Abstract
The phenotype of albino tea plants (ATPs) is significantly influenced by temperature regimes and light conditions, which alter certain components of the tea leaves leading to corresponding phenotypic changes. However, the regulatory mechanism of temperature-dependent changes in photosynthetic pigment contents and the resultant leaf colors remain unclear. Here, we examined the chloroplast microstructure, shoot phenotype, photosynthetic pigment content, and the expression of pigment synthesis-related genes in three tea genotypes with different leaf colors under different temperature conditions. The electron microscopy results revealed that all varieties experienced the most severe chloroplast damage at 15 °C, particularly in albino cultivar Baiye 1 (BY), where chloroplast basal lamellae were loosely arranged, and some chloroplasts were even empty. In contrast, the chloroplast basal lamellae at 35 °C and 25 °C were neatly arranged and well-developed, outperforming those observed at 20 °C and 15 °C. Chlorophyll and carotenoid measurements revealed a significant reduction in chlorophyll content under low temperature treatment, peaking at ambient temperature followed by high temperatures. Interestingly, BY showed remarkable tolerance to high temperatures, maintaining relatively high chlorophyll content, indicating its sensitivity primarily to low temperatures. Furthermore, the trends in gene expression related to chlorophyll and carotenoid metabolism were largely consistent with the pigment content. Correlation analysis identified key genes responsible for temperature-induced changes in these pigments, suggesting that changes in their expression likely contribute to temperature-dependent leaf color variations.
1. Introduction
Tea [Camellia sinensis (L.) Kuntze], an evergreen perennial crop valued for its unique taste and rich nutritional content, has become one of the most popular beverages worldwide [1]. Tea plants have a long domestication history that is traced back to 3000 years ago [2]. Throughout long evolution, the evergreen characteristic of tea plants has undergone mutations, leading to a phenomenon known as the albino phenotype (also referred to as albinism) [3]. Albinism, in which the leaf becomes white, is common in many plants, such as Arabidopsis (Arabidopsis thaliana), Tomato (Solanum lycopersicum), Maize (Zea mays), Rice (Oryza sativa), etc. [4,5,6,7]. For most crops, albinism has adverse effects, leading to reduced yields and deteriorated quality due to damage to photosynthetic organs, resulting in an imbalance in carbon and nitrogen metabolism [8]. Compared with normal green tea plants, the L-theanine content in Albino tea plants (ATPs) is 0.5–2 times higher, while the total catechin content is only half that of normal tea plants [9]. ATPs possess a unique ratio of polyphenols to amino acids, enhancing the freshness while simultaneously reducing the bitterness of the tea [10,11]. Thus, tea leaf color variation resources serve as essential materials for genetic breeding programs and represent a crucial source for the development of high value-added products.
In China, ATPs are becoming increasing attention, and their planting range is gradually expanding, with a gradual introduction from low altitude to high altitude. Various ecological factors, including light, temperature, humidity, rainfall, and soil conditions, affect the flavor and aroma of tea [12,13,14]. Notably, temperature not only has a great impact on the quality-related substances of the tea but also on the pigment content of the tea leaves, which should not be overlooked. Zhao et al. found that chlorophyll content decreases under low temperature conditions due to the inhibition of chlorophyll biosynthesis enzymes [15]. Carotenoid biosynthesis is regulated by various factors, including environmental conditions, endogenous signals, and transcriptional levels of biosynthetic genes [16,17,18]. ATPs can be classified according to the different environmental conditions of albinism: temperature sensitive, light sensitive and ecologically sensitive. In temperature-sensitive tea plants, the new buds typically sprout and turn white when temperatures are below 20 °C with the upper threshold between 20 and 22 °C, and when the temperature is greater than 23 °C, the phenomenon of whitening does not occur. On the other hand, the start-up temperature of re-greening is about 16–18 °C, and at a temperature lower than 16 °C, the re-greening speed is slowed down [19]. Light and temperature can regulate the accumulation of secondary metabolites at multiple levels, particularly, environmental factors at different temperatures affect polyphenol accumulation [20].
Differential expression of genes related to the chlorophyll and carotenoid metabolic pathways results in alterations in the relative amounts of these two photosynthetic pigments, leading to albino phenotype in ‘Baiye 1’ (BY) and ‘Zhonghuang 1’ (ZH) tea cultivars [21,22]. The typical chlorophyll synthesis pathway involves the sequential synthesis of the following metabolites: glutamate (Glu) → 5-aminolevulinic acid (ALA) → protoporphyrin IX (Proto IX) → magnesium protoporphyrin IX (Mg- Proto IX) → chlorophyll a (Chl a) → chlorophyll b (Chl b). Mutations in any of the 16 genes involved in the chlorophyll biosynthesis pathway may lead to changes in leaf color in plants. Expression analysis of chlorophyll synthesis-related genes showed that transcript levels of the glutamate-tRNA reductase gene (CsGluTR), chlorophyll synthase gene (CsChl), and chlorophyllate acetate oxidase gene (CsCAO) greatly differ at different stages of albinism in ‘Baiye 1’, suggesting that the blockage in the chlorophyll synthesis pathway is the direct cause of albino phenotype of ‘Baiye 1’ [23]. A comparative study of photosensitive albino tea ‘Huangjinya’ and normal green leaf tea ‘Fudingdabai’ revealed that strong light regulated the expression of carotenoid synthesis gene-related pathways, leading to the accumulation of carotenoids, and that the lack of chlorophyll and the accumulation of carotenoids were responsible for the yellow coloration or albino phenotype of new shoots in ‘Huangjinya’ [18]. The expression level of lycopene β-cyclase gene (CsLCYb), a key gene for carotenoid synthesis in tea plants, was positively correlated with the degree of albinism in different leaf positions of the albino variety ‘Zhonghuang 2’ and was consistent with the level of carotenoid content. It was also found that the relative expression of this gene was higher in ‘Zhonghuang 2’ than in ‘Longjing 43’ (LJ) [24].
The current study aims to investigate the impact of different temperature conditions on leaf color phenotype, photosynthetic pigment content, and associated gene expression in three tea cultivars differing in leaf colors. It is important to note that different tea varieties have varying tolerance and response to environmental factors, indicating their unique response mechanisms. Therefore, it is necessary to study the effect of temperature on the leaf color phenotype of different tea varieties and the response mechanism of tea plants with different leaf colors to multiple temperature conditions. This study can provide a theoretical basis for understanding the response mechanism of tea plants to temperature.
2. Results and Discussion
2.1. Variations in Shoot Phenotype under Different Temperatures
Under different temperature treatments, the shoot color of ‘BY’ gradually changed from white to green as the temperature increased (Figure 1). Similarly, the shoot color of the albino cultivar ‘ZH’ shifted from yellow to green with rising temperatures, although the extent of this change was less pronounced compared to ‘BY’. In contrast, ‘LJ’ exhibited minimal color change, maintaining its evergreen characteristic across the temperature variations.
