Dose Optimization Using a Deep Learning Tool in Various CT Protocols for Urolithiasis: A Physical Human Phantom Study
Abstract
:1. Introduction
2. Materials and Methods
2.1. Phantom Model
2.2. CT Protocol and Image Reconstruction
2.3. Radiation Dose
2.4. Objective Image Quality Assessment
2.5. Subjective Image Assessment
2.6. Subjective Stone Diagnosis Assessment
2.7. Statistical Analyses
3. Results
3.1. Radiation Dose
3.2. Quantitative Analysis of the Image Quality
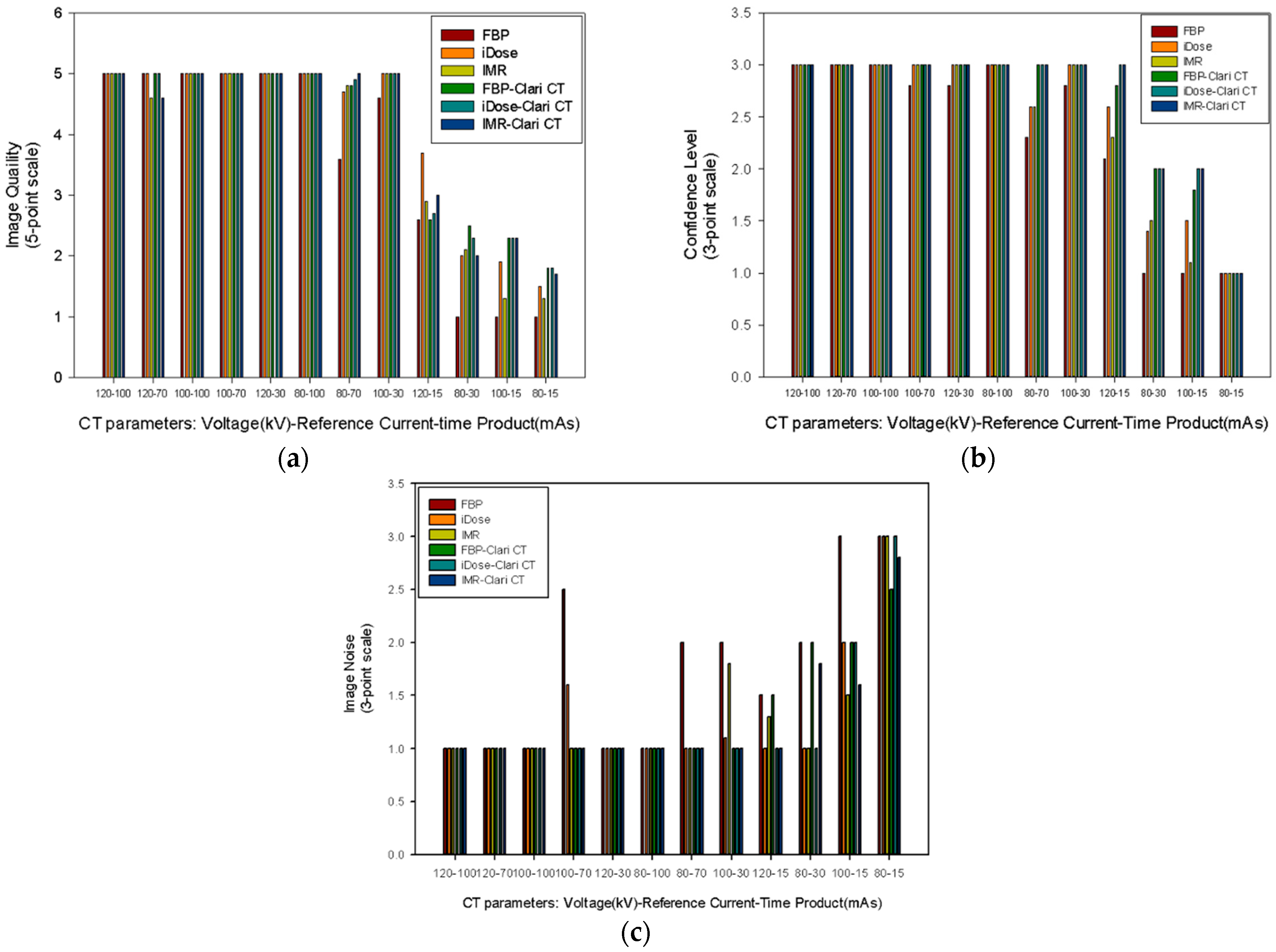
3.3. Qualitative Analysis
3.4. Diagnostic Accuracy for Stone Detection
4. Discussion
5. Conclusions
Author Contributions
Funding
Institutional Review Board Statement
Informed Consent Statement
Data Availability Statement
Conflicts of Interest
Abbreviations
| CT | computed tomography |
| FBP | filtered back projection |
| IR | iterative reconstruction |
| IMR | iterative model reconstruction |
| HU | Hounsfield unit |
| IVP | intravenous pyelography |
| CNN | convolutional neural network |
| DICOM | digital imaging and communications in medicine |
| DLP | dose–length product |
| CTDIvol | volume CT dose index |
| ED | effective dose |
| SSDE | size-specific dose estimate |
| SNR | signal-to-noise ratio |
References
- Scales, C.D., Jr.; Smith, A.C.; Hanley, J.M.; Saigal, C.S.; Urologic Diseases in America Project. Prevalence of Kidney Stones in the United States. Eur. Urol. 2012, 62, 160–165. [Google Scholar] [CrossRef] [PubMed]
- Morales-Martínez, A.; Melgarejo-Segura, M.T.; Arrabal-Polo, M.A. Urinary stone epidemiology in Spain and worldwide. Arch. Esp. Urol. 2021, 74, 4–14. [Google Scholar] [PubMed]
- Hur, J.; Bin Park, S.; Lee, J.B.; Park, H.J.; Chang, I.H.; Kwon, J.K.; Kim, Y.S. CT for evaluation of urolithiasis: Image quality of ultralow-dose (Sub mSv) CT with knowledge-based iterative reconstruction and diagnostic performance of low-dose CT with statistical iterative reconstruction. Abdom. Imaging 2015, 40, 2432–2440. [Google Scholar] [CrossRef] [PubMed]
- Bin Park, S.; Kim, Y.S.; Lee, J.B.; Park, H.J. Knowledge-based iterative model reconstruction (IMR) algorithm in ultralow-dose CT for evaluation of urolithiasis: Evaluation of radiation dose reduction, image quality, and diagnostic performance. Abdom. Imaging 2015, 40, 3137–3146. [Google Scholar] [CrossRef] [PubMed]
