Traffic Signal Timing Optimization Model Based on Video Surveillance Data and Snake Optimization Algorithm
Abstract
:1. Introduction
2. Literature Review
3. Materials and Methods
3.1. Model Building
3.2. YOLOX-Based Video Monitoring of Traffic Flow
- (1)
- For the backbone network, the CSPDarknet network is used for feature extraction [37].
- (2)
- For data enhancement, upsampling and feature fusion are performed using three effective feature layers extracted from the backbone network. After the feature fusion process, the results are stacked, and downsampling and further feature stacking procedures are carried out.
- (3)
- For prediction, the YOLOHead is used, which utilizes convolutional normalization and SiLU activation functions for feature integration to obtain confidence levels, regression coefficients, and objects.
3.3. LSTM-Based Traffic Prediction
- (1)
- The input gate is used to update the cell state by passing the previous layer of hidden state information with the current input information to the next layer to determine the importance of the updated data via the following equation:
- (2)
- The forget gate decides to discard or retain information from the previous hidden state, and the current input information is passed to the next layer simultaneously after the sigmoid function with the following equation:
- (3)
- The cell state passes the previous layer with the current input information to the tanh function to create a candidate vector g, which is formulated as follows:
- (4)
- The output gate is used to determine the next hidden state value by passing the previous input information into the sigmoid function to obtain the output value, which is given by the following equation:
3.4. Timing Optimization Model Based on VISSIM Simulation
4. Results and Discussion
4.1. Traffic Flow Detection Result
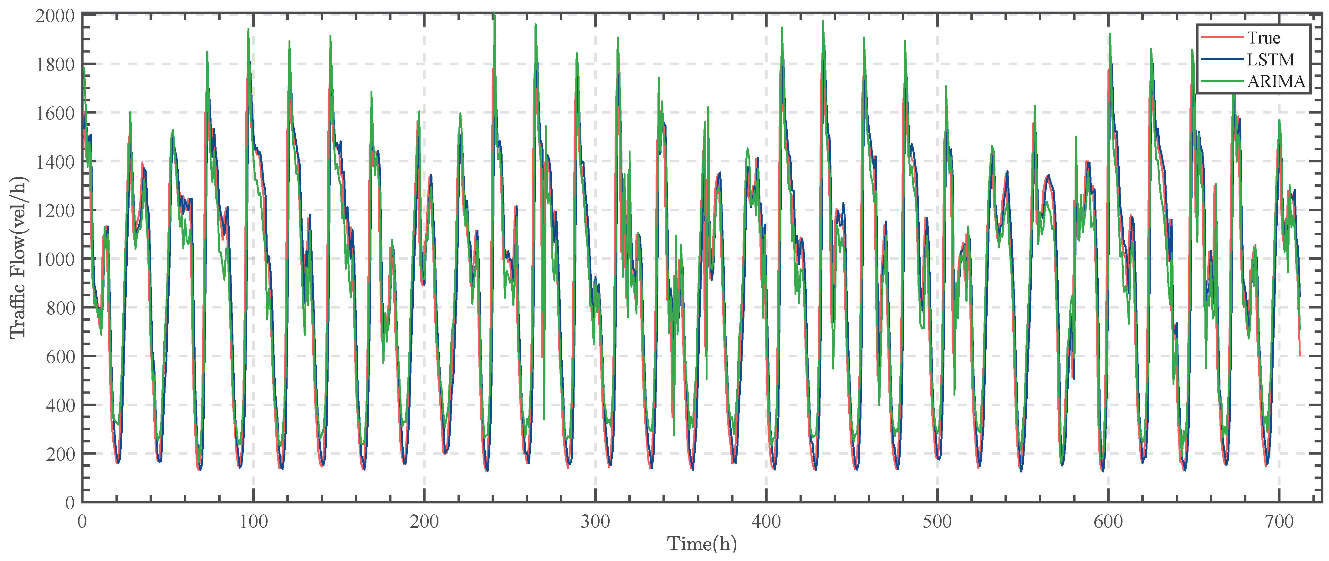
4.2. Traffic Forecast Results
4.3. Results of Timing Optimization Model
4.3.1. Model Solving and Algorithm Comparison
4.3.2. Algorithm Time Spend
4.3.3. Model Sensitivity Analysis
5. Conclusions
- (1)
- The YOLOX model has strong capability for road vehicle detection. Under the premise of dividing lanes, the vehicles of each different lane are counted, and the traffic flow of each road is determined on an hourly basis. The results show that the YOLOX model can still perform the function of vehicle detection well even under complicated road conditions with complete counting statistics of road vehicles.