Figure 1.
The shoot phenotype (one bud and two leaves) of ‘Longjing 43’ (LJ), ‘Baiye 1’ (BY), and ‘Zhonghuang 1’ (ZH) tea cultivars under 15 °C, 20 °C, 25 °C, and 35 °C temperature conditions.
Such differences in leaf color changes may be attributed to the diverse responses of certain metabolic pathways to temperature changes in the albino tea plants. Previous studies on the albino cultivar ‘BY’ have established its critical temperature threshold, with leaves turning white at temperatures below 20 °C, and our findings corroborate this phenomenon [21,25]. In the case of ‘ZH’, the observed changes were less significant. Wang et al. found that both ‘ZH1’ and ‘ZH2’ were influenced by both temperature and light, with single temperature changes having a lesser impact on leaf color [26].
2.2. Effects of Different Temperatures on Chloroplast Ultrastructure
Chloroplasts, specialized plastids in higher plants and algal cells, perform photosynthesis and are crucial in the synthesis of pigments, amino acids, and fatty acids [27]. The size and number of chloroplasts in higher plants often vary across species, but their structure is relatively stable, typically oval with a smooth surface. Some have small vesicles protruding from the outer membrane. The inner basal lamellae of chloroplasts are tightly stacked, neatly arranged, and structurally intact. Chloroplasts can rapidly respond to environmental changes, and their development can be influenced by various factors, such as temperature [28]. Low temperatures often damage the morphology, structure, and function of chloroplasts [29,30]. Transmission electron microscopy (Figure 2) has shown that at 25 °C, chloroplasts in the BY are intact and the basal lamellae are tightly arranged. However, at 15 °C and 20 °C, the arrangement of chloroplast basal lamellae is much looser. Particularly at 15 °C, some chloroplasts appear empty. LJ and ZH also exhibit similar trends to varying degrees, though not as pronounced as in ‘BY’. At higher temperatures, chloroplasts in these three tea varieties appear normal. These results indicate that low temperatures, rather than high temperatures, disrupt the chloroplasts in tea leaves, causing developmental abnormalities. Among the three varieties, BY is the most sensitive to low-temperature treatment, showing the most severe damage at these conditions.
Figure 2.
The changes in chloroplast ultrastructure of ‘Longjing 43’ (LJ), ‘Baiye 1’ (BY), and ‘Zhonghuang 1’ (ZH) tea cultivars under 15 °C, 20 °C, 25 °C, and 35 °C temperature conditions. The black ellipse is the chloroplast; the white area within the ellipse is the gap caused by poorly aligned chloroplast basal granules; and the gray stripe is the cell wall. GT, grana thylakoid; PG, plastoglobule; V, void. All photographs are scaled to 1 μm.
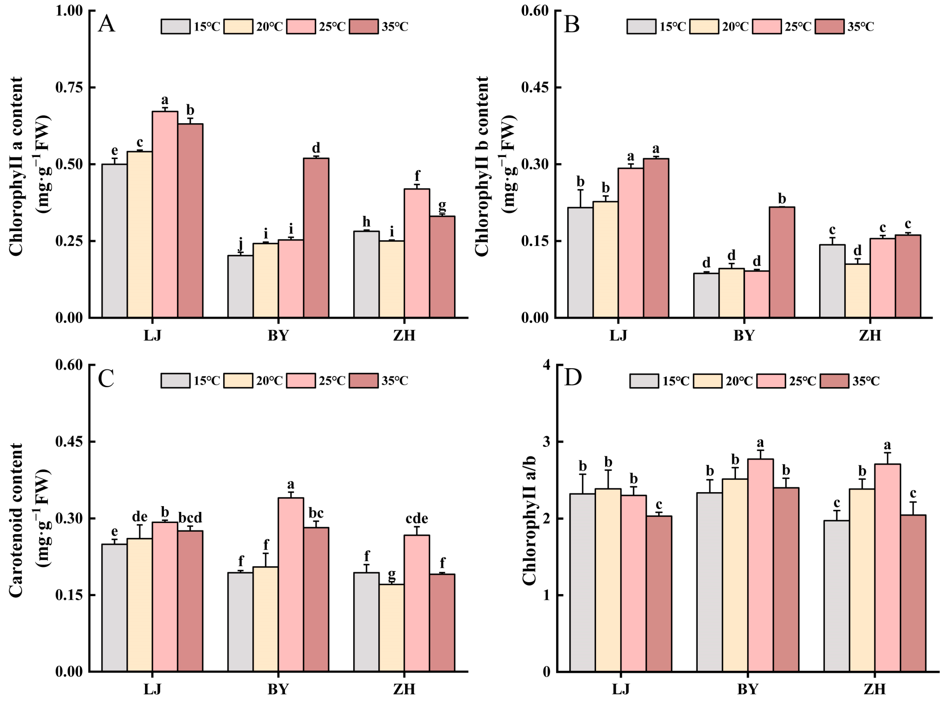
2.3. Changes in Photosynthetic Pigment Content under Different Temperatures
In the four temperature treatments, the descending sort of chlorophyll a content in leaves of BY was 35 °C, 25 °C, 20 °C, and 15 °C (Figure 3A,B). However, the highest chlorophyll a content in leaves of LJ and ZH was when treated with 25 °C (Figure 3A,B). The chlorophyll b content in leaves of LJ, ZH, and BY decreased with the decreasing temperature. These results showed that BY exhibited chlorophyll content reduction only at low temperatures, whereas the chlorophyll content of LJ and ZH was affected by both high and low temperatures. This finding is consistent with the previous results that BY is a low-temperature-sensitive albino tea plant, when the temperature is < 20 °C, the leaf color is white and when the temperature increases to room temperature, the leaves return to a normal green color [31,32]. The descending sort of carotenoid content in leaves of LJ, ZH, and BY was 25 °C, 35 °C, 20 °C, and 15 °C (Figure 3C). Low temperature had a greater effect on the carotenoid content of the three tea plant cultivars, but because BY is a temperature-sensitive albino tea plant, the effect of low temperature on its carotenoid content was greater than that of LJ and ZH. This finding is consistent with the research by Ritonga et al., who demonstrated that photosynthetic pigment content is significantly reduced under cold stress conditions [33]. This is likely to be caused by the suppression of carotenoid synthesis-related genes at low temperature. The ratio of Chlorophyll a/b was suppressed to different degrees under high and low temperature (Figure 3D). Deng et al. investigated the expression of carotenoid-related genes in BY under 15 °C, 19 °C, and 23 °C treatments, and found that the expression of PSY, LCYB, LCYE, and VDE was suppressed under 15 °C conditions [34]. Du et al. found that the carotenoid content in the leaves of the temperature-sensitive albino tea ‘Xiaoxueya’ was significantly lower at 15 °C than at 25 °C [35]. In the green tea species, low temperature inhibited the accumulation of carotenoids, and the decrease in the carotenoid content was smaller at 15 °C due to the suppression of the expression of the VDE gene at low temperatures [35]. Low temperatures have a greater effect on pigment content than high temperatures [36].
