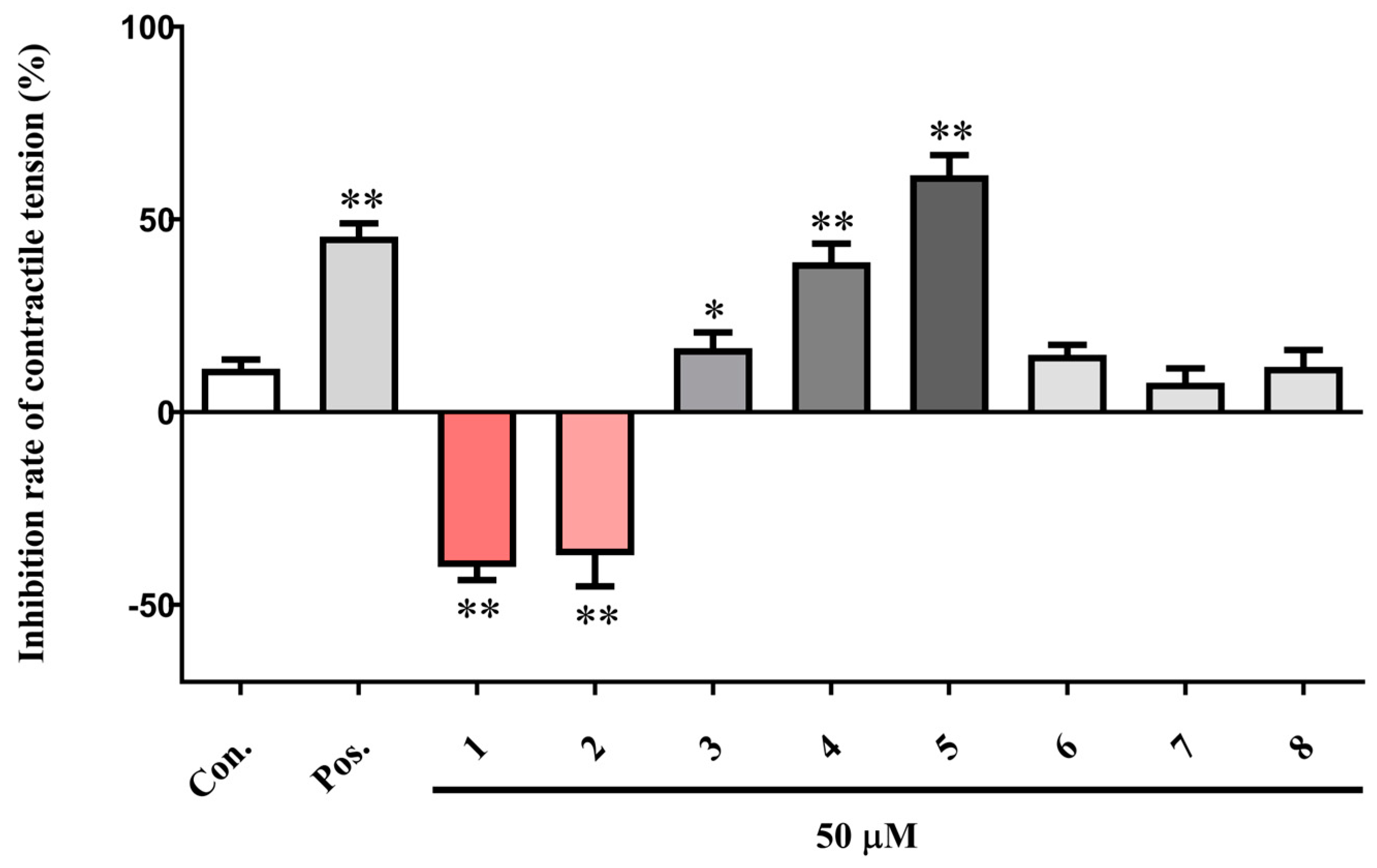
OT (Oxytocin), a uterine smooth muscle stimulant, can induce strong and sustained contraction of uterus, which is similar to the intense contraction of dysmenorrhea. Thus, it is often used as a model drug in anti-dysmenorrhea experiments [22]. As shown in (Figure 1), coumarins 3–5 at 50 μM significantly inhibited the OT-induced contraction of rat uterine smooth muscle strips, with maximum inhibition rates of 16.63 ± 4.05% (p < 0.05), 38.95 ± 4.84% (p < 0.01), and 61.49 ± 5.27% (p < 0.01), respectively. However, coumarins 1 and 2 markedly stimulated the uterine smooth muscle contraction, and their inhibition rates were calculated as −40.13 ± 3.47% (p < 0.01) and −37.13 ± 8.03% (p < 0.01), respectively. These results indicate that coumarins with different substituents from L. japonicus have opposite effects on uterine smooth muscle.
Figure 1.
Effects of eight coumarins (1–8) on oxytocin-induced rat uterine smooth muscle contraction. The uterine contraction tensions were recorded by a physiological recording system. The data are expressed as the mean ± SD (n = 6). * p < 0.05 and ** p < 0.01 vs. control group. The negative control group was treated with 0.2% DMSO, and the positive control group was treated with 0.5 μM verapamil hydrochloride. Con.: negative control group, Pos.: positive control group.
