Cardiovascular Disease and COVID-19: Is There a Place for Mid-Regional Pro-Adrenomedullin? Preliminary Data from a Clinical Cohort
Abstract
1. Introduction
2. Results
2.1. Comparison of MR-proADM Levels Across Study Groups
2.2. Cardiovascular Complications and MR-proADM Levels
2.3. Correlation Between MR-proADM and Cardiac Biomarkers
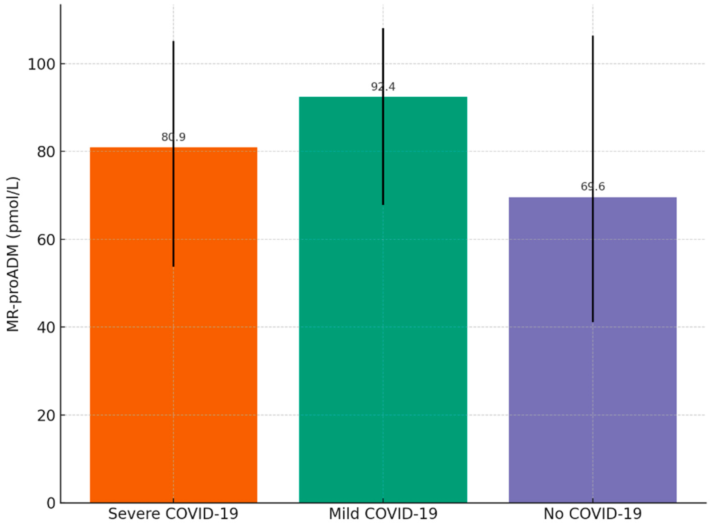
2.4. MR-proADM Concentrations According to COVID-19 Severity
3. Discussion
Limitations
4. Materials and Methods
4.1. Laboratory Examinations
4.2. Statistical Analysis
5. Conclusions
Author Contributions
Funding
Institutional Review Board Statement
Informed Consent Statement
Data Availability Statement
Acknowledgments
Conflicts of Interest
References
- WHO. WHO Coronavirus (COVID-19) Dashboard|WHO Coronavirus (COVID-19) Dashboard with Vaccination Data; WHO: Geneva, Switzerland, 2023. [Google Scholar]
- Rippe, J.M. Lifestyle Strategies for Risk Factor Reduction, Prevention, and Treatment of Cardiovascular Disease. Am. J. Lifestyle Med. 2019, 13, 204–212. [Google Scholar] [CrossRef]
- Hu, J.; Wang, Y. The Clinical Characteristics and Risk Factors of Severe COVID-19, meta-analysis. Gerontology 2021, 67, 255–266. [Google Scholar] [CrossRef] [PubMed]
- Torabizadeh, C.; Iloonkashkooli, R.; Haghshenas, H.; Fararouei, M. Prevalence of Cardiovascular Complications in Coronavirus Disease 2019 adult Patients: A Systematic Review and Meta-Analysis. Iran. J Med. Sci. 2023, 48, 243–267. [Google Scholar] [CrossRef] [PubMed] [PubMed Central]
- Saeed, S.; Tadic, M.; Larsen, T.H.; Grassi, G.; Mancia, G. Coronavirus disease 2019 and cardiovascular complications: Focused clinical review. J. Hypertens. 2021, 39, 1282–1292. [Google Scholar] [CrossRef] [PubMed] [PubMed Central]
- Kitamura, K.; Kato, J.; Kawamoto, M.; Tanaka, M.; Chino, N.; Kangawa, K.; Eto, T. The intermediate form of glycine-extended adrenomedullin is the major circulating molecular form in human plasma. Biochem. Biophys. Res. Commun. 1998, 244, 551–555. [Google Scholar] [CrossRef]
- Hinson, J.P.; Kapas, S.; Smith, D.M. Adrenomedullin, a multifunctional regulatory peptide. Endocr. Rev. 2000, 21, 138–167. [Google Scholar] [PubMed]
- Bunton, D.C.; Petrie, M.C.; Hillier, C.; Johnston, F.; McMurray, J.J. The clinical relevance of adrenomedullin: A promising profile? Pharmacol. Ther. 2004, 103, 179–201. [Google Scholar] [CrossRef]
- Cheung, B.M.; Tang, F. Adrenomedullin: Exciting new horizons. Recent. Pat. Endocr. Metab. Immune Drug Discov. 2012, 6, 4–17. [Google Scholar] [CrossRef] [PubMed]
- Sacco, M.A.; Gualtieri, S.; Cordasco, F.; Tarallo, A.P.; Verrina, M.C.; Princi, A.; Bruni, A.; Garofalo, E.; Aquila, I. The Role of Adrenomedullin as a Predictive Marker of the Risk of Death and Adverse Clinical Events: A Review of the Literature. J. Clin. Med. 2024, 13, 4847. [Google Scholar] [CrossRef] [PubMed] [PubMed Central]
- Hu, G.; Peng, X.; He, L.; Lai, Y.; Liu, N.; Li, X.; Sang, C.; Dong, J.; Ma, C. Pro-adrenomedullin as an independent predictive biomarker for heart failure in atrial fibrillation and flutter. ESC Heart Fail. 2025, 12, 1893–1904. [Google Scholar] [CrossRef] [PubMed] [PubMed Central]
