Abstract
This paper reports the results of a parametric study on the characteristics of electromagnetic (EM) waves propagated due to surface- and cavity-type partial discharges (PD) in materials using the finite-difference time domain (FDTD) method. First, the EM waves emitted by such discharges in material samples were measured using a broadband aperture antenna. The measurements showed that the frequency range of the measured signals lay within the ultra-high frequency (UHF) range, suggesting that by carefully choosing the UHF antenna characteristics and its location it might be possible to apply this method to characterize the PD-emitted waves; and hence, to potentially use it to detect and monitor PD defects. In this context, the FDTD simulations were used here to simulate the experimental set-up and examine the propagation characteristics of EM waves emitted by such discharges under uniform and non-uniform test electrode configurations. Using an approximation of the exciting PD current pulses, the electromagnetic field components and the voltage signals captured on a simulated monopole sensor were computed in the time domain at various locations. To explore the limits of the application of the UHF method for detecting these PD types, a parametric study was carried out to clarify how the captured signals are influenced by the PD intensity, the frequency content of the exciting PD pulse, the type of insulation material, the dimensions and the position of the UHF antenna. One of the challenges that needs further investigation is the accurate simulation of the actual PD current pulse produced by such discharges, and hence its frequency content, as there is limited or no measured data available. The results showed that while the amplitude of the captured EM signals increase with the PD intensity, no appreciable signal is detected when the PD pulse width is higher than about 4ns, which may not occur often in unbounded air insulated systems. Equally important is the location and orientation of the UHF sensor—the results showed improved sensitivity when the sensor is vertically polarized and placed in close proximity in the lateral direction with reference to the discharge path.
1. Introduction
Partial discharge (PD) is known to be one of the key factors affecting the operation of electric power equipment. Its detection has been, and continues to be a priority for utilities in asset management strategies for ensuring plant life longevity. PD occurs as a result of long-term operating electrical and environmental factors stressing equipment insulation and is characterized by small, high-frequency currents that are difficult to detect by standard substation instrumentation. The topic of PD detection and measurement has long attracted the interest of researchers, and current international standards [1] give recommendations for the measurement of different types of PD and help with the diagnosis of defects associated with them. One of the electrical methods that has been the focus of research interest is the UHF method, which is based on the measurement of electromagnetic waves generated by PD and propagating in the surrounding medium. A substantial amount of work has been published on this method, mainly with respect to PD detection in gas-insulation systems (GIS) [2,3,4,5,6,7,8,9]. Researchers have used a variety of sensors, in the form of discs [6] or broadband antennas to measure the PD-emitted signals [7,8,9]. However, there is limited research on using UHF sensors for the measurement of PD in systems other than GIS, for example, PD occurring inside solid insulation cavities, surface discharge in cable terminations, cable joints and outdoor insulation. Equally, theoretical simulation of PD using numerical techniques has been at the center of researchers’ interest for many years. It has often been used to model the propagation characteristics of partial discharge in GIS [10,11,12,13,14,15], but some researchers have also used it to study PD phenomena in power transformers [16] and surface discharge in air [17]. It is also a useful tool for designing and calibrating UHF sensors for PD measurement [18,19].
In this paper, the characteristics of the EM signals emitted by surface discharge in air and a cavity discharge in different insulation samples were investigated using FDTD simulations. This work builds on an initial study carried out by the authors on surface discharge [17], and extends to include the analysis of EM waves emitted by cavity discharges occurring in insulation samples of different permittivities. A summary of the measured data obtained on real samples tested in laboratory test cells to simulate both types of discharge is presented. The detection of EM signals generated by PD in air using UHF sensors is particularly challenging considering the low-magnitudes of emitted signals that are embedded in a noisy environment and the relatively long pulse risetimes associated with them. These can occur, for example, on the surface of outdoor insulators and bushings, in cable joints and cable terminations and their detection depends on several parameters. In the present study, several parameters were varied: (i) those related to the discharge including the PD intensity, its pulse width and path size, and (ii) those related to the UHF sensor characteristics including its geometry, frequency band, sensitivity, and location with respect to the discharge source. A parametric study was performed where most of the above parameters were varied within practical ranges and their effect on the signals captured on a UHF sensor were analyzed. Square-shaped cross-linked polyethylene (XLPE), Teflon and Acrylic samples with different thicknesses placed between uniform and non-uniform field electrode configurations were considered. The results highlight, on one hand, some of the limits imposed by the discharge itself, and on the other hand, the required UHF sensor characteristics and location that give measurable signals.
