Abstract
Demand response (DR) has become an effective and critical method for obtaining better savings on energy consumption and cost. Buildings are the potential demand response resource since they contribute nearly 50% of the electricity usage. Currently, more DR applications for buildings were rule-based or utilized a simplified physical model. These methods may not fully embody the interaction among various features in the building. Based on the tree model, this paper presents a novel model based control with a random forest (MBCRF) learning algorithm for the demand response of commercial buildings. The baseline load of demand response and optimal control strategies are solved to respond to the DR request signals during peak load periods. Energy cost saving of the building is achieved and occupant’s thermal comfort is guaranteed simultaneously. A linguistic if-then rules-based optimal feature selection framework is also utilized to redefine the training and test set. Numerical testing results of the Pennsylvania-Jersey-Maryland (PJM) electricity market and Research and Support Facility (RSF) building show that the load forecasting error is as low as 1.28%. The peak load reduction is up to 40 kW, which achieves a 15% curtailment and outperforms rule-based DR by 5.6%.
1. Introduction
Buildings consume nearly 50% of the electricity [1], and account for almost 40% of the greenhouse gas emissions. Heating, ventilation and air-conditioning (HVAC) systems contribute about one-third of the total energy consumption [2]. In particular, commercial buildings are capable of providing sizable load curtailment, and then they are increasingly looking to demand management [3]. Therefore, it is critical to implement demand response (DR) for buildings to save energy cost. DR refers to “changes in electric use by demand-side resources from their normal consumption patterns in response to changes in the price of electricity, or to incentive payments designed to induce lower electricity use at times of high wholesale market prices or when system reliability is jeopardized” [4], which is mainly applied through two categories in power systems, incentive-based programs (IBPs) and price-based programs (PBPs) [5].
Many researchers have studied the effectiveness of DR application for saving energy consumption and cost. Authors in [6] proposed a fast DR strategy of chiller power for the commercial building and achieved significant peak demand reductions. In [7], a model with a single-state variable was developed to participate in the DR control flexibly for the large commercial HVAC system. Four different business models of DR were developed and aggregation potentials of the building in market were studied in [8]. Different electricity tariff structures were presented for the development of DR, which contain time-of-use (TOU), critical peak pricing (CPP) and real-time pricing (RTP) [9]. Authors in [10] proposed a RTP-based DR control strategy that changes the set-point temperature to control HVAC loads depending on electricity retail price published each 15 minutes. Both TOU and IBPs were modeled based on the concept of demand price elasticity to design an optimum scheme for achieving the maximum benefit of DR in [11]. Based on the Monte Carlo method and dynamic pricing, authors in [12] developed a robust demand response control of commercial buildings for a smart grid under load prediction uncertainty.
Conventionally, DR programs were mostly applied through the model-based method developed by a simplified, physical or statistical energy consumption model. In [13], combining a statistical estimate of the future load demand, an optimization-based real-time residential load management algorithm was proposed in order to minimize the energy payment for each user. Dupont et al. [14] used a two-stage modeling approach to evaluate the residential demand response on power system operation. Different multiple loops’ control strategies for providing frequency regulation of commercial HVAC systems and components were presented in [15]. In [16], an equivalent resistance-capacitance network was used to build the thermal model of commercial buildings and the starting point was obtained by a quasi-steady-state approach to estimate hourly electricity demand. Li et al. [17] exploited the model predictive control (MPC) for building thermal mass control. The authors used a TOU-based program for reducing energy consumption and cost.
Virtually, buildings are uniquely designed for diverse purposes. The actual energy consumption model of buildings is much more complicated affected by the location, weather and user behaviors. A simplified physical energy model cannot fully formulate the electric load demand of the building. Therefore, developing a learning based approach for the optimal DR strategies and the relevant model can be learned through the historical data, which is urgent and attractive. Some recent literature has paid attention to the study based on the learning method [18,19,20,21,22,23,24,25]. For example, in [18], a model based control with a regression trees method was exploited for optimal DR strategies for large commercial buildings. Zhang et al. [19] studied the learning mechanism with an optimization method for DR application, in which the neural network-based learning and regression-based learning were used to obtain the HVAC energy consumption model, respectively. In [20], users’ optimal DR policy was determined by the proposed online model-free learning algorithm. The Markov Decision Process (MDP) was utilized to model the uncertainty of price and load demand. Reinforcement learning (RL) was developed for the demand response in a smart grid [21,22].
It is notable that thermal comfort should not be violated excepted for small fluctuations during the load reduction. The thermal comfort was also considered as an objective function in some articles [26,27,28]. Grygierek et al. [26] proposed a multi-objective optimization to achieve the optimal selection of the envelope for a single-family building. The heat demand and thermal comfort of occupants have been studied in the objective function. Ascione et al. [27] developed a novel cost-optimal analysis framework to select the robust and optimal retrofit packages. The energy consumption and thermal discomfort were minimized by multi-objective optimization and artificial neural networks. In [28], a fuzzy logic controller was proposed by Grygierek and Ferdyn-Grygierek. The paper exploited the modified Multiobjective Evolutionary Algorithm to limit a temperature from being too high in residential buildings. In addition, passive cooling was adopted by virtue of ventilation with ambient cool air. For the authors in [17], using Predicted Mean Vote (PMV), the thermal comfort index was used in the optimization framework and tried close to zero.