- (2)
- The LSTM model is able to perform the forecasting task better than in the traffic forecasting module. The LSTM model used in the forecasting module is transformed into a sliding window model for traffic forecasting to predict the effect of the next period, which greatly improves the forecasting effect. This also highlights the accuracy of the prediction results compared to the traditional time-series prediction model ARIMA.
- (3)
- The timing optimization model can provide better timing solutions. After establishing the optimization objective, the information of each traffic flow obtained by VISSIM is used as the basis for the iterative update of the algorithm, and after optimization of the model using the SO algorithm, the results show that the delay time is reduced by 23.34% compared with traditional fixed timing. The algorithm is also compared with the traditional intelligent optimization algorithms GA and PSO in highlighting the superiority of the algorithm.
Author Contributions
Funding
Institutional Review Board Statement
Informed Consent Statement
Data Availability Statement
Acknowledgments
Conflicts of Interest
References
- Lin, B.; Du, Z. How China’s urbanization impacts transport energy consumption in the face of income disparity. Renew. Sustain. Energy Rev. 2015, 52, 1693–1701. [Google Scholar] [CrossRef]
- Fazal, O.; Hotez, P.J. NTDs in the age of urbanization, climate change, and conflict: Karachi, Pakistan as a case study. PLoS Negl. Trop. Dis. 2020, 14, e0008791. [Google Scholar] [CrossRef]
- Zhao, H.; Guo, S.; Zhao, H. Characterizing the Influences of Economic Development, Energy Consumption, Urbanization, Industrialization, and Vehicles Amount on PM2.5 Concentrations of China. Sustainability 2018, 10, 2574. [Google Scholar] [CrossRef]
- Yue, W. Research on Urban Traffic Congestion Control Strategy. Ph.D. Thesis, Xidian University, Xi’an, China, 2020. [Google Scholar]
- Fu, X.; Gao, H.; Cai, H.; Wang, Z.; Chen, W. How to improve urban intelligent traffic? A case study using traffic signal timing optimization model based on swarm intelligence algorithm. Sensors 2021, 21, 2631. [Google Scholar] [CrossRef]
- Said, B.; Lathamaheswari, M.; Singh, P.K.; Ouallane, A.A.; Bakhouyi, A.; Bakali, A.; Talea, M.; Dhital, A.; Deivanayagampillai, N. An Intelligent Traffic Control System Using Neutrosophic Sets, Rough sets, Graph Theory, Fuzzy sets and its Extended Approach: A Literature Review. Neutrosophic Sets Syst. 2022, 50, 10–26. [Google Scholar]
- Tunc, I.; Yesilyurt, A.Y.; Soylemez, M.T. Different fuzzy logic control strategies for traffic signal timing control with state inputs. IFAC-PapersOnLine 2021, 54, 265–270. [Google Scholar] [CrossRef]
- Tanvee, S. Application of graph theory for scheduling of traffic lights. Int. J. Math. Comput. Appl. Res. 2015, 3, 271–275. [Google Scholar]
- He, J.; Hou, Z. Ant colony algorithm for traffic signal timing optimization. Adv. Eng. Softw. 2021, 43, 14–18. [Google Scholar] [CrossRef]
- Yau, K.L.A.; Qadir, J.; Khoo, H.L.; Ling, M.H.; Komisarczuk, P. A survey on reinforcement learning models and algorithms for traffic signal control. ACM Comput. Surv. 2017, 50, 1–38. [Google Scholar] [CrossRef]
- Aragon-Gómez, R.; Clempner, J.B. Traffic-signal control reinforcement learning approach for continuous-time Markov games. Eng. Appl. Artif. Intell. 2020, 89, 103415. [Google Scholar] [CrossRef]
- Sun, Q.-W.; Han, S.-Y.; Zhou, J.; Chen, Y.-H.; Yao, K. Deep Reinforcement-Learning-Based Adaptive Traffic Signal Control with Real-Time Queue Lengths. In Proceedings of the 2022 IEEE International Conference on Systems, Man, and Cybernetics (SMC), Prague, Czech Republic, 9–12 October 2022; pp. 1760–1765. [Google Scholar]
