Abstract
The temperature rises hydrogen tanks during the fast-filling process could threaten the safety of the hydrogen fuel cell vehicle. In this paper, a 2D axisymmetric model of a type III hydrogen for the bus was built to investigate the temperature evolution during the fast-filling process. A test rig was carried out to validate the numerical model with air. It was found significant temperature rise occurred during the filling process, despite the temperature of the filling air being cooled down due to the throttling effect. After verification, the 2D model of the hydrogen tank was employed to study the temperature distribution and evolution of hydrogen during the fast-filling process. Thermal stratification was observed along the axial direction of the tank. Then, the effects of filling parameters were examined, and a formula was fitted to predict the final temperature based on the simulated results. At last, an effort was paid on trying the improve the temperature distribution by increasing the injector length of the hydrogen tank. The results showed the maximal temperature and mass averaged temperature decreased by 2 K and 3.4 K with the length of the injector increased from 50 mm to 250 mm.
1. Introduction
Hydrogen is acknowledged as one of the most promising renewable energies with high efficiency and is now widely employed in fuel cell vehicles (FCV). Despite the high energy density in terms of mass, the volume energy density of hydrogen is rather low. Hydrogen can be stored in the specialized tank under high pressure as gas or extremely low temperature under normal pressure as a liquid. These methods inevitably led to a significant overall cost of hydrogen usage due to low ignition limits and energy, high diffusion rate, and low boiling point [1]. Many researchers devoted themselves to investigating alternative technologies, such as dissolved in liquid [2], absorbed on solid surfaces [3], and metal hydride [4]. However, most of these methods were still in the experimental stage and cannot be applicable for hydrogen fuel cell vehicles (HFCV). Now, hydrogen is compressed and stored in a high-pressure tank because of higher technological maturity and better infrastructure supporting capabilities. While the refueling process is usually accomplished in several minutes, this could lead to a rapid temperature rise and bring a potential safety hazard to the material of the hydrogen tank [5].
Before investigating the temperature rise of the filling process, the proper equation of state for high-pressure hydrogen should be determined. Basic work was carried out on comparing the accuracy of 11 equations of state in describing the thermal properties of hydrogen and examined the results with the experimental data to verify the best equation for predicting the properties of hydrogen [6]. The feasibility of different turbulence models in simulating the fast-filling process was studied and found that the Realizable k-ε model has the advantages of less calculation time and better accordance with the experimental data [7]. While during the filling process, the pressure in the tank is increased greatly, usually from 2~5 MPa to as high as 70 MPa [8,9]. The consequent temperature rise is contributed by three kinds of thermodynamic phenomena, i.e., the Joule-Thomson effect, the compression effect, and the conversion of kinetic energy into internal energy. Temperature rise during the filling process could not only reduce the state of charge (SOC) of hydrogen but also could lead to safety risks. In practice, the temperature rise is affected by several parameters, such as initial pressure, initial temperature, ambient temperature, and filling rate. Many researchers have dedicated themselves to studying the effect of these parameters on the temperature distribution and evolution during the fast-filling process to ensure safety. The effect of four different initial temperatures on the change of temperature evolution during the filling process was reported in [10], and the results showed the initial temperature should be limited to avoid overheating. The thermodynamic rise of filling a type IV bottle under different initial pressures was studied in [11], and the results showed that the higher initial pressure contributed to the lower the final temperature almost in a linear trend. A systematic study on the effect of filling rate was conducted in [12] which found that mass flow rate is the main factor affecting the final temperature. The effect of pre-cooling temperature on the filling process was investigated in [13], and the results showed that gas pre-cooling reduced the hydrogen final temperature and increased the final SOC value. Further, the filling process of type IV vehicle-mounted hydrogen bottles was simulated by using the CFD method to quantitatively explore the effect of pre-cooling on the final temperature of charging [14]. The results showed that the final temperature decreased by 25% with the average temperature decreased by 16.5 °C in the pre-cooling mode, and the SOC increased from 87.2% to 90.4%. Experiments on the fast-filling process in a type IV tank were carried out and compared to the 3D CFD model for validation [15]. The results showed good agreement between the measured and predicted temperatures, mass inventory, and pressure. A 2D axisymmetric model was built to simulate the fast-filling process and holding process of type III and type IV storage cylinders [16]. The temperature evolution and the maximum temperature rises of both the hydrogen and solid materials were considered. The results showed the location of maximum temperature rise could be around the head dome junction or the caudal region. The authors concluded that the control strategies of filling for type III and type IV cylinders should not be distinctive in terms of the temperature rise of solid materials during the filling and holding processes.