Among the many machine learning algorithms, ensemble learning is an efficient method, especially the tree-based learning (e.g., random forest). The algorithm on the basis of tree model belongs to the class of recursive partitioning methods and handles the problem of nonlinear regression well and is more interpretable. Inspired by the aforementioned facts, this paper proposes a novel model based control with a random forest (MBCRF) DR learning algorithm for an office building. The peak electrical load reduction is achieved by the developed MBCRF algorithm and the thermal comfort is simultaneously maintained. The model based on the tree in this paper is learned by utilizing the idea of a random forest algorithm [29]. The major contributions of this paper are as follows:
- A set of linguistic if-then rules are used to form the candidate features during the process of a learning expected tree model, and then the approach on the basis of variable importance is utilized for the feature selection.
- An ensemble learning algorithm, random forest (RF), is selected to estimate the baseline electricity demands. Compared with other learning methods, the prediction error of RF can be as low as 1.28%.
- A novel model based control with a random forest (MBCRF) learning algorithm is developed for the optimal DR control strategies. Based on the proposed MBCRF algorithm, multiple model trees are built and the energy consumption model is fitted in their leaves.
The rest of this paper is organized as follows: Section 2 illustrates the problem formulation of demand response. Section 3 describes the mathematical preliminaries of Classification and Regression Tree (CART) and RF methods. Section 4 elaborates on the proposed MBCRF learning algorithm for the DR strategy programming. Section 5 demonstrates the case studies. Finally, a conclusion is made in Section 6.
2. Problem Formulation
When a DR event (e.g., load curtailment request) is announced by the utility or the curtailment service provider (CSP), two imperative problems should be solved to make an accurate power consumption response and achieve a significant DR curtailment for the building, which are described in detail next.
2.1. Baseline Load Prediction
The baseline load is the electricity that is consumed by a customer without participating in a DR project. Reasonable curtailments and fair compensations of the DR participant are directly affected by the baseline load, so it is very significant to study the prediction of baseline load. This issue belongs to the scope of short-term load forecasting (STLF). With the development of information communication technology (ICT), more complete factors containing the weather data and historical load can be obtained by the decision center. Thus, this paper exploits the ensemble learning algorithm, random forest, and learns a robust prediction model which relates the baseline load estimate to the predictor variables or features, such as time indicator, outside temperature and related historical load. The model can be formulated as:
where represents time and weather variables; represents the historical load before the DR events. Noteworthiness, the dimension of each variable can be defined according to the actual application.
2.2. DR Strategy Programming
For the demand response, the problem of the amount of load curtailment that can be provided by a customer is the major consideration in this paper. The difficulty lies in how to obtain the optimal setting of different controllable variables and form a comprehensive control strategy for demand response. The above problem is defined as an optimization with considering the set of controllable variables . The corresponding formulation can be listed as follows:
where is the predicted power response of the building, and its model is learned by the proposed MBCRF algorithm, which is particularly illustrated in Section 4. is the set of acceptable operating points from the minimum to the maximum.
3. Mathematical Preliminaries
3.1. Classification and Regression Tree
Classification and Regression Tree (CART) is one of the outstanding representatives in Decision Tree algorithms introduced by Breiman in [30]. CART is a non-parametric supervised learning method used for classification and regression. The goal is to create a model that predicts the value of a target variable by learning simple decision rules inferred from the data features. In general, a tree is composed of a root node, several internal nodes and leaves. The root node contains the complete set of samples, and leaves of the tree store the the result of the decision. The path from the root node to each leaf node corresponds to a decision test sequence or rules. CART is a binary tree for which each internal node has exactly two branches, referred to as the left child and right child.
As the STLF is a kind of regression, the remainder of this section is restricted to the regression problem. Let the following represent a training set containing n observations. is a feature vector, also called a sample described by d features, and is the label of a sample:
Tree-based methods are built through recursive partitioning the feature space into a set of hyper-rectangles and then fitting a simple model or value in each one. In CART, the input vector at a node is split into two subspaces for regression trees on the basis of the criteria of a sum of squares:
where and . The best splitting feature j and the split point s are obtained by solving the following minimization:
where, for any selected j and s, the and are solved using:
Based on the above, traversing the input vector and scanning all of the split point s for the corresponding splitting feature, the best pair can be determined. Using the selected pair, partition the data into two resulting regions and the same procedure can be repeated on each of the two regions. Then, this process is continued until some stopping rules are applied. At the end of the learning, partition the feature space into M regions , and the regression tree is generated:
where is the indicator function, and is the average of output samples in the region i.e.,
3.2. Random Forest
For decision tree or CART, overfitting might occur when the built tree is very large while a small tree might not capture the important structure. An optimization method for this problem is to use random forest (RF), which is an ensemble learning algorithm combining multiple classification and regression trees proposed by Breiman in [29].
In random forest, an overlapped sample subset is generated first by bootstrap sampling i.e., n observations are selected randomly with replacement from the training set ; each observation has the probability of to be selected and may appear many times or may never. The independent identically distributed random vector represents this random selection. According to this principle, T sample set containing n observations can be obtained, and then apply the CART methodology to a maximum size and do not prune them to grow a collection of T regression trees . The final result is the aggregation of these predictors i.e., using simple averaging for a regression problem:
Besides the bootstrap sampling above, also called a bagging algorithm, another important principle in RF is the introduction of a random selection of features. To split a node, only a predefined number of the d features are selected and size of the group is fixed, which is recommended to be one-third of the features number d:
Random forest is robust, immune to irrelevant inputs or noise, and computationally inexpensive. There are two main indicators that characterize the random forest, namely, the out-of-bag (OOB) estimate and the measure of variable importance. Through the bootstrap sampling process, approximately one-third of training sample in the original sample space will never be selected for the build of the kth tree. Therefore, these samples can be used to establish the error estimate for the random forest and this error is unbiased:
where n is the number of all samples in the original set, represents the label of sample i, and is predicted by aggregating only the trees constructed over bootstrap training sets not containing the sample i. Meanwhile, the variable importance can be calculated based on the OOB samples, which is explained in the following section of feature selection.