- Xu, M.; Wu, J.; Huang, L.; Zhou, R.; Wang, T.; Hu, D. Network-wide traffic signal control based on the discovery of critical nodes and deep reinforcement learning. J. Intell. Transp. Syst. 2020, 24, 1–10. [Google Scholar] [CrossRef]
- Krichen, M.; Mihoub, A.; Alzahrani, M.Y.; Adoni, W.Y.H.; Nahhal, T. Are Formal Methods Applicable To Machine Learning And Artificial Intelligence? In Proceedings of the 2022 2nd International Conference of Smart Systems and Emerging Technologies (SMARTTECH), Riyadh, Saudi Arabia, 24–26 February 2022; pp. 48–53. [Google Scholar]
- Raman, R.; Gupta, N.; Jeppu, Y. Framework for Formal Verification of Machine Learning Based Complex System-of-Systems. Insight 2023, 26, 91–102. [Google Scholar] [CrossRef]
- Wang, H.; Yuan, Y.; Yang, X.T.; Zhao, T.; Liu, Y. Deep Q Learning-Based Traffic Signal Control Algorithms: Model Development and Evaluation with Field Data. J. Intell. Transp. Syst. 2022, 27, 314–334. [Google Scholar] [CrossRef]
- Lu, Z.; Ding, N.; Lu, L.; Tian, Z. Optimizing signal timing of the arterial-branch intersection: A fuzzy control and nonlinear programming approach. Asian J. Control 2022, 24, 2952–2968. [Google Scholar] [CrossRef]
- Wei, H.; Zheng, G.; Gayah, V.; Huang, H.; Zhu, J.; Wang, Y.; Shen, L. A survey on traffic signal control methods. Transp. Res. Procedia 2019, 43, 285–292. [Google Scholar]
- Geng, F.; Ren, Y. Direction Prediction of Traffic Flow in Vissim Simulation Based on K Nearest Neighbor Algorithm. Front. Business, Econ. Manag. 2022, 9, 738–745. [Google Scholar] [CrossRef]
- Mohan, R.; Eldhose, S.; Manoharan, G. Network-Level Heterogeneous Traffic Flow Modelling in VISSIM. Transp. Dev. Econ. 2021, 7, 8. [Google Scholar] [CrossRef]
- Sun, L.; Tao, J.; Li, C.; Li, P. Microscopic Simulation and Optimization of Signal Timing based on Multi-Agent: A Case Study of the Intersection in Tianjin. KSCE J. Civ. Eng. 2018, 22, 3373–3382. [Google Scholar] [CrossRef]
- Wang, D.; Cai, Z.; Zeng, J.; Zhang, G.; Guo, J. A Review of Data Collection Research in Urban Traffic Control. J. Transp. Syst. Eng. Inf. Technol. 2020, 20, 95–102. [Google Scholar] [CrossRef]
- Jain, N.K.; Saini, R.K.; Mittal, P. A Review on Traffic Monitoring System Techniques. In Soft Computing: Theories and Applications; Ray, K., Sharma, T., Rawat, S., Saini, R., Bandyopadhyay, A., Eds.; Advances in Intelligent Systems and Computing; Springer: Singapore, 2019; pp. 569–577. [Google Scholar]
- Li, S. Research and Design on Road Intersection Traffic Monitoring and Signal Timing. Master’s Thesis, Xi’an Technological University, Xi’an, China, 2022. [Google Scholar]
- Jiang, C.-Y.; Hu, X.-M.; Chen, W.-N. An Urban Traffic Signal Control System Based on Traffic Flow Prediction. In Proceedings of the 2021 13th International Conference on Advanced Computational Intelligence (ICACI), Wanzhou, China, 14–16 May 2021; pp. 259–265. [Google Scholar]
- Han, S.-Y.; Sun, Q.-W.; Yang, X.-H.; Han, R.-Z.; Zhou, J.; Chen, Y.-H. Adaptation Scheduling for Urban Traffic Lights via FNT-Based Prediction of Traffic Flow. Electronics 2022, 11, 658. [Google Scholar] [CrossRef]
- Zhang, Q.B.; Yang, S.X.; Liu, M.; Liu, J.X.; Jiang, L. A new crossover mechanism for genetic algorithms for Steiner tree optimization. IEEE Trans. Cybern. 2022, 52, 3147–3158. [Google Scholar] [CrossRef] [PubMed]
- Xu, H.Q.; Gu, S.; Fan, Y.C.; Li, X.S.; Zhao, Y.F.; Zhao, J.; Wang, J.J. A strategy learning framework for particle swarm optimization algorithm. Inf. Sci. 2023, 619, 126–152. [Google Scholar] [CrossRef]
