Evaluating Variability of Ground Thermal Conductivity within a Steep Site by History Matching Underground Distributed Temperatures from Thermal Response Tests
Abstract
1. Introduction
2. Site Descriptions and Test Conditions
3. Methodology for Analysis
4. Results
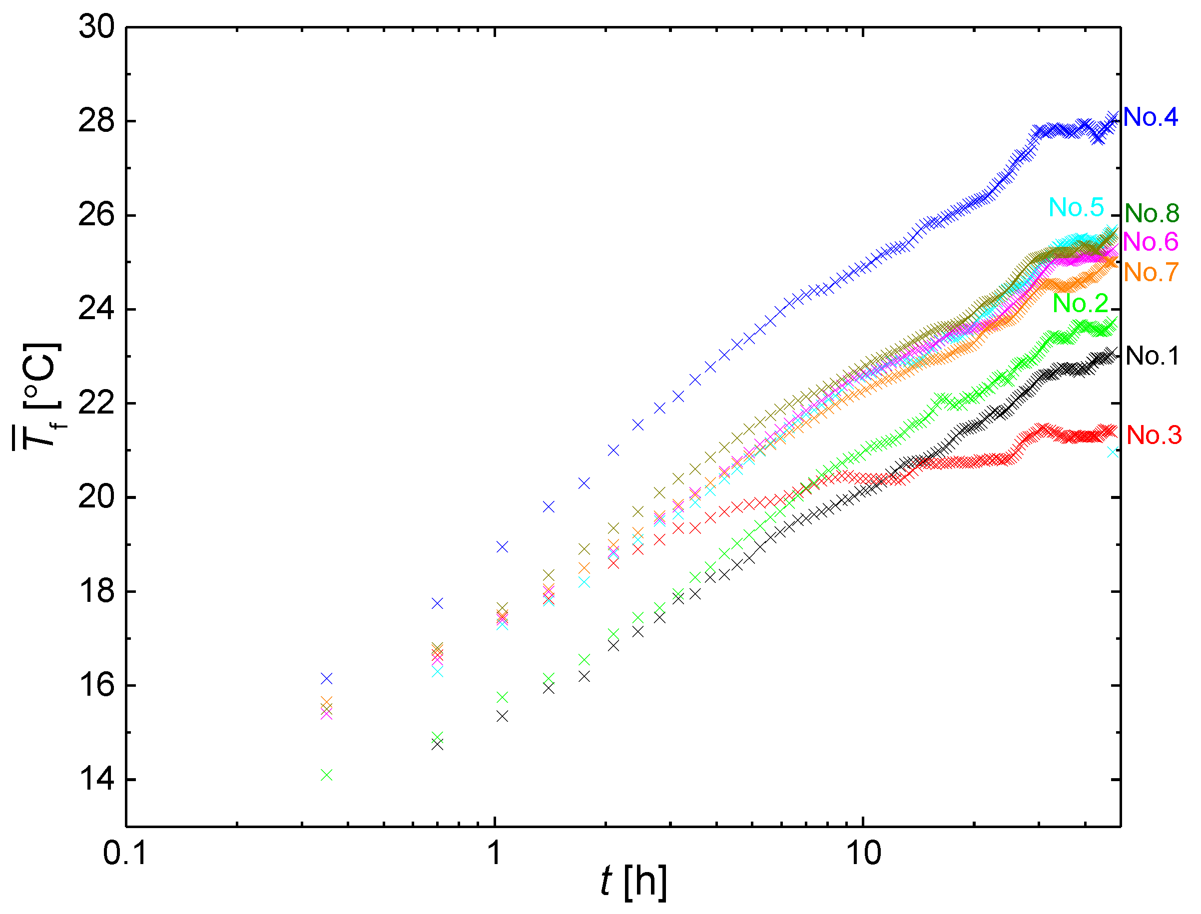
4.1. Conventional TRT Analysis
4.2. Vertical Profiles of DTS Measurements
4.3. History Matching Analysis
5. Discussion
6. Conclusions
- The overall ground thermal conductivity was approximately equal at seven of the eight BHEs, with an average of 1.94 W/(m·K). BHE No. 3 had an overall value of 4.93 W/(m·K), about 2.5 times larger than the average of the other BHEs.
