Akt Signaling and Nitric Oxide Synthase as Possible Mediators of the Protective Effect of N-acetyl-L-cysteine in Prediabetes Induced by Sucrose
Abstract
1. Introduction
2. Results
2.1. Body Weight and Calories Intake
2.2. Serum Measurements
2.3. Oxidative Stress and Inflammation in the Liver
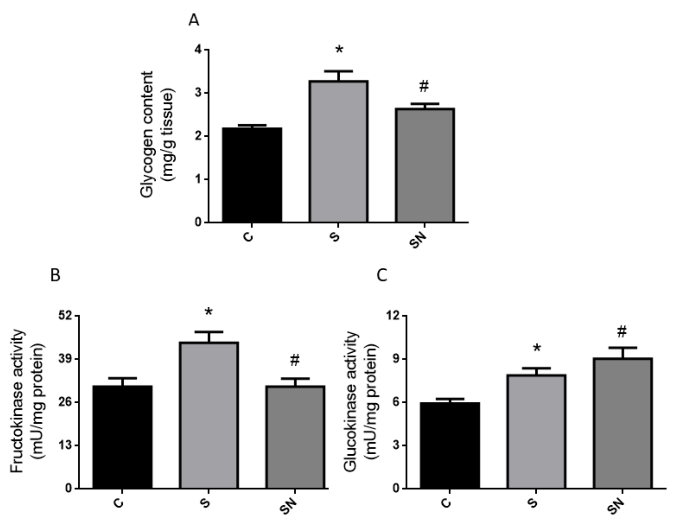
2.4. Hepatic Metabolic Alterations
2.5. Insulin Signaling Pathway
3. Discussion
4. Materials and Methods
4.1. Chemicals and Drugs
4.2. Animals
4.3. Serum Measurements
4.4. Liver Reduced Glutathione (GSH)
4.5. Total Liver RNA Isolation and mRNA Expression Levels by Real Time PCR (qPCR)
4.6. Western Blot Analysis
4.7. Glucokinase Activity
4.8. Fructokinase Activity
4.9. Liver Glycogen Content
4.10. Statistical Analysis
5. Conclusions
Author Contributions
Funding
Institutional Review Board Statement
Data Availability Statement
Acknowledgments
Conflicts of Interest
References
- National Center for Chronic Disease Prevention and Health Promotion, National Diabetes Statistics Report. Centers for Disease Control and Prevent. US Department of Health and Human Service. 2017. Available online: https://www.cdc.gov/diabetes/pdfs/data/statistics/national-diabetes-statistics-report.pdf (accessed on 20 July 2023).
- American Diabetes Association. Clinical practice recommendations. Diabetes Care 2019, 42, S1–S193. [Google Scholar]
- Ng, S.W.; Slining, M.M.; Popkin, B.M. Use of Caloric and Noncaloric Sweeteners in US Consumer Packaged Foods, 2005–2009. J. Acad. Nutr. Diet. 2012, 112, 1828–1834.e6. [Google Scholar] [CrossRef] [PubMed]
- Johnson, R.J.; Sánchez-Lozada, L.G.; Andrews, P.; Lanaspa, M.A. Perspective: A Historical and Scientific Perspective of Sugar and Its Relation with Obesity and Diabetes. Adv. Nutr. 2017, 8, 412–422. [Google Scholar] [CrossRef] [PubMed]
- Bray, G.A.; Popkin, B.M. Dietary Sugar and Body Weight: Have We Reached a Crisis in the Epidemic of Obesity and Diabetes? Health be damned! Pour on the sugar. Diabetes Care 2014, 37, 950–956. [Google Scholar] [CrossRef] [PubMed]
- Fernández-Novell, J.M.; Ramió-Lluch, L.; Orozco, A.; Gómez-Foix, A.M.; Guinovart, J.J.; Rodríguez-Gil, J.E. Glucose and Fructose Have Sugar-Specific Effects in Both Liver and Skeletal Muscle In Vivo: A Role for Liver Fructokinase. PLoS ONE 2014, 9, e109726. [Google Scholar] [CrossRef]
- Feinman, R.D.; Fine, E.J. Fructose in perspective. Nutr. Metab. 2013, 10, 45. [Google Scholar] [CrossRef]
- Herman, M.A.; Samuel, V.T. The Sweet Path to Metabolic Demise: Fructose and Lipid Synthesis. Trends Endocrinol. Metab. 2016, 27, 719–730. [Google Scholar] [CrossRef]
- Van Bakel, M.M.; Printzen, G.; Wermuth, B.; Wiesmann, U.N. Antioxidant and thyroid hormone status in selenium-deficient phenylketonuric and hyperphenylalaninemic patients. Am. J. Clin. Nutr. 2000, 72, 976–981. [Google Scholar] [CrossRef]
- Rani, V.; Deep, G.; Singh, R.K.; Palle, K.; Yadav, U.C.S. Oxidative stress and metabolic disorders: Pathogenesis and therapeutic strategies. Life Sci. 2016, 148, 183–193. [Google Scholar] [CrossRef]