Figure 3.
Effects of different temperature conditions on photosynthetic pigment content. (A) Chlorophyll a content. (B) Chlorophyll b content. (C) Carotenoid content. (D) Chlorophyll a Chlorophyll b ratio. FW, fresh weight (each bar shows the mean, n = 3). Lower case letters represent the level of significance (p < 0.05) between treatment groups. Groups with non-repeated letters are statistically significant, while groups with the same letter are not significantly different from each other.
2.4. Changes in the Expression of Genes Related to Chlorophyll and Carotenoid Metabolic Pathways
Chlorophyll synthesis-related genes (PBGS, PBGD, and CAO) play key roles in the biosynthesis of tetrapyrroles and chlorophylls, regulating the production of chlorophyll precursors and the conversion of chlorophyll a to chlorophyll b, which are crucial for photosynthesis and plant adaptation to changing light environments [37,38,39]. The expression levels of chlorophyll synthesis-related genes in BY and ZH were higher than LJ under the four different temperature conditions. This finding aligns with more recent research highlighting the essential roles of PBGS and PBGD in the tetrapyrrole biosynthesis pathway [37,38]. Similarly, CAO, which converts chlorophyllide a to chlorophyllide b, remains vital for maintaining the chlorophyll a/b ratio, ensuring efficient photosynthesis and adaptation to changing light conditions [39].
When compared to LJ, BY and ZH exhibited lower expression levels of genes directly responsible for the synthesis of chlorophyll a and b, particularly CHLG, a gene critical in the final steps of chlorophyll biosynthesis. Recent studies confirm that downregulation of CHLG results in reduced chlorophyll levels, leading to compromised photosynthetic efficiency [40]. Additionally, BY and ZH showed higher expression levels of chlorophyll degradation-related genes, which could further explain their lower chlorophyll content compared to LJ. This is consistent with recent findings indicating that enhanced expression of chlorophyllase and PAO correlates with accelerated chlorophyll breakdown under environmental stress [41].
The expression patterns of most genes in this study corresponded with the trends in chlorophyll content, following the order: 25 °C > 35 °C > 20 °C > 15 °C (Figure 4). These results are in line with studies showing that chlorophyll accumulation typically peaks at moderate temperatures, where photosynthetic machinery operates optimally [42]. Moreover, under the same temperature conditions, the expression levels of PPOX, MgPEC, CAO, and POR genes in LJ were higher than those in BY and ZH, reflecting the higher chlorophyll content in LJ. The importance of these genes in chlorophyll biosynthesis, particularly under varying environmental conditions, has been revealed by recent studies [43,44,45,46]. Changes in the expression of the POR gene are a key factor in triggering albinism in tea plants. Studies have consistently shown that significant reductions in chlorophyll content in albino leaves are linked to downregulated POR expression at the protein level and lower transcripts of associated coding genes [47]. Furthermore, similar observations have been made in other species, such as rice, where the deletion of a guanine base in the second exon of the PORB gene in the rice leaf color mutant fgl led to a yellowish-green phenotype [48].
Figure 4.
Chlorophyll metabolic pathways and expression levels of chlorophyll metabolism-related genes in LJ, BY, and ZH under 15 °C, 20 °C, 25 °C, and 35 °C temperature conditions.
In addition, the expression trends of most carotenoid synthesis-related genes closely mirrored the trends in carotenoid content (Figure 5). This is consistent with recent studies that emphasize the coordinated regulation of chlorophyll and carotenoid pathways, ensuring a balance between these pigments, which is essential for effective light harvesting and photoprotection [49].
Figure 5.
Carotenoid metabolic pathways and expression levels of carotenoid metabolism-related genes in LJ, BY, and ZH under 15 °C, 20 °C, 25 °C and 35 °C temperature conditions.
2.5. Correlation Analysis of Chlorophyll Metabolism-Related Gene Expression and Chlorophyll Content
Pearson correlation analysis was conducted to examine the relationship between chlorophyll a and b content and the expression of genes involved in the chlorophyll metabolic pathway in LJ, BY, and ZH (Figure 6A). The results revealed that most gene expressions were highly positively correlated with chlorophyll a and b content across different temperatures (Supplementary Table S1). Specifically, UROD, CPOX, and MgPMT expression levels showed a significant positive correlation with chlorophyll a content, while MgPMT, CPOX, and MgPEC expressions were significantly positively correlated with chlorophyll b content (p < 0.05). Similarly, in BY and ZH, the expression of most chlorophyll metabolic genes was positively correlated with chlorophyll a and b content. In BY, GluTR/hemA demonstrated a significant positive correlation with both chlorophyll a and b content (p < 0.05). GluTR, encoded by hemA, is a key regulator of chlorophyll synthesis, catalyzing the formation of ALA from l-glutamyl tRNA, a critical step in chlorophyll biosynthesis [50]. Recent studies on rice chlorophyll-deficient mutants have also identified that mutations in hemA, the gene encoding GluTR, can lead to a complete blockage of the chlorophyll synthesis pathway, resulting in altered leaf morphology [51].
Figure 6.
Pearson correlation analysis. (A) Chlorophyll content and expression of genes related to chlorophyll metabolism. (B) Pearson correlation analysis of carotenoid content and expression of genes related to carotenoid metabolism. Correlation expressed as R-value, with |R| ≥ 0.6 being moderately correlated and |R| ≥ 0.8 being highly correlated (the size of the circle shows the absolute value of R, red represents positive correlation, blue represents negative correlation, and * shows the level of significance: *, p < 0.05; **, p < 0.01).
In addition, NYC1, a crucial gene promoting chlorophyll degradation, showed a moderate but not significant negative correlation with chlorophyll a and b content, which is consistent with previous findings [52,53]. In ZH, UROD, PPOX, MgPMT, CHLG, and CAO expression levels exhibited a highly positive correlation with chlorophyll a content, with UROD, PPOX, and MgPMT showing significant correlations (p < 0.05). Recent studies have indicated that under low-temperature stress, UROD content decreases significantly, which can impact chlorophyll production [54]. PPOX, which catalyzes the oxidation of protoporphyrinogen IX to protoporphyrin IX, is the last shared step in the biosynthesis of both chlorophyll and heme, and its activity directly affects chlorophyll content [55]. In Arabidopsis, knockout mutations of the CHLM gene, responsible for magnesium-protoporphyrin IX methyltransferase activity, demonstrated its essential role in chlorophyll formation and the assembly of the photosystem complex [56].