- Cheung, B.M.; Li, C.Y.; Wong, L.Y. Adrenomedullin: Its role in the cardiovascular system. Semin. Vasc. Med. 2004, 4, 129–134. [Google Scholar] [CrossRef] [PubMed]
- Cao, J.; Zhang, J.; Wang, X. Changes and cardiac protective effects of adrenomedullin during myocardial ischemia-reperfusion period. Zhonghua Yi Xue Za Zhi 2000, 80, 261–264. [Google Scholar]
- Opgaard, O.S.; Hasbak, P.; de Vries, R.; Saxena, P.R.; Edvinsson, L. Positive inotropy mediated via CGRP receptors in isolated human. Eur. J. Pharmacol. 2000, 397, 373–382. [Google Scholar] [CrossRef]
- Okumura, H.; Nagaya, N.; Itoh, T.; Okano, I.; Hino, J.; Mori, K.; Tsukamoto, Y.; Ishibashi-Ueda, H.; Miwa, S.; Tambara, K.; et al. Adrenomedullin Infusion Attenuates Myocardial Ischemia/Reperfusion Injury Through the Phosphatidylinositol 3-Kinase/Akt-Dependent Pathway. Circulation 2004, 109, 242–248. [Google Scholar] [CrossRef] [PubMed]
- Meeran, K.; O’Shea, D.; Upton, P.D.; Small, C.J.; Ghatei, M.A.; Byfield, P.H.; Bloom, S.R. Circulating adrenomedullin does not regulate systemic blood pressure but increases plasma prolactin after intravenous infusion in humans: A pharmacokinetic study. J. Clin. Endocrinol. Metab. 1997, 82, 95–100. [Google Scholar] [CrossRef] [PubMed]
- Nagaya, N.; Nishikimi, T.; Horio, T.; Yoshihara, F.; Kanazawa, A.; Matsuo, H.; Kangawa, K.; Mori, H.; Murakami, S.; Kitamura, S.; et al. Cardiovascular and renal effects of adrenomedullin in rats with heart failure. Am. J. Physiol. Integr. Comp. Physiol. 1999, 276, R213–R218. [Google Scholar] [CrossRef]
- Ueda, S.; Nishio, K.; Minamino, N.; Kubo, A.; Akai, Y.; Kangawa, K.; Matsuo, H.; Fujimura, Y.; Yoshioka, A.; Masui, K.; et al. Increased plasma levels of adrenomedullin in patients with systemic inflammatory response syndrome. Am. J. Respir. Crit. Care Med. 1999, 160, 132–136. [Google Scholar] [CrossRef]
- Andrés, C.; Andaluz-Ojeda, D.; Cicuendez, R.; Nogales, L.; Martín, S.; Martin-Fernandez, M.; Almansa, R.; Calvo, D.; Esteban-Velasco, M.C.; Vaquero-Roncero, L.M.; et al. MR-proADM to detect specific types of organ failure in infection. Eur. J. Clin. Investig. 2020, 50, e13246. [Google Scholar] [CrossRef]
- Önal, U.; Valenzuela-Sánchez, F.; Vandana, K.E.; Rello, J. Mid-Regional Pro-Adrenomedullin (MR-proADM) as a biomarker for sepsis and septic shock: Narrative review. Healthcare 2018, 6, 110. [Google Scholar] [CrossRef]
- Marino, R.; Struck, J.; Maisel, A.S.; Magrini, L.; Bergmann, A.; Somma, S. Plasma adrenomedullin is associated with short-term mortality and vasopressor requirement in patients admitted with sepsis. Crit. Care 2014, 18, 34. [Google Scholar] [CrossRef]
- Elke, G.; Bloos, F.; Wilson, D.C.; Brunkhorst, F.M.; Briegel, J.; Reinhart, K.; Loeffler, M.; Kluge, S.; Nierhaus, A.; Jaschinski, U.; et al. The use of mid-regional proadrenomedullin to identify disease severity and treatment response to sepsis—A secondary analysis of a large randomised controlled trial. Crit. Care 2018, 22, 79. [Google Scholar] [CrossRef] [PubMed]
- Temmesfeld-Wollbrück, B.; Brell, B.; Dávid, I.; Dorenberg, M.; Adolphs, J.; Schmeck, B.; Suttorp, N.; Hippenstiel, S. Adrenomedullin Reduces Vascular Hyperpermeability and Improves Survival in Rat Septic Shock. Intensive Care Med. 2007, 33, 703–710. [Google Scholar] [CrossRef]
