Abstract
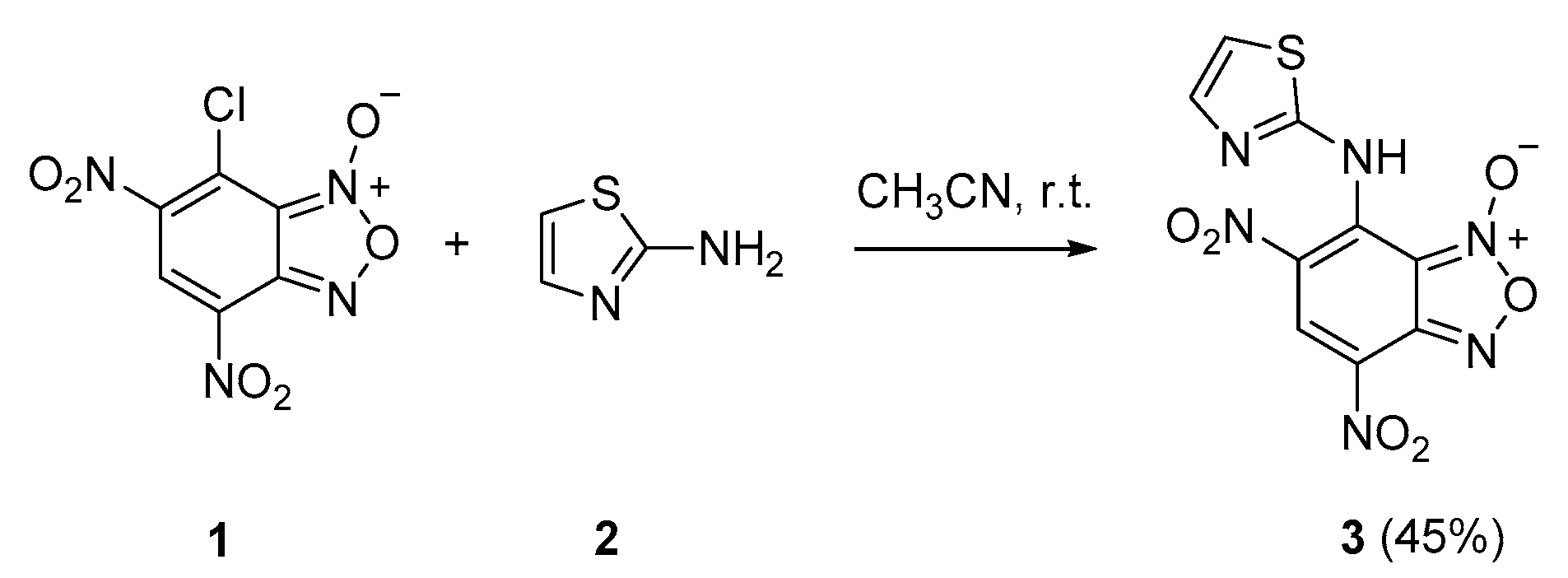
4,6-Dinitro-7-(thiazol-2-ylamino)benzo[c][1,2,5]oxadiazole 1-oxide was synthesized by a SNAr reaction between 7-chloro-4,6-dinitrobenzofuroxan and 2-aminothiazole. The structure of the newly synthesized compound (45% yield) was elucidated based on 1H-NMR, 13C-NMR, NOESY-1D, ESI-MS, UV-Vis, and FT-IR techniques.
1. Introduction
Aromatic substitution reactions (SEAr and SNAr) [1,2,3,4] are among the most important reactions in organic chemistry from both the synthetic and mechanistic points of view. In the latter case, the reaction course has been studied with a wide number of substrates and, in many cases, the reaction intermediates have been detected and isolated. For a long time, we have been studying this kind of reaction, coupling strongly activated neutral aromatics such as 1,3,5-triaminobenzenes with a series of electrophiles, both charged and neutral [5,6,7,8].
Other interesting nucleophiles we used are thiazole derivatives, which we combined with different electrophiles, mainly 4,6-dinitrobenzofuroxan and 7-chloro-4,6-dinitrobenzofuroxan (1) [9,10,11,12].
The presence of the benzofuroxanyl moiety is of particular interest in the medicinal and biological fields, due to its ability to release nitric oxide (NO) under physiological conditions [13,14].
Recently, we performed reactions between 7-chloro-4,6-dinitrobenzofuroxan (1) and 2-aminobenzothiazoles, obtaining derivatives with biological activity [15].