2. PD Measurement Using the UHF Method
Partial discharge measurements were carried out to study the frequency characteristics of EM signals emitted by the discharge. For this purpose, two types of PD were generated: surface discharge on XLPE, Teflon and acrylic samples, and cavity discharge on XLPE samples of different thicknesses. The former was created under uniform and non-uniform field electrode configurations. The PD measurements were carried out using the IEC 60270 method, the 40MHz HFCT and the UHF method simultaneously. Figure 1 shows the experimental set-up, with the test cells used for the uniform and non-uniform electrode gaps showing material samples in the insert. The UHF signals were captured using a Schwarzbeck 1/4λ double ridge aperture antenna with a frequency band between 0.8GHz and 5 GHz, and a 120 MHz–900 MHz monopole antenna to capture the lower UHF range signals. This section summarises the frequency characteristics of the signals measured with the aperture antenna. The details of the test results for the other methods and their analyses will be reported separately. Figure 2a shows examples of measured time domain UHF signals generated by a surface discharge when a 9.2 kV AC voltage was applied across the non-uniform gap with a 6-mm thick Teflon sample in between. The UF sensor was vertically polarized (i.e., such that the E-field is parallel to the double ridge of the antenna) and located at two different horizontal distances and one vertical distance from the test object.
Figure 1.
Experimental set-up for partial discharge (PD) measurement.

Figure 2.
Examples of surface discharge signals measured using the ultra-high frequency (UHF) sensor: (a) time domain signals (b) noise level and (c) frequency spectra.
The frequency spectrum of the noise level (Figure 2b) and that of the measured signals shown in Figure 2c confirm the frequency range of the EM signals emitted by the surface discharge. Peaks detected at 0.9 GHz, 1.85 GHz and 2.5 GHz are superimposed GSM and long-term evolution (LTE) signals. The results show that the UHF detection can be improved by placing the sensor closer to the discharge source in a horizontal direction. Signals produced by a cavity discharge were measured by using a specially made XLPE block samples with a needle-plane electrode system and were also found to be within the UHF band.
3. Surface Discharge Simulation Using the FDTD Method
3.1. FDTD Principle
The FDTD method is a powerful electromagnetic simulation tool that has been extensively used for studying radio wave propagation in multiple media. Maxwell’s equations in the time domain are solved using finite-difference time approximations. Since the electric and magnetic fields are related in time and space, both space segmentation and time stepping are required. Space segmentation takes the form of box-shaped cells whose size are constrained by the wavelength of the EM excitation signals, and its maximum must be less than 1/10 of the smallest wavelength for greater accuracy, giving , where c is the velocity of light and f the frequency. For propagation in insulation materials, c is reduced and sol the cell size will be reduced. The electric field (E) and magnetic field (H) components are staggered, with the E-field components centered on the edges of the box and the H-field components centered on the faces to form what is known as the Yee cell [19], as shown in Figure 3. The modelled volume space, including any material constituting the model is built by interconnection of these cells, forming the FDTD mesh.
Figure 3.
The Yee cell with the labelled field components.
Time stepping is achieved by quantizing time into small steps equal to the time required for the field to travel from one cell to the next. Like the E-field and H-field are offset in space, their values are also offset in time. These field values are updated using a centered-difference approximation leapfrog scheme where the electric fields and then the magnetic fields are computed at each step in time. In this work, the XFdtd® simulation package [20] was used to simulate the PD excitation source, the electrode assembly, the insulation sample with the location and extent of the discharge, and the UHF sensor. The excitation is introduced by applying a sampled waveform at one location. At each step in time, the value of the waveform is used to compute the field value. The surrounding fields propagate throughout the FDTD mesh depending on the characteristics of each cell and the material properties. The field computations continue until a state of convergence is reached. In this study, this is set by either specifying the threshold below which the computed fields decay (around −30 dB in this application) or setting a maximum number of iterations. The extent of outer boundaries and the associated boundary conditions, the cell size and simulation time are set according to the modelled problem.