2.2. Excitatory Effect of Coumarin 1 on Rat Uterine Smooth Muscle Contraction and Its Mechanism
2.2.1. Excitatory Effect of Coumarin 1 on Normal Rat Uterine Smooth Muscle Strips
Normal rat uterine smooth muscle strips were used to further confirm the excitability of coumarin 1 on uterus. As shown in Figure 2, coumarin 1 at concentrations of 1, 10, and 50 μM significantly promoted the uterine smooth muscle contraction. The average promotion rates of contractile tension were 10.34 ± 2.85% (p > 0.05), 27.89 ± 8.36% (p < 0.05), and 51.04 ± 10.10% (p < 0.01), and the average promotion rates of contractile activity were 10.34 ± 2.85% (p > 0.05), 56.65 ± 21.92% (p < 0.01), and 162.32 ± 45.51% (p < 0.01).
Figure 2.
Excitatory effects of coumarin 1 (1, 10, and 50 μM) on normal rat uterine smooth muscle strips. (A) Traces for the effects of DMSO and coumarin 1 on rat uterine smooth muscle contraction; (B) Promotion rates of contractile tension of DMSO and coumarin 1; (C) Promotion rates of contractile activity of DMSO and coumarin 1. The negative control group was treated with 0.2% DMSO. The data are expressed as the mean ± SD (n = 6). * p < 0.05 and ** p < 0.01 vs. control group. Con.: negative control group.
2.2.2. Effect of Coumarin 1 on Rat Uterine Smooth Muscle Strips Pretreated with Inhibitors
The functional status of receptors and ion channels in uterine smooth muscle can affect the contractile activity of uterus. In this study, we used an L-type Ca2+ channel blocker (VER, verapamil hydrochloride), a prostaglandin synthase inhibitor (IND, indomethacin), an H1 receptor blocker (DIP, diphenhydramine), and an α receptor blocker (PHE, phentolamine) to explore the possible mechanisms by which coumarin 1 promotes uterine smooth muscle contraction. As shown in Figure 3, the excitatory effect of coumarin 1 on uterine smooth muscle was significantly suppressed by VER and PHE (p < 0.01), whereas IND and DIP could not affect the effect of coumarin 1. These results suggested that coumarin 1 worked through the L-type Ca2+ channel and α receptor but not through the H1 receptor or synthesis/release of prostaglandin.
Figure 3.
Excitatory effect of coumarin 1 (50 μM) on rat uterine smooth muscle strips pretreated with inhibitors. (A) Traces for the contraction of rat uterine smooth muscle strips treated with coumarin 1 with or without inhibitors (1 × 10−7 M VER, 1 × 10−5 M IND, 1 × 10−6 M DIP, or 1 × 10−6 M PHE); (B) Promotion rates of contractile tension of coumarin 1 with or without inhibitors. The data are expressed as the mean ± SD (n = 6). ** p < 0.01 vs. coumarin 1 group.
2.2.3. Effect of Coumarin 1 on Extracellular Ca2+ Influx and Intracellular Ca2+ Release
To further explore the effect of coumarin 1 on internal Ca2+ release and external Ca2+ influx, we performed the experiments with Ca2+-free and recalcification solutions. First, in a Ca2+-free solution, coumarin 1 has a significant excitatory effect on rat uterine smooth muscle (Figure 4). At 10 and 50 μM, the promotion rates of contractile tension were 59.34 ± 8.71% (p < 0.01 vs. control) and 106.78 ± 14.56% (p < 0.01 vs. control), respectively. This excitatory effect can be considered to be caused by the promotion of intracellular Ca2+ release. Then, after recalcification of the solution, the excitatory effect of coumarin 1 was further improved at 10 and 50 μM (36.46 ± 2.73% [p < 0.01 vs. control] and 66.45 ± 6.69% [p < 0.01 vs. control], respectively), which indicated that coumarin 1 also promoted extracellular Ca2+ influx in uterine smooth muscle cells.
Figure 4.
Excitatory effect of coumarin 1 (1, 10, and 50 μM) on rat uterine smooth muscle in Ca2+-free and recalcification solutions. (A) Traces for the contraction of rat uterine smooth muscle strips without drugs; (B) Traces for the contraction of rat uterine smooth muscle strips treated with DMSO or coumarin 1; (C) Promotion rates of contractile tension of DMSO and coumarin 1. The negative control group was treated with 0.2% DMSO. The data are expressed as the mean ± SD (n = 6). ** p < 0.01 vs. control group. Con.: negative control group.
2.3. Inhibitory Effect of Coumarin 5 on Rat Uterine Smooth Muscle Contraction and Its Mechanism
2.3.1. Inhibitory Effect of Coumarin 5 on OT-Induced Rat Uterine Smooth Muscle Contraction
To explore the inhibitory activity of coumarin 5 on uterus contraction, OT was used to induce the severe contraction of rat uterine smooth muscle strips. As shown in Figure 5, coumarin 5 at 10 and 50 μM significantly inhibited the OT-induced contraction of uterine smooth muscle, with inhibition rates of 33.05 ± 2.22% (p < 0.01 vs. control) and 61.49 ± 5.27% (p < 0.01 vs. control), respectively.