- Castro, M.C.; Massa, M.L.; Arbeláez, L.G.; Schinella, G.; Gagliardino, J.J.; Francini, F. Fructose-induced inflammation, insulin resistance and oxidative stress: A liver pathological triad effectively disrupted by lipoic acid. Life Sci. 2015, 137, 1–6. [Google Scholar] [CrossRef]
- Samuni, Y.; Goldstein, S.; Dean, O.M.; Berk, M. The chemistry and biological activities of N-acetylcysteine. Biochim. Biophys. Acta (BBA) 2013, 1830, 4117–4129. [Google Scholar] [CrossRef] [PubMed]
- Ribeiro, G.; Roehrs, M.; Bairros, A.; Moro, A.; Charão, M.; Araújo, F.; Valentini, J.; Arbo, M.; Brucker, N.; Moresco, R.; et al. N-acetylcysteine on oxidative damage in diabetic rats. Drug Chem. Toxicol. 2011, 34, 467–474. [Google Scholar] [CrossRef] [PubMed]
- Pereira, S.; Shah, A.; Fantus, I.G.; Joseph, J.W.; Giacca, A. Effect of N-acetyl-l-cysteine on insulin resistance caused by prolonged free fatty acid elevation. J. Endocrinol. 2015, 225, 1–7. [Google Scholar] [CrossRef] [PubMed]
- Da Silva, K.S.; Pinto, P.R.; Fabre, N.T.; Gomes, D.J.; Thieme, K.; Okuda, L.S.; Iborra, R.T.; Freitas, V.G.; Shimizu, M.H.M.; Teodoro, W.R.; et al. N-acetylcysteine Counteracts Adipose Tissue Macrophage Infiltration and Insulin Resistance Elicited by Advanced Glycated Albumin in Healthy Rats. Front. Physiol. 2017, 8, 723. [Google Scholar] [CrossRef] [PubMed]
- Cui, Z.-H.; Yuan, Q.; Mao, L.; Chen, F.-L.; Ji, F.; Tao, S. Insulin resistance in vitamin D-deficient mice is alleviated by N-acetylcysteine. Oncotarget 2017, 8, 63281–63289. [Google Scholar] [CrossRef]
- Javanmanesh, F.; Kashanian, M.; Rahimi, M.; Sheikhansari, N. A comparison between the effects of metformin and N-acetyl cysteine (NAC) on some metabolic and endocrine characteristics of women with polycystic ovary syndrome. Gynecol. Endocrinol. 2015, 32, 285–289. [Google Scholar] [CrossRef] [PubMed]
- Nemati, M.; Zardooz, H.; Rostamkhani, F.; Abadi, A.; Foroughi, F. High-fat diet effects on metabolic responses to chronic stress. Arch. Physiol. Biochem. 2017, 123, 182–191. [Google Scholar] [CrossRef]
- De Andrade, K.Q.; Moura, F.A.; Dos Santos, J.M.; De Araújo, O.R.P.; De Farias Santos, J.C.; Goulart, M.O.F. Oxidative Stress and Inflammation in Hepatic Diseases: Therapeutic Possibilities of N-Acetylcysteine. Int. J. Mol. Sci. 2015, 16, 30269–30308. [Google Scholar] [CrossRef]
- Kalimeris, K.; Briassoulis, P.; Ntzouvani, A.; Nomikos, T.; Papaparaskeva, K.; Politi, A.; Batistaki, C.; Kostopanagiotou, G. N-acetylcysteine ameliorates liver injury in a rat model of intestinal ischemia reperfusion. J. Surg. Res. 2016, 206, 263–272. [Google Scholar] [CrossRef]
- Raza, H.; John, A.; Shafarin, J. Potentiation of LPS-Induced Apoptotic Cell Death in Human Hepatoma HepG2 Cells by Aspirin via ROS and Mitochondrial Dysfunction: Protection by N-Acetyl Cysteine. PLoS ONE 2016, 11, e0159750. [Google Scholar] [CrossRef]
- Ma, Y.; Gao, M.; Liu, D. N-acetylcysteine Protects Mice from High Fat Diet-induced Metabolic Disorders. Pharm. Res. 2016, 33, 2033–2042. [Google Scholar] [CrossRef] [PubMed]
- Calzadilla, P.; Sapochnik, D.; Cosentino, S.; Diz, V.; Dicelio, L.; Calvo, J.C.; Guerra, L.N. N-Acetylcysteine Reduces Markers of Differentiation in 3T3-L1 Adipocytes. Int. J. Mol. Sci. 2011, 12, 6936–6951. [Google Scholar] [CrossRef] [PubMed]