In the framework of the recent increasing attention paid to the synthesis of hybrid structures able to nitric oxide (NO) release, we report the synthesis of 4,6-dinitro-7-(thiazol-2-ylamino)benzo[c][1,2,5]oxadiazole 1-oxide in mild conditions as a novel heterocyclic system incorporating furoxan and thiazole moieties of interest as a new potentially biologically active compound [16,17,18].
2. Results
The synthesis of 4,6-dinitro-7-(thiazol-2-ylamino)benzo[c][1,2,5]oxadiazole 1-oxide (3) (Scheme 1) was performed by a SNAr reaction between 7-chloro-4,6-dinitrobenzofuroxan (1) and 2-aminothiazole (2), in a 1:2 molar ratio, in acetonitrile, and at room temperature. The use of two equivalents of 2-aminothiazole is necessary in order to neutralize the hydrochloric acid produced during the reaction. At the end of the reaction, the product was purified from the complex crude reaction mixture by column chromatography on silica gel using a mixture of ethyl acetate and acetone (9/1 ratio) as an eluent and obtained pure in a 45% yield. The structure of the newly synthesized compound was elucidated based on 1H-NMR, 13C-NMR, ESI-MS, NOESY-1D, UV-Vis, and FT-IR techniques.
Scheme 1.
Synthesis of compound 3 from 7-chloro-4,6-dinitrobenzofuroxan (1) and 2-aminothiazole (2).
3. Discussion
It is known that 2-aminothiazole can behave as a tridentate nucleophile, with possible sites of attack localized on the exocyclic nitrogen atom, endocyclic nitrogen atom, and carbon atom in position 5. This characteristic makes possible, in principle, the formation of three different compounds (Figure 1).
Figure 1.
Three possible products from the reaction between 1 and 2.
To discriminate between the possible structures, we analyzed the 1H-NMR spectrum, in which three signals in aromatic region were present—one singlet belonging to the benzofuroxanyl moiety and two doublets derived from the 2-aminothiazole moiety.
The presence of the two doublets permitted us to exclude the formation of compound C, where only one signal should be present for the thiazole moiety. In this context, it has to be noted that, when N,N-disubstituted 2-aminothiazole is used, only the product derived from this kind of attack was detected [11].
Since structures A and B cannot be easily distinguished by NMR spectroscopy, we planned to methylate the product (Scheme 2) and then analyze it through a NOESY-1D experiment in order to ascertain the structure.
Scheme 2.
Possible products of the methylation reaction from A or B.
In fact, by irradiating the signal corresponding to the methyl group, if the Met-A product has been obtained the NOESY-1D spectrum would not show the increase in the signal of the proton in position 4 of the thiazole portion, while if Met-B has been obtained the spectrum does not show an increase in any signal.
The NOESY-1D spectrum (Figure 2) of the methylated compound, recorded by irradiating the methyl group signal (δ = 3.71), shows the presence of a signal at δ = 7.78, corresponding to one of the doublets of the thiazole moiety.
Figure 2.
NOESY-1D spectrum of the methylated compound in DMSO-d6.
From this finding, it has been possible to ascribe the structure Met-A to the product and then the structure A to compound 3. The same conclusion was gained by recording the NOESY-1D spectrum by irradiating the signal belonging at δ = 7.78 (see Figure S9).
4. Materials and Methods
The 1H and 13C spectra were recorded on an Inova 600 (Varian, Palo Alto, CA, USA) spectrometer operating at 600 MHz (for 1H-NMR) and 150 MHz (for 13C-NMR). Chemical shifts refer to the solvent for 1H and 13C-NMR (δ = 1.96 and δ = 118.26, respectively, for CD3CN; δ = 2.50 for 1H-NMR in DMSO-d6). Signal multiplicities were established by Distortionless Enhanced by Polarization Transfer (DEPT90) experiments. Chemical shifts were measured in δ. J values are given in Hertz. Electron spray ionization mass spectra (ESI-MS) were recorded with a WATERS ZQ 4000 instrument (Waters Corporation, Milford, MA, USA). The IR spectrum was recorded with a Fourier transform spectrophotometer PerkinElmer FT-IR Spectrum Two (PerkinElmer, Waltham, MA, USA) in the 4000−800 cm−1 wavelength range using a NaCl cell. The UV/Vis spectrum was recorded using a PerkinElmer UV-Vis Lambda 12 spectrophotometer (PerkinElmer, Waltham, MA, USA). Chromatographic purifications (FC) were carried out on glass columns packed with silica gel (Merck grade 9385, 230−400 mesh particle size, 60 Å pore size) at medium pressure. Thin-layer chromatography (TLC) was performed on silica gel 60 F254-coated aluminum foils (Fluka, Darmstadt, Germany). 7-Chloro-4,6-dinitrobenzofuroxan was synthesized according to the literature [19], and 2-aminothiazole was purchased by Sigma-Aldrich (Darmstadt, Germany).