- History matching analysis showed closer-fitting temperature calculations using the MLS solution than the ILS solution. The improvement shown using the MLS solution was moderate in the seven BHEs, but clearer in No. 3. This study considered the extremely large value to be due to the effect of groundwater advection. The history matching coupling with the MLS solution was effective in evaluating the vertical change in the partial ground thermal conductivity affected by groundwater flows.
- The partial values of ground thermal conductivity using the MLS solutions were within a narrow range of 1.9–2.1 W/(m·K), which is reasonable for the site’s gravel deposits. The estimated Darcy velocities were 74–204 m/y at BHE No. 3, with the higher velocities seen in the shallow layers less than 40 m deep. The velocity at the other BHEs was one-to-two orders of magnitude smaller than that at BHE No. 3. These velocity values were reasonable for the ground elevation gradient and permeability of the gravel deposits.
- The high ground thermal conductivity at BHE No. 3 was limited to within a radius of a few meters. Such a spatial variability of ground thermal conductivity is considered in any other sites on and around high reliefs. This means that the effects of advection on the thermal performances of BHEs in the steep ground (even if the high value was actually obtained by TRT) should be carefully considered when designing and planning GSHP systems.
Author Contributions
Funding
Institutional Review Board Statement
Informed Consent Statement
Data Availability Statement
Acknowledgments
Conflicts of Interest
Nomenclature
| thermal diffusivity | |
| BHE | borehole heat exchanger |
| C | circle-shaped U-tube |
| heat capacity | |
| DTS | distributed temperature sensor |
| GSHP | ground-source heat pump |
| ILS | infinite line source |
| MLS | moving line source |
| Ls | spacer length |
| N | an amount of data in |
| O | oval-shaped U-tube |
| output power | |
| heat exchange rate | |
| (borehole) thermal resistance | |
| radius | |
| root mean square error | |
| T | temperature |
| t | time |
| intercept temperature of the fitted straight line | |
| time after heating | |
| TRT | thermal response test |
| modified Darcy Velocity | |
| Darcy Velocity | |
| flow discharge rate | |
| Euler constant | |
| linear slope of temperature change on logarithmic time | |
| effective thermal conductivity | |
| overall ground thermal conductivity | |
| density | |
| flow direction angle | |
| temperature change | |
| + | spacer |
| Subscript | |
| b | borehole |
| cal | calculation |
| d | double U-tube |
| f | fluid |
| in | inlet |
| obs | observation |
| out | outlet |
| s | soil |
| w | water |
| 0 | initial |
| I, II, III, IV | layer number |
References
- Ingersoll, L.R.; Zobel, O.J.; Ingersoll, A.C. Heat Conduction with Engineering and Geological Applications, revised ed.; The University of Wisconsin Press: Madison, WI, USA, 1954; pp. 248–253. [Google Scholar]
- Santa, G.D.; Galgaro, A.; Sassi, R.; Cultrera, M.; Scotton, P.; Mueller, J.; Bertermann, D.; Mendrinos, D.; Pasqualie, R.; Perego, R.; et al. An updated ground thermal properties database for GSHP applications. Geothermics 2020, 85, 101758. [Google Scholar] [CrossRef]
- Bernier, M.A. Closed-loop ground-coupled heat pump systems. ASHRAE J. 2006, 48, 12–19. [Google Scholar]
- Blum, P.; Campillo, G.; Münch, W.; Kölbel, T. CO2 savings of ground source heat pump systems—A regional analysis. Renew. Energy 2010, 35, 122–127. [Google Scholar] [CrossRef]
- Banks, D. An Introduction to Thermogeology: Ground Source Heating and Cooling, 2nd ed.; Wiley-Blackwell: London, UK, 2008; pp. 104–106. [Google Scholar]
- Spitler, J.; Bernier, M. Ground-source heat pump systems: The first century and beyond. J. HVAC&R 2011, 17, 891–894. [Google Scholar]
- Spitler, J.; Gehlin, S.E.A. Thermal response testing for ground source heat pump systems—An historical review. Renew. Sustain. Energy Rev. 2015, 50, 1125–1137. [Google Scholar] [CrossRef]
- ASHRAE. Chapter 34 Geothermal energy. In 2011 ASHRAE Handbook Heating, Ventilating and Air-Conditioning Applications; ASHRAE: Peachtree Corners, GA, USA, 2019; pp. 1–34. [Google Scholar]
- Verein Deutscher Ingenieure. VDI 4640 Blatt 6 Thermal Use of the Subsurface Thermal Response Tests; Verein Deutscher Ingenieure: Düsseldorf, Germany, 2020. [Google Scholar]
- GeoHPAJ. Technical Guide of Thermal Response Tests at a Constant Condition of Heating and Fluid Circulating. 2018, pp. 1–22. Available online: http://www.geohpaj.org/wp/wp-content/uploads/trt_draft_20180830.pdf (accessed on 10 December 2020).