- Spoto, S.; Nobile, E.; Carnà, E.P.R.; Fogolari, M.; Caputo, D.; De Florio, L.; Valeriani, E.; Benvenuto, D.; Costantino, S.; Ciccozzi, M.; et al. Best Diagnostic Accuracy of Sepsis Combining SIRS Criteria or QSOFA Score with Procalcitonin and Mid-Regional pro-Adrenomedullin Outside ICU. Sci. Rep. 2020, 10, 16605. [Google Scholar] [CrossRef]
- Choi, J.J.; McCarthy, M.W. The Prognostic Value of Mid-Regional pro-Adrenomedullin in the Evaluation of Acute Dyspnea. Expert Rev. Mol. Diagn. 2018, 18, 147–153. [Google Scholar] [CrossRef] [PubMed]
- Mebazaa, A.; Geven, C.; Hollinger, A.; Wittebole, X.; Chousterman, B.G.; Blet, A.; Gayat, E.; Hartmann, O.; Scigalla, P.; Struck, J.; et al. Circulating adrenomedullin estimates survival and reversibility of organ failure in sepsis: The prospective observational multinational adrenomedullin and outcome in sepsis and septic shock-1 (adrenoss-1) study. Crit. Care 2018, 22, 354. [Google Scholar] [CrossRef] [PubMed]
- Wang, N.; Liu, L.; He, W.; Shang, N.; Li, J.; Qin, Z.; Du, X. Circulating mid-regional proadrenomedullin is a predictor of mortality in patients with COVID-19: A systematic review and meta-analysis. BMC Infect. Dis. 2023, 23, 305. [Google Scholar] [CrossRef]
- van Lier, D.; Deniau, B.; Santos, K.; Hartmann, O.; Dudoignon, E.; Depret, F.; Plaud, B.; Laterre, P.-F.; Mebazaa, A.; Pickkers, P. Circulating dipeptidyl peptidase 3 and bio-adrenomedullin levels are associated with impaired outcomes in critically ill COVID-19 patients: A prospective international multicentre study. ERJ Open Res. 2022, 9, 342–2022. [Google Scholar] [CrossRef]
- Kitamura, K.; Kangawa, K.; Kawamoto, M.; Ichiki, Y.; Nakamura, S.; Matsuo, H.; Eto, T. Adrenomedullin: A novel hypotensive peptide isolated from human pheochromocytoma. Biochem. Biophys. Res. Commun. 1993, 192, 553–560. [Google Scholar] [CrossRef]
- Gille, J.; Ostermann, H.; Dragu, A.; Sablotzki, A. MR-proADM: A New Biomarker for Early Diagnosis of Sepsis in Burned Patients. J. Burn. Care Res. 2017, 38, 290–298. [Google Scholar] [CrossRef] [PubMed]
- Maisel, A.; Mueller, C.; Nowak, R.; Peacock, W.F.; Landsberg, J.W.; Ponikowski, P.; Mockel, M.; Hogan, C.; Wu, A.H.; Richards, M.; et al. Mid-region pro-hormone markers for diagnosis and prognosis in acute dyspnea: Results from the BACH (Biomarkers in Acute Heart Failure) trial. J. Am. Coll. Cardiol. 2010, 55, 2062–2076. [Google Scholar] [CrossRef] [PubMed]
- Bernal-Morell, E.; García-Villalba, E.; Vera, M.D.C.; Medina, B.; Martinez, M.; Callejo, V.; Valero, S.; Cinesi, C.; Piñera, P.; Alcaraz, A.; et al. Usefulness of midregional pro-adrenomedullin as a marker of organ damage and predictor of mortality in patients with sepsis. J. Infect. 2018, 76, 249–257. [Google Scholar] [CrossRef] [PubMed]
- Gavriilaki, E.; Anyfanti, P.; Gavriilaki, M.; Lazaridis, A.; Douma, S.; Gkaliagkousi, E. Endothelial Dysfunction in COVID-19: Lessons Learned from Coronaviruses. Curr. Hypertens Rep. 2020, 22, 63. [Google Scholar] [CrossRef] [PubMed] [PubMed Central]