- Fulgham, P.F.; Assimos, D.G.; Pearle, M.S.; Preminger, G.M. Clinical Effectiveness Protocols for Imaging in the Management of Ureteral Calculous Disease: AUA Technology Assessment. J. Urol. 2013, 189, 1203–1213. [Google Scholar] [CrossRef]
- Stewart, F.; Akleyev, A.; Hauer-Jensen, M.; Hendry, J.; Kleiman, N.; MacVittie, T.; Aleman, B.; Edgar, A.; Mabuchi, K.; Muirhead, C.; et al. ICRP PUBLICATION 118: ICRP Statement on Tissue Reactions and Early and Late Effects of Radiation in Normal Tissues and Organs—Threshold Doses for Tissue Reactions in a Radiation Protection Context. Ann. ICRP 2012, 41, 1–322. [Google Scholar] [CrossRef]
- Shuryak, I.; Sachs, R.K.; Brenner, D.J. Cancer Risks After Radiation Exposure in Middle Age. J. Natl. Cancer Inst. 2010, 102, 1628–1636. [Google Scholar] [CrossRef]
- Costello, J.E.; Cecava, N.D.; Tucker, J.E.; Bau, J.L. CT Radiation Dose: Current Controversies and Dose Reduction Strategies. Am. J. Roentgenol. 2013, 201, 1283–1290. [Google Scholar] [CrossRef]
- Manohar, P.; McCahy, P. Repeated radiological radiation exposure in patients undergoing surgery for urinary tract stone disease in Victoria, Australia. BJU Int. 2011, 108 (Suppl. S2), 34–37. [Google Scholar] [CrossRef]
- Cheng, R.Z.; Shkolyar, E.; Chang, T.C.; Spradling, K.; Ganesan, C.; Song, S.; Pao, A.C.; Leppert, J.T.; Elliott, C.S.; To’o, K.; et al. Ultra-Low-Dose CT: An Effective Follow-Up Imaging Modality for Ureterolithiasis. J Endourol. 2020, 34, 139–144. [Google Scholar] [CrossRef]
- Zhang, G.; Zhang, X.; Xu, L.; Bai, X.; Jin, R.; Xu, M.; Yan, J.; Jin, Z.; Sun, H. Value of deep learning reconstruction at ultra-low-dose CT for evaluation of urolithiasis. Eur. Radiol. 2022, 32, 5954–5963. [Google Scholar] [CrossRef]
- Rodger, F.; Roditi, G.; Aboumarzouk, O.M. Diagnostic Accuracy of Low and Ultra-Low Dose CT for Identification of Urinary Tract Stones: A Systematic Review. Urol. Int. 2018, 100, 375–385. [Google Scholar] [CrossRef] [PubMed]
- Suarez-Ibarrola, R.; Hein, S.; Reis, G.; Gratzke, C.; Miernik, A. Current and future applications of machine and deep learning in urology: A review of the literature on urolithiasis, renal cell carcinoma, and bladder and prostate cancer. World J. Urol. 2019, 38, 2329–2347. [Google Scholar] [CrossRef] [PubMed]
- Choi, S.Y.; Ahn, S.H.; Choi, J.D.; Kim, J.H.; Lee, B.-I.; Kim, J.-I.; Park, S.B. Determination of optimal imaging settings for urolithiasis CT using filtered back projection (FBP), statistical iterative reconstruction (IR) and knowledge-based iterative model reconstruction (IMR): A physical human phantom study. Br. J. Radiol. 2016, 89, 20150527. [Google Scholar] [CrossRef] [PubMed]