4. The Proposed MBCRF Algorithm
4.1. Overview Flow
This paper presents a tree-based learning algorithm for the building demand response. More specifically, the method of random forest is developed for the baseline load prediction. Then, a MBCRF is proposed for the problem of DR strategy integration described earlier in Section 2.2. This is our primary contribution. The input data are partitioned into smaller regions by the proposed method, where the relationship between variables is easier to establish. Then, partition the partitions again until the final data space is obtained for which a naive but valid model can be fitted for them. The algorithm can handle the nonlinear regression problem well and is more interpretable.
Figure 1 shows the overall flow of the proposed learning algorithm, consisting of three stages. The first stage is modeling candidate feature, where the set of input variables are formed by utilizing linguistic if-then rules while considering the difference in power consumption behaviour of an end-user on the specific day. The second stage is splitting feature selection, where the splitting feature at each node will be determined on the basis of variable importance. Based on the two steps above, the last stage is to apply an RF or MBCRF algorithm to learn the corresponding model illustrated in Section 2.1 and Section 2.2. The detailed description of each stage is given below.
Figure 1.
Overall flow of the proposed demand response (DR) framework.
4.2. Modeling Candidate Features
Considering the daily periodicity characteristic of power consumption, in this study, the hourly load values of the previous 12 h and similar hours in the previous week are chosen as the candidate input features. In order to learn a more accurate regression tree model, not only historical load but other exogenous factors are also considered in this paper, which includes the outside temperature and time indicator. Equation (12) summaries all the chosen features:
where means the load at time ; is a categorical predictor which takes values from 1 to 7 depending on the day of the week. equals for the corresponding hours. As time indicators, and can capture power consumption on the specific days of the week or daily. In total, there are candidate features.
Typically, the energy consumption behavior on the weekend is different from that on working days, so a set of linguistic if-then rules are used to choose the previous load values in Equation (12). For example, the load values of the previous 24 h, i.e., for Monday, should be selected from last Friday instead of Sunday. The values of load from last 48 h to 120 h are chosen from the remaining four days in the last week. The load of 144 h and 168 h before time t would be determined from Thursday and Friday for a week ago. Likewise, for similar situations on other working days, this logic rule is also applied. Figure 2 shows the logic rule for the selection of candidate features.
Figure 2.
Flowchart of the prediction strategy with the selection of candidate features.
4.3. Splitting Feature Selection Based on Variable Importance
For the above candidate features, some of them may have poor correlation with the output, so variable importance for each feature is calculated and ranked by the value. l features with a higher value of variable importance will be used as the final input features for the forecasting model. For the variable importance measurement (VIM) of one feature, is based on the kth tree, and is calculated according to Equation (11) firstly. Then, the values of feature in the OOB samples are randomly permuted and the can be recalculated on the basis of these new OOB samples. The VIM of the feature of the kth tree can be obtained by the following formula:
The calculation process is repeated for each tree.The final VIM of feature is found by averaging the VIM of each tree:
where T represents the tree number in a random forest. If a feature has higher importance, then the OOB error will be increased when random noise is added to the feature.
4.4. The Proposed MBCRF Algorithm
A random forest algorithm has been introduced in Section 3, and this section gives a detailed illustration of the MBCRF algorithm. The MBCRF is developed by extending the theory of RF with the two following major modifications. First, the partial least squares method is applied to build a linear regression model for each leaf node of a tree, instead of using the average of response variables inside a leaf node as in RF. Second, MBCRF utilizes the split criterion of standard deviation reduction (SDR) introduced in model tree algorithm [31,32] to choose the best splitting feature for each internal node to build a tree, instead of using CART as in RF.
Figure 3 shows the concept of an MBCRF tree. For learning the demand response model of the building, candidate features can be further separated into disturbance variables such as outside temperature, humidity, etc. and controllable variables like the temperature and lighting set points within the building. As described in Section 2.2, the controllable variables are to be solved during the DR event and therefore the corresponding value is unknown. During the establishment of the model tree, if the controllable variables are used to partition the feature space in training process, this will fail to get the final region for a forecast of the input feature vector. Therefore, only the disturbance variables are used as the splitting feature sets during the generation of a tree. MBCRF randomly selects splitting feature for an internal node and chooses the one as the best partition feature according to SDR. Then, the process of recursive partitioning is implemented similar to CART in RF. When an MBCRF tree is built, a linear regression model in each leaf node will be only fitted over the control variables :
where represents the predicted power response at the corresponding region ; and are the fitting coefficients. For a testing sample (e.g., a DR event), the forecast of the disturbances is used to navigate to the appropriate region and build its valid prediction model.
Figure 3.
Example of a tree model built using the separated variables.
Based on the above algorithm, the optimal control strategy during the DR event can be obtained through solving the optimization problem expressed in Section 2.2. The objective of the optimization is to minimize the predicted power consumption . However, it is worth noting that the comfort of building occupants should be guaranteed while reducing energy consumption. Temperature and relative humidity are the main factors that influence a human’s thermal feelings [33,34,35]. The researchers indicated that the humidity has little effect on the occupants’ comfort when the temperature is under suitable conditions. In this paper, the relative humidity of the building is assumed to be kept within a stable range. Therefore, a thermal satisfaction method is adopted to account for thermal comfort. Similar to the discomfort management in [36,37], the deviation between the actual temperature and a desired set-point temperature is considered in our objective function. Then, the optimization problem in Equation (2) can be rewritten as follows:
where the index k represents the type of temperature, e.g., the temperature of chiller water and indoor temperature. is the actual or optimized temperature, at time step, t, and represents the corresponding expected set-point of temperature. The set denotes the upper and lower bounds of the controllable variables according to the limits of operation. The objective of the optimization is to minimize the predicted power response while minimizing the deviation of the corresponding temperature from the desired set-point temperature. Based on the above description, the MBCRF algorithm is further proposed and summarized in Algorithm 1.
