Abstract
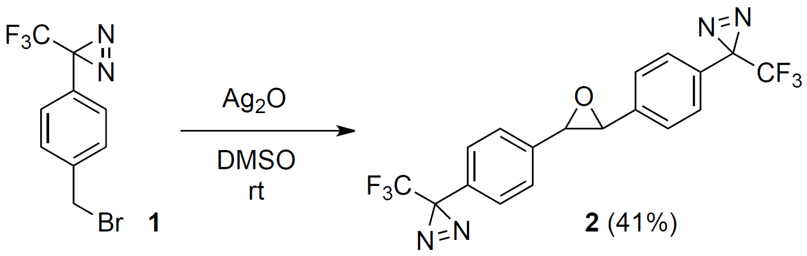
The title compound, which has two photoreactive groups in a molecule, was synthesized by the coupling reaction of 3-(4-(bromomethyl)phenyl)-3-(trifluoromethyl)-3H-diazirine in the presence of silver oxide in DMSO.
Diazirine based photoaffinity labeling is a useful chemical biology method to elucidate interactions between low molecular weight bioactive compounds and biomolecules [1]. Photoreactive compound contained two photophores [2,3] is one of the attractive tools for comprehensive analysis of ligand-biomolecule interactions by photoaffinity labeling.
We have synthesized a new two photophores containing compound, 2,3-bis(4-(3-(trifluoromethyl)-3H-diazirin-3-yl)phenyl)oxirane 2, from 4-[3-(trifluoromethyl)-3H-diazirin-3-yl]benzyl bromide 1 with silver oxide in DMSO [4] without decomposition of diazirinyl ring. 1H- and 13C-NMR chemical shifts for oxirane moiety (3.83 and 62.17 ppm) strongly indicated that the purified compound is trans- isomer [5,6]. The 2,3-trans two-photophores containing oxirane ring is utilized for introduction of 2 to ligand.
Experimental
Synthesis of 2,3-bis(4-(3-(trifluoromethyl)-3H-diazirin-3-yl)phenyl)oxirane (2)
To a solution of 4-[3-(trifluoromethyl)-3H-diazirin-3-yl]benzyl bromide (1) [7,8] (0.10 g, 0.36 mmol) in anhydrous DMSO (1 mL), silver oxide (0.09 g, 0.39 mmol) was added. The resulting mixture was stirred overnight at room temperature until TLC showed the reaction to be complete. The reaction was filtered by Celite and treated with H2O, which was extracted with diethyl ether. The combined oil layer was dried over MgSO4 and subjected to rotary evaporation to remove the solvent. The crude product was purified by silica gel column chromatography (CH2Cl2/hexane, 1:1) to afford 2 (0.06 g, 41%) as a yellow solid. [α]D −20 (c 0.5, CHCl3). UV(CDCl3) λmax (ε) 250 (2120), 356 (1170). 1H-NMR (270 MHz, CDCl3): δ 7.37 (4H, d, J = 8.1 Hz,), 7.22 (4H, d, J = 8.1 Hz), 3.83 (2H, s). 13C-NMR (68 MHz, CDCl3): δ 138.54, 129.48, 126.91, 126.02, 122.14 (q, 1JCF = 274.7 Hz), 62.17, 28.24 (q, 2JCF = 40.6 Hz). 19F-NMR (470 MHz, CDCl3): δ −65.22. HRMS (FD): m/z calcd for C18H10F6N4O: 412.0759; found: 412.0744.
Supplementary materials
Supplementary File 1Supplementary File 2Supplementary File 3Acknowledgments
This research was partially supported by the Fugaku Foundation for financial support. Part of this work was performed under the Cooperative Research Program of “Network Joint Research Center for Materials and Devices”.
Conflicts of Interest
The authors declare no conflict of interest.
References and Notes
- Hashimoto, M.; Hatanaka, Y. Recent progress in diazirine-based photoaffinity labeling. Eur. J. Org. Chem. 2008, 2008, 2513–2523. [Google Scholar] [CrossRef]
- Blencowe, A.; Blencowe, C.; Cosstick, K.; Hayes, W. A carbene insertion approach to functionalized poly(ethylene oxide)-based gels. React. Funct. Polym. 2008, 68, 868–875. [Google Scholar] [CrossRef]
- Murai, Y.; Wang, L.; Muto, Y.; Sakihama, Y.; Hashidoko, Y.; Hatanaka, Y.; Hashimoto, M. Simple and stereocontrolled preparation of benzoylated phenylalanine using Friedel–Crafts reaction in trifluoromethanesulfonic acid for photoaffinity labeling. Heterocycles 2013, 87, 2119–2126. [Google Scholar] [CrossRef]
- Wong, F.M.; Chan, Y.M.; Chen, D.X.; Wu, W. Convenient one-pot synthesis of trans-1,2-diaryloxiranes from the direct coupling of benzyl halides. Tetrahedron Lett. 2010, 51, 6649–6650. [Google Scholar] [CrossRef] [PubMed]
- Tao, B.; Lo, M.M.-C.; Fu, G.C. Planar-chiral pyridine N-Oxides, a new family of asymmetric catalysts: Exploiting an η5-C5Ar5 ligand to achieve high enantioselectivity. J. Am. Chem. Soc. 2001, 123, 353–354. [Google Scholar] [CrossRef] [PubMed]
- Okazaki, Y.; Ando, F.; Koketsu, J. Generation of sulfur ylides from sulfonium salts and their reactions. Comparative study of electrochemical reduction with the base method and mechanism elucidation by the MO method. Bull. Chem. Soc. Jpn. 2003, 76, 2155–2165. [Google Scholar] [CrossRef]
- Brunner, J.; Senn, H.; Richards, F.M. 3-Trifluoromethyl-3-phenyldiazirine. A new carbene generating group for photolabeling reagents. J. Biol. Chem. 1980, 255, 3313–3318. [Google Scholar] [PubMed]
- Nakashima, H.; Hashimoto, M.; Sadakane, Y.; Tomohiro, T.; Hatanaka, Y. Simple and Versatile method for tagging phenyldiazirine photophores. J. Am. Chem. Soc. 2006, 128, 15092–15093. [Google Scholar] [CrossRef] [PubMed]
© 2014 by the authors; licensee MDPI, Basel, Switzerland. This article is an open access article distributed under the terms and conditions of the Creative Commons Attribution license (http://creativecommons.org/licenses/by/3.0/).