Figure 5.
Inhibitory effect of coumarin 5 (1, 10, and 50 μM) on OT-induced rat uterine smooth muscle contraction. (A) Traces for the contraction of rat uterine smooth muscle strips treated with DMSO, VER, or coumarin 5; (B) Inhibition rates of contractile tension of DMSO, VER, and coumarin 5; (C) Inhibition rates of contractile activity of DMSO, VER, and coumarin 5. The negative control group was treated with 0.2% DMSO, and the positive control group was treated with 0.5 μM VER. The data are expressed as the mean ± SD (n = 6). ** p < 0.01 vs. control group. Con.: negative control group, Pos.: positive control group.
2.3.2. Effect of Coumarin 5 on Rat Uterine Smooth Muscle Strips Pretreated with Inhibitors
The possible mechanism of coumarin 5 was preliminarily investigated using the same inhibitors (VER, IND, DIP, and PHE) as described for coumarin 1. The results indicated that pretreatment with PHE significantly decreased the relaxant effect of coumarin 5 on uterine smooth muscle, whereas other inhibitors did not change the effect of coumarin 5 (Figure 6). Thus, the inhibitory effect of coumarin 5 on uterus contraction involved the α receptor.
Figure 6.
Inhibitory effect of coumarin 5 (50 μM) on rat uterine smooth muscle strips pretreated with inhibitors (1 × 10−7 M VER, 1 × 10−5 M IND, 1 × 10−6 M DIP, or 1 × 10−6 M PHE). (A) Traces for the contraction of rat uterine smooth muscle strips treated with coumarin 5 with or without inhibitors; (B) Inhibition rates of contractile tension of coumarin 5 with or without inhibitors. The data are expressed as the mean ± SD (n = 6). ** p < 0.01 vs. coumarin 5 group.
2.3.3. Effect of Coumarin 5 on Extracellular Ca2+ Influx and Intracellular Ca2+ Release
Inhibitory Effect of Coumarin 5 on Uterine Smooth Muscle Contraction Induced by K+ Depolarization
In this study, KCl was used to create a high K+ condition for depolarization of the membrane potential, which could open the voltage-dependent Ca2+ channel, causing extracellular Ca2+ influx. As shown in Figure 7, coumarin 5 (10 and 50 μM) showed significant inhibitory effects on rat uterine smooth muscle contraction induced by KCl. These results suggest that coumarin 5 can target the voltage-gated calcium channels to inhibit extracellular Ca2+ influx and decrease the [Ca2+]i.
Figure 7.
Inhibitory effect of coumarin 5 (1, 10, and 50 μM) on KCl-induced uterine smooth muscle contraction. (A) Traces for the KCl-induced contraction of rat uterine smooth muscle strips treated with DMSO, VER, or coumarin 5; (B) Inhibition rates of contractile tension of DMSO, VER, and coumarin 5. The negative control group was treated with 0.2% DMSO, and the positive control group was treated with 0.5 μM VER. The data are expressed as the mean ± SD (n = 6). ** p < 0.01 vs. control group. Con.: negative control group, Pos.: positive control group.
Inhibitory Effect of Coumarin 5 on Uterine Smooth Muscle Contraction Induced by OT in a Ca2+-Free Solution
First, the rat uterine smooth muscle strips showed no obvious spontaneous contraction in a Ca2+-free solution. Then, OT (0.008 U/mL) was added to the solution to increase the uterine smooth muscle contraction (Figure 8). After treatment with coumarin 5 at 1, 10, and 50 μM, the contractile tension was markedly inhibited, with inhibition rates of 45.45 ± 3.40% (p < 0.01 vs. control), 56.93 ± 4.10% (p < 0.01 vs. control), and 74.84 ± 7.65% (p < 0.01 vs. control), respectively. These results indicated that coumarin 5 could inhibit the Ca2+ release from the sarcoplasmic reticulum to decrease the [Ca2+]i.
Figure 8.
Inhibitory effect of coumarin 5 (1, 10, and 50 μM) on OT-induced uterine smooth muscle contraction in a Ca2+-free solution. (A) Traces for the OT-induced contraction of rat uterine smooth muscle strips treated with DMSO, VER, or coumarin 5; (B) Inhibition rates of contractile tension of DMSO, VER, and coumarin 5. The negative control group was treated with 0.2% DMSO, and the positive control group was treated with 0.5 μM VER. The data are expressed as the mean ± SD (n = 6). ** p < 0.01 vs. control group. Con.: negative control group, Pos.: positive control group.
