Abstract
Dokdo Island’s diverse marine ecosystem requires long-term monitoring to understand the effects of rapid environmental changes, such as global warming, on macrobenthos species and communities. Current studies are often short-term and limited, highlighting the need for extended research to predict future changes to ecosystems. This study analyzed the environmental variables influencing macrobenthos through long-term monitoring. In total, 511 species (spp./23.4 m2) were identified with an abundance of 1709.9 individuals/m2 and a diversity of 2.9. Since 2020, there has been a decline in both the number of species and diversity, attributed to changes in sediment composition, particularly an increase in gravel and sand. The dominant species include the crustacean Abludomelita denticulata (17.6%), the polychaete Haplosyllis spongiphila (6.8%), the bivalve Glycymeris munda (5.6%), the polychaete Opisthodonta uraga (5.3%), and the bivalve Limatula japonica (3.8%). The macrobenthos community differs each year, as the dominant species G. munda has decreased in abundance since 2022 and L. japonica since 2021. Depth and gravel sediment strongly correlated with community variation. Site-specific analysis also showed significant differences, with depth, bottom temperature, and sediment composition as the influencing factors. These species thrive in cold water but their abundance declines with an increase in temperature. Continuous long-term monitoring is essential to understand and protect the Dokdo ecosystem amid rapid environmental changes. Long-term monitoring studies have revealed more species than have short-term studies, showing annual and site-specific environmental changes, including sediment erosion and bottom temperature increases. These changes have affected macrobenthos diversity, abundance, and community composition, necessitating ongoing research to determine the persistence of these trends and to protect the ecosystem.
1. Introduction
Dokdo is the easternmost island in the East Sea, located 217 km from Korea. It is of volcanic origin [1] and has been minimally affected by human activities [2]. The island is rich in natural gas [3] and biological resources [4], and its waters boast high biodiversity [5]. This is due to the convergence of the high-temperature, high-salt Tsushima Warm Current from the south, the North Korean Warm Current from the north, and the East Korean Warm Current along the east coast [6,7,8]. The island features a unique environment where vertical mixing occurs due to the island mass effect [9] and the Dokdo cold eddy (DCE) [10]. Additionally, the depositional environment varies with water depth and topographic characteristics [11]. Below about 200 m, sediments consist mainly of conglomerate and sandy sediments, influenced by natural collapse and erosion [12]. Dokdo exhibits a wide range of environmental variables and is characterized by high ecosystem diversity.
Macrobenthos are aquatic animals that live on the bottom of the sea for all or part of their life cycle. They play important roles in the recycling of nutrients, such as carbon [13], and in maintaining the structure and function of the ecosystems through food supply and predation [14]. Additionally, macrobenthos communities reflect the depositional characteristics of sediment and organisms’ methods of adapting to various environmental changes [15], they can be used to assess ecosystem changes and characteristics of the marine benthic environment [16]. Changes in species composition and macrobenthos communities are crucial because they enable us to understand and predict future changes in Dokdo’s ecosystem.
Environmental variables, such as dissolved oxygen (DO) [17] and depth [18], affect macrobenthos species and communities, and the diversity of macrobenthos is highly influenced by environmental changes [19,20]. Ecosystems are affected by various environmental factors [21], including increasing sea temperatures [22]. Higher water temperatures due to global warming affect the aquaculture of fish [18] and shellfish [23], alter species distributions [24,25], and reduce biodiversity in marine ecosystems [26,27]. Global warming affects oceans worldwide, including those around the Korean Peninsula. Although the global average sea surface temperature has increased by about 0.49 °C, temperatures in the waters around Korea have increased by about 1.23 °C, with the East Sea of Korea undergoing a rapid 1.43 °C change between 2009 and 2018 [28]. Therefore, comprehensive investigations into changes in species composition and ecosystem diversity due to environmental change are necessary [21], and long-term monitoring of marine ecosystems affected by rapid environmental change such as global warming, is increasingly important [29,30,31,32].
Studies related to Dokdo macrobenthos include seasonal species and community variation [33], changes in communities according to water depth [34], and changes based on sedimentation [35]. However, most studies have been short-term, as long-term monitoring is challenging [36] due to high research costs [18], permit requirements [37], and other factors. Long-term research is crucial, particularly concerning climate warming, which is expected to alter the dominant macrobenthos species and communities. Nonetheless, studies on long-term changes in macrobenthos have primarily focused on intertidal species and communities [5]. In this study, we analyzed the environmental variables affecting species composition and benthic organism communities through long-term monitoring.
2. Materials and Methods
2.1. Study Area
This study was conducted at five sites (9, 10, 12, 13, and 14) on the coast of Dokdo (37.23–37.25° N, 131.88–131.8° E; Figure 1) from 2017 to 2023. We surveyed in the spring and summer of 2017, but were unable to survey at site 9 in the summer, resulting in a total sample of 9 (Table 1). Four seasons were surveyed from 2018 to 2020, and as an exception, site 10 could not be surveyed in 2018, and the total sample was 19. Spring and summer were surveyed in 2021 and the summer was surveyed in 2023.
Figure 1.
Sampling area in the Dokdo, basin in the East Sea of the coast of Korea.
Table 1.
Survey year, season, and total sample number information.
2.2. Sample Processing
Macrobenthos (>1 mm) were collected using a Smith–McIntyre grab (0.1 m2), with two replicates. The samples were passed through a 1 mm sieve on the research vessel and then fixed in 10% formalin. The numbers, wet weights (g), and species identifications of all individuals were determined in the laboratory. Benthic organisms were fixed in 70% ethanol.
The water depth (m), temperature (°C), salinity (psu), and dissolved oxygen content (DO; mL/L) of the bottom layer were measured using a CTD device (SBE-19). To analyze sediment particle size, organic matter was removed with 10% H2O2 and carbonate was eliminated via treatment with 0.1 N HCl; each sediment sample was subjected to a 4 ø sieve [32]. For particles below 4 ø in diameter, the percentage of each particle size grade was derived after sieving for 15 min using a Ro-tap sieve shaker. A 0.1% Calgon solution was added to particles > 4 ø in diameter, the mixture was stirred, and particle size/weight percentages were determined using an automatic X-ray particle size analyzer (SediGraph 5000 D; Micrometrics, Norcross, GA, USA). Calculations were performed using an inclusive graphic method [37].
For the determination of total organic carbon (TOC) in sediment, 1 g samples were dried at 50 °C for 48 h, carbonate was removed with 0.1 N hydrochloric acid, and TOC was measured using a CHN analyzer.
2.3. Data Processing
Macrobenthos individuals were counted, and wet weight (g) was determined per area (m2) to analyze species abundance (individuals/m2) and biomass (g/m2). The Shannon–Weiner (1963) diversity index [H’(loge)] was calculated using the abundance data. Sigmaplot (v. 15.0) was used to conduct Spearman’s rank correlation analysis of variables associated with organisms and the environment. Univariate and multivariate analyses were performed using Primer v7 + PERMANOVA statistical software (PRIMER-e, NZ). PERMANOVA was used in univariate and multivariate analyses of group (year and site) differences. Cluster analyses of community structure were conducted using the Bray–Curtis similarity index, based on the fourth root-transformed species abundance for year and site. Similarity percentage (SIMPER) analysis was performed to identify the species contributing to cluster dissimilarity. Distance-based linear models (DistLM) were based on the Bray–Curtis similarity, and fourth root-transformed abundance. The relationship between environmental variables and the benthic community was explored using DistL through a biota–environment matching (BIO–ENV) analysis for highly correlated variables. The results were visualized using the graphical representation of the ordination method in distance-based redundancy analysis (dbRDA).
3. Results
3.1. Environmental Variability
The average water depth by year was the deepest at 63.7 m (standard deviation: 13.4) in 2021 and the shallowest was 46.2 m (standard deviation: 6.4) in 2023. Overall, it was maintained at around 50 m from 2017 to 2020, deepened to around 60 m in 2021, and became shallow again in 2023 (Table 2). The average bottom temperature was highest at 16.1 °C (standard deviation: 13.4) in 2022 and lowest at 11.4 °C (standard deviation: 2.6) in 2019. Except for 2019, low-floor temperatures continuously increased from 2017 to 2022. The average salinity changed in the range of 34.1 to 34.4 psu from 2017 to 2023. The average DO was highest at 5.6 mL/L (standard deviation: 0.6) in 2022 and lowest at 4.8 mL/L (standard deviation: 1.4) in 2020. The mean grain size was the most coarse-grained in 2023, was coarser from 2017 to 2020, and then was coarser in 2023. TOC ranged from 0.1% to 0.5%, except in 2017 when the survey was not conducted.