4,6-Dinitro-7-(thiazol-2-ylamino)benzo[c][1,2,5]oxadiazole 1-oxide (3)
In a round-bottom flask, 7-chloro-4,6-dinitrobenzofuroxan (1) (156 mg, 0.6 mmol) and 2-aminothiazole (2) (120 mg, 1.2 mmol) were added and dissolved in acetonitrile (10 mL). Immediately after mixing, the solution became dark brown. The mixture was stirred at room temperature overnight. The reaction course was monitored by TLC (eluent: ethyl acetate/acetone 9/1). The product was purified by a chromatography column on silica gel (eluent ethyl acetate/acetone 9/1). The pure product yield was 89 mg, 45%.
Red plates, m.p. >300 °C (CH3Cl); 1H-NMR (600 MHz, CD3CN, 25 °C) δ = 8.84 (s, 1H), 7.35 (d, J = 3.7 Hz, 1H), 7.11 (d, J = 3.7 Hz, 1H); NH not detected, likely due to the exchange with HDO present in the deuterated solvent; 13C-NMR (150 MHz, CD3CN) δ = 172.7 (C), 149.0 (C), 142.5 (C), 140.1 (CH), 135.4 (CH), 127.1 (C), 116.5 (CH), 116.2 (C), 113.4 (C); ESI-MS– (m/z): 323 [M − H]−; FT-IR: ν (cm−1) 3164, 3004, 2944, 2293, 2261, 2245, 1438, 1374, 1039, 918; UV-Vis: λmax = 495 nm, ε495 = 12,933 L mol−1 cm−1; elemental analysis for C9H4N6O6S, calculated C, 33.34; H, 1.24; N, 25.92, found C, 33.40; H, 1.26; N, 25.89.
Supplementary Materials
The following are available online. Figure S1, 1H-NMR spectrum in CD3CN of compound 3; Figure S2, 13C-NMR spectrum in CD3CN of compound 3; Figure S3, DEPT spectrum in CD3CN of compound 3; Figure S4, ESI-MS spectrum of compound 3; Figure S5, FT-IR spectrum of compound 3; Figure S6, UV-Vis spectrum of compound 3, Figure S7, measurements for molar extinction coefficient determination of compound 3. Figure S8, 1H-NMR spectrum of Compound Met-A in DMSO-d6. Figure S9, NOESY-1D spectrum of compound Met-A irradiating at δ = 7.78.
Author Contributions
Methodology, G.M. and D.T.; writing—original draft preparation, G.M. and C.B.; supervision and funding, C.B. All authors have read and agreed to the published version of the manuscript.
Funding
Alma Mater Studiorum–Università di Bologna funded this research.
Conflicts of Interest
The authors declare no conflict of interest.
References
- Terrier, F. Modern Nucleophilic Aromatic Substitution; Wiley VCH: Weinheim, Germany, 2013. [Google Scholar]
- Terrier, F. Nucleophilic Aromatic Displacement; VCH: New York, NY, USA, 1991. [Google Scholar]
- Ouellette, R.J.; Rawn, J.D. Electrophilic Aromatic Substitution. In Organic Chemistry: Structure, Mechanism and Synthesis, 1st ed.; Elsevier: San Diego, CA, USA, 2014; Chapter 13; pp. 417–451. [Google Scholar]
- Ouellette, R.J.; Rawn, J.D. Electrophilic Aromatic Substitution. In Organic Chemistry: Structure, Mechanism and Synthesis, 2nd ed.; Elsevier: San Diego, CA, USA, 2018; Chapter 13; pp. 375–407. [Google Scholar]
- Micheletti, G.; Boga, B. Nucleophile/Electrophile Combinations in Aromatic Substitution: From Wheland to Wheland-Meisenheimer Intermediates Using Strongly Activated Arenes. Synthesis 2017, 49, 3347–3356. [Google Scholar]
- Del Vecchio, E.; Boga, C.; Forlani, L.; Tozzi, S.; Micheletti, G.; Cino, S. Ring Closure of Azo Compounds to 1,2-Annulated Benzimidazole Derivatives and Further Evidence of Reversibility of the Azo-Coupling Reaction. J. Org. Chem. 2015, 80, 2216–2222. [Google Scholar] [CrossRef] [PubMed]
- Micheletti, G.; Boga, C.; Pafundi, M.; Pollicino, S.; Zanna, N. New electron-donor and -acceptor architectures from benzofurazans and sym-triaminobenzenes: Intermediates, products and an unusual nitro group shift. Org. Biomol. Chem. 2016, 14, 768–776. [Google Scholar] [CrossRef] [PubMed]