3. Discussion
Motherwort has been used as an important medicine for treating obstetrical and gynecological diseases in China for more than 1,800 years; it has specifically been used to alleviate postpartum hemorrhage and dysmenorrhea [1]. According to the modern medical theory, treatment of postpartum hemorrhage is mainly related to the promotion of uterine contraction [23], whereas dysmenorrhea can be treated by relaxing uterine smooth muscle [24]. In this study, motherwort coumarins were systemically studied to understand how they regulate uterine contraction. The findings revealed that some coumarins exhibited significant effects on regulating uterine smooth muscle strips. Notably, motherwort coumarins with different substituents showed opposite effects on uterine smooth muscle. Specifically, coumarins 1 and 2 promoted uterine contraction, whereas coumarins 3–5 had inhibitory effects. Comparisons of the structures and effects of coumarins 1−4 indicated that the contractile activity of furocoumarins in motherwort is closely related to the substitution of OCH3-5. This is an unusual phenomenon in nature, i.e., for compounds with similar structures to have completely opposite activities [25]. For example, 20(S)-protopanaxadiols have significant antihemolytic effects [26], whereas 20(S)-protopanaxatriols induce hemolysis [27]. Notably, these interesting opposite effects on uterine contraction of motherwort coumarins are associated with the clinical use of motherwort for the treatment of postpartum hemorrhage and dysmenorrhea, which enrich the understanding of active substances in motherwort.
Coumarins 1 and 2 not only promoted the contraction of normal uterine smooth muscle strips but also enhanced the OT-induced uterine smooth muscle contraction, which suggested a synergistic effect of these coumarins with OT. Although OT is a uterotonic drug known for treating postpartum hemorrhage, its receptor saturation and weak contraction effect on the lower segment of uterus limit its clinical efficacy [28] Thus, many studies have investigated the clinical efficacy of a combination of OT and other drugs, such as motherwort preparations. It is well known that uterine contraction is closely related to the concentration of Ca2+ in uterine smooth muscle cells [29]. The contraction of uterine smooth muscle is facilitated by pivotal mechanisms involving L-type calcium channels, α-receptors, histamine H1 receptors, and the synthesis and exocytosis of prostaglandins [24,30,31,32]. To further investigate the mechanism of coumarin 1, four inhibitors were used in this study. VER is an inhibitor of L-type Ca2+ channels, IND is an inhibitor of prostaglandin synthase, DIP is a blocker of H1 receptor, and PHE is a nonselective α-receptor blocker. Among them, only VER and PHE inhibited the excitatory effect of coumarin 1 on uterine smooth muscle, which suggested that coumarin 1 could activate L-type Ca2+ channels and α-receptors to promote uterine contraction. Further studies confirmed that coumarin 1 could significantly increase the level of Ca2+ in uterine tissues by promoting extracellular Ca2+ influx and intracellular Ca2+ release.
Many studies have found that several medicines can treat dysmenorrhea by relaxing the uterine smooth muscle. In this study, three coumarins (3−5) exhibited remarkable relaxant activity on uterine smooth muscle, which may be related to the anti-dysmenorrhea property of motherwort. Notably, although coumarins 4−8 all contain isopentenyl or isopentyl group at C-8, only coumarins 4 and 5 were active. Substitution and oxidation may be the main reasons for this difference in relaxant activity of coumarins on uterine smooth muscle. In addition, the four above-mentioned inhibitors were also used to further study the inhibitory effect of coumarin 5 on uterine contraction. The results showed that only PHE significantly decreased the effect of coumarin 5. Thus, coumarin 5 could play a role in relaxing the uterine smooth muscle via the α receptor, rather than the H1 receptor, L-type Ca2+ channel, or prostaglandin release. Moreover, this study confirmed that coumarin 5 could reduce the level of Ca2+ in uterine tissues by inhibiting extracellular Ca2+ influx and intracellular Ca2+ release. Interestingly, the opposite activities of coumarins 1 and 5 are both related to the α receptor. It is known that two primary subtypes of α-receptor, α1 and α2, play distinct roles in uterine smooth muscle. Activation of the α1 receptor often triggers muscle contractions, while the α2 receptor may prevent muscle contractions or modulate their response, exhibiting a more complex regulatory function. Therefore, it is plausible that the mechanisms of coumarins 1 and 5 might be attributed to their interaction with distinct subtypes of α receptor or the intrinsic activity of the receptor targeted by the two coumarins. Taken together, these findings provide evidence for opposite effects and underlying mechanisms of motherwort coumarins on uterine contraction.
4. Materials and Methods
4.1. Animals
Nonpregnant female Sprague-Dawley rats, weighing 180–220 g, were provided by DaShuo Biotechnology Co., Ltd. (Chengdu, China). All rats were reared in a 12:12 h light/dark cycle environment with a relative humidity of 50 ± 5% and temperature of 25 ± 1 °C. Food and water were administered ad libitum during the study period. All experiments were approved by the Experimental Animal Ethics Committee of Chengdu University of Traditional Chinese Medicine (Approval No. 2020–04).
4.2. Chemicals
Estradiol valerate tablets were purchased from Delpharm Lille S.A.S. (Chengdu, China). NaCl, NaHCO3, KCl, and other chemicals for Locke’s solution were obtained from Chengdu Kelong Chemical Co., Ltd. (Chengdu, China). VER, IND, DIP, and PHE were purchased from Selleck (Shanghai, China).