3.2. PD Current Source and Point Sensor
The PD current can be represented by a pulse whose magnitude and risetime depend on various factors such as the PD type, its intensity and speed of propagation, and the surrounding medium. For example, typical risetimes of a protrusion PD in oil range between 0.7 ns and 2.0 ns, whereas a floating particle produces PD pulses having risetimes in the range 2.5–2.7 ns, and bad contact defects produce pulses up to 17 ns [1]. These PD pulses have spectra in the UHF frequency range of 300–3000 MHz [7].
In this work, a current filament having a Gaussian shape defined by Equation (1) was used to simulate the PD source [21].
where Imax = magnitude of the peak current and σ = pulse width measured at half of the maximum value. The PD current is expressed in the frequency domain as:
The pulse rise time (T) of the Gaussian pulse is the time required for signal magnitude to change from 10% to 90% and is calculated as
Figure 4 shows examples of Gaussian pulses of different risetimes and their respective frequency spectra.

Figure 4.
Examples of Gaussian pulses (a) and their respective frequency spectra (b).
The PD excitation is represented by a current filament which extends over several FDTD segments that determine the PD path (Figure 5). The filament is oriented horizontally in the positive y-axis direction 0.5 mm above the insulating surface. The source of this filament is assumed to be a current source component having 50 Ω output impedance. A Gaussian type waveform with a given pulse width and amplitude is associated with this source to excite the frequencies up to the upper limit of the UHF range. A “point sensor”, which is a data storage facility, is used to store the computed field and current density values at any desired location within the FDTD mesh. The field values returned by this point sensor can be at the edges of the cells if the point sensor location is snapped to the FDTD grid, or extrapolated if it is between two edges.
Figure 5.
Simulated current filament.
3.3. UHF Sensor and Probe Coupler
The UHF sensor is modelled by a monopole antenna with a 50 Ω coupler located vertically to the ground plane, in the positive y-direction with respect to the discharge location. The 50-Ω probe coupler is matched to the current source to avoid wave reflections. The sensor length should be within the scope of the entire computing spectrum and should be chosen depending on the frequencies excited by the PD pulse.
3.4. Surface Discharge Model