- Voors, A.A.; Kremer, D.; Geven, C.; Ter Maaten, J.M.; Struck, J.; Bergmann, A.; Pickkers, P.; Metra, M.; Mebazaa, A.; Düngen, H.D.; et al. Adrenomedullin in heart failure: Pathophysiology and therapeutic application. Eur. J. Heart Fail. 2019, 21, 163–171. [Google Scholar] [CrossRef] [PubMed] [PubMed Central]
- de Montmollin, E.; Peoc’h, K.; Marzouk, M.; Ruckly, S.; Wicky, P.H.; Patrier, J.; Jaquet, P.; Sonneville, R.; Bouadma, L.; Timsit, J.F. Mid-Regional Pro-Adrenomedullin as a Prognostic Factor for Severe COVID-19 ARDS. Antibiotics 2022, 11, 1166. [Google Scholar] [CrossRef] [PubMed] [PubMed Central]
- Boukhris, M.; Hillani, A.; Moroni, F.; Annabi, M.S.; Addad, F.; Ribeiro, M.H.; Mansour, S.; Zhao, X.; Ybarra, L.F.; Abbate, A.; et al. Cardiovascular Implications of the COVID-19 Pandemic: A Global Perspective. Can. J. Cardiol. 2020, 36, 1068–1080. [Google Scholar] [CrossRef] [PubMed] [PubMed Central]
- Puntmann, V.O.; Shchendrygina, A.; Bolanos, C.R.; Madjiguène Ka, M.; Valbuena, S.; Rolf, A.; Escher, F.; Nagel, E. Cardiac Involvement Due to COVID-19: Insights from Imaging and Histopathology. Eur. Cardiol. 2023, 18, e58. [Google Scholar] [CrossRef] [PubMed] [PubMed Central]
- Montrucchio, G.; Balzani, E.; Lombardo, D.; Giaccone, A.; Vaninetti, A.; D’Antonio, G.; Rumbolo, F.; Mengozzi, G.; Brazzi, L. Proadrenomedullin in the Management of COVID-19 Critically Ill Patients in Intensive Care Unit: A Systematic Review and Meta-Analysis of Evidence and Uncertainties in Existing Literature. J. Clin. Med. 2022, 11, 4543. [Google Scholar] [CrossRef] [PubMed] [PubMed Central]
- García de Guadiana-Romualdo, L.; Calvo Nieves, M.D.; Rodríguez Mulero, M.D.; Calcerrada Alises, I.; Hernández Olivo, M.; Trapiello Fernández, W.; González Morales, M.; Bolado Jiménez, C.; Albaladejo-Otón, M.D.; Fernández Ovalle, H.; et al. MR-proADM as marker of endotheliitis predicts COVID-19 severity. Eur. J. Clin. Investig. 2021, 51, e13511. [Google Scholar] [CrossRef] [PubMed] [PubMed Central]
- Popov, D.; Borovkova, U.; Rybka, M.; Ramnyonok, T.; Golukhova, E. Mid-regional pro-adrenomedullin as a predictor of in-hospital mortality in adult patients with COVID-19: A single-centre prospective study. Anaesthesiol. Intensive Ther. 2022, 54, 242–246. [Google Scholar] [CrossRef] [PubMed] [PubMed Central]
- Astapovskii, A.A.; Drozdov, V.N.; Shikh, E.V.; Melkonyan, G.G.; Sizova, Z.M.; Zakharova, V.L.; Shindryaeva, N.N.; Lapidus, N.I. Prognostic value of proadrenomedullin in patients with COVID-19 pneumonia. Front. Med. 2022, 9, 961071. [Google Scholar] [CrossRef] [PubMed] [PubMed Central]
- von Haehling, S.; Filippatos, G.S.; Papassotiriou, J.; Cicoira, M.; Jankowska, E.A.; Doehner, W.; Rozentryt, P.; Vassanelli, C.; Struck, J.; Banasiak, W.; et al. Mid-regional pro-adrenomedullin as a novel predictor of mortality in patients with chronic heart failure. Eur. J. Heart Fail. 2010, 12, 484–491. [Google Scholar] [CrossRef] [PubMed]
- Gegenhuber, A.; Struck, J.; Dieplinger, B.; Poelz, W.; Pacher, R.; Morgenthaler, N.G.; Bergmann, A.; Haltmayer, M.; Mueller, T. Comparative evaluation of B-type natriuretic peptide, mid-regional pro-A-type natriuretic peptide, mid-regional pro-adrenomedullin, and Copeptin to predict 1-year mortality in patients with acute destabilized heart failure. J. Card. Fail. 2007, 13, 42–49. [Google Scholar] [CrossRef] [PubMed]