| Algorithm 1 MBCRF algorithm for the DR optimal strategy. |
| 1: procedure Model learning 2: Select input features 3: 4: 5: Build the MBCRF power prediction tree with 6: for all Regions at the leaves of do 7: Fit linear model 8: end for 9: end procedure 10: procedure Control strategy solving 11: Before time t of DR event, using forecast determine the leaf for 12: Fit the linear model at the leaf 13: Solve optimization in Equation (16) to obtain optimal control strategy 14: end procedure |
4.5. Parameter in MBCRF
When using MBCRF, the following parameters should be determined in advance, similar to RF algorithm:
- (1)
- The number of trees in the forest, .
- (2)
- The number of splitting features randomly selected from the feature set which are tried for searching the best splitting feature at each internal node, .
- (3)
- The minimum number of a leaf node, .
5. Case Study
In this section, at first, the RF algorithm is tested on the real historical data set for the DR baseline prediction. Then, a comprehensive study of the proposed MBCRF DR programming is presented. In addition, comparisons with other methods are also implemented. The simulation is implemented in a PC with Intel Core i7-6700 CPU at 3.40 GHz and 16 GB RAM.
5.1. Simulation Data
First, the historical data of PJM day-ahead electricity market presented on their website [38], from 1 January 2000 to 31 December 2000, is used to accomplish the load forecast aiming to verify the universality of the RF. Then, an office building, the Research and Support Facility (RSF) is considered for the proposed MBCRF algorithm. RSF is occupied by the USA Department of Energy’s NREL employees, also called a net zero energy building, which aims for its occupants to consume only the amount of energy generated by a 2.5 MW photovoltaic system on the rooftop. The total area of the building is 33,445.094 . There are approximately 1325 people during peak occupancy. The measured hourly weather and load data of 2011 [39] is adopted for this simulation.
5.2. Load Prediction Benchmarking
For the load prediction, historical data as a training sample is used to learn a reliable model by a random forest algorithm and validate the predictive capability of the model with a test data-set that the model has never seen before. Four test days, 28 April, 7 June, 17 October and 31 December, are selected for the testing of PJM representing the four seasons of year. Likewise, 15 June and 10 August are the test sets for the RSF building. The initial training set are all from 17 January to the day before beginning of the testing. Concerning the RF parameter configuration, the number of trees is equal to 500, while the number of features to split at each node is based on Equation (10).
According to a feature selection method based on variable importance in Section 4.3, the final partition features for each training set and test set are summarized in Table 1. Considering and need to be indicated the appropriate time in the learning process, so these two features as the mandatory input do not consider the magnitude of their variable importance. In addition, the is also a necessary feature.
Table 1.
The selected features for four training sets and test sets.
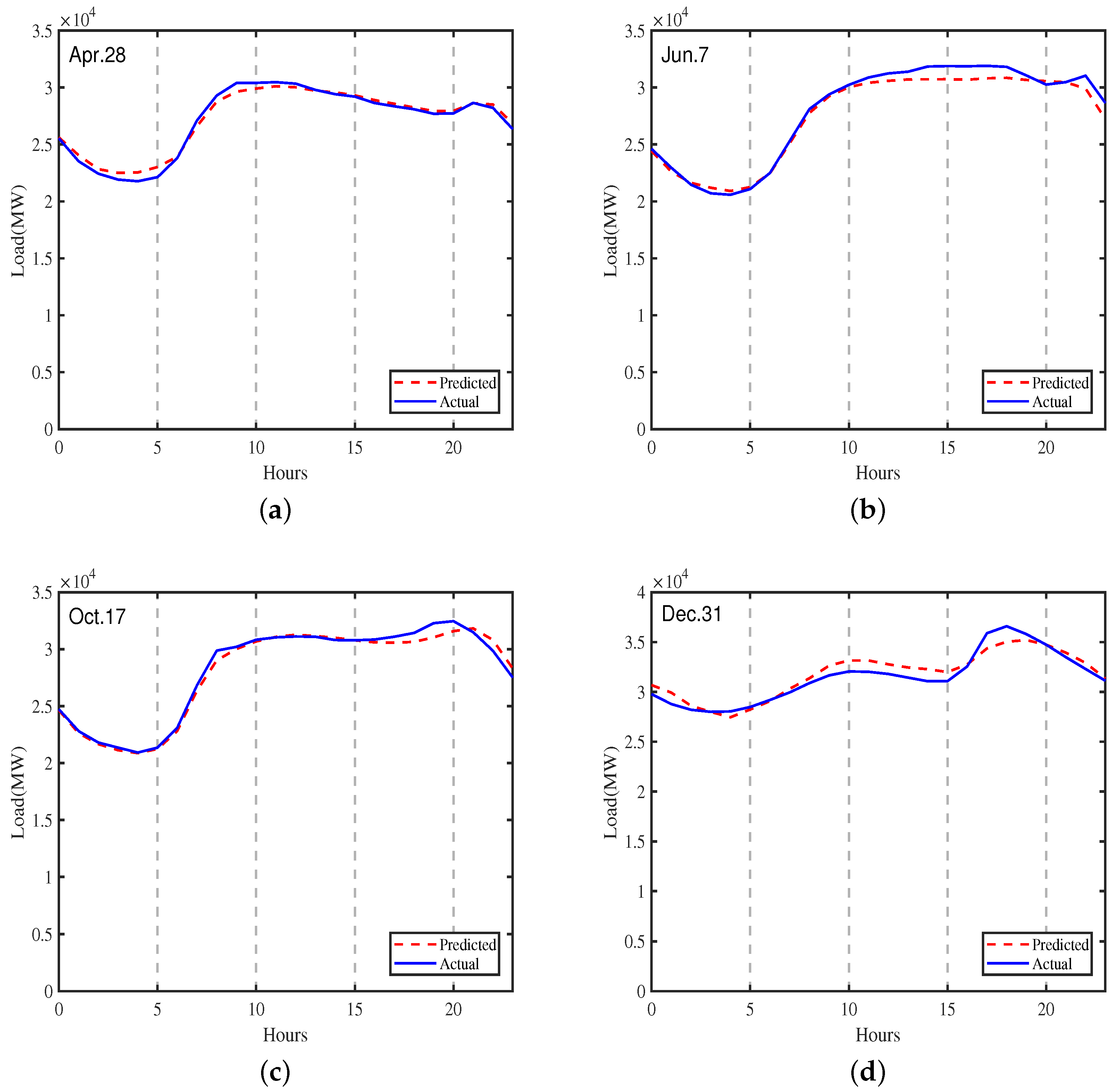
The load prediction results of PJM and RSF are given in Figure 4 and Figure 5. As can be seen, the forecast curve, obtained using a random forest algorithm, acceptably follows the real curve in the figures and only small deviations occur. Mean absolute percentage error (MAPE), as a well-known error measure for STLF, is presented in Table 2, which is defined as follows:
where is the forecast horizon; and indicate the actual and the forecast values of hour i.