Figure 6 shows the non-uniform point-plane configuration model used for simulating the surface discharge. A similar configuration consisting of two circular electrode plates is used to create a uniform field condition. The high voltage and ground electrodes are made of stainless steel. The insulator sample, a 90 mm × 90 mm square having variable thickness, is placed symmetrically between them, i.e., with its axis of symmetry coincident with the electrode’s vertical axis. The vertical lines on the positive y-axis direction show the UHF sensor placed at different distances, with variable length and height. The reference simulation values are taken as: (i) pulse width, 0.4 ns, (ii) pulse amplitude, 1 A, (iii) PD source length, 10 mm and (iv) sensor length, 80 mm.
Figure 6.
Point-plane configuration.
4. Results of Surface Discharge Simulations
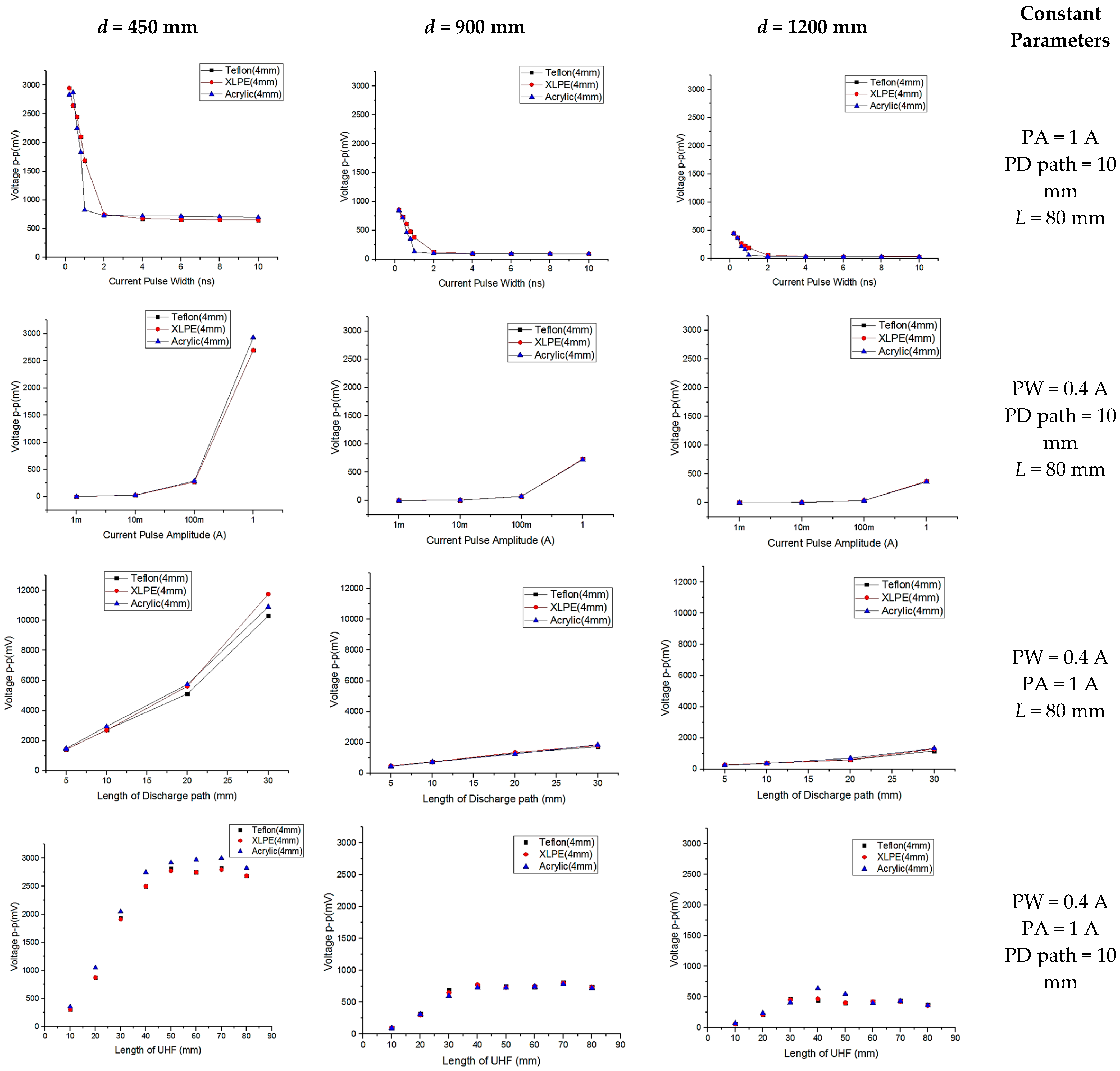
In this section, the PD pulse width (PW), its amplitude (PA), and its path length are parameterized at each computation sequence for a given sensor location and length. The sensor location and length are then varied in sequence to complete the parametric computation. An example of the time-domain voltage signal across the antenna sensor placed at a distance 900 mm from the origin of the discharge is shown in Figure 7 for different pulse widths for the XLPE material sample. For fast-rising pulses, the captured signals are large but attenuate very quickly, whereas for slower pulses the signals are much smaller. The time delays observed between the waveforms are due to the different times of arrival of EM waves at the sensor. The maximum peak-to-peak value of the waveform is taken in what follows as the amplitude of the captured sensor signal, and represents the PD intensity. It was found that the amplitudes of the signals computed with the three different sample materials having the same dimensions did not reveal any appreciable differences, as shown in the example of Figure 8, except in a few cases which will be discussed later. This was the case over the entire range of parameter values considered in this study. For a given sequence, one parameter was varied and all other parameters were kept constant at their reference values. The results are grouped in Figure 9 and Figure 10 for the non-uniform and uniform electrode configuration, respectively, and for three different sensor locations, represented by distance (d). The first conclusion from these results is that signals in the non-uniform point-plane configuration (Figure 9) have higher amplitudes than those measured in the uniform plane-plane configuration (Figure 10). Furthermore, it was found that locating the sensor along the vertical axis (i.e., at a distance above or below the PD source) produces smaller signal amplitudes compared with the horizontal y-axis location—only the results related to the latter are shown here.
Figure 7.
Sensor voltage for different pulse widths, sensor location d = 900 mm.