- Peacock, W.F. Novel biomarkers in acute heart failure: MR-pro-adrenomedullin. Clin. Chem. Lab. Med. 2014, 52, 1433–1435. [Google Scholar] [CrossRef] [PubMed]
- Cavallazzi, R.; El-Kersh, K.; Abu-Atherah, E.; Singh, S.; Loke, Y.K.; Wiemken, T.; Ramirez, J. Midregional proadrenomedullin for prognosis in community-acquired pneumonia: A systematic review. Respir. Med. 2014, 108, 1569–1580. [Google Scholar] [CrossRef] [PubMed]
- Munteanu, A.M.; Lighezan, D.F.; Nicoras, V.A.; Dumitrescu, P.; Bodea, O.M.; Velimirovici, D.E.; Otiman, G.; Banciu, C.; Nisulescu, D.D. Effects of COVID-19 Infection on Endothelial Vascular Function. Viruses. 2025, 17, 305. [Google Scholar] [CrossRef] [PubMed] [PubMed Central]
- Stimart, H.L.; Hipkins, B. The negative effects of long COVID-19 on cardiovascular health and implications for the presurgical examination. J. Osteopath. Med. 2024, 125, 105–117. [Google Scholar] [CrossRef] [PubMed]
- Maisel, A.; Xue, Y.; Shah, K.; Mueller, C.; Nowak, R.; Peacock, W.F.; Ponikowski, P.; Mockel, M.; Hogan, C.; Wu, A.H.; et al. Increased 90-day mortality in patients with acute heart failure with elevated copeptin: Secondary results from the Biomarkers in Acute Heart Failure (BACH) study. Circ. Heart Fail. 2011, 4, 613–620. [Google Scholar] [CrossRef] [PubMed]
- Potocki, M.; Breidthardt, T.; Reichlin, T.; Morgenthaler, N.G.; Bergmann, A.; Noveanu, M.; Schaub, N.; Uthoff, H.; Freidank, H.; Buser, L.; et al. Midregional pro-adrenomedullin in addition to b-type natriuretic peptides in the risk stratification of patients with acute dyspnea: An observational study. Crit. Care 2009, 13, R122. [Google Scholar] [CrossRef] [PubMed] [PubMed Central]
- Johnsson, P.; Fredriksson, A.; Tung, C.; Friberg, H.; Frigyesi, A. Plasma bioactive adrenomedullin on intensive care unit admission is associated with acute respiratory distress syndrome: An observational study. Intensive Care Med. Exp. 2023, 11, 10. [Google Scholar] [CrossRef]
- Fraty, M.; Velho, G.; Gand, E.; Fumeron, F.; Ragot, S.; Sosner, P.; Mohammedi, K.; Gellen, B.; Saulnier, P.J.; Halimi, J.M.; et al. Prognostic value of plasma MR-proADM vs NT-proBNP for heart failure in people with type 2 diabetes: The SURDIAGENE prospective study. Diabetologia 2018, 61, 2643–2653. [Google Scholar] [CrossRef] [PubMed]
- Morgenthaler, N.G.; Struck, J.; Alonso, C.; Bergmann, A. Measurement of midregional proadrenomedullin in plasma with an immunoluminometric assay. Clin. Chem. 2005, 51, 1823–1829. [Google Scholar] [CrossRef] [PubMed]
- Falkentoft, A.C.; Rørth, R.; Iversen, K.; Høfsten, D.E.; Kelbæk, H.; Holmvang, L.; Frydland, M.; Schoos, M.M.; Helqvist, S.; Axelsson, A.; et al. MR-proADM as a Prognostic Marker in Patients with ST-Segment-Elevation Myocardial Infarction-DANAMI-3 (a Danish Study of Optimal Acute Treatment of Patients with STEMI) Substudy. J. Am. Heart Assoc. 2018, 7, e008123. [Google Scholar] [CrossRef] [PubMed] [PubMed Central]