Table 2.
Average environmental variables (Depth, m; Temperature, °C; Salinity, psu; Do = Dissolved oxygen, mL/L; Mz = Mean size grain, ø; TOC = Total organic carbon, %) by the group (year and site) on the coast of Dokdo.
The average water depth was deepest at 71.2 m (standard deviation: 14.4) at site 10, and the shallowest at 47 m (standard deviation: 7.2) at site 13 (Table 2). The average bottom temperature was around 13 °C at sites 9 and 12–14 and was lowest at 11.2 °C (standard deviation: 3.3) at site 10 (Table 2). The average salinity ranged from 34.2 to 34.3 psu. The average DO ranged from 5.2% to 5.4%. The mean grain sizes at sites 12 to 14 were coarser-grained than those at sites 9 and 10. The average total organic carbon ranged from 0.1% to 2.3%.
3.2. Species Composition
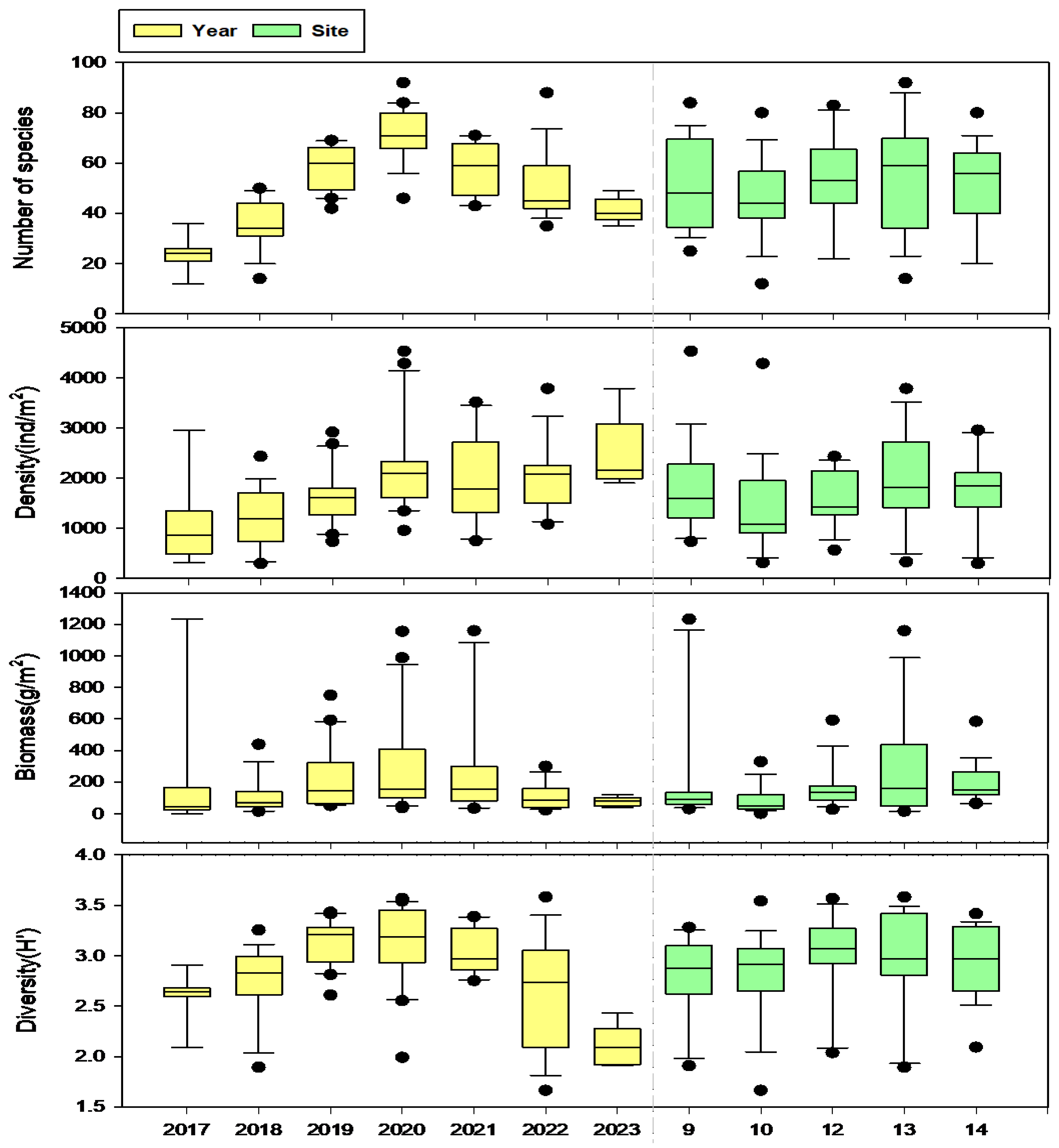
In all, 511 macrobenthos species were detected (Appendix A), including 158 mollusks (31%), 145 arthropod crustaceans (28%), 115 annelid polychaetes (23%), 38 echinoderms (7%), and 55 others (11%). The greatest number of species by year was in 2020 at 71.2 species (standard deviation: 10.9), and the fewest were in 2017 at 23.8 species (standard deviation: 5.9). The number of species ranged from 52 to 54 at sites 9, 12, 13, and 14; site 10 had the lowest number of species at 46.4 species (standard deviation: 15.8; Figure 2).
Figure 2.
Macrobentos species number, density (ind/m2), biomass (g/m2), and diversity (H’) by year and site.
The total average abundance was 1709.9 ind/m2 (standard deviation: 813.6). The average abundance was lowest at 1080 ind/m2 (standard deviation: 753.3) in 2017, and was highest at 2221.8 ind/m2 (standard deviation: 861.7) and 2466 ind/m2 (standard deviation: 679.2) in 2020 and 2023, respectively. The average abundance by site was highest at 13 at 1910.2 ind/m2 (standard deviation: 933.9), and lowest at 10 at 1416.4 ind/m2 (standard deviation; 888.7).
The total average biomass was 198.2 g/m2 (standard deviation: 244.2). It was highest at 292.6 g/m2 (standard deviation: 298.3) in 2020, and lowest at 78.3 g/m2 (standard deviation: 26) in 2023. The average biomass was highest at site 13 and was 294.8 g/m2 (standard deviation: 313) and lowest at site 10, at 87.4 g/m2 (standard deviation: 82.5).
The total average diversity (H’) was 2.9 (standard deviation: 0.4). It was highest at 3.1 in 2019 and 2020, and lowest at 2.1 in 2023. Diversity was high at sties 12 and 13, with 2.8 at sties 9 and 10, 3 at sites 12 and 13, and 2.9 at site 14.
There were five dominant species (average abundance > 3.5%; Table 3). The crustacean Abludomelita denticulata was most abundant (17.6%), followed by the polychaete Haplosyllis spongiphila (6.8%), the bivalve Glycymeris munda (5.6%), the polychaete Opisthodonta uraga (5.3%), and the bivalve Limatula japonica (3.8%). A. denticulata was the most dominant species by year at 406.2 ind/m2 in 2020, excluding 2023, and had increased in abundance since 2017. G. munda was most abundant in 2018 at 228.5 ind/m2 and decreased until 2023. L. japonica was most abundant in 2020 at 172.1 ind/m2 and then decreased until 2023.
Table 3.
Dominant species based on the density of macrobenthos collected in the survey period 2017 to 2023 (Density, 3.5<; % of total density; Frequency).