Figure 8.
Effect of current pulse width on the sensor signal for three different materials (d = 450 mm).
Figure 9.
Results of the parametric study, surface discharge, non-uniform field electrode configuration.
Figure 10.
Results of parametric study, surface discharge, uniform field electrode configuration.
4.1. Effect of PD Pulse Width
The top row of three graphs in Figure 9 and Figure 10 show the effect of varying the PD pulse width on the sensor signal amplitude voltage while keeping the pulse amplitude, the length of the PD source and the length of the UHF sensor at their base values. As can be seen, the amplitude of the emitted signal is strongly affected by the pulse width. For a given PD pulse width of 2 ns or less, and with the uniform electrode configuration (Figure 10), the signals emitted by Acrylic samples are smaller compared to Teflon and XLPE samples, whereas for the non-uniform field configuration, the signals are approximately equal for all material samples. When the pulse width becomes larger than about 4 ns, their frequency spectrum narrows, and hence it becomes more difficult to detect their radiated signals within the UHF frequency spectrum. Further investigation is needed to clarify the apparently non-linear decrease in signals amplitudes with pulse width. This presents a challenge in unbounded systems such as surface discharge in outdoor insulation or corona discharge in air. As expected, the signal amplitudes for all samples decrease as the sensor distance increases from the PD source.
4.2. Effect PD Intensity
The results presented in the second row of Figure 8 and Figure 9 show that pulse amplitudes below 10 mA emit hardly detectable signals. A steady increase in pulse amplitude with PD intensity can be seen within the range between 10 mA and 100 mA. However, this increase becomes much steeper when the current increases between 100 mA to 1 A. These signals of course depend in practice on the discharge intensity, which is related to the amount of charge deposited, and the speed of its progression along the surface path. Discharge paths are usually not uniform and their progress is affected by other interfacial and surface condition factors. Multiple discharges of different intensities can also originate from different locations on the insulation surface and may be simultaneous or time delayed, with their associated EM waves appearing as complex superimposed signals on the UHF sensor.
4.3. Effect of Length of the Discharge Path
The length of the current filament determines the discharge path over which the charge is deposited. The results presented in the third row of Figure 9 and Figure 10 show a proportional increase in UHF signal magnitude with the PD path for a given pulse width and intensity. With the shortest UF sensor distance, XLPE showed slightly lower signal magnitudes compared with Teflon and Acrylic for the non-uniform field configuration (Figure 9). For the uniform field configuration, the Teflon samples showed the smallest magnitudes, with the difference between materials increasing for higher intensity discharges.
4.4. Effect of the Length of the UHF Sensor
The length of the sensor was varied from 10 to 80 mm. The graphs in the bottom rows of Figure 9 and Figure 10 show an increase in signal amplitude with UHF sensor length up to a certain value. The sensor length should be smaller than this, and in any case, it should be smaller than the minimum wavelength (λmin) of the EM waves excited by the PD pulse. Since this is related to the PD pulse width, which is 0.4 ns in this case, the sensor length should be much less than λmin = 120 mm. Clearly, satisfactory measurements can be achieved for lengths of 30 mm or less for all three positions. Beyond this length, there is no benefit in obtaining reflection-free signals.
5. Cavity Discharge Simulation Results
The cavity discharge was simulated by introducing a current filament flowing in the vertical direction in the middle of the XLPE sample. The PD path was varied between the minimum value of 1.5 mm, constrained by the FDTD cell size within the material, and the maximum value of 2.5 mm was constrained by the sample thickness. The non-uniform field, point-plate electrode configuration was used for this analysis. Figure 11 shows examples of typical time-domain signals generated by a 1-A pulse, with a width of 1 ns and a path length of 2 mm, demonstrating the need to place the UHF sensor closer to the discharge for increased sensitivity.
Figure 11.
Typical time-domain signals captured by the UHF sensor, cavity discharge, pulse width = 1 ns, pulse path = 2 mm, Pulse amplitude = 1 A.