- Hu, G.; Yang, R.; Abbas, M.; Wei, G. BEESO: Multi-strategy Boosted Snake-Inspired Optimizer for Engineering Applications. J. Bionic Eng. 2023, 1–37. [Google Scholar] [CrossRef]
- Li, S.; Ye, L. Multi-level thresholding image segmentation for rubber tree secant using improved Otsu’s method and snake optimizer. Math. Biosci. Eng. 2023, 20, 9645–9669. [Google Scholar] [CrossRef]
- Li, Y.; Xiao, L.; Tang, B.; Liang, L.; Lou, Y.; Guo, X.; Xue, X. A denoising method for ship-radiated noise based on optimized variational mode decomposition with snake optimization and dual-threshold criteria of correlation coefficient. Math. Probl. Eng. 2022, 2022, 8024753. [Google Scholar] [CrossRef]
- Fu, H.; Shi, H.; Xu, Y.; Shao, J. Research on Gas Outburst Prediction Model Based on Multiple Strategy Fusion Improved Snake Optimization Algorithm With Temporal Convolutional Network. IEEE Access 2022, 10, 117973–117984. [Google Scholar] [CrossRef]
- Chen, M. Modeling and Simulation Analysis of Road Network Based on VISSIM. In Proceedings of the 2019 International Conference on Intelligent Transportation, Big Data & Smart City (ICITBS), Changsha, China, 12–13 January 2019; pp. 32–35. [Google Scholar]
- Baek, S.W.; Kim, M.J.; Suddamalla, U.; Kim, Y.K. RealTime Lane Detection Based on Deep Learning. J. Electr. Eng. Technol. 2022, 17, 655–664. [Google Scholar] [CrossRef]
- Zheng, F.; Luo, S.; Song, K.; Zhang, L.; Bian, Y. Improved Lane Line Detection Algorithm Based on Hough Transform. Pattern Recognit. Image Anal. 2018, 28, 254–260. [Google Scholar] [CrossRef]
- Ge, Z.; Liu, S.; Wang, F.; Li, Z.; Sun, J. Yolox: Exceeding yolo series in 2021. arXiv 2021, arXiv:2107.08430. [Google Scholar]
- Panboonyuen, T.; Thamrongrat, N.; Promphan, W.; Lursinsap, C. Object Detection of Road Assets Using Transformer-Based YOLOX with Feature Pyramid Decoder on Thai Highway Panorama. Information 2021, 13, 5. [Google Scholar] [CrossRef]
- Zhaowei, Q.; Sha, H.; Cheng, Z.; Lian, D. Short-Term Traffic Flow Forecasting Method With M-B-LSTM Hybrid Network. IEEE Trans. Intell. Transp. Syst. 2020, 23, 225–235. [Google Scholar] [CrossRef]
- Wang, Z.; He, C.; Zhang, B.; Chai, Y.; Wang, Q.; Xie, J. Adaptive Sliding Window LSTM NN-based RUL Prediction for Lithium-ion Batteries Integrating LTSA Feature Reconstruction. Neurocomputing 2021, 466, 178–189. [Google Scholar] [CrossRef]
- Tian, Y.; Zhang, K.; Li, J.; Lin, X.; Yang, B. LSTM-based traffic flow prediction with missing data. Neurocomputing 2018, 318, 297–305. [Google Scholar] [CrossRef]
- Yang, J.; Yang, D. Optimized signal time model in signaled intersection. J. Tongji Univ. 2001, 29, 789–794. [Google Scholar]
- Shen, J.; Li, J.; Cao, B.; Li, W.; Huang, L.; Xu, Y. Recognition Algorithm of Water Meter Dial in Natural Scene Based on YOLOV5s. In Proceedings of the 2021 4th International Conference on Robotics, Control and Automation Engineering (RCAE), Wuhan, China, 4–6 November 2021; pp. 45–49. [Google Scholar]
- Shahriari, S.; Ghasri, M.; Sisson, S.A.; Rashidi, T. Ensemble of ARIMA: Combining parametric and bootstrapping technique for traffic flow prediction. Transp. A Transp. Sci. 2020, 16, 1552–1573. [Google Scholar] [CrossRef]
- Hashim, F.A.; Hussien, A.G. Snake optimizer: A novel meta-heuristic optimization algorithm. Knowl.-Based Syst. 2022, 242, 108320. [Google Scholar] [CrossRef]










| Symbol | Description | Unit |
|---|---|---|
| D | Average delay time of vehicles in one cycle | s |
| T | Duration of one phase cycle | s |
| Phase i traffic flow (vel/h) | (vel/h) | |