- IEA ECES Annex 21. Thermal Response Test Final Report. 2013. Available online: https://iea-eces.org/annex-21/ (accessed on 10 December 2020).
- Ingersol, L.R.; Plass, H.J. Theory of the ground pipe heat source for the heat pump. Trans ASHVE 1948, 54, 339–348. [Google Scholar]
- Fujii, H.; Okubo, H.; Nishia, K.; Itoi, R.; Ohyama, K.; Shibata, K. An improved thermal response test for U-tube ground heat exchanger based on optical fiber thermometers. Geothermics 2009, 38, 399–406. [Google Scholar] [CrossRef]
- Bandosa, T.V.; Montero, Á.; Fernández, E.; Santander, J.L.G.; Isidro, J.M.; Pérez, J.; Fernández de Córdoba, P.J.; Urchueguía, J.F. Finite line-source model for borehole heat exchangers: Effect of vertical temperature variations. Geothermics 2009, 38, 263–270. [Google Scholar] [CrossRef]
- Zhang, C.; Guo, Z.; Liu, Y.; Cong, X.; Peng, D. A review on thermal response test of ground-coupled heat pump systems. Renew. Sustain. Energy Rev. 2014, 40, 851–867. [Google Scholar] [CrossRef]
- Wilke, S.; Menberg, K.; Steger, H.; Blum, P. Advanced thermal response tests: A review. Renew. Sustain. Energy Rev. 2020, 119, 109575. [Google Scholar] [CrossRef]
- Signorelli, S.; Bassetti, S.; Pahud, D.; Kohl, T. Numerical evaluation of thermal response tests. Geothermics 2007, 36, 141–166. [Google Scholar] [CrossRef]
- Gustafsson, A.M.; Westerlund, L.; Hellström, G. CFD-modelling of natural convection in a groundwater-filled borehole heat exchanger. Appl. Therm. Eng. 2010, 30, 683–691. [Google Scholar] [CrossRef]
- Luo, J.; Rohn, J.; Xiang, W.; Bayer, M.; Priess, A.; Wilkmann, L.; Hagen, S.; Zorn, R. Experimental investigation of a borehole field by enhanced geothermal response test and numerical analysis of performance of the borehole heat exchangers. Energy 2015, 83, 473–484. [Google Scholar] [CrossRef]
- Wagner, R.; Clauser, C. Evaluating thermal response tests using parameter estimation for thermal conductivity and thermal capacity. J. Geophys. Eng. 2005, 2, 349–356. [Google Scholar] [CrossRef]
- Marcotte, D.; Pasquier, P. On the estimation if thermal resistance in borehole thermal conductivity test. Renew. Energy 2008, 33, 2407–2415. [Google Scholar] [CrossRef]
- Shrestha, G.; Uchida, Y.; Yoshioka, M.; Fujii, H.; Ioka, S. Assessment of development potential of ground-coupled heat pumpsystem in Tsugaru Plain, Japan. Renew. Energy 2015, 76, 249–257. [Google Scholar] [CrossRef]
- Raymond, J.; Therrien, R.; Gosselin, L.; Lefebvre, R. A review of thermal response test analysis using pumping test concepts. Groundwater 2011, 49, 932–945. [Google Scholar] [CrossRef] [PubMed]
- Sim, B.; Song, Y.; Fujii, H.; Okubo, H. Interpretation of thermal response test using the fiber optic distributed temperature sensors. Trans Geotherm. Resour. Counc. 2006, 30, 545–551. [Google Scholar]
- Cao, D.; Shi, B.; Zhu, H.H.; Wei, G.; Bektursen, H.; Sun, M. A field study on the application of distributed temperature sensing technology in thermal response tests for borehole heat exchangers. Bull. Eng. Geol. Environ. 2019, 78, 3901–3905. [Google Scholar] [CrossRef]
- Soldo, V.; Boban, L. Vertical distribution of shallow ground thermal properties in different geological settings in Croatia. Renew. Energy 2016, 99, 1202–1212. [Google Scholar] [CrossRef]