The correlation between CHLG and CAO expression and chlorophyll a content was highly significant. In the final step of chlorophyll biosynthesis, CHLG esterifies chlorophyll a and b with phytol or geranylgeranyl pyrophosphate in the chloroplasts [57]. Furthermore, in ZH, UROS expression exhibited a significant positive correlation with chlorophyll b content (p < 0.05). These key genes, which show positive and highly significant correlations with chlorophyll content, likely contribute to variations in chlorophyll levels as their expression changes with temperature. Our analysis suggests that the differences in leaf color observed in LJ, BY, and ZH under varying temperatures are more likely due to differential chlorophyll biosynthesis rather than chlorophyll degradation.
2.6. Correlation Analysis of Carotenoids Metabolism-Related Gene Expression and Carotenoids Content
To investigate the relationship between the expression of carotenoid pathway-related genes and carotenoid content, we performed Pearson correlation analyses (Supplementary Table S2). In LJ, the expression levels of Z-IOS, BCH, ZEP, CCD1, and CYP97A exhibited positive correlations with carotenoid content (Figure 6B). This aligns with previous research indicating that CYP97A, a cytochrome P450 enzyme, plays a key role in the hydroxylation of carotenoids, impacting carotenoid composition and content in plants [58]. Similarly, CCD1, a carotenoid cleavage dioxygenase, has been shown to influence carotenoid degradation and ,thus, affecting overall carotenoid levels [59].
In BY, DXS, PDS, ZDS, and LCYb1 were highly correlated with carotenoid content, with the correlation between ZDS expression and carotenoid content showing significant correlations (p < 0.05). This finding is consistent with studies highlighting the importance of ZDS (z-carotene desaturase) and DXS (1-deoxy-D-xylulose-5-phosphate synthase) in carotenoid biosynthesis, where they serve as critical enzymes in the early steps of the pathway [60,61]. Additionally, LCYb1 has been identified as a major determinant of carotenoid accumulation, as it controls the cyclization of lycopene to produce β-carotene, a precursor for various other carotenoids [62].
In ZH, the expression of GGPPS2 and CYP97A showed strong positive correlations with carotenoid content, with GGPPS2 showing significant correlations (p < 0.05). This is in line with recent research indicating that GGPPS2 is crucial for the production of geranylgeranyl diphosphate, a key precursor for carotenoid biosynthesis, and its regulation is vital for carotenoid accumulation [63]. Studies have also emphasized that GGPPS2 expression is tightly linked to environmental factors, further supporting its role in modulating carotenoid content under varying conditions [64].
Our study clarifies the importance of these genes in regulating carotenoid biosynthesis and highlights the influence of environmental conditions on their expression and, thus, contributing to the observed variation in carotenoid content among the tea plant varieties.
3. Materials and Methods
3.1. Plant Materials and Treatments
The tea cultivar ‘Baiye 1’ (BY), ‘Longjin43’ (LJ) and ‘Zhonghuang 1’ (ZH) were collected in July 2023 at the Tea Research Institute of the Chinese Academy of Agricultural Sciences (TRI, CAAS, N30°10′, E120°5′). ‘Longjing 43’ is a widely cultivated green-leaf tea variety known for its stress resistance (cold, drought, heat, and heavy metal) and high-quality tea production [65,66,67,68]. ‘Baiye 1’ and ‘Zhonghuang 1’ are temperature-sensitive albino tea varieties, exhibiting white and yellow leaf colors under low temperature conditions, respectively. All tea plants were not obtained through EMS (ethyl methanesulfonate) mutagenesis but were instead bred through natural variation and long-term selection. Plants were set in plastic containers, which were placed within different plant growth chambers with 600 μmol·m−2·s−1 PAR, 16 h/8 h photoperiod, and 65% relative humidity. All plants were divided into four treatments until the one bud and two leaves stage as follows: (1) Low temperature (15 °C): plants grew at a temperature of 15/10 °C (day/night). (2) Sub-low temperature (20 °C): plants grew at a temperature of 20/15 °C (day/night). (3) Normal temperature (25 °C): plants grew at a temperature of 25/20 °C (day/night). (4) High temperature (35 °C): plants grew at a temperature of 35/30 °C (day/night). Each treatment comprised three biological replicates and was carried out under a completely randomized design (CRD).
3.2. Determination of Photosynthetic Pigment Contents
Fresh leaf tissues (0.2 g) were ground into powder and then soaked in 10 mL of 80% acetone and stored in a dark place until it turned white. The absorbance of each sample at 663 nm, 645 nm, and 445.5 nm was determined after zeroing with 80% acetone by an ultraviolet-visible spectrophotometer (UV-6100, METASH, Shanghai, China). Chl content was calculated using the formula illustrated as follows:
Chla (μg/mL) = 9.78 × A663 − 0.99 × A645
Chlb (μg/mL) = 21.4 × A645 − 4.65 × A663
Car (μg/mL) = 4.69 × A445.5 − (chla + chlb) × 0.268
3.3. Transmission Electron Microscopy (TEM) Observation
The fresh leaf samples were fixed with 2.5% glutaraldehyde at 4 °C overnight and rinsed with 0.1 M phosphate buffer (pH 7.0) three times for 15 min each time. The samples were post-fixed with 1% osmium tetroxide for 1–2 h and then washed with 0.1 M phosphate buffer (pH 7.0) three times for 15 min each time. After that, the samples were dehydrated with graded concentrations (30%, 50%, 70%, 80%, v/v) of ethanol, then dehydrated twice with 100% acetone for 20 min. The dehydrated samples were embedded with a mixture of Spurr resin and acetone 1:1(v/v) for 1 h, then transferred in a mixture of Spurr resin and acetone (3:1, v/v) for 3 h. Finally, samples were treated with pure Spurr resin overnight at room temperature. The samples were cut into 70–90 nm sections by using a LEICA EM UC7 ultrathome (Leica, Wetzlar, Germany), and the sections were stained with a uranyl acetate and alkaline lead citrate for 7 min each. Finally, the samples were observed through a Hitachi H-7650 TEM (Hitachi, Tokyo, Japan).
3.4. RNA Extraction, cDNA Synthesis and Real-Time Reverse Transcription Quantitative Polymerase Chain Reaction (RT-qPCR)
Leaf samples collected from three cultivars under different temperature treatments were ground in liquid nitrogen, and RNA was extracted using the Plant RNA Extraction Kit (TIANGEN Biochemical Technology Co., Beijing, China). Reverse Transcriptase kits (Thermo Fisher Scientific Co. in China, Shanghai, China) were used to synthesize the complementary DNAs (cDNA). RT-qPCR analysis was performed using the GeneRuler DNA Ladder Mix kit (Accurate Biotechnology Co., Changsha, China). The RT-qPCR reaction mixture (10 μL) consisted of 5 μL of SybrGreen qPCR Master Mix, 1 μL of cDNA, 0.2 μL of forward and reserve primers, and 3.6 μL of enzyme-free ddH2O. The PCR reaction conditions were as follows: denaturation at 95 ℃ for 30 s, 40 cycles, denaturation at 95 ℃ for 5 min and annealing and extension at 60 ℃ for 30 s. Gene-specific primers were designed using the NCBI Primer-BLAST tool (https://www.ncbi.nlm.nih.gov/tools/primerblast/index.cgi?LINK_LOC=BlastHome, accessed 26 October 2023). All primer sequences are shown in Supplementary Table S3. GAPDH served as a housekeeping gene. The relative gene expression was calculated by the formula of 2−ΔΔCt (Supplementary Table S4).