- Boga, C.; Micheletti, G.; Cino, S.; Fazzini, S.; Forlani, L.; Zanna, N.; Spinelli, D. C–C coupling between trinitrothiophenes and triaminobenzenes: Zwitterionic intermediates and new all-conjugated structures. Org. Biomol. Chem. 2016, 14, 4267–4275. [Google Scholar] [CrossRef] [PubMed]
- Forlani, L.; Boga, C.; Mazzanti, A.; Zanna, N. Trapping and analysing Wheland-Meisenheimer σ complexes, usually labile and escaping intermediates. Eur. J. Org. Chem. 2012, 6, 1123–1129. [Google Scholar] [CrossRef]
- Boga, C.; Cino, S.; Micheletti, G.; Padovan, D.; Prati, L.; Mazzanti, A.; Zanna, N. New azo-decorated N-pyrrolidinylthiazoles: Synthesis, properties and an unexpected remote substituent effect transmission. Org. Biomol. Chem. 2016, 14, 7061–7068. [Google Scholar] [CrossRef] [PubMed]
- Micheletti, G.; Iannuzzo, L.; Calvaresi, M.; Bordoni, S.; Telese, D.; Chugunova, E.; Boga, C. Intriguing Enigma of Nitrobenzofuroxan’s ‘Sphinx’: Boulton–Katritzky rearrangement or unusual evidence of the N-1/N-3-oxide rearrangement? RSC Adv. 2020, 10, 34670–34680. [Google Scholar] [CrossRef]
- Boga, C.; Del Vecchio, E.; Forlani, L.; Goumont, R.; Terrier, F.; Tozzi, S. Evidence for the intermediacy of Wheland-Meisenheimer complexes in SEAr reactions of aminothiazoles with 4,6-dinitrobenzofuroxan. Chem. Eur. J. 2007, 13, 9600–9607. [Google Scholar] [CrossRef] [PubMed]
- Cerecetto, H.; Porcal, W. Pharmacological properties of furoxans and benzofuroxans: Recent developments. Mini Rev. Med. Chem. 2005, 5, 57–71. [Google Scholar] [CrossRef] [PubMed]
- Medana, C.; Di Stilo, A.; Visentin, S.; Fruttero, R.; Gasco, A.; Ghigo, D.; Bosia, A. NO donor and biological properties of different benzofuroxans. Pharm. Res. 1999, 16, 956–960. [Google Scholar] [CrossRef] [PubMed]
- Chugunova, E.; Boga, C.; Sazykin, I.; Cino, S.; Micheletti, G.; Mazzanti, A.; Sazykina, M.; Burilov, A.; Khmelevstova, L.; Kostina, N. Synthesis and antimicrobial activity of novel structural hybrids of benzofuroxan and benzothiazole derivatives. Eur. J. Med. Chem. 2015, 93, 349–359. [Google Scholar] [CrossRef] [PubMed]
- Pérez, F.; Varela, M.; Canclini, L.; Acosta, S.; Martínez-López, W.; López, G.V.; Hernández, P. Furoxans and tocopherol analogs–furoxan hybrids as anticancer agents. Anti-Cancer Drugs 2019, 30, 330–338. [Google Scholar] [CrossRef] [PubMed]
- Prabhuling, S.; Tamboli, Y.; Choudhari, P.B.; Bhatia, M.S.; Kumar Mohanta, T.; Al-Harrasi, A.; Pudukulathan, Z.K. Synthesis and Modeling Studies of Furoxan Coupled Spiro-Isoquinolino Piperidine Derivatives as NO Releasing PDE 5 Inhibitors. Biomedicines 2020, 8, 121. [Google Scholar]
- Al-Sehemi, A.G.; Pannipara, M.; Parulekar, R.S.; Patil, O.; Choudhari, P.B.; Bhatia, M.S.; Zubaidha, P.K.; Tamboli, Y. Potential of NO donor furoxan as SARS-CoV-2 main protease (Mpro) inhibitors: In silico analysis. J. Biomol. Struct. Dyn 2020, 1–15. [Google Scholar] [CrossRef]
- Norris, W.P.; Chafin, A. Synthesis and thermal rearrangement of 5-chloro-4,6-dinitrobenzofuroxan. Heterocycles 1984, 22, 271–274. [Google Scholar] [CrossRef]
Publisher’s Note: MDPI stays neutral with regard to jurisdictional claims in published maps and institutional affiliations. |
© 2020 by the authors. Licensee MDPI, Basel, Switzerland. This article is an open access article distributed under the terms and conditions of the Creative Commons Attribution (CC BY) license (http://creativecommons.org/licenses/by/4.0/).