- Sakata, Y.; Katsura, T.; Nagano, K. Multilayer-concept thermal response test: Measurement and analysis methodologies with a case study. Geothermics 2018, 71, 178–186. [Google Scholar] [CrossRef]
- Vieira, A.; Alberdi-Pagla, M.; Christodoulides, P.; Javed, S.; Loveridge, F.; Nguyen, F.; Cecinato, F.; Maranha, J.; Florides, G.; Prodan, I.; et al. Characteristics of ground thermal and thermo-mechanical behavior for shallow geothermal energy applications. Energies 2017, 10, 2044. [Google Scholar] [CrossRef]
- Márquez, M.I.V.; Raymond, J.; Blessent, D.; Philippe, M.; Simon, N.; Bour, O.; Lamarche, L. Distributed thermal response tests using a heating cable and fiber optic temperature sensing. Energies 2018, 11, 3059. [Google Scholar] [CrossRef]
- Pambou, H.C.K.; Raymond, J.; Lamarche, L. Improving thermal response tests with wireline temperature logs to evaluate ground thermal conductivity profiles and groundwater fluxes. Heat Mass Transf. 2019, 55, 1829–1843. [Google Scholar] [CrossRef]
- Franco, A.; Conti, P. Clearing a path for ground heat exchange systems: A review on thermal response test (TRT) methods and a geotechnical routine test for estimating soil thermal properties. Energies 2020, 13, 2965. [Google Scholar] [CrossRef]
- Wagner, V.; Bayer, P.; Bisch, G.; Kübert, M.; Blum, P. Hydraulic characterization of aquifers by thermal response testing: Validation by large-scale tank and field experiments. Water Resour. Res. 2014, 50, 71–85. [Google Scholar] [CrossRef]
- Chae, H.; Nagano, K.; Sakata, Y.; Katsura, T.; Kondo, T. Estimation of fast groundwater flow velocity from thermal response test results. Energy Build. 2020, 206, 109571. [Google Scholar] [CrossRef]
- Chae, H.; Nagano, K.; Sakata, Y.; Katsura, T.; Serageldin, A.A.; Kondo, T. Analysis of relaxation time of temperature in thermal response test for design of borehole size. Energies 2020, 13, 3297. [Google Scholar] [CrossRef]
- Sakata, Y.; Katsura, T.; Nagano, K.; Ishizuka, M. Field analysis of stepwise effective thermal conductivity along a borehole heat exchanger under artificial conditions of groundwater flow. Hydrology 2017, 4, 21. [Google Scholar] [CrossRef]
- Verein Deutscher Ingenieure. VDI 4640 Blatt 2 Thermal Use of the Underground; Verein Deutscher Ingenieure: Düsseldorf, Germany, 2001. [Google Scholar]
- Ferguson, G. Screening for heat transport by groundwater in closed geothermal systems. Groundwater 2015, 53, 503–506. [Google Scholar] [CrossRef]
- Sakata, Y.; Katsura, T.; Nagano, K. Importance of groundwater flow on life cycle costs of a household ground heat pump system in Japan. J. JSRAE 2018, 35, 313–324. [Google Scholar]
- Zanchini, E.; Lazzari, S.; Priarone, A. Long-term performance of large borehole heat exchanger fields with unbalanced seasonal loads and groundwater flow. Energy 2012, 38, 66–77. [Google Scholar] [CrossRef]
- Linlin, Z.; Lei, Z.; Liu, Y.; Songtao, H. Analyses on soil temperature responses to intermittent heat rejection from BHEs in soils with groundwater advection. Energy Build. 2015, 107, 355–365. [Google Scholar]
- Zarrella, A.; Emmi, G.; Graci, S.; De Carli, M.; Cultrera, M.; Dalla Santa, G.; Galgaro, A.; Bertermann, D.; Müller, J.; Pockelé, L.; et al. Thermal response testing results of different types of borehole heat exchangers: An analysis and comparison of interpretation methods. Energies 2017, 10, 801. [Google Scholar] [CrossRef]