3.5. Statistical Analysis
Statistical analyses were performed by one-way ANOVA in combination with Duncan’s test in SPSS version 22.0 (SPSS, Chicago, IL, USA). The means were tested by the least significant difference test (LSD test) at p ≤ 0.05. Pearson correlation analysis and figures were drawn using Origin 8.6 software (Origin Lab, Northampton, MA, USA).
4. Conclusions
In summary, the differential temperature treatments applied to tea plant varieties LJ, BY, and ZH, significantly influenced chloroplast structure, pigment content, and shoot phenotypes. The results indicated that low temperatures (15 °C) induced more severe chloroplast damage, particularly in BY, while higher temperatures (25–35 °C) resulted in better-developed chloroplasts. Additionally, pigment analysis revealed that chlorophyll content peaked at ambient temperatures but was significantly reduced under low temperatures. BY exhibited resilience to high temperatures, maintaining relatively high chlorophyll content, highlighting its sensitivity, primarily to low temperatures. These observations were further supported by the expression patterns of key pigment synthesis-related genes, which correlated with the changes in chlorophyll and carotenoid contents. This study signifies the critical role of temperature in regulating tea plant pigment content and growth, providing insights for future breeding and cultivation strategies. However, further investigation is necessary to unravel the intricate interactions between temperature, pigment synthesis, and leaf color changes at the molecular level.
Supplementary Materials
The following supporting information can be downloaded at: https://www.mdpi.com/article/10.3390/ijms251910772/s1.
Author Contributions
Conceptualization, P.X., J.Y. and X.L.; data curation, P.X. and J.Y.; formal analysis, J.Y., S.G. and X.L.; funding acquisition, W.-W.D. and X.L.; investigation, R.M., Y.M. and Z.L.; methodology, P.X., S.G. and W.-W.D.; resources, C.D., W.-W.D. and X.L.; software, P.X. and J.Y.; supervision, Y.J. and Z.L.; validation, J.Y., R.M. and Q.H.; writing—original draft, J.Y. and X.L.; writing—review and editing, X.L. All authors have read and agreed to the published version of the manuscript.
Funding
This work was supported by the Zhejiang Provincial Natural Science Foundation of China (LR22C160002), the National Natural Science Foundation of China (32102440; U22A20499), the Innovation Project of the Chinese Academy of Agricultural Sciences (CAAS-ASTIP-2021-TRICAAS), and the Anjibaicha Tea Resource Comprehensive Utilization Research Center.
Institutional Review Board Statement
Not applicable.
Informed Consent Statement
Not applicable.
Data Availability Statement
All data are available on request to corresponding author.
Conflicts of Interest
The authors declare no conflicts of interest.
References
- Xia, E.H.; Zhang, H.B.; Sheng, J.; Li, K.; Zhang, Q.J.; Kim, C.; Zhang, Y.; Liu, Y.; Zhu, T.; Li, W.; et al. The Tea Tree Genome Provides Insights into Tea Flavor and Independent Evolution of Caffeine Biosynthesis1. Mol. Plant 2017, 10, 866–877. [Google Scholar] [CrossRef] [PubMed]
- Li, M.M.; Meegahakumbura, M.K.; Wambulwa, M.C.; Burgess, K.S.; Möller, M.; Shen, Z.F.; Li, D.Z.; Gao, L.M. Genetic analyses of ancient tea trees provide insights into the breeding history and dissemination of Chinese Assam tea (Camellia sinensis var. assamica). Plant Divers. 2024, 46, 229–237. [Google Scholar] [CrossRef] [PubMed]
- Zhang, C.; Wang, M.; Gao, X.; Zhou, F.; Shen, C.; Liu, Z. Multi-omics research in albino tea plants: Past, present, and future. Sci. Hortic. 2020, 261, 108943. [Google Scholar] [CrossRef]
- Naested, H.; Holm, A.; Jenkins, T.; Nielsen, H.B.; Harris, C.A.; Beale, M.H.; Andersen, M.; Mant, A.; Scheller, H.; Camara, B.; et al. Arabidopsis VARIEGATED 3 encodes a chloroplast-targeted, zinc-finger protein required for chloroplast and palisade cell development. J. Cell Sci. 2004, 117, 4807–4818. [Google Scholar] [CrossRef]
- Ishiga, Y.; Uppalapati, S.R.; Ishiga, T.; Elavarthi, S.; Martin, B.; Bender, C.L. The phytotoxin coronatine induces light-dependent reactive oxygen species in tomato seedlings. New Phytol. 2009, 181, 147–160. [Google Scholar] [CrossRef]
- Asakura, Y.; Hirohashi, T.; Kikuchi, S.; Belcher, S.; Osborne, E.; Yano, S.; Terashima, I.; Barkan, A.; Nakai, M. Maize mutants lacking chloroplast FtsY exhibit pleiotropic defects in the biogenesis of thylakoid membranes. Plant Cell 2004, 16, 201–214. [Google Scholar] [CrossRef]
- Jiang, H.; Li, M.; Liang, N.; Yan, H.; Wei, Y.; Xu, X.; Liu, J.; Xu, Z.; Chen, F.; Wu, G. Molecular cloning and function analysis of the stay green gene in rice. Plant J. 2007, 52, 197–209. [Google Scholar] [CrossRef]
- Kumari, M.; Clarke, H.J.; Small, I.; Siddique, K.H.M. Albinism in Plants: A Major Bottleneck in Wide Hybridization, Androgenesis and Doubled Haploid Culture. Crit. Rev. Plant Sci. 2009, 28, 393–409. [Google Scholar] [CrossRef]
- Fan, Y.G.; Zhao, T.T.; Xiang, Q.Z.; Han, X.Y.; Yang, S.S.; Zhang, L.X.; Ren, L.J. Multi-Omics Research Accelerates the Clarification of the Formation Mechanism and the Influence of Leaf Color Variation in Tea (Camellia sinensis) Plants. Plants 2024, 13, 426. [Google Scholar] [CrossRef]