- Löve, A.; Olsson, M.-L.; Siemund, R.; Stålhammar, F.; Björkman-Burtscher, I.M.; Söderberg, M. Six iterative reconstruction algorithms in brain CT: A phantom study on image quality at different radiation dose levels. Br. J. Radiol. 2013, 86, 20130388. [Google Scholar] [CrossRef] [PubMed]
- Rob, S.; Bryant, T.; Wilson, I.; Somani, B. Ultra-low-dose, low-dose, and standard-dose CT of the kidney, ureters, and bladder: Is there a difference? Results from a systematic review of the literature. Clin. Radiol. 2017, 72, 11–15. [Google Scholar] [CrossRef]
- Nourian, A.; Ghiraldi, E.; Friedlander, J.I. Dual-Energy CT for Urinary Stone Evaluation. Curr. Urol. Rep. 2020, 22, 1–6. [Google Scholar] [CrossRef]
- Kim, I.; Kang, H.; Yoon, H.J.; Chung, B.M.; Shin, N.-Y. Deep learning–based image reconstruction for brain CT: Improved image quality compared with adaptive statistical iterative reconstruction-Veo (ASIR-V). Neuroradiology 2021, 63, 905–912. [Google Scholar] [CrossRef]
- Goodman, T.R.; Mustafa, A.; Rowe, E. Pediatric CT radiation exposure: Where we were, and where we are now. Pediatr. Radiol. 2019, 49, 469–478. [Google Scholar] [CrossRef]
- Meulepas, J.M.; Ronckers, C.M.; Smets, A.M.J.B.; Nievelstein, R.A.J.; Gradowska, P.; Lee, C.; Jahnen, A.; van Straten, M.; de Wit, M.-C.Y.; Zonnenberg, B.; et al. Radiation Exposure from Pediatric CT Scans and Subsequent Cancer Risk in the Netherlands. J. Natl. Cancer Inst. 2018, 111, 256–263. [Google Scholar] [CrossRef]
- Caglayan, A.; Horsanali, M.O.; Kocadurdu, K.; Ismailoglu, E.; Guneyli, S. Deep learning model-assisted detection of kidney stones on computed tomography. Int. Braz. J. Urol. 2022, 48, 830–839. [Google Scholar] [CrossRef] [PubMed]
- Lopez, F.; Varelo, A.; Hinojosa, O.; Mendez, M.; Trinh, D.-H.; ElBeze, Y.; Hubert, J.; Estrade, V.; Gonzalez, M.; Ochoa, G.; et al. Assessing deep learning methods for the identification of kidney stones in endoscopic images. Annu. Int. Conf. IEEE Eng. Med. Biol. Soc. 2021, 2021, 2778–2781. [Google Scholar] [CrossRef] [PubMed]
- Yildirim, K.; Bozdag, P.G.; Talo, M.; Yildirim, O.; Karabatak, M.; Acharya, U.R. Deep learning model for automated kidney stone de-tection using coronal ct images. Comput. Biol. Med. 2021, 135, 104569. [Google Scholar] [CrossRef] [PubMed]