In correlation analyses with environmental variables, the number of species, abundance, diversity, biomass, and dominant species were negatively correlated with salinity (Table 4). Sand, silt, and clay substrates and mean grain size were positively correlated with gravel substrate. Species abundance was negatively correlated with sand, silt, and clay substrates as well as mean grain size, and positively correlated with the gravel substrate. Biomass was positively correlated with the gravel substrate, and negatively correlated with mean grain size and a sandy substrate. Diversity was positively correlated with water depth, DO, and gravel and sand substrates, and negatively correlated with mean grain size. Dominant species were principally affected by mean grain size and gravel, sand, silt, and clay substrates. A. denticulata abundance was negatively correlated with salinity and DO; G. munda and L. japonica abundance were negatively correlated with bottom temperature and positively with DO.
Table 4.
Spearman rank correlation within the average environmental variables and number of species, density, diversity, biomass, and dominant species in sampling periods (*, p < 0.05; **, p < 0.01; ***, p < 0.001).
3.3. Community Assemblages
The macrobenthos community differed annually (PERMANOVA, df = 6, F = 6.761, p = 0.001). Cluster analysis divided the results into five groups (Figure 3). The dominant species A. denticulata was the most abundant overall. H. spongiphila was abundant in 2017 at 67.8%, and in 2022 at 81.3%. G. munda was most abundant in 2018 at 228.5% and in 2019 at 126.2%. H. spongiphila (199.6%) and O. uraga (172.1%) were the most abundant in 2020. The same species were abundant in 2021 (H. spongiphila at 153.1% and O. uraga at 169.7%). In 2023, O. uraga was most abundant at 334.3%. According in SIMFER analysis, the dissimilarity between 2017 and 2023 was the highest at 85.73% (Table 5). The environmental variables that affected the macrobenthos community were assessed through biota-environment matching (BIO-ENV). The highest correlation was with depth and gravel sediment (correlation: 0.61), and the second highest was depth, DO, and gravel sediment (correlation: 0.51; Table 6). Based on the distance-based linear models (DistLM) results by year, the community was influenced by depth and DO in 2018 and 2019, and by gravel sediment in 2020 and 2021. The year 2022 was the most influenced by gravel and bottom temperature, and 2023 was most influenced by bottom temperature.
Figure 3.
Cluster analysis, dominant species, and distance-based linear model (DistLM) analysis by (A) year and (B) site, based on the abundance of macrobenthos.
Table 5.
The results of the similarity percentage (SIMPER) analysis: dissimilarity between by year and site.
Table 6.
Environmental and biological variables affecting the macrobenthos community as determined by a biota–environment matching (BIO–ENV) analysis (Dep = Depth; Bot-temp = Bottom temperature; Sal = Salinity; DO = Dissolved oxygen; TOC = Total Organic Carbon; Mz = Mean grain size).
The macrobenthos community significantly differed depending on the site (PERMANOVA, df = 4, F = 2.235, p = 0.001). Cluster analysis results were divided into two groups, 9/10 and 12/13/14 (Figure 3). The SIMPER analysis yielded dissimilarity between the two clusters of 74.57% (Table 5). BIO-ENV analysis showed that the macrobenthos community had the highest correlation with depth, gravel, and sand sediment (correlation: 0.903), and the second largest correlation with depth, bottom temperature, gravel, and sand sediment (correlation: 0.903) (Table 6). Based on DistLM results by site, environmental variables at site 10 were most influenced by depth, and at sites 12, 13, and 14, they were mostly affected by bottom temperature and gravel sediment.
4. Discussion
This study conducted long-term monitoring of macrobenthos in the waters of Dokdo to a depth below 100 m. The total number of species was 511 (Appendix A), with an abundance of 1709.9 ind/m2 and a diversity of 2.9 (Figure 2). In a previous survey near Ulleungdo and Dokdo, the highest number of species analyzed was 243 species, while the greatest number of species surveyed only on the Dokdo coast was 177 species. Previous studies have shown that macrobenthos differ according to collection area. In this study, the collection area was expanded through long-term monitoring, revealing this difference [38,39]. As in the 2016 survey of the Dokdo coast, the diversity in this survey was 2.9, with Dokdo showing higher diversity than the general East Sea coast. Differences in diversity are expected to be caused by unique environmental characteristics such as transport to Dokdo by the Ulleung Warm Current [40], the island effect [41], and Dokdo cold-water eddies [42], which cause upwelling and increase levels of nutrients and DO.
Environmental change affects the number of species, diversity, the dominant species, and the community every year. The number and diversity of species have been decreasing since 2020, and were affected by gravel and sand sediments. A previous study on changes in the topography of Dokdo from 2018 to 2021 reported that coastal sediments have been affected by rock erosion since 2020 [43]. Additionally, macrobenthos species number and diversity decrease according to the sediment composition [44]. Environmental factors that had an effect over time also differed; while depth and DO indicated strong effects from 2017 to 2019, gravel sediments and bottom temperature had strong effects from 2020 to 2023 (Figure 2). Increasing air and surface temperatures are affecting benthic animals [45]. Dominant species at the sea bottom are changing due to increasing temperatures, with the abundance of cold-water species Glycymeris munda and Limatula japonica decreasing compared to 2017 (Table 4; Figure 2). The abundance of dominant species was negatively correlated with temperature. Both species thrive in cold water and appear to be abundant around Dokdo due to the influence of the Dokdo cold eddy [46], which maintains a lower temperature than the surrounding sea at depths of less than 100 m [47,48]. The distribution of those species is limited by high sea surface temperatures [49]. This trend on the East Sea Coast is likely related to global warming [20,21,24,50]. Understanding the changes in the dominant species of macrobenthos is crucial for assessing changes in ecosystems [28], and such changes should be continuously monitored in the future. Changes in the number of species, diversity, dominant species, and community serve as indicators of ecosystem change [28]. The temporal changes observed in this study provide data to predict and protect ecosystems in the future, carrying significant implications that necessitate ongoing monitoring.
Environmental factors also differed by survey site (Figure 3). Sites 9 and 10, particularly, had low temperatures and were deeper. Sites 9 and 10 were located the south of Dokdo. This appears to have been influenced by Dokdo’s cold water eddy moving southwest near Dokdo, which lowered the surrounding temperature [51]. In particular, the south is deeper than the north [52,53]. Sites 12, 13, and 14 were heavily influenced by gravel and bottom temperature. In particular, site 13 had a bottom temperature of 1.9 °C higher than Site 10 (Table 2). As mentioned earlier, temperature [46] and gravel sediments [43] influence the distribution of the macrobenthos.
This study was a long-term monitoring project, allowing for the discovery of more species compared to a short-term study [33,34]. The results not only revealed fundamental environmental changes across years and sites but also identified annual environmental variation. Unique environmental changes included sediment changes due to erosion and higher bottom temperatures due to climate warming. These environmental changes have impacted the dominant species, diversity, abundance, and community of the macrobenthos. Further research is needed to determine the persistence of these changes through continuous monitoring.
Author Contributions
Conceptualization, O.H.Y. and S.J.G.; methodology, S.J.G. and O.H.Y.; software, S.J.G. and O.H.Y.; validation, O.H.Y. and S.J.G.; formal analysis, S.L.K., H.-G.L., S.J.G., C.H.P. and O.H.Y.; investigation, S.L.K., O.H.Y., H.-G.L., C.H.P. and S.J.G.; writing—original draft preparation, S.J.G.; writing—review and editing, O.H.Y. and S.J.G.; funding acquisition, C.H.P. All authors have read and agreed to the published version of the manuscript.
Funding
This study was supported by the project “Strengthening to analyze and assess marine environmental/ecosystem variabilities in the surrounding seas of Korea (PEA0201)” of the Korea Institute of Ocean Science and Technology (PEA0201) and by the project “Sustainable Research and development of Dokdo (PG54141)” of the Ministry of Oceans and Fisheries, Korea.
Institutional Review Board Statement
Not applicable.
Data Availability Statement
The raw data supporting the conclusions of this article will be made available by the corresponding author upon reasonable request to the corresponding author and with permission from Korea Institute of Ocean Science and Technology.
Acknowledgments
We would like to thank Sumin Kang and the crew members of R/V Ieodo and R/V Onnuri for sampling.
Conflicts of Interest
The authors declare no conflicts of interest.
Appendix A
Table A1.
List of macrobenthos species analyzed in this study.
Table A1.