Figure 4.
Predicted load and actual load for test days of PJM 2000. (a) Prediction for 28 April; (b) Prediction for 7 June; (c) Prediction for 17 October; (d) Prediction for 31 December.
Figure 5.
Predicted load and actual load for test days of the RSF building. (a) Prediction for 15 June 2011; (b) Prediction for 10 August 2011.
Table 2.
Comparison between the different methods for the prediction error of mean absolute percentage error (MAPE) (%).
In addition, in Table 2, comparisons are also given by using other prediction methods, namely artificial neural network (ANN) [40], support vector regression (SVR) [41], M5 model tree [31] and multiple linear regression (MLR) [42]. Table 2 shows that RF outperforms all other methods for the STLF. The result of RF has the lowest MAPE on all test days, indicating better forecast accuracy and stability.
5.3. DR Strategy Optimization
Two different cases are introduced in this section to verify the efficiency of the proposed MBCRF algorithm. Case 1 considers a DR response event during the peak load, and an optimal planning of the building for a single day is implemented in case 2.
Case 1
The RSF building is considered to participate a DR event on the 10 August, 2011 from 3:00 p.m. to 4:00 p.m. According to Algorithm 1 described in Section 4.4, a set of optimal control strategies can be obtained and the maximum reduction of load is provided. Firstly, the DR model tree is built on disturbance variables that contain weather, a time indicator and historical load from the building. Then, at each leaf node of the tree, a linear model is fitted by using controllable variables. There are three control variables to the designed system: the chilled water set-point, zone air temperature set-point and lighting level. During the DR event, a building management center determines the leaf that there is, and therefore, which linear regression model will be used on the basis of the disturbance inputs for that time slot. Then, solve the optimization problem in Equation (16) and determine the optimal values of the control variables to meet a sustained response while maintaining thermal comfort.
For this simulation, parameters , and in MBCRF are set at 100, 4 and 4, respectively. The model tree built by the MBCRF has 109 leaves and the 63rd leaf node is selected for the test hour, in which the linear regression model is fitted by the partial least squares method and is listed as follows:
where , and represent the set-point of chiller water, zone air temperature and lighting level, respectively. The constraints of these three controllable variables during the optimization process are set to 6–12 °C, 22–29 °C and [0.5,1], respectively.
The first item of the objective function in Equation (16) is a linear function and the second item is a quadratic function. In addition, all of the constraints are linear and the variables are continuous. Therefore, this issue is a typical convex optimization problem that can be addressed by the commercial CPLEX solver. Figure 6 shows the power consumption change of the RSF building using Algorithm 1 for the DR event. As seen from the figure, an anticipative curtailed response 40 kW is achieved over a period of one hour as compared to the baseline load estimation. A comparison is also made in the figure with the rule-based DR strategy, which is obtained from the DR application guide of Siemens (Munich, Germany) [43] and the set-point of chilled water, zone air temperature and lighting level are determined to 8.3 °C, 24.2 °C and 0.75, respectively. As can be seen from the figure, the proposed MBCRF algorithm achieves a 15% reduction, which is higher than 5.6% than the rule-based strategy. In addition, the thermal comfort is guaranteed. The optimal control strategies of demand response are also shown in Figure 7. During the DR event, the set-point of chilled water and indoor temperature are increased while the lighting level is turned down. A TOU electricity price in [17] is considered for the calculation of energy cost. Table 3 summarizes the cost and savings for different values of weighting factor . In this paper, empirical values of 0, 0.5, 1, 5, and 10 are considered for weighting factor like Ref. [17]. The thermal comfort will not be considered when is equal to zero. If the thermal comfort is not considered, a maximum cost savings will be obtained. With the increase of weight, the energy cost will be also increased.
Figure 6.
DR synthesis using the MBCRF algorithm for 10 August 2011.
Figure 7.
Optimal DR strategy as determined by the MBCRF algorithm.
Table 3.
Energy cost and saving for different weights of thermal comfort.