| Duration of green/red/yellow lights in one cycle | s | |
| Q | Video frame grayscale matrix | |
| The cell state at each stage at moment t | ||
| The hidden state at time t | ||
| I | Image grayscale matrix value | |
| S | Sum of grayscale values | |
| n | Number of lanes | |
| Flow rate for each lane in one cycle | ||
| Phase i corresponds to the road saturation |
| Item | Properties |
|---|---|
| Number of Lanes | Bidirectional, six lanes only controlling left turn and straight |
| Lane Width (m) | 3.5 |
| Lane Length (m) | 400 |
| East–West Flow (veh/h) | 2376 |
| North–South Flow (veh/h) | 2950 |
| Vehicle Type Ratios | Cars:Buses:Trucks = 0.9:0.08:0.02 |
| Desired Speed (km/h) | Cars:Buses:Trucks = 50:40:30 |
| Network Model | AP@0.5 (%) | Recall | mAP (%) | FPS/(f/s) | ||
|---|---|---|---|---|---|---|
| Car | Bus | Truck | ||||
| YOLOv3 | 68.32 | 57.83 | 58.46 | 55.26 | 61.54 | 27 |
| YOLOv4 | 72.23 | 60.78 | 61.94 | 59.08 | 64.98 | 48 |
| YOLOv5s | 77.31 | 62.67 | 63.08 | 61.73 | 67.69 | 69 |
| YOLOX-s | 83.12 | 64.43 | 65.26 | 63.44 | 70.94 | 77 |
| num | pop | |||||
|---|---|---|---|---|---|---|
| 100 | 10 | 0.25 | 0.6 | 0.5 | 0.5 | 2 |
| Phases | SO Optimization Solution | Fixed Timing Solutions | ||||
|---|---|---|---|---|---|---|
| Red Light (s) | Green Light (s) | Yellow Light (s) | Red Light (s) | Green Light (s) | Yellow Light (s) | |
| N Straight, N Left | 126 | 41 | 3 | 120 | 47 | 3 |
| S straight, S left | 128 | 39 | 3 | 112 | 55 | 3 |
| NE straight, NE left | 120 | 47 | 3 | 114 | 53 | 3 |
| SW straight, SW left | 120 | 47 | 3 | 114 | 53 | 3 |
| Avg. delay time (s) | 26.89 | 35.08 | ||||
| Algorithm | GA | PSO | SO |
|---|---|---|---|
| Avg. delay time (s) | 30.46 | 27.21 | 26.89 |
| Less than fixed solutions (%) | 13.17 | 22.34 | 23.34 |
| Algorithm | GA | PSO | SO |
|---|---|---|---|
| Runtime (s) | 33.5 | 17.8 | 12.7 |
| Ratio to Original Vehicle Flow | 0.95 | 0.98 | 1 | 1.02 | 1.05 |
|---|---|---|---|---|---|
| Optimized delay time (s) | 26.72 | 26.76 | 26.89 | 27.35 | 27.89 |
| Ratio of change to original result | 0.63% | 0.48% | 0.00% | 1.71% | 3.72% |
Disclaimer/Publisher’s Note: The statements, opinions and data contained in all publications are solely those of the individual author(s) and contributor(s) and not of MDPI and/or the editor(s). MDPI and/or the editor(s) disclaim responsibility for any injury to people or property resulting from any ideas, methods, instructions or products referred to in the content. |
© 2023 by the authors. Licensee MDPI, Basel, Switzerland. This article is an open access article distributed under the terms and conditions of the Creative Commons Attribution (CC BY) license (https://creativecommons.org/licenses/by/4.0/).
Share and Cite
Cheng, R.; Qiao, Z.; Li, J.; Huang, J. Traffic Signal Timing Optimization Model Based on Video Surveillance Data and Snake Optimization Algorithm. Sensors 2023, 23, 5157. https://doi.org/10.3390/s23115157
Cheng R, Qiao Z, Li J, Huang J. Traffic Signal Timing Optimization Model Based on Video Surveillance Data and Snake Optimization Algorithm. Sensors. 2023; 23(11):5157. https://doi.org/10.3390/s23115157
Chicago/Turabian StyleCheng, Ruixiang, Zhihao Qiao, Jiarui Li, and Jiejun Huang. 2023. "Traffic Signal Timing Optimization Model Based on Video Surveillance Data and Snake Optimization Algorithm" Sensors 23, no. 11: 5157. https://doi.org/10.3390/s23115157
APA StyleCheng, R., Qiao, Z., Li, J., & Huang, J. (2023). Traffic Signal Timing Optimization Model Based on Video Surveillance Data and Snake Optimization Algorithm. Sensors, 23(11), 5157. https://doi.org/10.3390/s23115157