List of macrobenthos species analyzed in this study.
| Phylum | Species | Phylum | Species | Phylum | Species | Phylum | Species |
|---|---|---|---|---|---|---|---|
| Annelida | Onchnesoma steenstrupii | Annelida | Terebellidae sp. | Annelida | Schistomeringos matsushimeansis | Annelida | Kuwaita heteropoda |
| Annelida | Listriolobus sorbillans | Annelida | Lepidonotus tenuisetosus | Annelida | Paralacydonia paradoxa | Annelida | Glycera capitata |
| Annelida | Apionsoma (Apionsoma) misakianum | Annelida | Chaetozone setosa | Annelida | Chaetozone spinosa | Annelida | Micropodarke sp. |
| Annelida | Phascolosoma sp. | Annelida | Odontosyllis sp. | Annelida | Notomastus sp. | Annelida | Aricidea sp. |
| Annelida | Golfingia sp. | Annelida | Aricidea assimilis | Annelida | Pisioneidens sp. | Annelida | Hesione sp. |
| Annelida | Haplosyllis spongiphila | Annelida | Amphinome sp. | Annelida | Laonice sinica | Annelida | Laonice sp. |
| Annelida | Opisthodonta uraga | Annelida | Aphelochaeta sp. | Annelida | Spirobranchus tetraceros | Annelida | Scoletoma sp. |
| Annelida | Eurythoe sp. | Annelida | Synelmis albini | Annelida | Amphitrite sp. | Annelida | Terebellides horikoshii |
| Annelida | Polyophthalmus sp. | Annelida | Cirratulus cirratus | Annelida | Pista cristata | Annelida | Euphrosine superba |
| Annelida | Trypanosyllis sp. | Annelida | Sabellaria sp. | Annelida | Magelona japonica | Annelida | Clymenella koellikeri |
| Annelida | Syllis sp. | Annelida | Eteone longa | Annelida | Leodice antennata | Annelida | Spiochaetopterus sp. |
| Annelida | Glycera nicobarica | Annelida | Lepidonotus sp. | Annelida | Sabellonga sp. | Annelida | Sabellidae sp. |
| Annelida | Chone sp. | Annelida | Brachysyllis japonica | Annelida | Heteromastus filiformis | Annelida | Prionospio ehlersi |
| Annelida | Notomastus latericeus | Annelida | Sabellastarte sp. | Annelida | Prionospio paradisea | Annelida | Eteone sp. |
| Annelida | Syllis amica | Annelida | Pherusa sp. | Annelida | Eunice sp. | Annelida | Axiothella rubrocincta |
| Annelida | Micropodarke dubia | Annelida | Glycera sp. | Annelida | Spiophanes sp. | Annelida | Eunoe sp. |
| Annelida | Chrysopetalum sp. | Annelida | Scoletoma fragilis | Annelida | Exogone sp. | Annelida | Capitellidae sp. |
| Annelida | Eunice indica | Annelida | Hydroides ezoensis | Annelida | Sthenelais fusca | Annelida | Euchone analis |
| Annelida | Thelepus sp. | Annelida | Prionospio sp. | Annelida | Harmothoe sp. | Annelida | Dorvillea sp. |
| Annelida | Myxicola sp. | Annelida | Amage sp. | Annelida | Goniada maculata | Annelida | Drilonereis sp. |
| Annelida | Poecilochaetus magnus | Annelida | Lumbrineris sp. | Annelida | Phascolion sp. | Arthropoda | Spirontocaris arcuata |
| Annelida | Eumida sanguinea | Annelida | Clymenella sp. | Arthropoda | Melita denticulata | Arthropoda | Pagurus pectinatus |
| Annelida | Phyllodoce sp. | Annelida | Nicomache sp. | Arthropoda | Byblis japonicus | Arthropoda | Caprella mixta |
| Annelida | Nicomache dentatus | Annelida | Petaloproctus dentatus | Arthropoda | Janiralata koreaensis | Arthropoda | Philumnus minutus |
| Annelida | Nereis sp. | Annelida | Myriochele sp. | Arthropoda | Melita longidactyla | Arthropoda | Pagurus brachiomastus |
| Annelida | Praxillella praetermissa | Annelida | Levinsenia sp. | Arthropoda | Anonyx simplex | Arthropoda | Nanocassiope granulipes |
| Annelida | Chaetozone sp. | Annelida | Neineris lavigata | Arthropoda | Liljeborgia serrata | Arthropoda | Liocarcinus corrugatus |
| Annelida | Maldanella harai | Annelida | Scolelepis sp. | Arthropoda | Galathea orientalis | Arthropoda | Stenothoe valida |
| Annelida | Phyllodoce chinensis | Annelida | Amaeana sp. | Arthropoda | Monocorophium insidiosum | Arthropoda | Caprella californica |
| Annelida | Scoletoma nipponica | Annelida | Ampharete arctica | Arthropoda | Parapleustes filialis | Arthropoda | Nanocassiope granulipes |
| Annelida | Rhodine loveni | Annelida | Laetmonice japonica | Arthropoda | Aristias nonspinus | Arthropoda | Caprella carinata |
| Annelida | Eulalia sp. | Annelida | Asychis sp. | Arthropoda | Melita japonica | Arthropoda | Heptacarpus rectirostris |
| Annelida | Armandia sp. | Annelida | Ophelina acuminata | Arthropoda | Jerbarnia aqulopacifica | Arthropoda | Paradexamine setigera |
| Annelida | Arabella iricolor | Annelida | Leitoscoloplos pugettensis | Arthropoda | Paguristes digitalis | Arthropoda | Heptacarpus jordani |
| Annelida | Vermiliopsis infundibulum | Annelida | Naineris laevigata | Arthropoda | Aeropaguristes japonicus | Arthropoda | Gnathia elongata |
| Annelida | Polydora ligni | Annelida | Scoloplos armiger | Arthropoda | Gammaropsis utinomi | Arthropoda | Jassa saltteryi |
| Annelida | Spiophanes bombyx | Annelida | Paradoneis nipponica | Arthropoda | Monocorophium acherusicum | Arthropoda | Pandalus prensor |
| Annelida | Maldane sp. | Annelida | Lepidonotus helotypus | Arthropoda | Pagurus simulans | Arthropoda | Callipallene sagamiensis |
| Annelida | Nereididae sp. | Annelida | Branchiomma sp. | Arthropoda | Achelia echinata | Arthropoda | Gnathia cristata |
| Annelida | Sigalion sp. | Annelida | Semivermilia sp. | Arthropoda | Maera serratipalma | Arthropoda | Gammaropsis japonicus |
| Arthropoda | Caprella penantis | Arthropoda | Synalpheus tumidomanus | Arthropoda | Orchomene liomargo | Arthropoda | Orchomene japonicus |
| Arthropoda | Melta sp. | Arthropoda | Doxomysis sp. | Arthropoda | Tanystylum sp. | Arthropoda | pagurus sp. |
| Arthropoda | Desmosoma sp. | Arthropoda | Petalomera jponica | Arthropoda | Scyra compressipes | Arthropoda | zoea |
| Arthropoda | Eplumula phalangium | Arthropoda | Bowmaniella portoricensis | Arthropoda | Camptandrium sexdentatum | Arthropoda | Labidochirus anomalus |
| Arthropoda | Pilumnopeus sp. | Arthropoda | Megalopa | Arthropoda | Decapoda sp. | Arthropoda | Ampelisca miharaensis |
| Arthropoda | Ceratopagurus sp. | Arthropoda | Pagurus japonicus | Arthropoda | Pagurus sp. | Arthropoda | Orchomene obtusa |
| Arthropoda | Pontogeneia sp. | Arthropoda | Pareurystheus anamae | Arthropoda | Jaeropsis sp. | Arthropoda | Gnathia sp. |
| Arthropoda | Leucothoe alata | Arthropoda | Metadromia wilsoni | Arthropoda | Parapagurodes gracilipes | Arthropoda | Nymphon kodanii |