Case 2
In this case, an optimal scheduling for the horizon of one day is implemented. The objective is to minimize electricity bill of the end-user but not affect the occupants’ thermal comfort. The optimization problem is typically formulated as
where t stands for a time slot in one hour. is the electricity price. Index k represents the type of temperature, e.g., the temperature of chiller water and indoor temperature. is the actual or optimized temperature and represents the corresponding expected set-point of temperature. and denote the lower and upper bounds of power consumption, respectively.
The power consumption model at each time slot is learned by using the MBCRF algorithm, similar to Equation (18). In this simulation, the leaf nodes are selected for fitting relevant models shown in Figure 8. A day-ahead electricity price is considered from [19] and depicted in Figure 9. and are set to 110 kW and 280 kW, respectively. Other parameters are set uniformly in case 1.
Figure 8.
Linear model is selected for each time slot by the MBCRF algorithm.
Figure 9.
Day-ahead electricity price.
Based on the power consumption model learned by the MBCRF learning algorithm, the optimization problem in Equation (19) can be solved by CPLEX 12.8.0 under YALMIP toolbox with MATLAB R2017a. Figure 10 illustrates the power consumption with an MBCRF learning model and the corresponding set-points of temperature are shown in Figure 11. The results are solved with the weighting factor is equal to 5. As seen from these two figures, the load profile is changed including overall energy consumption reduction and peak load curtailment. In addition, the optimal set-point of chiller water and zone air temperature are consistent with the expected value, especially for the value of zone cooling temperature. Results indicate that occupants’ thermal comfort is guaranteed at the period of peak load reduction.
Figure 10.
Power consumption for the scheduling horizon of one day.
Figure 11.
The set-point of temperature for the scheduling of one day.
To further evaluate occupants’ thermal comfort in the proposed MBCRF algorithm, Predicted Mean Vote (PMV) is calculated in this case based on Fanger’s model [44]. The absolute PMV value of 0.5 is assumed as the limitation [28]. The case study is considered under summer conditions. Therefore, a constant air velocity is assumed to 0.2 m/s, and the clothing factor is 0.5 clo. The simplification of thermal comfortable equation [45] is used for the PMV calculation. The results for different weighting factors are given in Figure 12. It can be seen that the absolute value of PMV is almost within the limitation expect for is zero, where the thermal comfort is ignored in the objective function. When is equal to 0.5, 1 and 5, the corresponding PMV meets the limitation. However, the optimal zone cooling temperature has a large deviation from the desired set-point temperature when is equal to 0.5 and 1. The corresponding curves are given in Figure 13 and Figure 14. The optimal zone cooling temperature is close to a desired set-point temperature in Figure 11, for which is 5. Considering a trade-off among load curtailment, expected set-point temperature and thermal comfort, the weighting factor is determined in this paper.
Figure 12.
The value of PMV for different weighting factors in case 2.
Figure 13.
The set-point of zone cooling temperature with in case 2.
Figure 14.
The set-point of zone cooling temperature with in case 2.
6. Conclusions and Future Work
Based on the tree model, the MBCRF learning algorithm is developed in this paper for demand response that the comprehensive energy consumption model of the building is learned among various features. The desired load curtailment and occupants’ thermal comfort are achieved by the proposed MBCRF algorithm. A linguistic if-then rules based optimal feature selection framework is also utilized and demonstrated. The baseline load prediction for PJM electricity market and RSF building is implemented by the random forest method. Comparing with ANN, SVR, M5 model tree and MLR, the forecast error is as low as 1.28%. The optimal control strategies for the building are solved by the MBCRF algorithm and energy cost saving is achieved by 4.8–12.2% with different values of weighting factor considering thermal comfort. The peak load reduction is up to 40 kW, which achieves a 15% curtailment and outperforms rule-based DR by 5.6%. The evaluation shows that MBCRF gets higher forecasting precision and provides promising DR curtailment responses. Furthermore, the proposed algorithm is capable of achieving an optimal operation and energy management for the building.
Although the results show that occupants’ thermal comfort can be maintained, a more comprehensive model is also worthwhile to study the Fanger’s model in the future. Another exploratory direction is to research the integration with renewable energy sources in the building, especially for wind power and solar energy that are environmentally friendly. The natures of intermittency and variability are necessary to research.
Author Contributions
All of the authors participated equally and contributed to the final manuscript. Y.L. and J.W. developed the methodology and wrote the manuscript. Q.Z. designed the case studies and analyzed the results. Y.H. thoroughly revised the paper and participated in the discussion of the work.
Funding
This work is jointly supported by the National Key Research and Development Program of China (2016YFB0901900), the Natural Science Foundation of Hebei Province of China (F2017501107), the Open Research Fund from the State Key Laboratory of Rolling and Automation, Northeastern University (2017RALKFKT003) and the Ph.D. Foundation of Northeastern University at Qinhuangdao with No. XNB201803 and No. XNK201603.
Conflicts of Interest
The authors declare no conflict of interest.