- Zou, G.; Xiao, Y.; Wang, M.; Zhang, H. Detection of bitterness and astringency of green tea with different taste by electronic nose and tongue. PLoS ONE 2018, 13, e0206517. [Google Scholar] [CrossRef]
- Liu, D.; Wei, K.; Zhang, C.; Liu, H.; Gong, Y.; Ye, Y.; Chen, J.; Yao, M.; Chen, L.; Ma, C. The potential effects of chlorophyll-deficient mutation and tree_age on the accumulation of amino acid components in tea plants. Food Chem. 2023, 411, 135527. [Google Scholar] [CrossRef] [PubMed]
- Wang, M.; Yang, J.; Li, J.; Zhou, X.; Xiao, Y.; Liao, Y.; Tang, J.; Dong, F.; Zeng, L. Effects of temperature and light on quality-related metabolites in tea [Camellia sinensis (L.) Kuntze] leaves. Food Res. Int. 2022, 161, 111882. [Google Scholar] [CrossRef] [PubMed]
- Ye, J.J.; Lin, X.Y.; Yang, Z.X.; Wang, Y.Q.; Liang, Y.R.; Wang, K.R.; Lu, J.L.; Lu, P.; Zheng, X.Q. The light-harvesting chlorophyll a/b-binding proteins of photosystem II family members are responsible for temperature sensitivity and leaf color phenotype in albino tea plant. J. Adv. Res. 2023, 23, 404–406. [Google Scholar] [CrossRef] [PubMed]
- Chen, Y.; Han, Y.; Tong, H. Amino acids and flavonoids analysis reveals quality constituents difference among different albino tea resources. Food Chem. 2024, 449, 139200. [Google Scholar] [CrossRef]
- Zhao, Y.; Han, Q.; Ding, C.; Huang, Y.; Liao, J.; Chen, T.; Feng, S.; Zhou, L.; Zhang, Z.; Chen, Y.; et al. Effect of Low Temperature on Chlorophyll Biosynthesis and Chloroplast Biogenesis of Rice Seedlings during Greening. Int. J. Mol. Sci. 2020, 21, 1390. [Google Scholar] [CrossRef] [PubMed]
- Akiyama, K.; Matsuzaki, K.; Hayashi, H. Plant sesquiterpenes induce hyphal branching in arbuscular mycorrhizal fungi. Nature 2005, 435, 824–827. [Google Scholar] [CrossRef]
- Karlova, R.; Rosin, F.M.; Busscher-Lange, J.; Parapunova, V.; Do, P.T.; Fernie, A.R.; Fraser, P.D.; Baxter, C.; Angenent, G.C.; de Maagd, R.A. Transcriptome and Metabolite Profiling Show That APETALA2a Is a Major Regulator of Tomato Fruit Ripening. Plant Cell 2011, 23, 923–941. [Google Scholar] [CrossRef]
- Li, N.; Yang, Y.; Ye, J.; Lu, J.; Zheng, X.; Liang, Y. Effects of sunlight on gene expression and chemical composition of light-sensitive albino tea plant. Plant Growth Regul. 2016, 78, 253–262. [Google Scholar] [CrossRef]
- Arango, J.; Jourdan, M.; Geoffriau, E.; Beyer, P.; Welsch, R. Carotene Hydroxylase Activity Determines the Levels of Both α-Carotene and Total Carotenoids in Orange Carrots. Plant Cell 2014, 26, 2223–2233. [Google Scholar] [CrossRef]
- Wei, C.; Yang, H.; Wang, S.; Zhao, J.; Liu, C.; Gao, L.; Xia, E.; Lu, Y.; Tai, Y.; She, G.; et al. Draft genome sequence of Camellia sinensis var. sinensis provides insights into the evolution of the tea genome and tea quality. Proc. Natl. Acad. Sci. USA 2018, 115, e4151–e4158. [Google Scholar] [CrossRef]
- Xu, C.; Li, J.; Wang, H.; Liu, H.; Yu, Z.; Zhao, Z. Whole-Transcriptome Sequencing Reveals a ceRNA Regulatory Network Associated with the Process of Periodic Albinism under Low Temperature in Baiye No. 1 (Camellia sinensis). Int. J. Mol. Sci. 2023, 24, 7162. [Google Scholar] [CrossRef] [PubMed]
- Zhang, K.; Feng, X.; Liu, Y.; Yang, Y.; Hao, X.; Li, D.; Wang, X.; Wang, L. Integrative transcriptome and whole-genome bisulfite sequencing analyses of a temperature-sensitive albino tea plant cultivar. Physiol. Plant. 2023, 175, e14064. [Google Scholar] [CrossRef]
- Chun-Lei, M.A.; Yao, M.Z.; Wang, X.C.; Jin, J.Q.; Chen, L. Cloning and Expression of Three Genes Involved in Chlorophyll Biosynthesis at Different Albescent Stages of Tea Plant Variety “Baiye 1”. Acta Agron. Sin. 2015, 41, 240–250. [Google Scholar]
- Liu GuanHua, L.G.; Yang Mei, Y.M.; Fu JianYu, F.J. Cloning and functional analysis of CsLCYb and CsLCYe for carotene biosynthesis in tea plant (Camellia sinensis). J. Tea Sci. 2019, 39, 257–266. [Google Scholar]
- Du, Y.Y.; Chen, H.; Zhong, W.L.; Wu, L.Y.; Ye, J.H.; Lin, C.; Zheng, X.Q.; Lu, J.L.; Liang, Y.R. Effect of temperature on accumulation of chlorophylls and leaf ultrastructure of low temperature induced albino tea plant. Afr. J. BioTechnol. 2008, 7, 1881–1885. [Google Scholar] [CrossRef]
- Wang, L.; Di, T.; Li, N.; Peng, J.; Wu, Y.; He, M.; Hao, X.; Huang, J.; Ding, C.; Yang, Y.; et al. Transcriptomic analysis of hub genes regulating albinism in light- and temperature-sensitive albino tea cultivars ‘Zhonghuang 1’ and ‘Zhonghuang 2’. Plant Mol. Biol. 2024, 114, 44. [Google Scholar] [CrossRef]
- Neuhaus, H.E.; Emes, M.J. Nonphotosynthetic metabolism in plastids. Annu. Rev. Plant Physiol. Plant Mol. Biol. 2000, 51, 111–140. [Google Scholar] [CrossRef]
- Li, J.Y.; Yang, C.; Tian, Y.Y.; Liu, J.X. Regulation of Chloroplast Development and Function at Adverse Temperatures in Plants. Plant Cell Physiol. 2022, 63, 580–591. [Google Scholar] [CrossRef] [PubMed]
- Lepage, É.; Zampini, É.; Brisson, N. Plastid Genome Instability Leads to Reactive Oxygen Species Production and Plastid-to-Nucleus Retrograde Signaling in Arabidopsis. Plant Physiol. 2013, 163, 867–881. [Google Scholar] [CrossRef]