| Arthropoda | Caprella gigantochir | Arthropoda | Pareurystheus amakusaensis | Arthropoda | Pugettia quadridens | Arthropoda | Pagurus rubrior |
| Arthropoda | Aoroides sp. | Arthropoda | Heptacarpus sp. | Arthropoda | Monoculodes koreanus | Arthropoda | Boasaxius princeps |
| Arthropoda | Hemigrapsus sanguineus | Arthropoda | Bradypallene espina | Arthropoda | Gitanpsis longus | Arthropoda | pugettia sp. |
| Arthropoda | Caprella simplex | Arthropoda | Ammothella biunguiculata | Arthropoda | Apherusa sp. | Arthropoda | Parapenaeus sextuberculatus |
| Arthropoda | Crassicorophium crassicorne | Arthropoda | Paguristes sp. | Arthropoda | Epimeria sp. | Arthropoda | Cleantioides japonica |
| Arthropoda | Pilumnus sp. | Arthropoda | Anoplodactylus velamellus | Arthropoda | Caprella iniquilibra | Arthropoda | Calocarides sp. |
| Arthropoda | Ammothea hedgpethi | Arthropoda | Siriella okadai | Arthropoda | Excirolana chiltoni | Arthropoda | Munida japonica |
| Arthropoda | Mesotanais sp. | Arthropoda | Odius sp. | Arthropoda | Nephrops thomsoni | Arthropoda | Crangon hakodatei |
| Arthropoda | Ericthonius pugnax | Arthropoda | Synchelidium trioostegitum | Arthropoda | Alpheidae sp. | Arthropoda | Podocerus sp. |
| Arthropoda | Caecianiropsis psammophila | Arthropoda | Atylus sp. | Arthropoda | Pandalus eous | Arthropoda | Bopyridae sp. |
| Arthropoda | Pagurus sp.2 | Arthropoda | Allaxius princeps | Arthropoda | Munida sp. | Arthropoda | Xanthidae sp. |
| Arthropoda | Archaeomysis sp. | Arthropoda | Eochelidium lenorostralum | Arthropoda | Pagurus sp.3 | Arthropoda | Pontegeneia rostrata |
| Arthropoda | Eusiroides sp. | Arthropoda | Pagurus constans | Cnidaria | Caryophyllia (Caryophyllia) japonica | Echinoderms | Ophiopholis japonica |
| Arthropoda | Colomastix prionotos | Arthropoda | Nursia japonica | Cnidaria | Anthopleura sp. | Echinoderms | Ophiacantha levispina |
| Arthropoda | Urothoe grimaldii japonica | Arthropoda | Axiidae sp. | Cnidaria | Sertularella sp. | Echinoderms | Ophiacantha omoplata |
| Arthropoda | Amphilochus sp. | Arthropoda | Arcania cornigera | Cnidaria | Pennaria disticha | Echinoderms | Sclerodactyla sp. |
| Arthropoda | Caprella gracillima | Arthropoda | Pagurus ochotensis | Cnidaria | Heterocyathus aequicostatus | Echinoderms | Ophiopholis mirabilis |
| Arthropoda | Caprella danilevskii | Arthropoda | Pagurus sp.3 | Cnidaria | Paradeltocyathus orientalis | Echinoderms | Calasterias toyamensis |
| Arthropoda | Caprella septentrionalis | Arthropoda | Pantopoda unid. | Cnidaria | Boloceroides mcmurrichi | Echinoderms | Ophiura kinbergi |
| Arthropoda | Leptochelia sp. | Brachiopoda | Laqueus rubellus | Cnidaria | Heteranthus japonicus | Echinoderms | Thyone multipes |
| Arthropoda | Pseudonototanais sp. | Brachiopoda | Diestothyris frontalis | Cnidaria | Rhizopsammia minuta | Echinoderms | Temnopleurus toreumaticus |
| Arthropoda | Apseudes sp. | Bryozoa | Bugula neritina | Cnidaria | Actiniaria sp. | Echinoderms | Microscyphus olivaceus |
| Arthropoda | Campylaspis sagamiensis | Bryozoa | Tricellaria dubia | Cnidaria | Halcampella maxima | Echinoderms | Hemicentrotus pulcherrimus |
| Arthropoda | Mcrostylis sp. | Chaetognatha | Sagitta sp. | Cnidaria | Peachia quinquecapitata | Echinoderms | Strongylocentrotus nudus |
| Arthropoda | Callipallene amaxana | Chordata | Styela sp. | Cnidaria | Obelia sp. | Echinoderms | Ophiothrix koreana |
| Arthropoda | Diasterope sp. | Chordata | Ascidia sp. | Cnidaria | Pulmulariidae unid. | Echinoderms | Cucumaria chronhjelmi |
| Arthropoda | Cancer gibbosulus | Chordata | Halocynthia sp. | Cnidaria | Edwardsia japonica | Echinoderms | Nacospatangus alta |
| Arthropoda | Spongicola venusta | Chordata | Microcosmous sp. | Echinoderms | Ophiactis sp. | Echinoderms | Asterias amurensis |
| Arthropoda | Laomedia astacina | Cnidaria | Actinostola carlgreni | Echinoderms | Amphipholis sp. | Echinoderms | Asterias batheri |
| Arthropoda | Pilumnidae sp. | Cnidaria | Stomphia coccinea | Echinoderms | Strongylocentrotus intermedius | Echinoderms | Pteraster tesselatus |
| Arthropoda | Heteropilumnus ciliatus | Cnidaria | Ciona sp. | Echinoderms | Pedicellaster magister orientalis | Echinoderms | Brissus agassizii |
| Arthropoda | Pugettia pellucens | Cnidaria | Corynactis viridis | Echinoderms | Ophiactis affinis | Echinoderms | Holothuria pardalis |
| Echinoderms | Anthocidaris crassispina | Mollusca | Homalopoma amussitatum | Mollusca | Limaria orientalis | Mollusca | Callochiton foveolatus |
| Echinoderms | Ophionereis dubia | Mollusca | Cyclocardia ferruginea | Mollusca | Glycymeris rotunda | Mollusca | Clinocardium californiense |
| Echinoderms | Clypeaster virescens | Mollusca | Acila divaricata vigila | Mollusca | Crithe nanaoensis | Mollusca | Lussivoltopsius sp. |
| Echinoderms | Labidoplax sp. | Mollusca | Astarte vernicosa | Mollusca | Cadella lubrica | Mollusca | Gobraeus kazusensis |
| Echinoderms | Cucumella problematica | Mollusca | Zemysina lunaris | Mollusca | Erginus sybariticus | Mollusca | Collonista amakusaensis |
| Echinoderms | Asterias sp.1 | Mollusca | Lepidozona coreanica | Mollusca | Lussivoltopsius filosus ochotensis | Mollusca | Kuroshiodaphne sp. |
| Echinoderms | Asterias sp.2 | Mollusca | Tonicella zotini | Mollusca | Monia umbonata | Mollusca | Modiolus margaritaceus |
| Echinoderms | Henricia reniossa | Mollusca | Tripoplax andrijaschevi | Mollusca | Turcica monilifera | Mollusca | Alvania ogasawarana |
| Echinoderms | Luidia quinaria | Mollusca | Megacardita nodulosa | Mollusca | Cystiscus angasi | Mollusca | Gibberula sp. |
| Echinoderms | Aquilonastra minor | Mollusca | Limatula kurodai | Mollusca | Megacardita ferruginosa | Mollusca | Alvenius ojianus |
| Echinoderms | Ophiothrix (Ophiothrix) exigua | Mollusca | Tetrarca boucardi | Mollusca | Cardita leana | Mollusca | Pandora otukai |
| Echinoderms | ophionephthys lowelli | Mollusca | Megacardita coreensis | Mollusca | Nipponomysella oblongata | Mollusca | Searlesia modesta |
| Echinoderms | Stylocidaris reini rubida | Mollusca | Homalopoma nocturnum | Mollusca | Cystiscus nanaoensis | Mollusca | Corbula scaphoides |
| Mollusca | Glycymeris munda | Mollusca | Rhyssoplax kurodai | Mollusca | Centrocardita sp. | Mollusca | Megacardita koreana |
| Mollusca | Limatula japonica | Mollusca | Corbula venusta | Mollusca | Solamen columbianum | Mollusca | Hiatella arctica |