Nomenclature
| Abbreviations | |
| DR | demand response |
| HVAC | heating, ventilation and air-conditioning |
| CSP | curtailment service provider |
| IBP | incentive-based program |
| PBP | price-based program |
| DLC | direct load control |
| I/C | interruptible/curtailable |
| TOU | time of use |
| CPP | critical peak pricing |
| RTP | real time pricing |
| RL | reinforcement learning |
| CART | classification and regression tree |
| RF | random forest |
| OOB | out-of-bag |
| OOBError | out-of-bag error |
| VIM | variable importance measurement |
| MAPE | mean absolute percentage error |
| MBCRF | model based control with random forest |
| STLF | short-term load forecasting |
| ICT | information communication technology |
| PJM | Pennsylvania–Jersey–Maryland |
| NREL | National Renewable Energy Laboratory |
| RSF | research and support facility |
| ANN | artificial neural network |
| SVR | support vector regression |
| MLR | multiple linear regression |
| PMV | predicted mean vote |
| Variables & Parameters | |
| estimation of baseline load | |
| predicted power response in DR programming | |
| feature vector i of a training set | |
| d-th feature in a feature vector | |
| label of sample i, for the case of STLF, is the actual load | |
| predicted of sample i, for the case of STLF, is the predicted load | |
| the load at time | |
| k type temperature at time t | |
| expected set-point of temperature | |
| day-ahead electricity price at time t | |
| set of controllable variables | |
| set of disturbance variables | |
| set of optimal decision variables | |
| fitting coefficients | |
| weight of thermal comfort | |
| lower bound of power consumption | |
| upper bound of power consumption | |
| number of trees in the forest | |
| number of splitting features in the forest | |
| minimum number of leaf nodes | |
References
- Christantoni, D.; Oxizidis, S.; Flynn, D.; Finn, D.P. Implementation of demand response strategies in a multi-purpose commercial building using a whole-building simulation model approach. Energy Build. 2016, 131, 76–86. [Google Scholar] [CrossRef]
- DOE US. Buildings Energy Data Book; DOE US: Washington, DC, USA, 2013.
- Gao, D.C.; Sun, Y.J. A GA-based coordinated demand response control for building group level peak demand limiting with benefits to grid power balance. Energy Build. 2016, 110, 31–40. [Google Scholar] [CrossRef]
- Federal Energy Regulatory Commission. Assessment of Demand Response and Advanced Metering; Federal Energy Regulatory Commission: Washington, DC, USA, 2012.
- Shariatzadeh, F.; Mandal, P.; Srivastava, A.K. Demand response for sustainable energy systems: A review, application and implementation strategy. Renew. Sust. Energy Rev. 2015, 45, 343–350. [Google Scholar] [CrossRef]
- Xue, X.; Wang, S.W.; Yan, C.C.; Cui, B.R. A fast chiller power demand response control strategy for buildings connected to smart grid. Appl. Energy 2015, 137, 77–87. [Google Scholar] [CrossRef]
- Goddard, G.; Klose, J.; Backhaus, S. Model development and identification for fast demand response in commercial HVAC systems. IEEE Trans. Smart Grid 2014, 5, 2084–2092. [Google Scholar] [CrossRef]
- Ma, Z.; Billanes, J.D.; Jørgensen, B.N. Aggregation potentials for buildings—business models of demand response and virtual power plants. Energies 2017, 10, 1646. [Google Scholar] [CrossRef]
- Khan, A.R.; Mahmood, A.; Safdar, A.; Khan, Z.A. Load forecasting, dynamic pricing and DSM in smart grid: A review. IEEE Trans. Smart Grid 2016, 54, 1311–1322. [Google Scholar] [CrossRef]
- Ji, H.Y.; Baldick, R.; Novoselac, A. Dynamic demand response controller based on real-time retail price for residential buildings. IEEE Trans. Smart Grid 2014, 5, 121–129. [Google Scholar] [CrossRef]
- Asadinejad, A.; Tomsovic, K. Optimal use of incentive and price based demand response to reduce costs and price volatility. Electr. Power Syst. Res. 2017, 144, 215–223. [Google Scholar] [CrossRef]
- Gao, D.C.; Sun, Y.; Lu, Y. A robust demand response control of commercial buildings for smart grid under load prediction uncertainty. Energy 2015, 93, 275–283. [Google Scholar] [CrossRef]
- Samadi, P.; Mohsenian-Rad, H.; Wong, V.W.S.; Schober, R. Tackling the load uncertainty challenges for energy consumption scheduling in smart grid. IEEE Trans. Smart Grid 2013, 4, 1007–1016. [Google Scholar] [CrossRef]
- Dupont, B.; Dietrich, K.; Jonghe, C.D.; Ramos, A.; Belmans, R.; Dong, F.G. Impact of residential demand response on power system operation: A Belgian case study. Appl. Energy 2014, 122, 1–10. [Google Scholar] [CrossRef]
- Beil, I.; Hiskens, I.; Backhaus, S. Frequency regulation from commercial building HVAC demand response. Proc. IEEE 2016, 104, 745–757. [Google Scholar] [CrossRef]
- Zhou, Z.; Zhao, F.; Wang, J. Agent-based electricity market simulation with demand response from commercial buildings. IEEE Trans. Smart Grid 2011, 2, 580–588. [Google Scholar] [CrossRef]
- Li, X.W.; Malkawi, A. Multi-objective optimization for thermal mass model predictive control in small and medium size commercial buildings under summer weather conditions. Energy 2016, 112, 1194–1206. [Google Scholar] [CrossRef]
- Behl, M.; Smarra, F.; Mangharam, R. A data-driven demand response recommender system. Appl. Energy 2016, 170, 30–46. [Google Scholar] [CrossRef]
- Zhang, D.; Li, S.; Sun, M.; Neill, Z.O. An optimal and learning-based demand response and home energy management system. IEEE Trans. Smart Grid 2016, 7, 1790–1801. [Google Scholar] [CrossRef]