- Peng, X.; Teng, L.; Yan, X.; Zhao, M.; Shen, S. The cold responsive mechanism of the paper mulberry: Decreased photosynthesis capacity and increased starch accumulation. BMC Genom. 2015, 16, 898. [Google Scholar] [CrossRef]
- Du, Y.Y.; Liang, Y.R.; Wang, H.; Wang, K.R.; Lu, J.L.; Zhang, G.H.; Lin, W.; Li, M.; Fang, Q. A study on the chemical composition of albino tea cultivars. J. Hortic. Sci. Biotechnol. 2006, 81, 809–812. [Google Scholar] [CrossRef]
- Wang, K.; Du, Y.; Shao, S.; Lin, C.; Ye, Q.; Lu, J.-L.; Liang, Y. Development of specific RAPD markers for identifying albino tea cultivars ‘Qiannianxue’ and ‘Xiaoxueya’. Afr. J. Biotechnol. 2010, 9, 434–437. [Google Scholar]
- Ritonga, F.N.; Yan, S.; Chen, S.; Slamet, S.A.; Irmayanti, L.; Song, R.; Lin, X.; Jing, Y.; Farooq, U.; Khoso, M.A.; et al. Cold Acclimation Affects Physiological and Biochemical Characteristics of Betula platyphylla S. under Freezing Stress. Forests 2021, 12, 1777. [Google Scholar] [CrossRef]
- Ma, C.-L.; Chen, L.; Wang, X.-C.; Jin, J.-Q.; Ma, J.-Q.; Yao, M.-Z.; Wang, Z.-L. Differential expression analysis of different albescent stages of ‘Anji Baicha’ (Camellia sinensis (L.) O. Kuntze) using cDNA microarray. Sci. Hortic. 2012, 148, 246–254. [Google Scholar] [CrossRef]
- Du, Y.Y.; Shin, S.; Wang, K.R.; Lu, J.L.; Liang, Y.R. Effect of temperature on the expression of genes related to the accumulation of chlorophylls and carotenoids in albino tea. J. Hortic. Sci. Biotechnol. 2009, 84, 365–369. [Google Scholar] [CrossRef]
- Ma, X.; Liu, J.; Li, H.; Wang, W.; Liu, L.; Wang, P.; Hu, J.; Zhang, X.; Qu, F. Greenhouse covering cultivation promotes chlorophyll accumulation of tea plant (Camellia sinensis) by activating relevant gene expression and enzyme activity. BMC Plant Biol. 2024, 24, 455. [Google Scholar] [CrossRef]
- Liu, L.; Wang, Y.; Tian, Y.; Song, S.; Wu, Z.; Ding, X.; Zheng, H.; Huang, Y.; Liu, S.; Dong, X.; et al. Isolation and Characterization of SPOTTED LEAF42 Encoding a Porphobilinogen Deaminase in Rice. Plants 2023, 12, 403. [Google Scholar] [CrossRef] [PubMed]
- Jaffe, E.K. The Remarkable Character of Porphobilinogen Synthase. Acc. Chem. Res. 2016, 49, 2509–2517. [Google Scholar] [CrossRef] [PubMed]
- Dey, D.; Tanaka, R.; Ito, H. Structural Characterization of the Chlorophyllide a Oxygenase (CAO) Enzyme Through an In Silico Approach. J. Mol. Evol. 2023, 91, 225–235. [Google Scholar] [CrossRef]
- Sinijadas, K.; Paul, A.; Radhika, N.S.; Johnson, J.M.; Manju, R.V.; Anuradha, T. Piriformospora indica suppresses the symptoms produced by Banana bract mosaic virus by inhibiting its replication and manipulating chlorophyll and carotenoid biosynthesis and degradation in banana. 3Biotech 2024, 14, 141. [Google Scholar] [CrossRef]
- Liu, W.; Chen, G.; He, M.; Wu, J.; Wen, W.; Gu, Q.; Guo, S.; Wang, Y.; Sun, J. ABI5 promotes heat stress-induced chlorophyll degradation by modulating the stability of MYB44 in cucumber. Hortic. Res. 2023, 10, uhad089. [Google Scholar] [CrossRef] [PubMed]
- Elnaggar, A.; Tsombou, F.M.; Hussain, M.I.; Almehdi, A.M.; Abideen, Z.; Yong, J.W.H.; El-Keblawy, A. Citrullus colocynthis regulates photosynthetic and biochemical processes to develop stress resilience and sustain growth under sub-optimal temperatures. Plant Stress 2024, 12, 100502. [Google Scholar] [CrossRef]
- Wang, Y.; Xu, H.; Zhang, Y.; Guo, Y.; Chen, Y.; Sun, Y.; Wang, Z.; Guan, L. Exogenous leucine delayed the yellowing of postharvest broccoli by regulating strigolactone and abscisic acid signals based on multi-omics profiling. Food Biosci. 2024, 59, 10408. [Google Scholar] [CrossRef]
- Xue, Y.; Dong, H.; Huang, H.; Li, S.; Shan, X.; Li, H.; Liu, H.; Xia, D.; Su, S.; Yuan, Y. Mutation in Mg-Protoporphyrin IX Monomethyl Ester (Oxidative) Cyclase Gene ZmCRD1 Causes Chlorophyll-Deficiency in Maize. Front. Plant Sci. 2022, 13, 912215. [Google Scholar] [CrossRef]
- Biswal, A.K.; Pattanayak, G.K.; Ruhil, K.; Kandoi, D.; Mohanty, S.S.; Leelavati, S.; Reddy, V.S.; Govindjee, G.; Tripathy, B.C. Reduced expression of chlorophyllide a oxygenase (CAO) decreases the metabolic flux for chlorophyll synthesis and downregulates photosynthesis in tobacco plants. Physiol. Mol. Biol. Plants 2024, 30, 1–16. [Google Scholar] [CrossRef]
- Fan, T.; Roling, L.; Hedtke, B.; Grimm, B. FC2 stabilizes POR and suppresses ALA formation in the tetrapyrrole biosynthesis pathway. New Phytol. 2023, 239, 624–638. [Google Scholar] [CrossRef]
- Lu, M.; Li, Y.; Jia, H.; Xi, Z.; Gao, Q.; Zhang, Z.-Z.; Deng, W.-W. Integrated proteomics and transcriptome analysis reveal a decreased catechins metabolism in variegated tea leaves. Sci. Hortic. 2022, 295, 110824. [Google Scholar] [CrossRef]
- Sakuraba, Y.; Rahman, M.L.; Cho, S.H.; Kim, Y.S.; Koh, H.J.; Yoo, S.C.; Paek, N.C. The rice faded green leaf locus encodes protochlorophyllide oxidoreductase B and is essential for chlorophyll synthesis under high light conditions. Plant J. 2013, 74, 122–133. [Google Scholar] [CrossRef] [PubMed]
- Hitchcock, A.; Proctor, M.S.; Sobotka, R. Coordinating plant pigment production: A green role for ORANGE family proteins. Mol. Plant 2023, 16, 1366–1369. [Google Scholar] [CrossRef]