- Zhang, X.; Zhang, G.; Xu, L.; Bai, X.; Zhang, J.; Xu, M.; Yan, J.; Zhang, D.; Jin, Z.; Sun, H. Application of deep learning reconstruction of ultra-low-dose abdominal CT in the diagnosis of renal calculi. Insights Imaging 2022, 13, 163. [Google Scholar] [CrossRef]
- Cao, C.-F.; Ma, K.-L.; Shan, H.; Liu, T.-F.; Zhao, S.-Q.; Wan, Y.; Zhang, J.; Wang, H.-Q. CT Scans and Cancer Risks: A Systematic Review and Dose-response Meta-analysis. BMC Cancer 2022, 22, 1238. [Google Scholar] [CrossRef]
- Park, I.W.; Kim, S.J.; Shin, D.; Shim, S.R.; Chang, H.K.; Kim, C.H. Radiation exposure to the urology surgeon during retrograde in-trarenal surgery. PLoS ONE 2021, 16, e0247833. [Google Scholar]
- Do Jung, H.; Lee, J.Y.; Kang, D.H.; Ko, K.; Koh, D.H.; Kwon, O.; Koo, K.C.; Kim, K.T.; Kim, M.S.; Kim, B.S.; et al. Korean Society of Endourology and Robotics (KSER) recommen-dation on the diagnosis, treatment, and prevention of urolithiasis. Investig. Clin. Urol. 2023, 64, 325–337. [Google Scholar] [CrossRef]
- Park, H.J.; Choi, S.Y.; Lee, J.E.; Lim, S.; Lee, M.H.; Yi, B.H.; Cha, J.G.; Min, J.H.; Lee, B.; Jung, Y. Deep learning image reconstruction algorithm for abdominal multide-tector CT at different tube voltages: Assessment of image quality and radiation dose in a phantom study. Eur. Radiol. 2022, 32, 3974–3984. [Google Scholar] [CrossRef]
- Son, W.; Kim, M.; Hwang, J.-Y.; Kim, Y.-W.; Park, C.; Choo, K.S.; Kim, T.U.; Jang, J.Y. Comparison of a Deep Learning-Based Reconstruction Algorithm with Filtered Back Projection and Iterative Reconstruction Algorithms for Pediatric Abdominopelvic CT. Korean J. Radiol. 2022, 23, 752–762. [Google Scholar] [CrossRef]





| Voltage (kV) | Reference Current–Time Product (mAs) | Effective Current–Time Product (mAs) | CTDIvol (mGy) | SSDE (mGy) | DLP (mGy) | ED (mSv) |
|---|---|---|---|---|---|---|
| 120 | 100 | 84 | 3.82 | 5.73 | 174.7 | 2.621 |
| 120 | 70 | 44 | 2.7 | 4.05 | 123.4 | 1.851 |
| 120 | 30 | 19 | 1.11 | 1.665 | 50.9 | 0.764 |
| 120 | 15 | 10 | 0.54 | 0.81 | 24.8 | 0.372 |
| 100 | 100 | 61 | 2.25 | 3.375 | 102.9 | 1.544 |
| 100 | 70 | 43 | 1.56 | 2.34 | 71.3 | 1.07 |
| 100 | 30 | 18 | 0.63 | 0.945 | 28.7 | 0.431 |
| 100 | 15 | 10 | 0.28 | 0.42 | 13 | 0.195 |
| 80 | 100 | 58 | 1.03 | 1.545 | 46.9 | 0.704 |
| 80 | 70 | 41 | 0.72 | 1.08 | 33 | 0.495 |
| 80 | 30 | 18 | 0.3 | 0.45 | 13.8 | 0.207 |
| 80 | 15 | 10 | 0.14 | 0.21 | 6.3 | 0.095 |