4.3. Preparation of Uterine Smooth Muscle Strips
Female unfertilized healthy adult Sprague-Dawley rats were selected for experiments and were intragastrically administered estradiol valerate tablets (8 mg/kg) for 2 consecutive days. After the rats were sacrificed by cervical dislocation, the uterine tissue was isolated quickly and placed in a container containing Locke’s solution (157 mM NaCl, 5.6 mM KCl, 2.2 mM CaCl2, 1.8 mM NaHCO3, and 5.6 mM glucose). Adherent fat and connective tissue were carefully removed from the uterus. Then, the uterine muscle was cut into strips of the same length and placed in an isolated organ bath containing Locke’s solution and bubbled with 95% O2 and 5% CO2 at 37 °C. The uterine muscle strips were preloaded with 1 g tension and equilibrated for at least 30 min to obtain a stable spontaneous contraction. The uterine contraction curves were recorded by a 16-channel physiological recording system (ADInstruments Shanghai Trading Co., Ltd., Shanghai, China) [33,34,35].
4.4. Effects of Coumarins on the Uterine Smooth Muscle Strips
After equilibration in Locke’s solution for 30 min, the uterine muscle strips were induced to contract with OT for 10 min. Subsequently, each coumarin (1–8) dissolved in DMSO [32] was added to the bath and monitored for another 10 min. The contractile tension and frequency were recorded, and the inhibition rates of contractile tension and activity were calculated as follows: inhibition rate of contractile tension = (model mean of contractile tension – test mean of contractile tension)/model mean of contractile tension × 100%; inhibition rate of contractile activity = (model mean of contractile tension × frequency) – (test mean of contractile tension × frequency)/(model mean of contractile tension × frequency) × 100%. DMSO (0.2%) served as the negative control, and VER was used as the positive control [31]. In addition, coumarin 1 with the greatest excitatory effect on OT-induced uterine smooth muscle contraction was further evaluated for its effect on normal uterine smooth muscle.
4.5. Effects of Coumarins 1 and 5 on Uterine Smooth Muscle Strips Pretreated with Inhibitors
The normal uterine smooth muscle strips were equilibrated in Locke’s solution for 30 min. Next, the strips were administered by inhibitors (1 × 10−7 M VER, 1 × 10−5 M IND, 1 × 10−6 M DIP, or 1 × 10−6 M PHE) for 10 min. Then, coumarin 1 with an excitatory effect on uterine smooth muscle contraction was added to the bath and monitored for 10 min [30], and 0.2% DMSO served as the negative control. The contractile tension was recorded.
Regarding coumarin 5, which had an inhibitory effect on uterine smooth muscle contraction, the above-mentioned inhibitors were used to pretreat the uterine muscle strips for 10 min. Then, OT was added to induce uterine smooth muscle contraction for another 10 min. Subsequently, coumarin 5 was added to the bath, and the uterine smooth muscle strips were monitored for 10 min. The following experimental procedures and data records were performed as previously described.
4.6. Effects of Coumarins 1 and 5 on External Calcium Influx and Internal Calcium Release in Uterine Smooth Muscle
4.6.1. Excitatory Effect of Coumarin 1 on Uterine Smooth Muscle Contraction in a Ca2+-Free and Recal-Cification Solution
Briefly, the rat uterine smooth muscle strips were equilibrated in Locke’s solution for 30 min. Then, to assess the excitatory effect of coumarin 1 on uterine smooth muscle contraction by promoting intracellular calcium release, the uterine smooth muscle strips were preincubated in Ca2+-free solution containing EGTA for 10 min. Then, coumarin 1 was added to this solution, and the contractile tension was recorded for 10 min. Subsequently, to assess the excitatory effect of coumarin 1 on uterine smooth muscle contraction via extracellular calcium influx, Ca2+ was added to the solution at a final concentration of 2.2 mM. After 10 min of recalcification, the effect of coumarin 1 was tested [31,34]. DMSO (0.2%) served as the negative control.
4.6.2. Inhibitory Effect of Coumarin 5 on Uterine Smooth Muscle Contraction Induced by K+ Depolarization
The uterine muscle strips were equilibrated in Locke’s solution for 30 min. Then, KCl was added to induce a rapid contraction of the uterine muscle strips at a final concentration of 60 mM, followed by slight relaxation and a plateau period of contraction. Subsequently, the inhibitory effect of coumarin 5 at different concentrations on uterine smooth muscle contraction was monitored for 10 min [36]. The contractile tension was recorded, and the inhibition rate of contractile tension was calculated.
4.6.3. Inhibitory Effect of Coumarin 5 on OT-Induced Uterine Smooth Muscle Contraction in Ca2+-Free Solution
After the rat uterine smooth muscle strips were equilibrated in Locke’s solution for 30 min, the solution was replaced by a Ca2+-free solution containing 0.3 mM EGTA. After equilibration, OT was added to make the strips shrink continuously for 10 min. Then, coumarin 5 was added to the bath and monitored for 10 min [36]. The contractile tension was recorded, and the inhibition rate of contractile tension was calculated.
4.7. Statistical Analysis
All results are expressed as the mean ± standard deviation (SD). All experiments were conducted at least six times. Figures were prepared using GraphPad Prism software version 5.0 (GraphPad Software, Inc., San Diego, CA, USA). The paired sample t-test was used to compare the differences, and p < 0.05 was considered statistically significant.