To control the temperature rise, the SAE J2601 protocol provided two fueling methods, i.e., the look-up table method and the MC formula method. The standard lookup table method controls the temperature by interrupting the filling, and the MC method controls the average pressure ramp rate by taking advantage of the thermodynamic properties of the hydrogen tank [5]. These two methods were compared and the results showed that the average filling rate of the MC method was faster without affecting the SOC and energy consumption [17]. The temperature rise in the tank can be realized in three ways: controlling the mass flow rate, filling with a multi-level storage system, and adjusting the filling temperature. An experimental investigation on the temperature rises with the different mass filling rates of 41.1 g/s, 18.8 g/s, and 9 g/s was carried out and found the temperature was higher with a larger mass filling rate [18]. Efforts on decreasing the gas temperature by using multi-stage storage and self-pressurized method were paid by [19]. Formulas were fitted to predict the temperature rise by using the published data [20,21] with a simpler form and fewer parameters. The effect of porous infills on the temperature distribution was numerically investigated and found that the non-metal infill reduced the average temperature significantly without decreasing the SOC of the hydrogen tank [22]. On the condition that the temperature was lower than 85 °C, many efforts were paid on reducing the power consumption and enhancing the SOC. The effects of a cascade storage system on the SOC were investigated and acquired the highest SOC with the shortest filling time by using an optimized filling method [23]. The pressure switching coefficients and pre-cooling temperature were selected to train a neural network model [24] and compared the results with [18]. For a given charging time, the optimization procedure was able to predict the optimal scope of the pre-cooling temperature with the lowest power consumption. The cascade filling process was investigated and found that the pressure loss in the storage system had a neglecting effect on the mass flow and peek pre-cooling temperature [25]. Later, [26] reported that 3–4 tanks with different pressure levels could be the best practice in terms of manufacturing and temperature rise. Besides the parameters during the filling process, experimental research was carried out on the temperature distribution and evolution of the hydrogen in a 35 MPa tank [27]. The results showed that increasing the injector diameter could reduce the gas temperature and injector direction had little influence on reducing the temperature when the injector diameter was small. Soon later, a step-filling technique was proposed to optimize the filling process [28] and the results agreed well with [27]. A further 3D numerical model was conducted to investigate the effect of diameters and directions of the injector on thermal stratification [29]. The results showed that the critical velocity describing the thermal stratification was related to the direction of the injector. Despite numerous research, the universal rules of the temperature distribution and evolution inside the hydrogen tank have not yet been revealed, and the temperature rise during the fast-filling process is not comprehensively determined.
At present, there is no widely accepted filling protocol in China. The SAE J2601 protocol is relatively conservative for type III tanks. Therefore, further research on the fast-filling process of type III tanks should be carried out to establish a more practical hydrogen temperature prediction model and to improve the control strategy during the filling process. In this paper, a transient flow model has been established to analyze the rapid filling process of the vehicle-mounted hydrogen tanks. The distribution and evolution of the velocity, temperature, and pressure inside the hydrogen cylinder were discussed. Then, an experimental test rig was built to verify the numerical with a working medium of air. After verified, the numerical model was employed to examine the effect of initial pressure, ambient temperature, filling rate, and filling temperature on the temperature evolution. A formula to predict the final temperature of the filling process was fitted. At last, the influence of the injector length on the axial thermal stratification during the filling process was revealed.
2. CFD Simulation
2.1. Governing Equation
The temperature evolution of the hydrogen during the filling process is mainly dominated by the compression of the gas, the isentropic expansion, and the conversion of the kinetic energy into heat. The compression of the gas contributes the most to the overall temperature rise. Besides, the heat convection and heat conduction through the solid wall of the tank have a small effect on the temperature rise. Considering the complexity of the filling process, a few assumptions are made to simplify the solving process of the CFD model as follows.
- (1)
- The temperature in the hydrogen tank is evenly distributed and the same as the ambient temperature.
- (2)
- The thermodynamic properties of the solid materials are isotropic, and mechanical deformation of the solid parts is neglected.
- (3)
- Heat transfer between the tank and the ambiance could happen during the filling process, and the heat transfer coefficient is assumed to be a constant, 6 W·m−2·K−1 [30].
- (4)
- The temperature and pressure of the inflow in the hydrogen refueling station are constant.
- (5)
- The hydrogen velocity of the injector is high during the fast-filling process, and the buoyance induced by the gravity can be neglected [31].