- Francini, F.; Castro, M.C.; Schinella, G.; García, M.E.; Maiztegui, B.; Raschia, M.A.; Gagliardino, J.J.; Massa, M.L. Changes induced by a FRD on hepatic metabolism and the antioxidant system. Life Sci. 2010, 86, 965–971. [Google Scholar] [CrossRef]
- Gutman, R.A.; Basilico, M.Z.; Bernal, C.A.; Chicco, A.; Lombardo, Y.B. Long-term hypertriglyceridemia and glucose intolerance in rats fed chronically an isocaloric sucrose-rich diet. Metabolism 1987, 36, 1013–1020. [Google Scholar] [CrossRef] [PubMed]
- Francini, F.; Castro, M.C.; Gagliardino, J.J.; Massa, M.L. Regulation of liver glucokinase activity in rats with fructose-induced insulin resistance and impaired glucose and lipid metabolism. Can. J. Physiol. Pharmacol. 2009, 87, 702–710. [Google Scholar] [CrossRef] [PubMed]
- Castro, M.C.; Francini, F.; Schinella, G.; Caldiz, C.I.; Zubiría, M.G.; Gagliardino, J.J.; Massa, M.L. Apocynin administration prevents the changes induced by a fructose-rich diet on rat liver metabolism and the antioxidant system. Clin. Sci. 2012, 123, 681–692. [Google Scholar] [CrossRef] [PubMed]
- Fisslthaler, B.; Dimmeler, S.; Hermann, C.; Busse, R.; Fleming, I. Phosphorylation and activation of the endothelial nitric oxide synthase by fluid shear stress. Acta Physiol. Scand. 2000, 168, 81–88. [Google Scholar] [CrossRef]
- Hisamoto, K.; Ohmichi, M.; Kanda, Y.; Adachi, K.; Nishio, Y.; Hayakawa, J.; Mabuchi, S.; Takahashi, K.; Tasaka, K.; Miyamoto, Y.; et al. Induction of endothelial nitric oxide synthase phosphorylation by the raloxifene analog LY117018 is differentially mediated by Akt and extracellular signal-regulated protein kinase in vascular endothelial cells. J. Biol. Chem. 2001, 276, 47642–47649. [Google Scholar] [CrossRef]
- Symons, J.D.; McMillin, S.L.; Riehle, C.; Tanner, J.; Palionyte, M.; Hillas, E.; Jones, D.; Cooksey, R.C.; Birnbaum, M.J.; McClain, D.A.; et al. Contribution of insulin and Akt1 signaling to endothelial nitric oxide synthase in the regulation of endothelial function and blood pressure. Circ. Res. 2009, 104, 1085–1094. [Google Scholar] [CrossRef]
- Michlin, M.; Argaev-Frenkel, L.; Weinstein-Fudim, L.; Ornoy, A.; Rosenzweig, T. Maternal N-Acetyl Cysteine Intake Improved Glucose Tolerance in Obese Mice Offspring. Int. J. Mol. Sci. 2020, 21, 1981. [Google Scholar] [CrossRef]
- Otrubová, O.; Turecký, L.; Uličná, O.; Janega, P.; Luha, J.; Muchová, J. Therapeutic effects of N-acetyl-L-cysteine on liver damage induced by long-term CCl4 administration. Gen. Physiol. Biophys. 2018, 37, 23–31. [Google Scholar] [CrossRef] [PubMed]
- Atalay, F.; Odabasoglu, F.; Halici, M.; Cadirci, E.; Aydin, O.; Halici, Z.; Cakir, A. N-Acetyl Cysteine Has Both Gastro-Protective and Anti-Inflammatory Effects in Experimental Rat Models: Its Gastro-Protective Effect Is Related to Its In Vivo and In Vitro Antioxidant Properties. J. Cell Biochem. 2016, 117, 308–319. [Google Scholar] [CrossRef] [PubMed]
- Dludla, P.V.; Mazibuko-Mbeje, S.E.; Nyambuya, T.M.; Mxinwa, V.; Tiano, L.; Marcheggiani, F.; Cirilli, I.; Louw, J.; Nkambule, B.B. The beneficial effects of N-acetyl cysteine (NAC) against obesity associated complications: A systematic review of pre-clinical studies. Pharmacol. Res. 2019, 146, 104332. [Google Scholar] [CrossRef] [PubMed]