5. Conclusions
Motherwort is an excellent TCM for treating postpartum hemorrhage and dysmenorrhea due to its regulatory effect on uterine smooth muscle contraction. This is the first study to systemically investigate the effects of motherwort coumarins on uterine contraction. Among the eight tested coumarins, coumarins 1 and 2 exhibited remarkable excitatory effects on rat uterine smooth muscle strips, whereas coumarins 3–5 had the opposite effects. Coumarins 1 and 5 were found to be the most active compounds. Further studies using inhibitors indicated that coumarin 1 could activate the L-type Ca2+ channel and α-receptor, whereas coumarin 5 was an α receptor antagonist. In addition, this study confirmed that coumarin 1 significantly promoted extracellular Ca2+ influx and intracellular Ca2+ release to increase [Ca2+]i, whereas coumarin 5 had opposite effects on Ca2+ influx and release. These interesting results reveal that motherwort coumarins with different substituents have opposite effects on uterine smooth muscle and greatly contribute to the regulation of uterine smooth muscle.
Author Contributions
Y.F. and C.L.: conducted the experiments and wrote the manuscript. L.L.: performed the statistical analysis. Y.G.: helped performing the experiments. F.W.: supervised the study. Q.Z.: supervised the study and revised the manuscript. L.X.: fully responsible for the project conceiving, study designing, and finalizing the manuscript. All authors have read and agreed to the published version of the manuscript.
Funding
This work was supported by the Shandong Provincial Key Research and Development Program Major Technological Innovation Project (Grant No. 2021CXGC010508), the National Natural Science Foundation of China (Grant Nos. 82022072 and 81872991), the Innovation Team Program of Jinan City (Grant No. 202228038), the Science and Technology Innovation Talent Program of Sichuan Province (Grant No. 2023JDRC0041), and the Innovation Team and Talents Cultivation Program of National Administration of Traditional Chinese Medicine (Grant No. ZYYCXTD-D-202209).
Institutional Review Board Statement
Not applicable.
Informed Consent Statement
Not applicable.
Data Availability Statement
Data are contained within the article.
Conflicts of Interest
The authors declare no conflict of interest.
References
- Miao, L.-L.; Zhou, Q.-M.; Peng, C.; Liu, Z.-H.; Xiong, L. Leonurus japonicus (Chinese motherwort), an excellent traditional medicine for obstetrical and gynecological diseases: A comprehensive overview. Biomed. Pharmacother. 2019, 117, 109060. [Google Scholar] [CrossRef] [PubMed]
- Shang, X.; Pan, H.; Wang, X.; He, H.; Li, M. Leonurus japonicus Houtt.: Ethnopharmacology, phytochemistry and pharmacology of an important traditional Chinese medicine. J. Ethnopharmacol. 2014, 152, 14–32. [Google Scholar] [CrossRef] [PubMed]
- Sitarek, P.; Skała, E.; Wysokińska, H.; Wielanek, M.; Szemraj, J.; Toma, M.; Śliwiński, T. The Effect of Leonurus sibiricus Plant Extracts on Stimulating Repair and Protective Activity against Oxidative DNA Damage in CHO Cells and Content of Phenolic Compounds. Oxidative Med. Cell. Longev. 2015, 2016, 5738193. [Google Scholar] [CrossRef] [PubMed]
- Zhang, R.-H.; Liu, Z.-K.; Yang, D.-S.; Zhang, X.-J.; Sun, H.-D.; Xiao, W.-L. Phytochemistry and pharmacology of the genus Leonurus: The herb to benefit the mothers and more. Phytochemistry 2018, 147, 167–183. [Google Scholar] [CrossRef] [PubMed]
- Park, M.N.; Um, E.-S.; Rahman, A.; Kim, J.W.; Park, S.S.; Cho, Y.; Song, H.; Son, S.-R.; Jang, D.S.; Kim, W.; et al. Leonurus japonicus Houttuyn induces reactive oxygen species-mediated apoptosis via regulation of miR-19a-3p/PTEN/PI3K/AKT in U937 and THP-1 cells. J. Ethnopharmacol. 2022, 291, 115129. [Google Scholar] [CrossRef]
- Liu, J.; Peng, C.; Zhou, Q.-M.; Guo, L.; Liu, Z.-H.; Xiong, L. Alkaloids and flavonoid glycosides from the aerial parts of Leonurus japonicus and their opposite effects on uterine smooth muscle. Phytochemistry 2018, 145, 128–136. [Google Scholar] [CrossRef]