The main parameters that were varied in this case are the pulse width, the PD pulse path and the UHF sensor location. The PD pulse amplitude was kept constant at 1 A. The results for two different UHF sensor positions are shown in Figure 12. First, it should be noted that the amplitudes of the radiated signals from the cavity discharge are much smaller than those obtained with surface discharge. This is because the EM waves propagate through the XLPE insulation and the surrounding air medium, which causes further attenuation. In practice, additional attenuation due to metallic enclosures in cable joints and cable metallic sheaths makes the detection of PD from internal cavities even more challenging because they shield the EM waves from the outside medium. The results show signal amplitudes increasing with PD path, with the highest increase being associated with fast PD pulses. A combination of measurements and FDTD simulations would enable a better understanding of the cavity discharge characteristics, such as deducing the PD pulse shape that would best fit the measurement results.
Figure 12.
Computed signal amplitudes for the cavity discharge, partial discharge (PD) pulse amplitude = 1 A, UHF sensor positions (a) d = 200 mm (b) 500 mm.
6. Conclusions
The characteristics of EM waves emitted by surface discharge and cavity discharge were studied using FDTD simulations. Laboratory measurements using test cells designed to simulate these two types of discharge showed that the frequencies over which these discharges excite EM waves lie within the UHF range. The FDTD simulations were then used as computational tool to investigate the use of a UHF sensor for measuring EM waves emitted by such discharges. This allowed various parameters related to both the discharge characteristics and the sensor characteristics to be varied and their influence on the measured signals clarified. The results showed the limits of using a monopole UHF sensor for this type of measurement, highlighting the importance of characterizing the PD pulse on one hand, and the choice of the sensor size and location on the other. These type of studies are of great help in understanding the propagation characteristics of EM waves for PD, and for designing UHF sensors destined for these types of measurements.
Author Contributions
Conceptualization, N.H., H.G. and B.B.; methodology, N.H. and B.B.; software, A.L.; validation, N.H., H.G. and B.B. formal analysis, N.H. and H.G.; investigation, A.L.; data curation, A.L.; writing—A.L. and N.H.; writing—review and editing, N.H., H.G.; supervision, N.H. and H.G. and B.B.; project administration, N.H.
Funding
This research received no external funding.
Conflicts of Interest
The authors declare no conflict of interest.
References
- International Electrotechnical and Commission. IEC International Standard 60270: High Voltage Test Techniques—Partial Discharge Measurements, 3rd ed.; IEC: Geneva, Switzerland, 2000. [Google Scholar]
- Judd, M.D.; Hampton, B.F.; Farish, O. Modelling partial discharge excitation of UHF signals in waveguide structures using Green’s functions. IEEE Proc. Sci. Meas. Technol. 1996, 143, 63–70. [Google Scholar] [CrossRef]
- Zhan, H.M.; Liu, Y.Z.; Zheng, S.S. Study on the Disc Sensor Based on the Cavity Mold Theory. IEEE Sens. J. 2016, 16, 5277–5282. [Google Scholar]
- Shibuya, Y.; Matsumoto, S.; Tanaka, M.; Muto, H.; Kaneda, Y. Electromagnetic waves from partial discharges and their detection using patch antenna. IEEE Trans. Dielectr. Electr. Insul. 2010, 17, 862–871. [Google Scholar] [CrossRef]
- Tang, J.; Xu, Z.R.; Zhang, X.X.; Sun, C.X. GIS partial discharge quantitative measurements using UHF microstrip antenna sensors. In Proceedings of the 2007 Annual Report—Conference on Electrical Insulation and Dielectric Phenomena, Vancouver, BC, Canada, 14–17 October 2007. [Google Scholar] [CrossRef]