| Mollusca | Barbatia stearnsii | Mollusca | Tonicella squamigera | Mollusca | Puncturella fastigiata | Mollusca | Tristichotrochus multiliratus |
| Mollusca | Pleuromeris pygmaea | Mollusca | Porterius dalli | Mollusca | Microcardium sakuraii | Mollusca | Mactrinula dolabrata |
| Mollusca | Modiolus comptus | Mollusca | Limnoperna fortunei kikuchii | Mollusca | Chama sp. | Mollusca | Astarte borealis |
| Mollusca | Neocollonia pilula | Mollusca | Dimya japonica | Mollusca | Crenulilimopsis crenata | Mollusca | Mya sp. |
| Mollusca | Cardita nodulosa | Mollusca | Isommia umbonata | Mollusca | Eximiothracia concinna | Mollusca | Lepidozona albrechtii |
| Mollusca | Tegulaplax hululensis | Mollusca | Mactrotoma depressa | Mollusca | Arca soyoae | Mollusca | Paracingulina sp. |
| Mollusca | Cryptopecten vesiculosus | Mollusca | Myadropsis transmontana | Mollusca | Glycymeris aspera | Mollusca | Glaucidae sp. |
| Mollusca | Azumapecten farreri | Mollusca | Pitar affinis | Mollusca | Parvamussium intuscostatus | Mollusca | Gregariella semigranata |
| Mollusca | Neopycnodonte cochlear | Mollusca | Barleeia simplex | Mollusca | Pseudoneaera semipellucida | Mollusca | Limopsis crenata |
| Mollusca | Homalopoma grauliferum | Mollusca | Cerithiopsis subreticulata | Mollusca | Emarginella sakuraii | Mollusca | Modiolus kurilensis |
| Mollusca | Niveotectura pallida | Mollusca | Erginus moskalevi | Mollusca | Genkaimurex sp. | Mollusca | Mysella nipponica |
| Mollusca | Oxyperas bernardi | Mollusca | Eulima lacca | Mollusca | Inella japonica | Mollusca | Periglypta chemnitzi |
| Mollusca | Lottia langfordi | Mollusca | Hydorginella sagamiensis | Mollusca | Neptunea sp. | Mollusca | Poromya flexuosa |
| Mollusca | Dendrodoris peculiaris | Mollusca | Patelloida pygmaea signatoides | Mollusca | Nipponotrophon scitulus | Mollusca | Theora fragilis |
| Mollusca | Triphora confusa | Mollusca | Scelidotoma vadososinuata | Mollusca | Notoseila morishimai | Mollusca | Yoldia johanni |
| Mollusca | Felaniella sowerbyi | Mollusca | Lamellaria sp. | Mollusca | Oenopota candita | Mollusca | Ataxocerithium abnormale |
| Mollusca | Hawaiarca uwaensis | Mollusca | Lepidozona amabilis | Mollusca | Sepiola birostrata | Mollusca | Bedeva sp. |
| Mollusca | Nitidotellina sp. | Mollusca | Chlamys chosenica | Mollusca | Ischnochiton comptus | Mollusca | Ceratostoma sp. |
| Mollusca | Varicorbula yokoyamai | Mollusca | Gari kazusensis | Mollusca | Carditellopsis toneana | Mollusca | Cryptonatica hirasei |
| Mollusca | Proterato callosa | Mollusca | Creonovolva sp. | Mollusca | Flabellina cf. bicolor | Mollusca | Ergalatax contracta contracta |
| Mollusca | Scissurella staminea | Mollusca | Nuculana acinacea | Mollusca | Placiphorella albitestae | Mollusca | Etrema subauriformis |
| Mollusca | Irus irus | Mollusca | Inquisitor sp. | Mollusca | Chlamys swifti | Mollusca | Eulima sp. |
| Mollusca | Nudibranchia sp. | Mollusca | Philbertia leuckarti | Mollusca | Nipponomysella sp. | Mollusca | Guraleus deshayesii |
| Mollusca | Astarte alaskensis | Mollusca | Amphichama argentata | Mollusca | Menestho sp. | Mollusca | Lepeta kuragiensis |
| Mollusca | Limopsis sp. | Mollusca | Arca avellana | Mollusca | Mitrella sp. | Mollusca | Leptogyropsis inflata |
| Phylum | Species | Phylum | Species | ||||
| Mollusca | Lienardia roseotincta | Porifera | Tethya japonica | ||||
| Mollusca | Natica sp. | Porifera | Mycale plumosa | ||||
| Mollusca | Ophiodermella erosa | Porifera | Sycon sp. | ||||
| Mollusca | Parthenina pagodula | Porifera | Leucandra barbata | ||||
| Mollusca | Retimohnia frielei | Porifera | Euplectella sp. | ||||
| Mollusca | Noumea nivalis | Porifera | Porifera sp. | ||||
| Mollusca | Antalis tosaensis | Porifera | Raspailia sp. | ||||
| Mollusca | Compressidens kikuchii | Sipuncula | Aspidosiphon sp. | ||||
| Mollusca | Deshayesiella bidentata | Sipuncula | Metedwardsia sp. | ||||
| Mollusca | Leptochiton sp. | Sipuncula | Cloeosiphon aspergillus | ||||
| Mollusca | Tonicella undocaerulea | Sipuncula | Thysanocardia sp. | ||||
| Nemertea | Emplectonema sp. | ||||||
| Nemertea | Lineus subcingulatus | ||||||
| Nemertea | Baseodiscus sp. | ||||||
| Nemertea | Micrura sp. | ||||||
| Nemertea | Amphiporus sp. | ||||||
| Nemertea | Cerebratulus marginatus | ||||||
| Platyhelminthes | Notoplana sp. | ||||||
| Platyhelminthes | Pseudoceros sp. | ||||||
| Porifera | Halichondria panicea | ||||||
Appendix B
Table A2.
Macrobenthos species number and density (ind./m2) in previous studies of the East Sea.
Table A2.
Macrobenthos species number and density (ind./m2) in previous studies of the East Sea.
| Sampling | Species Numbers | Density (ind./m2) | Ecological Indices (H’) | Dominant Species | Reference | |
|---|---|---|---|---|---|---|
| Year | Area | |||||
| 1999–2000 | Dokdo | - | 2280 | - | (APo) Spiophanes bombyx (APo) Lumbrineris longifolia (APo) Tharyx spp. (APo) Polydora spp. | [54] |
| 2005 | Hupo | 319 | 1972/6 m2 | 2.4 | (APo) Spiophanes bombyx (APo) Scoletoma longifolia (APo) Magelona japonica (MBi) Adontorhina subquadrata | [29] |
| 2012 | Dokdo | 135 | 413/1 m2 | 2.2 | (CAm) Byblis japonicus (CAm) Abludomelita denticulate (APo) Syllidae sp. (APo) Terebellides stroemii | [55] |
| 2013 | Uljin | 345 | 5797/8 m2 | 2.1 | (APo) Spiophanes bombyx (APo) Magelona sp.1 (MBi) Cadella semitorta (APo) Lumbrineris longifolia | [56] |
| 2016 | Dokdo | 177 | 1566/2.2 m2 | 2.9 | (CAm) Melita denticulata (CAm) Melita shimizui (APo) Salvatoria clavate (MBi) Glycymeris aspersa | [33] |
| 2017 | Gangneung | 23 | 648/1.4 m2 | 2.5 | (CAm) Diogenes edwardsii (APo) Aonides oxycephala (APo) Spiophanes bombyx (CAm) Siphonoecetes exolitus | [57] |
| 2018 | Ulsan | 20 | 920/2.2 m2 | 2.0 | ||
| 2017–2021 | Ullungdo-Dokdo | 243 | 1421/12.5 m2 | 2.1 | (APo) Chaetozone setosa (APo) Terebellides horikoshii (MBi) Axinopsida subquadrate (APo) Aglaophamus sp. | [34] |
References
- Kim, C.H.; Park, C.H.; Ko, Y.T.; Jung, E.Y.; Kwak, J.Y.; Yoo, S.H.; Min, K.D. The Study of Formation for Dokdo Seamounts at the Northeastern Part of the Ulleung Basin Using Gravity and Magnetic Data. Environ. Geol. 2007, 40, 153–170. [Google Scholar]
- Kang, D.W.; Seo, S.Y.; Kang, J.S.; Paek, W.K. Diversity of Intertidal Benthic Invertebrate of Dokdo and Ulleung-do Island from Korea. J. Asia-Pacific Biodivers. 2013, 6, 157–164. [Google Scholar] [CrossRef]