- Bu, L.; Dai, O.; Zhou, F.; Liu, F.; Chen, J.-F.; Peng, C.; Xiong, L. Traditional Chinese medicine formulas, extracts, and compounds promote angiogenesis. Biomed. Pharmacother. 2020, 132, 110855. [Google Scholar] [CrossRef]
- Yang, H.; Zhou, Q.M.; Peng, C.; Liu, L.S.; Xie, X.F.; Xiong, L.; Liu, Z.H. Coumarins from Leonurus japonicus and their anti-platelet aggregative activity. Chin. J. Chin. Mater. Med. 2014, 39, 4356–4359. [Google Scholar]
- Li, Y.; Xiang, L.; Wang, C.; Song, Y.; Miao, J.; Miao, M. Protection against acute cerebral ischemia/reperfusion injury by Leonuri Herba Total Alkali via modulation of BDNF-TrKB-PI3K/Akt signaling pathway in rats. Biomed. Pharmacother. 2020, 133, 111021. [Google Scholar] [CrossRef]
- Bu, L.; Zhou, Q.-M.; Peng, C.; Shu, H.-Z.; Zhou, F.; Wu, G.-X.; Liu, F.; Tian, H.; Xiong, L. New sesquineolignan glycoside isomers from the aerial parts of Leonurus japonicus and their absolute configurations. Arab. J. Chem. 2024, 17. [Google Scholar] [CrossRef]
- Cao, X.; Wang, X.; Zhang, Y.; Xu, D.; Song, X.; Yu, J.; Bao, J.; Zhang, J.; Zhang, H. New di-spirocyclic labdane diterpenoids from the aerial parts of Leonurus japonicus. Chin. J. Nat. Med. 2023, 21, 551–560. [Google Scholar] [CrossRef] [PubMed]
- Li, D.; Xie, X.F.; Peng, C.; Xiong, L.; Zhao, X.M. Effects of different extracts from Leonurus japonicus Houtt. on isolated smooth muscle of uterus. Pharm. Chin. Clin. Mater. Med. 2014, 5, 24–27. [Google Scholar]
- Fierascu, R.C.; Fierascu, I.; Ortan, A.; Fierascu, I.C.; Anuta, V.; Velescu, B.S.; Pituru, S.M.; Dinu-Pirvu, C.E.; Fierascu, R.C.; Fierascu, I.; et al. Leonurus cardiaca L. as a Source of Bioactive Compounds: An Update of the European Medicines Agency Assessment Report (2010). BioMed Res. Int. 2019, 2019. [Google Scholar] [CrossRef] [PubMed]
- Kumar, A.; Sunita, P.; Jha, S.; Pattanayak, S.P. Daphnetin inhibits TNF-α and VEGF-induced angiogenesis through inhibition of the IKKs/IκBα/NF-κB, Src/FAK/ERK1/2 and Akt signalling pathways. Clin. Exp. Pharmacol. Physiol. 2016, 43, 939–950. [Google Scholar] [CrossRef] [PubMed]
- Sharifi-Rad, J.; Cruz-Martins, N.; López-Jornet, P.; Lopez, E.P.-F.; Harun, N.; Yeskaliyeva, B.; Beyatli, A.; Sytar, O.; Shaheen, S.; Sharopov, F.; et al. Natural Coumarins: Exploring the Pharmacological Complexity and Underlying Molecular Mechanisms. Oxidative Med. Cell. Longev. 2021, 2021. [Google Scholar] [CrossRef]
- He, J.-Y.; Zhang, W.; He, L.-C.; Cao, Y.-X. Imperatorin induces vasodilatation possibly via inhibiting voltage dependent calcium channel and receptor-mediated Ca2+ influx and release. Eur. J. Pharmacol. 2007, 573, 170–175. [Google Scholar] [CrossRef]
- Lu, W.; Zhang, T.; Li, P.; Wang, F.; Pan, X.; Wang, C.; Hu, Z.; Zhang, J. Structural Modeling and Identification of Imperatorin as Novel L-type Calcium Channel Blocker. Med. Chem. 2013, 9, 993–998. [Google Scholar] [CrossRef]
- Skalicka-Woźniak, K.; Mendel, M.; Chłopecka, M.; Dziekan, N. Isolation and evaluation of the myorelaxant effect of bergapten on isolated rat jejunum. Pharm. Biol. 2015, 54, 48–54. [Google Scholar] [CrossRef]
- Kirsch, G.; Abdelwahab, A.B.; Chaimbault, P. Natural and Synthetic Coumarins with Effects on Inflammation. Molecules 2016, 21, 1322. [Google Scholar] [CrossRef]
- Stefanachi, A.; Leonetti, F.; Pisani, L.; Catto, M.; Carotti, A. Coumarin: A Natural, Privileged and Versatile Scaffold for Bioactive Compounds. Molecules 2018, 23, 250. [Google Scholar] [CrossRef]
- Carneiro, A.; Matos, M.J.; Uriarte, E.; Santana, L. Trending Topics on Coumarin and Its Derivatives in 2020. Molecules 2021, 26, 501. [Google Scholar] [CrossRef] [PubMed]
- Shu, S.-J.; Lei, X.-G.; Liang, J.-H.; Song, Y.-H.; Xu, Q.; Chen, X.-D.; Mao, L.-G.; Li, Z.-G. The effects of second messenger cAMP and its relative components on the contraction of uterine smooth muscle of rat. Eur. Rev. Med. Pharmacol. Sci. 2017, 21, 1709–1721. [Google Scholar] [PubMed]