- Khotimah, K.; Khayam, U. Design of Dipole Antenna Model for Partial Discharge Detection in GIS. In Proceedings of the 2015 International Conference on Electrical Engineering and Informatics (ICEEI), Denpasar, Indonesia, 10–11 August 2015; pp. 186–191. [Google Scholar]
- Reid, A.J.; Judd, M.D.; Fouracre, R.A.; Stewart, B.G.; Hepburn, D.M. Simultaneous measurement of partial discharges using IEC60270 and radio-frequency techniques. IEEE Trans. Dielectr. Electr. Insul. 2011, 18, 444–455. [Google Scholar] [CrossRef]
- Tenbohlen, S.; Denissov, D.; Hoek, S.; Markalous, S.M. Partial discharge measurement in the ultra-high frequency (UHF) range. IEEE Trans. Dielectr. Electr. Insul. 2008, 15, 1544–1552. [Google Scholar] [CrossRef]
- Judd, M.D.; Yang, L.; Hunter, I.B.B. Partial discharge monitoring of power transformers using UHF sensors. Part I: Sensors and signal interpretation. IEEE Electr. Insul. Mag. 2005, 21, 5–14. [Google Scholar] [CrossRef]
- Judd, M.D. Using finite difference time domain techniques to model electrical discharge phenomena. In Proceedings of the 2000 Annual Report Conference on Electrical Insulation and Dielectric Phenomena, Victoria, BC, Canada, 15–18 October 2000; pp. 518–521. [Google Scholar]
- Rong, M.Z.; Li, T.H.; Wang, X.H.; Liu, D.X.; Zhang, A.X. Investigation on Propagation Characteristics of PD-induced Electromagnetic Wave in T-Shaped GIS Based on FDTD Method. IEICE Trans. Electron. 2014, 97, 880–887. [Google Scholar] [CrossRef]
- Ohki, H.; Nagaoka, N.; Takeuchi, M.; Tanahashi, D.; Okada, N.; Baba, Y.; Tanaka, H. Finite-difference time-domain simulation of partial discharges in a gas insulated switchgear. High Volt. 2016, 1, 52–56. [Google Scholar]
- Liu, J.H.; Wang, J.; Qian, Y.; Duan, D.P.; Huang, C.J.; Zeng, Y.; Jiang, X.C. Simulation analysis on the propagation characteristics of electromagnetic wave in GIS. Gaodianya Jishu/High Volt. Eng. 2007, 33, 139–142. [Google Scholar]
- Prasetia, H.; Khayam, U.; Itose, A.; Kozako, M.; Hikita, M. Simulation analysis of surface current as TEV signal caused by partial discharge on post insulator in bus duct. In Proceedings of the 2016 IEEE International Conference on Dielectrics (ICD), Montpellier, France, 3–7 July 2016. [Google Scholar]
- Yao, R.; Zhang, Y.B.; Si, G.Q.; Wu, C.J.; Yang, N.N.; Wang, Y.X. Simulation analysis on the propagation characteristics of electromagnetic wave in T-branch GIS based on FDTD. In Proceedings of the IEEE 15th Mediterranean Microwave Symposium (MMS), Lecce, Italy, 30 November–2 December 2015; pp. 1–4. [Google Scholar]
- Xu, B.; Li, Y.M.; Li, J.H.; Zhao, J.H.; Wang, X.J. Simulation of the propagation characteristic of Ultra High-Frequency signals excited by partial discharge in power transformers. In Proceedings of the 2015 Chinese Automation Congress (CAC), Wuhan, China, 27–29 November 2015; pp. 1209–1210. [Google Scholar]
- Loubani, A.; Harid, N.; Griffths, H. Analysis of UHF sensor response to EM waves excited by surface discharge in air using FDTD simulation. In Proceedings of the 2018 IEEE International Conference on High Voltage Engineering and Application (ICHVE), Athens, Greece, 10–13 September 2018. [Google Scholar] [CrossRef]
- Ishak, A.M.; Ishak, M.T.; Jusoh, M.T.; Syed Dardin, S.F.; Judd, M.D. Design and Optimization of UHF Partial Discharge Sensors Using FDTD Modeling. IEEE Sens. J. 2017, 17, 127–133. [Google Scholar] [CrossRef]
- Inan, U.S.; Robert, M.R. Numerical Electromagnetics: The FDTD Method; Cambridge University Press: Cambridge, UK, 2011. [Google Scholar]
- XFdtd. Ful-wave, 3D Electromagnetic Analysis Software, Reference Manual 7.5.1; Remcom: State College, PA, USA, 2016. [Google Scholar]
- Kreuger, F.H. Industrial High DC Voltage 1. Fields 2. Breakdowns 3. Tests; Delft University Press: Delft, The Netherlands, 1995. [Google Scholar]
© 2019 by the authors. Licensee MDPI, Basel, Switzerland. This article is an open access article distributed under the terms and conditions of the Creative Commons Attribution (CC BY) license (http://creativecommons.org/licenses/by/4.0/).