- Berezin, A.E.; Berezin, A.A. Adverse Cardiac Remodelling after Acute Myocardial Infarction: Old and New Biomarkers. Dis. Markers 2020, 2020, 1215802. [Google Scholar] [CrossRef] [PubMed] [PubMed Central]
- Huang, D.T.; Angus, D.C.; Kellum, J.A.; Pugh, N.A.; Weissfeld, L.A.; Struck, J.; Delude, R.L.; Rosengart, M.R.; Yealy, D.M. Midregional proadrenomedullin as a prognostic tool in community-acquired pneumonia. Chest 2009, 136, 823–831. [Google Scholar] [CrossRef] [PubMed] [PubMed Central]
- Ara-Somohano, C.; Bonadona, A.; Carpentier, F.; Pavese, P.; Vesin, A.; Hamidfar-Roy, R.; Minet, C.; Vanzetto, G.; Schwebel, C.; Timsit, J.F. Evaluation of eight biomarkers to predict short-term mortality in patients with acute severe dyspnea. Minerva Anestesiol. 2017, 83, 824–835. [Google Scholar] [CrossRef] [PubMed]
- Stokes, N.R.; Dietz, B.W.; Liang, J.J. Cardiopulmonary laboratory biomarkers in the evaluation of acute dyspnea. Open Access Emerg. Med. 2016, 8, 35–45. [Google Scholar] [CrossRef]
- Roos, M.; Schuster, T.; Ndrepepa, G.; Baumann, M.; Lutz, J.; Braun, S.; Martinof, S.; Schömig, A.; Heemann, U.; Kastrati, A.; et al. Association of midregional proadrenomedullin with coronary artery stenoses, soft atherosclerotic plaques and coronary artery calcium. Heart Vessel. 2012, 27, 352–359. [Google Scholar] [CrossRef] [PubMed]
- Melander, O.; Newton-Cheh, C.; Almgren, P.; Hedblad, B.; Berglund, G.; Engström, G.; Persson, M.; Smith, J.G.; Magnusson, M.; Christensson, A.; et al. Novel and conventional biomarkers for prediction of incident cardiovascular events in the community. JAMA 2009, 302, 49–57. [Google Scholar] [CrossRef] [PubMed] [PubMed Central]
- Wang, H.Y.; Wang, F.Z.; Chang, R.; Wang, Q.; Liu, S.Y.; Cheng, Z.X.; Gao, Q.; Zhou, H.; Zhou, Y.B. Adrenomedullin Improves Hypertension and Vascular Remodeling partly through the Receptor-Mediated AMPK Pathway in Rats with Obesity-Related Hypertension. Int. J. Mol. Sci. 2023, 24, 3943. [Google Scholar] [CrossRef] [PubMed] [PubMed Central]
- Spoto, S.; Argemi, J.; Di Costanzo, R.; Gavira Gomez, J.J.; Salterain Gonzales, N.; Basili, S.; Cangemi, R.; Abbate, A.; Locorriere, L.; Masini, F.; et al. Mid-Regional Pro-Adrenomedullin and N-Terminal Pro-B-Type Natriuretic Peptide Measurement: A Multimarker Approach to Diagnosis and Prognosis in Acute Heart Failure. J. Pers. Med. 2023, 13, 1155. [Google Scholar] [CrossRef]
- Khan, S.Q.; O’Brien, R.J.; Struck, J.; Quinn, P.; Morgenthaler, N.; Squire, I.; Davies, J.; Bergmann, A.; Ng, L.L. Prognostic value of midregional pro-adrenomedullin in patients with acute myocardial infarction: The lamp (leicester acute myocardial infarction peptide) study. J. Am. Coll. Cardiol. 2007, 49, 1525–1532. [Google Scholar] [CrossRef]
- Vergaro, G.; Gentile, F.; Meems, L.M.G.; Aimo, A.; Januzzi, J.L., Jr.; Richards, A.M.; Lam, C.S.P.; Latini, R.; Staszewsky, L.; Anand, I.S.; et al. NT-proBNP for Risk Prediction in Heart Failure: Identification of Optimal Cutoffs Across Body Mass Index Categories. JACC Heart Fail. 2021, 9, 653–663. [Google Scholar] [CrossRef] [PubMed]
- Netala, V.R.; Hou, T.; Wang, Y.; Zhang, Z.; Teertam, S.K. Cardiovascular Biomarkers: Tools for Precision Diagnosis and Prognosis. Int. J. Mol. Sci. 2025, 26, 3218. [Google Scholar] [CrossRef] [PubMed] [PubMed Central]