- Kang, Y.-S. Marine Resources and Its Values Near Dokdo. J. Korean Prof. Eng. Assoc. 2005, 38, 44–47. [Google Scholar]
- Kim, K.-T. Marine Ecosystem on Dokdo and Ullungdo Islands. Korean J. Ecol. 2001, 24, 245–251. [Google Scholar]
- Kim, H.-G.; Song, S.J.; Lee, H.; Park, C.H.; Hawkins, S.J.; Khim, J.S.; Rho, H.S. A long-term ecological monitoring of subtidal macrozoobenthos around Dokdo waters, East Sea, Korea. Mar. Pollut. Bull. 2020, 156, 111226. [Google Scholar] [CrossRef] [PubMed]
- Lee, H.W.; Hong, B.K.; Sohn, M.H.; Chun, Y.Y.; Lee, D.W.; Choi, Y.M.; Hwang, K.S. Seasonal variation in species composition of fish collected by trammel net around Dokdo, East Sea of Korea. Korean J. Fish. Aquat. Sci. 2010, 43, 693–704. [Google Scholar]
- Jung, J.; Cho, E.; Cha, J.; Kim, M.; Kim, K. Seasonal variations of physico-chemical characteristics and phytoplanktonic pigments in coastal sea water from Ullungdo and Dokdo Islands. Algae 2000, 16, 325–335. [Google Scholar]
- Song, S.J.; Park, J.; Ryu, J.; Rho, H.S.; Kim, W.; Khim, J.S. Biodiversity hotspot for marine invertebrates around the Dokdo, East Sea, Korea: Ecological checklist revisited. Mar. Pollut. Bull. 2017, 119, 162–170. [Google Scholar] [CrossRef] [PubMed]
- Doty, M.S.; Oguri, M. The island mass effect. ICES J. Mar. Sci. 1956, 22, 33–37. [Google Scholar] [CrossRef]
- Lee, D.-K.; Niiler, P. The energetic surface circulation patterns of the Japan/East Sea. Deep. Sea Res. Part II Top. Stud. Oceanogr. 2005, 52, 1547–1563. [Google Scholar] [CrossRef]
- Baek, S.H.; Kim, Y.-B. Influences of Coastal Upwelling and Time Lag on Primary Production in Offshore Waters of Ulleungdo-Dokdo during Spring 2016. Environ. Biol. Res. 2018, 36, 156–164. [Google Scholar] [CrossRef]
- Jun, C.P.; Kim, C.H.; Lee, S.-J. Characterization of Clastic and Organic Sediments Near Dokdo, Korea. J. Miner. Soc. Korea 2013, 26, 65–80. [Google Scholar] [CrossRef]
- Somerfield, P.; Cochrane, S.; Dahle, S.; Pearson, T. Free-living nematodes and macrobenthos in a high-latitude glacial fjord. J. Exp. Mar. Biol. Ecol. 2006, 330, 284–296. [Google Scholar] [CrossRef]
- Meng, W.; Li, X.Z.; Li, Z.C.; Li, Z.Y. Studies on macrobenthos in the north-ern waters of liaodong bay: II. biodiversity and community structure. Res. Environ. Sci. 2009, 22, 155–161. (In Chinese) [Google Scholar] [CrossRef]
- Paik, S.-G.; Kang, R.-S.; Jeon, J.-O.; Lee, J.-H.; Yun, S.-G. Distribution Patterns of Sandy Bottom Macrobenthic Community on the Hupo Coastal Area, in the East Sea of Korea. Ocean Polar Res. 2007, 29, 123–134. [Google Scholar] [CrossRef]
- Burd, B.J.; Barnes, P.A.G.; Wright, C.A.; Thomson, R.E. A review of subtidal benthic habitats and invertebrate biota of the Strait of Georgia, British Columbia. Mar. Environ. Res. 2008, 66, S3–S38. [Google Scholar] [CrossRef] [PubMed]
- Peeters, E.T.; Gylstra, R.; Vos, J.H. Benthic macroinvertebrate community structure in relation to food and environmental variables. Hydrobiologia 2004, 519, 103–115. [Google Scholar] [CrossRef]
- Zajac, R.N. Macrobenthic biodiversity and sea floor landscape structure. J. Exp. Mar. Biol. Ecol. 2008, 366, 198–203. [Google Scholar] [CrossRef]
- Hamid, A.; Bhat, S.U.; Jehangir, A. Assessment of ecological characteristics of macroinvertebrate communities and their rela-tionship with environmental factors in a stream ecosystem. Chem. Ecol. 2021, 37, 746–766. [Google Scholar] [CrossRef]
- Procheş, Ş.; Ramdhani, S.; Perera, S.J.; Ali, J.R.; Gairola, S. Global hotspots in the present-day distribution of ancient animal and plant lineages. Sci. Rep. 2015, 5, 15457. [Google Scholar] [CrossRef]
- Rezende, R.S.; Santos, A.M.; Henke-Oliveira, C.; Gonçalves, J.F., Jr. Effects of spatial and environmental factors on benthic a macroinvertebrate community. Zoologia 2014, 31, 426–434. [Google Scholar] [CrossRef]
- Oh, S.-Y.; Jang, S.-W.; Yoon, H.-J. Variations of catch of Anchovy and Saury due to oceanic climate change in the Korean seas. J. Korean Inst. Inf. Commun. Eng. 2011, 15, 740–746. [Google Scholar] [CrossRef]
- McKenzie, D.J.; Geffroy, B.; Farrell, A.P. Effects of global warming on fishes and fisheries. J. Fish Biol. 2021, 98, 1489–1492. [Google Scholar] [CrossRef]
- Fuchs, H.L.; Chant, R.J.; Hunter, E.J.; Curchitser, E.N.; Gerbi, G.P.; Chen, E.Y. Wrong-way migrations of benthic species driven by ocean warming and larval transport. Nat. Clim. Chang. 2020, 10, 1052–1056. [Google Scholar] [CrossRef]
- Chust, G.; Villarino, E.; McLean, M.; Mieszkowska, N.; Benedetti-Cecchi, L.; Bulleri, F.; Ravaglioli, C.; Borja, A.; Muxika, I.; Fernandes-Salvador, J.A.; et al. Cross-basin and cross-taxa patterns of marine community tropicalization and deborealization in warming European seas. Nat. Commun. 2024, 15, 2126. [Google Scholar] [CrossRef]
- Azzola, A.; Bianchi, C.N.; Merotto, L.; Nota, A.; Tiralongo, F.; Morri, C.; Oprandi, A. The Changing Biogeography of the Ligurian Sea: Seawater Warming and Further Records of Southern Species. Diversity 2024, 16, 159. [Google Scholar] [CrossRef]
- Price, J.; Warren, R.; Forstenhäusler, N. Biodiversity losses associated with global warming of 1.5 to 4 °C above pre-industrial levels in six countries. Clim. Chang. 2024, 177, 47. [Google Scholar] [CrossRef]
- Lee, K.-J.; Kwon, M.; Kang, H.-W. Record-breaking high temperature in July 2021 over East Sea and possible mechanism. Atmosphere 2022, 32, 17–25. [Google Scholar]
- Lee, S.; Park, M.S.; Kwon, M.; Park, Y.G.; Kim, Y.H.; Choi, N. Rapidly Changing East Asian Marine Heatwaves under a Warming Climate. J. Geophys. Res. Oceans 2023, 128, e2023JC019761. [Google Scholar] [CrossRef]
- Azovsky, A.I.; Naumov, A.D.; Savchenko, O.N. Long-Term Dynamics of Subarctic Intertidal Macrofauna: Common Trends and the Role of Local Environment. Estuaries Coasts 2023, 46, 740–756. [Google Scholar] [CrossRef]
- Yu, O.H.; Lee, H.-G.; Lee, J.-H.; Kim, K.-T.; Myung, C.-S.; Moon, H.T.; Byun, J.Y. Spatial Variation in Macrobenthic Communities Affected by the Thermal Discharge Volumes of a Nuclear Power Plant on the East Coast of Korea. Ocean Polar Res. 2013, 35, 299–312. [Google Scholar] [CrossRef][Green Version]
- Kim, S.L.; Yu, O.H. Benthic polychaete community structure in the Yellow Sea Bottom Cold Water zone (YSBCW): Species diversity, temporal-spatial distribution, and feeding guilds. Mar. Pollut. Bull. 2022, 183, 114071. [Google Scholar] [CrossRef] [PubMed]