- Abel, M.H.; Hollingsworth, M. The effects of long-term infusion of salbutamol, diltiazem and nifedipine on uterine contractions in the ovariectomized, post-partum rat. Br. J. Pharmacol. 1986, 88, 577–584. [Google Scholar] [CrossRef] [PubMed]
- Wong, J.; Chiang, Y.-F.; Shih, Y.-H.; Chiu, C.-H.; Chen, H.-Y.; Shieh, T.-M.; Wang, K.-L.; Huang, T.-C.; Hong, Y.-H.; Hsia, S.-M. Salvia sclarea L. Essential Oil Extract and Its Antioxidative Phytochemical Sclareol Inhibit Oxytocin-Induced Uterine Hypercontraction Dysmenorrhea Model by Inhibiting the Ca2+–MLCK–MLC20 Signaling Cascade: An Ex Vivo and In Vivo Study. Antioxidants 2020, 9, 991. [Google Scholar] [CrossRef] [PubMed]
- Jung, S.-H.; Heo, H.-Y.; Choe, J.-W.; Kim, J.; Lee, K. Anti-Melanogenic Properties of Velutin and Its Analogs. Molecules 2021, 26, 3033. [Google Scholar] [CrossRef]
- Zhang, H.; Pan, D.; Wu, X.; Su, W.; Tang, X.; Zhao, D.; Sun, L.; Song, B.; Bai, X.; Li, X. Platelet Protease Activated Receptor 1 Is Involved in the Hemostatic Effect of 20(S)-Protopanaxadiol by Regulating Calcium Signaling. Front. Pharmacol. 2020, 11. [Google Scholar] [CrossRef]
- Tong, Q.; Zhu, P.-C.; Zhuang, Z.; Deng, L.-H.; Wang, Z.-H.; Zeng, H.; Zheng, G.-Q.; Wang, Y.; Tong, Q.; Zhu, P.-C.; et al. Notoginsenoside R1 for Organs Ischemia/Reperfusion Injury: A Preclinical Systematic Review. Front. Pharmacol. 2019, 10, 1204. [Google Scholar] [CrossRef]
- Takayanagi, Y.; Onaka, T. Roles of Oxytocin in Stress Responses, Allostasis and Resilience. Int. J. Mol. Sci. 2021, 23, 150. [Google Scholar] [CrossRef]
- Soloff, M.S.; Jeng, Y.-J.; Izban, M.G.; Sinha, M.; Luxon, B.A.; Stamnes, S.J.; England, S.K. Effects of Progesterone Treatment on Expression of Genes Involved in Uterine Quiescence. Reprod. Sci. 2011, 18, 781–797. [Google Scholar] [CrossRef]
- Liu, H.; Zhu, T.; Ma, Y.; Qu, S. Effect of erythromycin on contractile response of uterine smooth muscle strips in non-pregnant rats. Pol. J. Pharmacol. 2003, 55, 57–62. [Google Scholar]
- Xu, J.-D.; Wang, W.; Qin, X.-M. Different mechanisms mediated the potentiation uterine smooth muscle caused by Polygala tenuifolia decoction progesterone in virginal rats. J. Chin. Mater. Medica 2005, 30, 295–297, 319. [Google Scholar]
- Shih, H.-C.; Yang, L.-L. Relaxant effect induced by wogonin from Scutellaria baicalensis on rat isolated uterine smooth muscle. Pharm. Biol. 2012, 50, 760–765. [Google Scholar] [CrossRef] [PubMed]
- Li, Z.; Ma, L.; Xu, J.; Yang, H. Effect of Nutgrass galingale rhizome decotion on contractile activity of uterine smooth muscle strips of non-pregnant rats in vitro. J. Xi’an Jiaotong Univ. (Med. Sci.) 2007, 28, 399–401. [Google Scholar]
- Lijuan, W.; Kupittayanant, P.; Chudapongse, N.; Wray, S.; Kupittayanant, S. The Effects of Wild Ginger (Costus speciosus (Koen) Smith) Rhizome Extract and Diosgenin on Rat Uterine Contractions. Reprod. Sci. 2011, 18, 516–524. [Google Scholar] [CrossRef] [PubMed]
- Ni, H.; Liu, J.; Dai, O.; Feng, R.; Liu, F.; Cao, X.-Y.; Peng, C.; Xiong, L. Chemical composition and uterine smooth muscle relaxant activity of essential oils from 10 kinds of blood-activating and stasis-resolving Chinese medicinal herbs. J. Ethnopharmacol. 2020, 269, 113713. [Google Scholar] [CrossRef]
- Guo, Y.; Zhang, Y.; Hou, Y.; Guo, P.; Wang, X.; Zhang, S.; Yang, P. Anticonstriction Effect of MCA in Rats by Danggui Buxue Decoction. Front. Pharmacol. 2021, 12. [Google Scholar] [CrossRef]
Disclaimer/Publisher’s Note: The statements, opinions and data contained in all publications are solely those of the individual author(s) and contributor(s) and not of MDPI and/or the editor(s). MDPI and/or the editor(s) disclaim responsibility for any injury to people or property resulting from any ideas, methods, instructions or products referred to in the content. |
© 2024 by the authors. Licensee MDPI, Basel, Switzerland. This article is an open access article distributed under the terms and conditions of the Creative Commons Attribution (CC BY) license (https://creativecommons.org/licenses/by/4.0/).