- Fatemi, S.; Acosta, S.; Zarrouk, M.; Engström, G.; Melander, O.; Gottsäter, A. Pro B-type Natriuretic Peptide and Midregional Proadrenomedullin are Associated with Incident Carotid Stenosis During Long Term Follow-up. J. Stroke Cerebrovasc. Dis. 2021, 30, 105403. [Google Scholar] [CrossRef] [PubMed]
- Christ-Crain, M.; Morgenthaler, N.G.; Struck, J.; Harbarth, S.; Bergmann, A.; Müller, B. Mid-regional pro-adrenomedullin as a prognostic marker in sepsis: An observational study. Crit. Care 2005, 9, R816–R824. [Google Scholar] [CrossRef] [PubMed] [PubMed Central]
- Potocki, M.; Ziller, R.; Mueller, C. Mid-regional pro-adrenomedullin in acute heart failure: A better biomarker or just another biomarker? Curr. Heart Fail. Rep. 2012, 9, 244–251. [Google Scholar] [CrossRef] [PubMed]
- Braunwald, E. Biomarkers in heart failure. N. Engl. J. Med. 2008, 358, 2148–2159. [Google Scholar] [CrossRef] [PubMed]


| Variable | Mean | Median | SD | Skewness | Kurtosis | Min | Max | W, p-Value |
|---|---|---|---|---|---|---|---|---|
| MR-proADM | 91.48 | 77.95 | 71.96 | 2.16 | 5.90 | 5.81 | 429.20 | 0.80, <0.001 |
| proBNP | 2080.29 | 782.90 | 3632.03 | 3.52 | 14.65 | 10.70 | 23,498.00 | 0.63, <0.001 |
| Troponin T | 143.12 | 20.00 | 733.93 | 8.14 | 68.25 | 4.00 | 6251.00 | 0.40, <0.001 |
| Troponin I | 143.37 | 10.00 | 749.85 | 7.10 | 52.71 | 5.00 | 6466.00 | 0.18, <0.001 |
| Group | MR-proADM | Z | p | η2 | ||
|---|---|---|---|---|---|---|
| Mean Rank | M | SD | ||||
| Control group (n = 93) | 74.70 | 91.66 | 82.09 | −1.43 | 0.153 | 0.01 |
| Study Group (n = 64) | 85.25 | 91.22 | 54.60 | |||
| Group without cardiovascular disease (n = 17) | 72.94 | 74.33 | 37.43 | −0.58 | 0.561 | <0.01 |
| Group with cardiovascular disease (n = 140) | 79.74 | 93.56 | 74.90 | |||
| Post COVID-19 group (n = 21) | 31.95 | 85.98 | 50.39 | −0.16 | 0.869 | <0.01 |
| Active COVID-19 group (n = 43) | 32.77 | 93.78 | 56.94 | |||
| Low MR-proADM | High MR-proADM | χ2(1) | p | ϕ | ||||
|---|---|---|---|---|---|---|---|---|
| n | % | n | % | |||||
| Chronic Heart Failure | No | 36 | 45.0% | 35 | 45.5% | <0.01 | 1.000 | <0.01 |
| Yes | 44 | 55.0% | 42 | 54.5% | ||||
| History of Myocardial Infraction | No | 71 | 88.8% | 61 | 79.2% | 2.66 | 0.128 | 0.13 |
| Yes | 9 | 11.3% | 16 | 20.8% | ||||
| Dependent Variable * | B | SE | Wald | p-Value | Exp(B) | 95% CI LL | 95% CI UL |
|---|---|---|---|---|---|---|---|
| Chronic heart failure | <0.01 | <0.01 | 0.19 | 0.660 | 1.00 | 1.00 | 1.00 |
| Constant | 0.28 | 0.26 | 1.17 | 0.279 | 1.33 | ||
| Myocardial infarction | <0.01 | <0.01 | 0.54 | 0.465 | 1.00 | 1.00 | 1.01 |
| Constant | −1.86 | 0.35 | 28.13 | <0.001 | 0.16 |
| Variable | Spearman Rho | p-Value |
|---|---|---|
| proBNP | 0.09 | 0.323 |
| Troponin T | 0.22 | 0.065 |
| Troponin I | 0.16 | 0.088 |
| Group | n | Median (pmol/L) | IQR (Q1–Q3) |
|---|---|---|---|
| Severe COVID-19 | 36 | 80.9 | 53.8–105.1 |
| Mild COVID-19 | 26 | 92.4 | 67.8–108.0 |
| No COVID-19 | 93 | 69.6 | 41.2–106.4 |
| Group | N | Males (n) | Mean Age, Years (±SD) |
|---|---|---|---|