- Bahrami, S.; Wong, V.W.S.; Huang, J.W. An online learning algorithm for demand response in smart grid. IEEE Trans. Smart Grid 2018, 9, 4712–4725. [Google Scholar] [CrossRef]
- Ruelens, F.; Claessens, B.J.; Vandael, S.; Schutter, B.D.; Babuška, R.; Belmans, R. Residential demand response of thermostatically controlled loads using batch reinforcement learning. IEEE Trans. Smart Grid 2017, 8, 2149–2159. [Google Scholar] [CrossRef]
- Lu, R.Z.; Hong, S.H.; Zhang, X.F. A dynamic pricing demand response algorithm for smart grid: reinforcement learning approach. Appl. Energy 2018, 220, 220–230. [Google Scholar] [CrossRef]
- Ahmed, M.S.; Mohamed, A.; Homod, R.Z.; Shareef, H. Hybrid LSA-ANN based home energy management scheduling controller for residential demand response strategy. Energies 2016, 9, 716. [Google Scholar] [CrossRef]
- Jain, A.; Mangharam, R.; Behl, M. Data predictive control for peak power reduction. In Proceedings of the 3rd ACM Conference on Systems for Energy-Effcient Built Environments, Stanford, CA, USA, 15–17 November 2016. [Google Scholar]
- Guo, Y.B.; Wang, J.Y.; Chen, H.X.; Li, G.N.; Liu, J.Y.; Xu, C.L.; Huang, R.; Huang, Y. Machine learning-based thermal response time ahead energy demand prediction for building heating systems. Appl. Energy 2018, 221, 16–27. [Google Scholar] [CrossRef]
- Grygierek, K.; Ferdyn-Grygierek, J. Multi-objective optimization of the envelope of building with natural ventilation. Energies 2018, 11, 1383. [Google Scholar] [CrossRef]
- Ascione, F.; Bianco, N.; Stasio, C.D.; Mauro, G.M. CASA, cost-optimal analysis by multi-objective optimisation and artificial neural networks: A new framework for the robust assessment of cost-optimal energy retrofit, feasible for any building. Energy Build. 2017, 146, 200–219. [Google Scholar] [CrossRef]
- Grygierek, K.; Ferdyn-Grygierek, J. Multi-objectives optimization of ventilation controllers for passive cooling in residential buildings. Sensors 2018, 18, 1144. [Google Scholar] [CrossRef] [PubMed]
- Breiman, L. Random forests. Mach. Learn. 2001, 45, 5–32. [Google Scholar] [CrossRef]
- Breiman, L.; Friedman, J.H.; Olshen, R.A.; Stone, C.J. Classification and Regression Trees; Wadsworth International Group: Belmont, CA, USA, 1984. [Google Scholar]
- Quinlan, J.R. Learning with continuous classes. In Proceedings of the 5rd Australian joint conference on artificial intelligence, Singapore, 16–18 November 1992. [Google Scholar]
- Wang, Y.; Witten, I.H. Induction of Model Trees for Predicting Continuous Classes; (Working paper 96/23); University of Waikato, Department of Computer Science: Hamilton, New Zealand, 1996. [Google Scholar]
- Alajmi, A.F.; Baddar, F.A.; Bourisli, R.I. Thermal comfort assessment of an office building served by under-floor air distribution (UFAD) system e A case study. Build. Environ. 2015, 85, 153–159. [Google Scholar] [CrossRef]
- Zhang, R.X.; Chu, X.D.; Zhang, W.; Liu, Y.T. Active participation of air conditioners in power system frequency control considering users’ thermal comfort. Energies 2015, 8, 10818–10841. [Google Scholar] [CrossRef]
- Ku, K.L.; Liaw, J.S.; Tsai, M.Y.; Liu, T.S. Automatic control system for thermal comfort based on predicted mean vote and energy saving. IEEE Trans. Autom. Sci. Eng. 2015, 12, 378–383. [Google Scholar] [CrossRef]
- Hurtado, L.A.; Rhodes, J.D.; Nguyen, P.H.; Kamphuis, I.G.; Webber, M.E. Quantifying demand flexibility based on structural thermal storage and comfort management of non-residential buildings: A comparison between hot and cold climate zones. Appl. Energy 2017, 195, 1047–1054. [Google Scholar] [CrossRef]
- Althaher, S.; Mancarella, P.; Mutale, J. Automated demand response from home energy management system under dynamic pricing and power and comfort constraints. IEEE Trans. Smart Grid 2015, 6, 1874–1883. [Google Scholar] [CrossRef]
- PJM Electricity Market, Hourly Load Data. Available online: https://www.pjm.com/ (accessed on 23 October 2018).
- National Renewable Energy Laboratory, RSF Measured Data 2011. Available online: https://openei.org/datasets/dataset/nrel-rsf-measured-data-2011 (accessed on 23 October 2018).
- Hernandez, L.; Baladron, C.; Aguiar, J.M.; Carro, B.; Sanchez-Esguevillas, A.; Lloret, J. Artificial neural networks for short-term load forecasting in microgrids environment. Energy 2014, 75, 252–264. [Google Scholar] [CrossRef]
- Yang, Y.L.; Che, J.X.; Li, Y.Y.; Zhao, Y.J.; Zhu, S.L. An incremental electric load forecasting model based on support vector regression. Energy 2016, 113, 796–808. [Google Scholar] [CrossRef]
- Dudek, G. Pattern-based local linear regression models for short-term load forecasting. Electr. Power Syst. Res. 2016, 130, 139–147. [Google Scholar] [CrossRef]
- SIEMENS. Automated Demand response Using openADR: Application Guide; SIEMENS: Munich, Germany, 2011. [Google Scholar]
- Fanger, P.O. Thermal Comfort; Danish Technical Press: Copenhagen, Denmark, 1970. [Google Scholar]
- Han, X.; GUO, X.S.; Li, Y.; Liu, Y.H. Simplification of thermal comfortable equation. J. PLA Univ. Sci. Technol. (Nat. Sci. Ed.) 2011, 6, 663–666. [Google Scholar] [CrossRef]
© 2018 by the authors. Licensee MDPI, Basel, Switzerland. This article is an open access article distributed under the terms and conditions of the Creative Commons Attribution (CC BY) license (http://creativecommons.org/licenses/by/4.0/).