- Zeng, Z.-Q.; Lin, T.-Z.; Zhao, J.-Y.; Zheng, T.-H.; Xu, L.-F.; Wang, Y.-H.; Liu, L.-L.; Jiang, L.; Chen, S.-H.; Wan, J.-M. OsHemA gene, encoding glutamyl-tRNA reductase (GluTR) is essential for chlorophyll biosynthesis in rice (Oryza sativa). J. Integr. Agric. 2020, 19, 612–623. [Google Scholar] [CrossRef]
- Liu, W.; Fu, Y.; Hu, G.; Si, H.; Zhu, L.; Wu, C.; Sun, Z. Identification and fine mapping of a thermo-sensitive chlorophyll deficient mutant in rice (Oryza sativa L.). Planta 2007, 226, 785–795. [Google Scholar] [CrossRef] [PubMed]
- Yu, G.; Cheng, Q.; Xie, Z.; Xu, B.; Huang, B.; Zhao, B. An efficient protocol for perennial ryegrass mesophyll protoplast isolation and transformation, and its application on interaction study between LpNOL and LpNYC1. Plant Methods 2017, 13, 46. [Google Scholar] [CrossRef] [PubMed]
- Sato, Y.; Morita, R.; Katsuma, S.; Nishimura, M.; Tanaka, A.; Kusaba, M. Two short-chain dehydrogenase/reductases, NON-YELLOW COLORING 1 and NYC1-LIKE, are required for chlorophyll b and light-harvesting complex II degradation during senescence in rice. Plant J. 2009, 57, 120–131. [Google Scholar] [CrossRef] [PubMed]
- Mohanty, S.; Grimm, B.; Tripathy, B.C. Light and dark modulation of chlorophyll biosynthetic genes in response to temperature. Planta 2006, 224, 692–699. [Google Scholar] [CrossRef]
- Liu, X.; Deng, X.J.; Li, C.Y.; Xiao, Y.K.; Zhao, K.; Guo, J.; Yang, X.R.; Zhang, H.S.; Chen, C.P.; Luo, Y.T.; et al. Mutation of Protoporphyrinogen IX Oxidase Gene Causes Spotted and Rolled Leaf and Its Overexpression Generates Herbicide Resistance in Rice. Int. J. Mol. Sci. 2022, 23, 5781. [Google Scholar] [CrossRef] [PubMed]
- Pontier, D.; Albrieux, C.; Joyard, J.; Lagrange, T.; Block, M.A. Knock-out of the Magnesium Protoporphyrin IX Methyltransferase Gene in Arabidopsis: Effects on chloroplast development and on chloroplast-to-nucleus signaling. J. Biol. Chem. 2007, 282, 2297–2304. [Google Scholar] [CrossRef]
- Shalygo, N.; Czarnecki, O.; Peter, E.; Grimm, B. Expression of chlorophyll synthase is also involved in feedback-control of chlorophyll biosynthesis. Plant Mol. Biol. 2009, 71, 425. [Google Scholar] [CrossRef]
- Niu, G.; Guo, Q.; Wang, J.; Zhao, S.; He, Y.; Liu, L. Structural basis for plant lutein biosynthesis from α-carotene. Proc. Natl. Acad. Sci. USA 2020, 117, 14150–14157. [Google Scholar] [CrossRef]
- Li, X.; Zhang, D.; Pan, X.; Kakar, K.U.; Nawaz, Z. Regulation of carotenoid metabolism and ABA biosynthesis during blueberry fruit ripening. Plant Physiol. Biochem. 2024, 206, 108232. [Google Scholar] [CrossRef]
- Cazzonelli, C.I.; Pogson, B.J. Source to sink: Regulation of carotenoid biosynthesis in plants. Trends Plant Sci. 2010, 15, 266–274. [Google Scholar] [CrossRef]
- Quian-Ulloa, R.; Stange, C. Carotenoid Biosynthesis and Plastid Development in Plants: The Role of Light. Int. J. Mol. Sci. 2021, 22, 1184. [Google Scholar] [CrossRef] [PubMed]
- Clotault, J.; Peltier, D.; Soufflet-Freslon, V.; Briard, M.; Geoffriau, E. Differential Selection on Carotenoid Biosynthesis Genes as a Function of Gene Position in the Metabolic Pathway: A Study on the Carrot and Dicots. PLoS ONE 2012, 7, e38724. [Google Scholar] [CrossRef]
- Zhang, H.; Chen, J.; Peng, Z.; Shi, M.; Liu, X.; Wen, H.; Jiang, Y.; Cheng, Y.; Xu, J.; Zhang, H. Integrated Transcriptomic and Metabolomic analysis reveals a transcriptional regulation network for the biosynthesis of carotenoids and flavonoids in ‘Cara cara’ navel Orange. BMC Plant Biol. 2021, 21, 29. [Google Scholar] [CrossRef]
- Huang, X.; Hu, L.; Kong, W.; Yang, C.; Xi, W. Red light-transmittance bagging promotes carotenoid accumulation of grapefruit during ripening. Commun. Biol. 2022, 5, 303. [Google Scholar] [CrossRef] [PubMed]
- Li, B.; He, S.; Zheng, Y.; Wang, Y.; Lang, X.; Wang, H.; Fan, K.; Hu, J.; Ding, Z.; Qian, W. Genome-wide identification and expression analysis of the calmodulin-binding transcription activator (CAMTA) family genes in tea plant. BMC Genom. 2022, 23, 667. [Google Scholar] [CrossRef]
- Wei, P.; Li, H.; Wu, Y.; Zhang, C. Association of the electrical parameters and photosynthetic characteristics of the tea tree manifests its response to simulated karst drought. Plant Signal. Behav. 2024, 19, 2359258. [Google Scholar] [CrossRef]
- Li, Z.; Li, X.; Fang, L.; Han, W. Effect of Heat Stress on the Photosynthesis System of Tea Leaves. J. Tea Sci. 2015, 35, 415–422. [Google Scholar]
- Li, X.; Ahammed, G.J.; Zhang, X.-N.; Zhang, L.; Yan, P.; Zhang, L.-P.; Fu, J.-Y.; Han, W.-Y. Melatonin-mediated regulation of anthocyanin biosynthesis and antioxidant defense confer tolerance to arsenic stress in Camellia sinensis L. J. Hazard. Mater. 2021, 403, 123922. [Google Scholar] [CrossRef]
Disclaimer/Publisher’s Note: The statements, opinions and data contained in all publications are solely those of the individual author(s) and contributor(s) and not of MDPI and/or the editor(s). MDPI and/or the editor(s) disclaim responsibility for any injury to people or property resulting from any ideas, methods, instructions or products referred to in the content. |
© 2024 by the authors. Licensee MDPI, Basel, Switzerland. This article is an open access article distributed under the terms and conditions of the Creative Commons Attribution (CC BY) license (https://creativecommons.org/licenses/by/4.0/).