| CVD + COVID | 64 | 25 | 75.9 ± 10.1 |
| CVD_noCOVID | 76 | 32 | 74.3 ± 12.0 |
| Healthy | 17 | 9 | 50.3 ± 15.1 |
| Total | 157 | 66 | 72.3 ± 12.6 |
| Complication | CVD + COVID (n = 64) | CVD Without COVID (n = 76) | Healthy Controls (n = 17) |
|---|---|---|---|
| Atrial fibrillation | 6 (9.4%) | 5 (6.6%) | 0 (0.0%) |
| Carotid atherosclerosis | 7 (10.9%) | 27 (35.5%) | 0 (0.0%) |
| Chronic heart failure | 35 (54.7%) | 51 (67.1%) | 0 (0.0%) |
| Embolic events (during COVID) | 4 (6.2%) | 0 (0.0%) | 0 (0.0%) |
| Embolic events (history) | 6 (9.4%) | 9 (11.8%) | 0 (0.0%) |
| Impaired diastolic function | 27 (42.2%) | 35 (46.1%) | 2 (11.8%) |
| Impaired systolic function | 22 (34.4%) | 31 (40.8%) | 0 (0.0%) |
| Ischemic stroke | 6 (9.4%) | 3 (3.9%) | 0 (0.0%) |
| Myocardial infarction | 14 (21.9%) | 11 (14.5%) | 0 (0.0%) |
| Paroxysmal atrial fibrillation | 8 (12.5%) | 15 (19.7%) | 0 (0.0%) |
| Permanent atrial fibrillation | 15 (23.4%) | 15 (19.7%) | 0 (0.0%) |
| Persistent atrial fibrillation | 6 (9.4%) | 6 (7.9%) | 0 (0.0%) |
| Supraventricular arrhythmias > 1% | 4 (6.2%) | 10 (13.2%) | 0 (0.0%) |
| Ventricular arrhythmias > 1% | 2 (3.1%) | 7 (9.2%) | 0 (0.0%) |
Disclaimer/Publisher’s Note: The statements, opinions and data contained in all publications are solely those of the individual author(s) and contributor(s) and not of MDPI and/or the editor(s). MDPI and/or the editor(s) disclaim responsibility for any injury to people or property resulting from any ideas, methods, instructions or products referred to in the content. |
© 2025 by the authors. Licensee MDPI, Basel, Switzerland. This article is an open access article distributed under the terms and conditions of the Creative Commons Attribution (CC BY) license (https://creativecommons.org/licenses/by/4.0/).
Share and Cite
Pietraszko, P.; Żórawski, M.; Bielecka-Richter, E.; Gryciuk, M.; Mil, K.; Zbroch, A.; Zbroch, E. Cardiovascular Disease and COVID-19: Is There a Place for Mid-Regional Pro-Adrenomedullin? Preliminary Data from a Clinical Cohort. Int. J. Mol. Sci. 2025, 26, 10081. https://doi.org/10.3390/ijms262010081
Pietraszko P, Żórawski M, Bielecka-Richter E, Gryciuk M, Mil K, Zbroch A, Zbroch E. Cardiovascular Disease and COVID-19: Is There a Place for Mid-Regional Pro-Adrenomedullin? Preliminary Data from a Clinical Cohort. International Journal of Molecular Sciences. 2025; 26(20):10081. https://doi.org/10.3390/ijms262010081
Chicago/Turabian StylePietraszko, Paulina, Marcin Żórawski, Emilia Bielecka-Richter, Małgorzata Gryciuk, Kacper Mil, Aleksandra Zbroch, and Edyta Zbroch. 2025. "Cardiovascular Disease and COVID-19: Is There a Place for Mid-Regional Pro-Adrenomedullin? Preliminary Data from a Clinical Cohort" International Journal of Molecular Sciences 26, no. 20: 10081. https://doi.org/10.3390/ijms262010081
APA StylePietraszko, P., Żórawski, M., Bielecka-Richter, E., Gryciuk, M., Mil, K., Zbroch, A., & Zbroch, E. (2025). Cardiovascular Disease and COVID-19: Is There a Place for Mid-Regional Pro-Adrenomedullin? Preliminary Data from a Clinical Cohort. International Journal of Molecular Sciences, 26(20), 10081. https://doi.org/10.3390/ijms262010081