| CTDIvol (mGy) | Voltage (kV) | Reference Current–Time Product (mAs) | FBP | iDose | IMR | FBP-ClariCT | iDose-ClariCT | IMR-ClariCT |
|---|---|---|---|---|---|---|---|---|
| 3.82 | 120 | 100 | 100 | 100 | 100 | 100 | 100 | 100 |
| 2.7 | 120 | 70 | 100 | 100 | 100 | 100 | 100 | 100 |
| 2.25 | 100 | 100 | 100 | 100 | 100 | 100 | 100 | 100 |
| 1.56 | 100 | 70 | 100 | 100 | 100 | 100 | 100 | 100 |
| 1.11 | 120 | 30 | 100 | 100 | 100 | 100 | 100 | 100 |
| 1.03 | 80 | 100 | 100 | 100 | 100 | 100 | 100 | 100 |
| 0.72 | 80 | 70 | 100 | 100 | 100 | 100 | 100 | 100 |
| 0.63 | 100 | 30 | 100 | 100 | 100 | 100 | 100 | 100 |
| 0.54 | 120 | 15 | 65 | 80 | 75 | 75 | 85 | 85 |
| 0.3 | 80 | 30 | 5 | 35 | 50 | 65 | 65 | 65 |
| 0.28 | 100 | 15 | 10 | 35 | 55 | 55 | 55 | 60 |
| 0.14 | 80 | 15 | 0 | 0 | 0 | 0 | 0 | 0 |
Disclaimer/Publisher’s Note: The statements, opinions and data contained in all publications are solely those of the individual author(s) and contributor(s) and not of MDPI and/or the editor(s). MDPI and/or the editor(s) disclaim responsibility for any injury to people or property resulting from any ideas, methods, instructions or products referred to in the content. |
© 2023 by the authors. Licensee MDPI, Basel, Switzerland. This article is an open access article distributed under the terms and conditions of the Creative Commons Attribution (CC BY) license (https://creativecommons.org/licenses/by/4.0/).
Share and Cite
Shim, J.H.; Choi, S.Y.; Chang, I.H.; Park, S.B. Dose Optimization Using a Deep Learning Tool in Various CT Protocols for Urolithiasis: A Physical Human Phantom Study. Medicina 2023, 59, 1677. https://doi.org/10.3390/medicina59091677
Shim JH, Choi SY, Chang IH, Park SB. Dose Optimization Using a Deep Learning Tool in Various CT Protocols for Urolithiasis: A Physical Human Phantom Study. Medicina. 2023; 59(9):1677. https://doi.org/10.3390/medicina59091677
Chicago/Turabian StyleShim, Jae Hun, Se Young Choi, In Ho Chang, and Sung Bin Park. 2023. "Dose Optimization Using a Deep Learning Tool in Various CT Protocols for Urolithiasis: A Physical Human Phantom Study" Medicina 59, no. 9: 1677. https://doi.org/10.3390/medicina59091677
APA StyleShim, J. H., Choi, S. Y., Chang, I. H., & Park, S. B. (2023). Dose Optimization Using a Deep Learning Tool in Various CT Protocols for Urolithiasis: A Physical Human Phantom Study. Medicina, 59(9), 1677. https://doi.org/10.3390/medicina59091677