- Einsele, G. Sedimentary Basins, 2nd ed.; Springer: Berlin, Germany, 2000; pp. 29–51. [Google Scholar]
- Sakata, Y.; Serageldin, A.A.; Katsura, T.; Ooe, M.; Nagano, K. Evaluating thermal performance of oval U-tube for ground source heat pump systems from in-situ measurements and numerical simulations. In Proceedings of the 11th International Symposium on Heating, Ventilation and Air Conditioning, Harbin, China, 12–15 July 2019. [Google Scholar]
- Diao, N.; Li, Q.; Fang, Z. Heat transfer in ground heat exchangers with groundwater advection. Int. J. Therm. Sci. 2004, 43, 1203–1211. [Google Scholar] [CrossRef]
- Ueda, H.H. The Geology of Japan; Geological Society of London: London, UK, 2016; pp. 201–222. [Google Scholar]
- Serageldin, A.A.; Sakata, Y.; Katsura, T.; Nagano, K. Thermo-hydraulic performance of the U-tube borehole heat exchanger with a novel oval cross-section: Numerical approach. Energy Convers Manage 2018, 177, 406–415. [Google Scholar] [CrossRef]
- Sakata, Y.; Katsura, T.; Zhai, J.; Nagano, K. Estimation of effective thermal conductivities according to multi-layers by thermal response test with a set of fiber optics in a U-tube. J. JSCE 2016, 72, 50–69. [Google Scholar]
- Anderson, M. Heat as a ground water tracer. Groundwater 2005, 43, 951–968. [Google Scholar] [CrossRef]
- Sharqawy, M.H.; Mokheimer, E.M.; Habib, M.A.; Badr, H.M.; Said, S.A.; Al-Shayea, N.A. Energy, exergy and uncertainty analyses of the thermal response test for a ground heat exchanger. Int. J. Energy Res. 2009, 33, 582–592. [Google Scholar] [CrossRef]
- Freeze, R.A.; Cherry, J.A. Groundwater; Prentice-Hall: Englewood Cliffs, NJ, USA, 1979; pp. 26–41. [Google Scholar]
- Major, J.J. Depositional processes in large-scale debris-flow experiments. J. Geol. 1997, 105, 345–366. [Google Scholar] [CrossRef]
- Major, J.J. Gravity-driven consolidation of granular slurries: Implications for debris-flow deposition and deposit characteristics. J. Sediment. Res. 2000, 70, 64–83. [Google Scholar] [CrossRef]
- Lunt, I.A.; Bridge, J.S. Formation and preservation of open-framework gravel strata in unidirectional flows. Sedimentology 2007, 54, 71–87. [Google Scholar] [CrossRef]
- Wagner, V.; Blum, P.; Kübert, M.; Bayer, P. Analytical approach to groundwater-influenced thermal response tests of grouted borehole heat exchangers. Geothermics 2013, 46, 22–31. [Google Scholar] [CrossRef]







| BHE | U-Tube | Ls [m] | [kW] | ||
|---|---|---|---|---|---|
| 1 | Cd | 4.18 | 1.95 | 0.077 | |
| 2 | Cd+ | 82 | 4.42 | 2.17 | 0.089 |
| 3 | C | 4.01 | 4.93 | 0.114 | |
| 4 | C+ | 82 | 4.47 | 1.76 | 0.129 |
| 5 | O | 4.43 | 2.07 | 0.109 | |
| 6 | O+ | 10 | 4.01 | 1.87 | 0.110 |
| 7 | O+ | 40 | 4.00 | 1.94 | 0.098 |
| 8 | O+ | 82 | 4.05 | 1.83 | 0.106 |
| BHE | Layer | ILS | MLS | |||||
|---|---|---|---|---|---|---|---|---|
| 1 | I | 2.15 | 49.39 | 0.28 | 2.11 | 49.26 | 1.41 | 0.28 |
| II | 2.24 | 49.37 | 0.35 | 2.26 | 49.32 | 1.09 | 0.42 | |
| III | 2.34 | 49.37 | 0.39 | 2.41 | 49.27 | 1.19 | 0.46 | |
| IV | 2.51 | 49.40 | 0.45 | 1.59 | 34.91 | 1.60 | 0.35 | |