The filling process in the hydrogen tank is simplified as an axisymmetric transient flow process. or 2D axisymmetric geometries, the continuity equation is given as follows.
The axial and radial momentum conservation equations are given as follows.
where .
The real gas Redlich-Kwong equation is used to describe the state during the hydrogen filling process, which is in good agreement with the actual thermodynamic properties of the hydrogen [32]. The equation is as follows:
where is the critical pressure of 1.2943 MPa, and is the critical temperature of 33.145 K.
2.2. Meshes and Mesh Independence Check
A Type III hydrogen tank with a volume of 145 L was involved for the application of the bus. The outer diameter and length of the tank were 381 mm and 1800 mm, with a ratio of length to the diameter of 4.72. The nominal working pressure of the tank is 35 MPa with a maximal storage mass of 3.5 kg, as shown in Table 1.
Table 1.
Parameters of the Hydrogen tanks.
As it was assumed that gravity had little effect on the fast-filling process, the numerical simulation of the hydrogen tank can be simplified with a 2D axisymmetric model to save computational cost, as shown in Figure 1. The computational domain includes the aluminum liner, the carbon fiber layer, and the storage region of the tank. All the meshes were generated with quadrilateral grids by using the ANSYS meshing tool. To allow the heat transfer through the liner and fiber layer, the meshes shared the nodes on the interface between the solid and gas, thus allowing for the conjugate heat transfer. Considering that the hydrogen velocity around the injector is fast, the meshes in this region were generated with a smaller value.
Figure 1.
2D axisymmetric meshes for the 145 L hydrogen tank.
The hydrogen temperature was taken as the criterion to carry out the mesh independence check as listed in Table 2. Four different 2D meshes were generated with various mesh refinements around the outlet of the injector for the tank. As can be seen from Table 2, the temperature differences were relatively small when the mesh numbers were larger than 15,014. Therefore, mesh number 15,014 was adopted to further investigate the fast-filling process.
Table 2.
CFD results of the mesh independence check.
2.3. Conditions and Solving Procedure
The residual and initial pressure of hydrogen in the vehicle-mounted tank was usually 2~5 MPa. The temperature of the hydrogen was equal to the ambient temperature and distributed uniformly. The mass flow rate was set as the boundary for the inlet of the injector during the filling process. The heat transfer between the outer wall of the carbon fiber layer and the environment was natural convection heat transfer, and the heat transfer coefficient was set as 6 W·m−2·K−1. The thermodynamic properties of the liner and carbon fiber was listed in Table 3.
Table 3.
Thermodynamic properties of the hydrogen tank materials.
To solve the built numerical model, the commercial code ANSYS Fluent was adopted. The realizable k-ε model was employed to describe the filling process. The SIMPLE algorithm was selected to resolve the pressure-velocity coupling with the Green-Gauss node-based scheme to solve the gradients. The PRESTO! method was chosen for the pressure, and the Second-order upwind scheme was selected for the spatial discretization of momentum, and turbulent kinetic energy. At the beginning of the filling process, the velocity around the injector could be very high, and a small-time step should be provided to accelerate the convergence. Then, a larger time step can be set to increase the computational speed. In this paper, a time step of 0.005 s was set for the first 30 s of the filling process, and 0.1 s for the last period of the filling process.
3. Experimental Set-Up
3.1. Test Rig
To verify the accuracy and feasibility of the numerical model, a test rig was built and the temperature evolution during the rapid filling process was monitored with the working medium of air, as shown in Figure 2. The test rig is mainly composed of a high-pressure compressor, an automatic pressure regulating valve, a hydrogen tank, and a data acquisition system. During the filling process, the gas is compressed and stored in a high-pressure storage tank, and then depressurized before being filled into the hydrogen tank.
Figure 2.
Test rig for the fast-filling process.
The main difficulty of this experiment is measuring the gas temperature inside the high-pressure hydrogen tank. When fixing up the thermocouples in the cylinder, it is necessary to consider the position of the measuring point and the sealing of the high-pressure hydrogen cylinder. Therefore, a tank with two bosses at the two ends is selected, thus allowing for charging through one boss and measuring the temperature through the other boss, as shown in Figure 2. There were 7 thermocouples installed at the axial direction of the hydrogen tank with a total length of about 70 cm. The thermocouples are welded and sealed with the guide rod. The guide rod is led out of the bottle, which not only fixes the position of the temperature measurement point but also ensures the sealing of the gas bottle. The thermocouples used in the customized device are all E-type thermocouples, with a temperature measurement range of −200~900 °C. The outputs of the pressure transducers, thermocouples, and regulating valves were collected by the acquisition system and stored on the computer.