- Fang, S.; Wan, X.; Zou, X.; Sun, S.; Hao, X.; Liang, C.; Zhang, Z.; Zhang, F.; Sun, B.; Li, H.; et al. Arsenic trioxide induces macrophage autophagy and atheroprotection by regulating ROS-dependent TFEB nuclear translocation and AKT/mTOR pathway. Cell Death Dis. 2021, 12, 88. [Google Scholar] [CrossRef] [PubMed]
- Maiztegui, B.; Boggio, V.; Román, C.L.; Flores, L.E.; Del Zotto, H.; Ropolo, A.; Grasso, D.; Vaccaro, M.I.; Gagliardino, J.J. VMP1-related autophagy induced by a fructose-rich diet in β-cells: Its prevention by incretins. Clin. Sci. 2017, 131, 673–687. [Google Scholar] [CrossRef] [PubMed][Green Version]
- Swiss Academy of Medical Sciences. Ethical Principles and Guidelines for Experimental Animal, 3rd ed.; Swiss Academy of Medical Sciences: Basel, Switzerland, 2005. [Google Scholar]
- Wang, W.-F.; Li, S.-M.; Ren, G.-P.; Zheng, W.; Lu, Y.-J.; Yu, Y.-H.; Xu, W.-J.; Li, T.-H.; Zhou, L.-H.; Liu, Y.; et al. Recombinant murine fibroblast growth factor 21 ameliorates obesity-related inflammation in monosodium glutamate-induced obesity rats. Endocrine 2015, 49, 119–129. [Google Scholar] [CrossRef] [PubMed]
- Matthews, D.R.; Hosker, J.P.; Rudenski, A.S.; Naylor, B.A.; Treacher, D.F.; Turner, R.C. Homeostasis model assessment: Insulin resistance and β-cell function from fasting plasma glucose and insulin concentrations in man. Diabetologia 1985, 28, 412–419. [Google Scholar] [CrossRef] [PubMed]
- Matsuda, M.; DeFronzo, R.A. Insulin sensitivity indices obtained from oral glucose tolerance testing: Comparison with the euglycemic insulin clamp. Diabetes Care 1999, 22, 1462–1470. [Google Scholar] [CrossRef]
- Chomczynski, P.; Sacchi, N. Single-step method of RNA isolation by acid guanidinium thiocyanate-phenol-chloroform extraction. Anal Biochem. 1987, 162, 156–159. [Google Scholar] [CrossRef]
- Muller, P.Y.; Janovjak, H.; Miserez, A.R.; Dobbie, Z. Processing of gene expression data generated by quantitative real-time RT-PCR. Biotechniques 2002, 32, 1372–1379. [Google Scholar]
- Ramakers, C.; Ruijter, J.M.; Deprez, R.H.; Moorman, A.F. Assumption-free analysis of quantitative real-time-polymerase chain reaction (PCR) data. Neurosci. Lett. 2003, 339, 62–66. [Google Scholar] [CrossRef]
- Naujok, O.; Francini, F.; Picton, S.; Jorns, A.; Bailey, C.J.; Lenzen, Z. New experimental protocol for preferential differentiation of mouse embryonic stem cells into insulin-producing cells. Cell Transpl. 2008, 17, 1231–1242. [Google Scholar] [CrossRef]
- Massa, M.L.; Gagliardino, J.J.; Francini, F. Liver glucokinase: An overview on the regulatorymechanisms of its activity. IUBMB Life 2011, 63, 1–6. [Google Scholar] [CrossRef]
- Ouyang, X.; Cirillo, P.; Sautin, Y.; McCall, S.; Bruchette, J.L.; Diehl, A.M.; Johnson, R.J.; Abdelmalek, M.F. Fructose consumption as a risk factor for non-alcoholic fatty liver disease. J. Hepatol. 2008, 48, 993–999. [Google Scholar] [CrossRef]
- Chun, Y.; Yin, Z.D. Glycogen Assay for Diagnosis of Female Genital Chlamydia trachomatis Infection. J. Clin. Microbiol. 1998, 36, 1081–1082. [Google Scholar] [CrossRef]





| Parameter | Control | Sucrose | Sucrose/NAC |