- Kang, S.M.; Lee, H.-G.; Kim, S.L.; Choi, J.-W.; Park, C.H.; Yu, O.H. Species composition and community structure of macro-benthos during fall on the Dokdo coast, Korea. Ocean Polar Res. 2019, 41, 47–61. [Google Scholar]
- Kim, S.L.; Kang, S.M.; Lee, H.G.; Han, G.H.; Yu, O.H. Species Diversity and Community Structure of Macrobenthos in the Ulleung Basin, East Sea, Republic of Korea. J. Mar. Sci. Eng. 2023, 11, 92. [Google Scholar] [CrossRef]
- Kim, J.-C.; Park, K.-W.; Yoo, K.-D.; Jung, S.-Y. Spatial and Temporal Distribution of Macrobenthos in Intertidal Hard Bottoms in Dokdo Island. Korean J. Environ. Ecol. 2015, 29, 221–227. [Google Scholar] [CrossRef]
- Michener, W.K.; Feller, R.J.; Edwards, D.G. Development, management, and analysis of a long-term ecological research information base: Example for marine macrobenthos. In New Approaches to Monitoring Aquatic Ecosystems; ASTM International: West Conshohocken, PA, USA, 1987. [Google Scholar]
- Kim, Y.-B.; Kim, S.-M. Marine Meterological Characteristics by Comparison of High wind-wave alert and Moored Buoy data off the coast of the East Sea between 2006 and 2013. J. Fishries Mar. Sci. Educ. 2014, 26, 1013–1025. [Google Scholar] [CrossRef]
- Ellingsen, K. Biodiversity of a continental shelf soft-sediment macrobenthos community. Mar. Ecol. Prog. Ser. 2001, 218, 1–15. [Google Scholar] [CrossRef]
- Vale, M.; Cabral, H.; Andrade, F. Distribution and structure of the upper sublittoral microbenthic communities of Tróia Sand Beaches (Setúbal, Portugal) and their relationship with environmental factors. J. Environ. Monit. 2010, 12, 964–972. [Google Scholar] [CrossRef]
- Kwon, H.K.; Oh, S.J.; Park, M.O.; Yang, H.-S. Distribution of Water Masses and Distribution Characteristics of Dissolved Inorganic and Organic Nutrients in the Southern Part of the East Sea of Korea: Focus on the Observed Data in September, 2011. J. Korean Soc. Mar. Environ. Energy 2014, 17, 90–103. [Google Scholar] [CrossRef][Green Version]
- Lee, M.; Ro, H.; Kim, Y.-B.; Park, C.-H.; Baek, S.-H. Relationship of Spatial Phytoplankton Variability during Spring with Eutrophic Inshore and Oligotrophic Offshore Waters in the East Sea, Including Dokdo, Korea. J. Mar. Sci. Eng. 2021, 9, 1455. [Google Scholar] [CrossRef]
- Oh, H.J.; Suh, Y.S.; Heo, S. The relationship between phytoplankton distribution and environmental con-ditions of the upwelling cold water in the eastern coast of the Korean Peninsula. J. Korean Assoc. Geogr. Inf. Stud. 2004, 7, 166–173. [Google Scholar]
- Kim, C.H.; Choi, S.Y.; Kim, W.H.; Choi, H.O.; Park, C.H.; Kim, Y.B.; Do, J.D. Monitoring of Bathymetry Changes in the Coastal Area of Dokdo, East Sea. Econ. Environ. Geol. 2023, 56, 589–601. [Google Scholar] [CrossRef]
- Bergen, M.; Weisberg, S.B.; Smith, R.W.; Cadien, D.B.; Dalkey, A.; Montagne, D.E.; Ranasinghe, J.A. Relationship between depth, sediment, latitude, and the structure of benthic infaunal assemblages on the mainland shelf of Southern California. Mar. Biol. 2001, 138, 637–647. [Google Scholar] [CrossRef]
- Fukasawa, M.; Freeland, H.; Perkin, R.; Watanabe, T.; Uchida, H.; Nishina, A. Bottom water warming in the North Pacific Ocean. Nature 2004, 427, 825–827. [Google Scholar] [CrossRef] [PubMed]
- Chang, K.I.; Kim, Y.B.; Suk, M.S.; Byun, S.K. Hydrography around Dokdo. Ocean Polar Res. 2002, 24, 369–389. [Google Scholar] [CrossRef]
- Turgeon, D.D.; Quinn, J.F.; Bogan, A.E.; Coan, E.V.; Hochberg, F.G.; Lyons, W.G.; Williams, J.D. Common and Scientific Names of Aquatic Invertebrates from the United States and Canada: Mollusks; American Fisheries Society: Baltimore, MD, USA, 1998. [Google Scholar]
- Lutaenko, K.A.; Noseworthy, R.G. Biogeography of marine bivalve mollusks of eastern Korea. Korean J. Malacol. 2014, 30, 281–293. [Google Scholar] [CrossRef][Green Version]
- Yeh, S.-W.; Park, Y.-G.; Min, H.; Kim, C.-H.; Lee, J.-H. Analysis of characteristics in the sea surface temperature variability in the East/Japan Sea. Prog. Oceanogr. 2010, 85, 213–223. [Google Scholar] [CrossRef]
- IPOC. AR6 Synthesis Report: Climate Change 2023. 2023. Available online: https://www.ipcc.ch/report/sixth-assessment-report-cycle/ (accessed on 17 July 2024).
- Kim, J.A.E.M.I.N.; Choi, B.J.; Lee, S.H.; Byun, D.S.; Kang, B. Migration of the Dokdo Cold Eddy in the East Sea. Sea J. Korean Soc. Oceanogr. 2019, 24, 351–373. [Google Scholar]
- Heyns, E.R.; Bernard, A.T.F.; Richoux, N.B.; Götz, A. Depth-related distribution patterns of subtidal macrobenthos in a well-established marine protected area. Mar. Biol. 2016, 163, 39. [Google Scholar] [CrossRef]
- Kim, C.H.; Park, C.H.; Lee, M.H.; Choi, S.Y.; Jou, H.T. A study on detailed ba-thymetry and geophysical characteristics of the summit of the Dokdo volcano. Econ. Environ. Geol. 2012, 45, 685–695. [Google Scholar] [CrossRef]
- Choi, J.-W.; Hyun, S.-M.; Kim, D.-S.; Kim, W.-S. Macrobenthic Faunal Assemblages on the Soft-Bottoms around Dokdo in the East Sea, Korea. Ocean Polar Res. 2002, 24, 429–442. [Google Scholar] [CrossRef][Green Version]
- KIOST. The Report on a Sustainable Research and Development of Dokdo; Ministry of Land, Transport and Maritime Affairs: Sejong City, Republic of Korea, 2012.
- Hwang, K.; Seo, I.-S.; Choi, B.-M.; Na Lee, H.; Oh, C.W.; Kim, M.H.; Choi, C.G.; Na, J.H. Community Structure of Macrobenthic Assemblages near Uljin Marine Ranching Area, East Sea of Korea. Environ. Biol. Res. 2014, 32, 286–296. [Google Scholar] [CrossRef]
- Kim, S.L.; Lee, H.G.; Yu, O.H. Correlation between rocky reefs and surrounding benthic habitats: Distribution and diversity patterns of polychaetes in the macrobenthic community in the East Sea of South Korea. J. Sea Res. 2021, 174, 102083. [Google Scholar] [CrossRef]
Disclaimer/Publisher’s Note: The statements, opinions and data contained in all publications are solely those of the individual author(s) and contributor(s) and not of MDPI and/or the editor(s). MDPI and/or the editor(s) disclaim responsibility for any injury to people or property resulting from any ideas, methods, instructions or products referred to in the content. |
© 2024 by the authors. Licensee MDPI, Basel, Switzerland. This article is an open access article distributed under the terms and conditions of the Creative Commons Attribution (CC BY) license (https://creativecommons.org/licenses/by/4.0/).