| 2 | I | 2.00 | 49.38 | 0.20 | 1.24 | 35.51 | 1.38 | 0.12 |
| II | 2.06 | 49.37 | 0.28 | 2.02 | 49.37 | 1.01 | 0.33 | |
| III | 2.27 | 49.39 | 0.37 | 1.32 | 34.58 | 1.60 | 0.22 | |
| IV | 2.38 | 49.39 | 0.43 | 2.25 | 49.03 | 1.66 | 0.39 | |
| 3 | I | 4.72 | 49.27 | 0.51 | 2.39 | 42.71 | 2.24 | 0.16 |
| II | 5.62 | 49.15 | 0.42 | 1.81 | 37.69 | 2.36 | 0.08 | |
| III | 3.75 | 49.41 | 0.45 | 2.13 | 39.68 | 2.01 | 0.15 | |
| IV | 3.66 | 49.38 | 0.33 | 2.09 | 37.06 | 1.87 | 0.18 | |
| 4 | I | 2.02 | 63.86 | 0.76 | 1.73 | 64.17 | 1.74 | 0.32 |
| II | 1.56 | 49.51 | 0.52 | 1.88 | 61.49 | 1.57 | 0.18 | |
| III | 1.65 | 49.51 | 0.54 | 1.48 | 49.53 | 1.63 | 0.19 | |
| IV | 1.71 | 49.48 | 0.79 | 1.44 | 49.58 | 1.75 | 0.22 | |
| 5 | I | 2.16 | 49.38 | 0.28 | 2.22 | 49.23 | 1.34 | 0.26 |
| II | 1.34 | 34.64 | 0.26 | 1.36 | 34.65 | 1.20 | 0.27 | |
| III | 2.12 | 49.36 | 0.37 | 1.39 | 34.65 | 1.30 | 0.29 | |
| IV | 2.26 | 49.41 | 0.46 | 1.49 | 35.03 | 1.66 | 0.20 | |
| 6 | I | 2.07 | 49.40 | 0.15 | 1.98 | 49.35 | 1.31 | 0.12 |
| II | 2.19 | 49.41 | 0.24 | 2.07 | 49.30 | 1.53 | 0.12 | |
| III | 2.18 | 49.39 | 0.27 | 2.06 | 49.30 | 1.56 | 0.15 | |
| IV | 2.21 | 49.40 | 0.30 | 2.09 | 49.41 | 1.60 | 0.15 | |
| 7 | I | 2.26 | 49.40 | 0.24 | 2.25 | 49.15 | 1.48 | 0.16 |
| II | 2.25 | 49.36 | 0.26 | 1.45 | 34.67 | 1.32 | 0.14 | |
| III | 2.34 | 49.36 | 0.29 | 2.28 | 48.88 | 0.18 | 0.32 | |
| IV | 2.46 | 49.39 | 0.40 | 1.62 | 35.01 | 1.71 | 0.13 | |
| 8 | I | 1.86 | 49.40 | 0.20 | 1.79 | 49.36 | 0.61 | 0.17 |
| II | 2.04 | 49.39 | 0.22 | 1.27 | 34.68 | 1.48 | 0.13 | |
| III | 2.09 | 49.41 | 0.48 | 2.00 | 49.41 | 1.72 | 0.18 | |
| IV | 2.20 | 49.41 | 0.35 | 2.17 | 49.31 | 1.64 | 0.18 | |
Publisher’s Note: MDPI stays neutral with regard to jurisdictional claims in published maps and institutional affiliations. |
© 2021 by the authors. Licensee MDPI, Basel, Switzerland. This article is an open access article distributed under the terms and conditions of the Creative Commons Attribution (CC BY) license (http://creativecommons.org/licenses/by/4.0/).
Share and Cite
Sakata, Y.; Katsura, T.; Serageldin, A.A.; Nagano, K.; Ooe, M. Evaluating Variability of Ground Thermal Conductivity within a Steep Site by History Matching Underground Distributed Temperatures from Thermal Response Tests. Energies 2021, 14, 1872. https://doi.org/10.3390/en14071872
Sakata Y, Katsura T, Serageldin AA, Nagano K, Ooe M. Evaluating Variability of Ground Thermal Conductivity within a Steep Site by History Matching Underground Distributed Temperatures from Thermal Response Tests. Energies. 2021; 14(7):1872. https://doi.org/10.3390/en14071872
Chicago/Turabian StyleSakata, Yoshitaka, Takao Katsura, Ahmed A. Serageldin, Katsunori Nagano, and Motoaki Ooe. 2021. "Evaluating Variability of Ground Thermal Conductivity within a Steep Site by History Matching Underground Distributed Temperatures from Thermal Response Tests" Energies 14, no. 7: 1872. https://doi.org/10.3390/en14071872
APA StyleSakata, Y., Katsura, T., Serageldin, A. A., Nagano, K., & Ooe, M. (2021). Evaluating Variability of Ground Thermal Conductivity within a Steep Site by History Matching Underground Distributed Temperatures from Thermal Response Tests. Energies, 14(7), 1872. https://doi.org/10.3390/en14071872