|---|---|---|---|
| Glucose (mg/dL) | 111.3 ± 2.87 | 115.9 ± 3.18 | 113.7 ± 1.59 |
| Triglyceride (mg/dL) | 101.1 ± 2.30 | 148.4 ± 8.58 * | 114.3 ± 5.90 # |
| Insulin (ng/mL) | 0.20 ± 0.004 | 0.27 ± 0.023 * | 0.17 ± 0.016 # |
| HOMA-IR | 1.34 ± 0.05 | 1.85 ± 0.18 * | 1.17 ± 0.13 # |
| HOMA-β | 13.21 ± 0.64 | 18.17 ± 0.28 * | 10.63 ± 2.13 # |
| LISI | 0.75 ± 0.02 | 0.56 ± 0.05 * | 0.91 ± 0.13 # |
| Uric acid(mg/dL) | 1.46 ± 0.15 | 1.40 ± 0.08 | 1.04 ± 0.09 # |
| GOT (AU/L) | 18.14 ± 2.89 | 20.65 ± 3.87 | 17.68 ± 1.90 |
| GPT (AU/L) | 10.88 ± 0.63 | 9.16 ± 0.09 | 4.94 ± 0.41 # |
| Gene | GeneBank® | Sequences |
|---|---|---|
| SREBP-1c | XM_213329.6 | FW 5′-TTTCTTCGTGGATGGGGACT-3′ RV 5′-CTGTAGATATCCAAGAGCATC-3′ |
| GPAT-1 | NM_017274.1 | FW 5′-GACGAAGCCTTCCGAAGGA-3′ RV 5′-GACGAAGCCTTCCGAAGGA-3′ |
| COX-2 | NM_017232 | FW 5′-GCTGCTGCCGGACACCTTCA-3′ RV 5′-CCAGCAACCCGGCCAGCAAT-3′ |
| iNOS | NM_012611 | FW 5′-GAAGTCCAGCCGCACCACCC-3′ RV 5′-CAGGGCCGTCTGGTTGCCTG-3′ |
| β-actin | NM_031144.2 | FW 5′-AGAGGGAAATCGTGCGTGAC-3′ RV 5′-CGATAGTGATGACCTGACCGT-3′ |
Disclaimer/Publisher’s Note: The statements, opinions and data contained in all publications are solely those of the individual author(s) and contributor(s) and not of MDPI and/or the editor(s). MDPI and/or the editor(s) disclaim responsibility for any injury to people or property resulting from any ideas, methods, instructions or products referred to in the content. |
© 2024 by the authors. Licensee MDPI, Basel, Switzerland. This article is an open access article distributed under the terms and conditions of the Creative Commons Attribution (CC BY) license (https://creativecommons.org/licenses/by/4.0/).
Share and Cite
Castro, M.C.; Villagarcía, H.G.; Di Sarli Gutiérrez, L.; Arbeláez, L.G.; Schinella, G.; Massa, M.L.; Francini, F. Akt Signaling and Nitric Oxide Synthase as Possible Mediators of the Protective Effect of N-acetyl-L-cysteine in Prediabetes Induced by Sucrose. Int. J. Mol. Sci. 2024, 25, 1215. https://doi.org/10.3390/ijms25021215
Castro MC, Villagarcía HG, Di Sarli Gutiérrez L, Arbeláez LG, Schinella G, Massa ML, Francini F. Akt Signaling and Nitric Oxide Synthase as Possible Mediators of the Protective Effect of N-acetyl-L-cysteine in Prediabetes Induced by Sucrose. International Journal of Molecular Sciences. 2024; 25(2):1215. https://doi.org/10.3390/ijms25021215
Chicago/Turabian StyleCastro, María Cecilia, Hernán Gonzalo Villagarcía, Luciana Di Sarli Gutiérrez, Luisa González Arbeláez, Guillermo Schinella, María Laura Massa, and Flavio Francini. 2024. "Akt Signaling and Nitric Oxide Synthase as Possible Mediators of the Protective Effect of N-acetyl-L-cysteine in Prediabetes Induced by Sucrose" International Journal of Molecular Sciences 25, no. 2: 1215. https://doi.org/10.3390/ijms25021215
APA StyleCastro, M. C., Villagarcía, H. G., Di Sarli Gutiérrez, L., Arbeláez, L. G., Schinella, G., Massa, M. L., & Francini, F. (2024). Akt Signaling and Nitric Oxide Synthase as Possible Mediators of the Protective Effect of N-acetyl-L-cysteine in Prediabetes Induced by Sucrose. International Journal of Molecular Sciences, 25(2), 1215. https://doi.org/10.3390/ijms25021215