3.2. Temperature Evolution during the Air Filling Process
During the hydrogen filling process, the hydrogen filling rate is usually represented by the mass flow rate or the averaged pressure ramping rate (APRR). Both these indicators were aimed to control the temperature rise and prevent overheating in the hydrogen tank. In this paper, the APRR method was adopted with an air filling rate of 0.05 MPa·s−1 by using a two-stage storage system. The two-stage air storage system was equipped with two tanks storing two different levels of pressure. Consequently, the filling procedure was divided into two steps. First, the pressure of the hydrogen tank increased from initial pressure to middle pressure by using the low-pressure tank. Second, the high-pressure tank continued to fill the hydrogen tank to the designed pressure.
The monitored temperatures and pressure inside the tank were shown in Figure 3. As can be observed, the filling process starts at 24 s with an initial pressure of 0.16 MPa, and an initial temperature of 297 K. The pressure increased from 0.04 MPa to 13.1 MPa in about 250 s with an average filling rate of about 0.0501 MPa·s−1. The temperatures increased from 297 K to an average value of 336 K, and the final temperatures of TC1~TC7 were different from each other and showed a non-uniform distribution inside the tank. Otherwise, the filling temperature of air began to decrease with the increase in filling time which was caused by the throttling effect of the pressure regulating valve. Despite the filling temperature being decreased due to the throttling effect, the temperature inside the tank continued to increase. During the filling process, pressure fluctuation occurred around 125 s and 150 s which was contributed by the switching of the storage tank and the automatic adjusting of the pressure regulating valve.
Figure 3.
Measured temperature evolution during the air filling process.
4. Discussion
4.1. Predicting the Temperature Evolution of the Air Filling Process
During the experimental process, the regulating valve was employed to produce an APRR of about 0.0501 MPa·s−1, it would be too complex to conduct the CFD simulation of the filling process if directly taken into consideration the motion of the regulating valve. However, adopting the mass flow rate as the inlet boundary conditions would make the CFD model much simpler. Therefore, the mass flow rate during the air filling process was calculated based on Equation (4) and pressure-temperature evolution curves shown in Figure 3. The calculated mass flow rate and the filling temperature were shown in Figure 4, and the boundary condition for the inlet of the CFD model was set accordingly.
Figure 4.
Inlet temperature and mass flow rate during the air filling process.
The average temperature of the 7 thermocouples was calculated and was used to verify the numerical model, While the mass-averaged temperature of the air in the tank was monitored during the simulation in the CFD model. The results of the temperatures together with pressures were shown in Figure 5. As can be seen, the predicted pressure agreed well with the measured pressure with the maximal discrepancy of about 0.95 MPa at a filling time of 100 s. This was induced by switching the low-pressure storage tank with the high-pressure one and pressure fluctuation in this stage was not considered in the numerical model. At the end of the filling, the measured and predicted pressures were 12.97 MPa and 13.28 MPa with a discrepancy of 0.29 MPa. The difference between the measured and predicted temperature were relatively larger during the early filling process and the maximal discrepancy was about 7.5 K during the filling time of 16 s~41 s. The higher temperature discrepancies in this stage could be contributed by the non-uniform temperature distribution in the axial direction of the tank. The measured temperature in Figure 6 was the averaged value of the 7 thermocouples installed on the right side of the tank. This can be improved by installing more thermocouples during the testing process. With the increase in the filling time, the temperature discrepancy tended to decrease, and at the end of the filling process, the predicted and measured temperatures were 338.8 K and 337.6 K with a discrepancy of 1.2 K.
Figure 5.
Temperature distribution at 10 s, 80 s, and 150 s.
Figure 6.
Measured and predicted temperature evolution.
4.2. Temperature Distribution and Evolution during the Hydrogen Filling Process
The verified CFD model was employed to investigate the fast-filling process of a 145 L type III hydrogen tank, while the ambient temperature was set at 288 K with 5 MPa initial pressure in the tank. The mass flow rate of the inlet was 20 g·s−1 with a temperature of 243 K. The filling process was 150 s with an expected filling mass of 3 kg. The temperature distribution acquired at the filling time of 10 s, 80 s, and 150 s were shown in Figure 6. As can be seen, the highest temperatures were 316 K, 378 K, and 403 K in Figure 5a–c located in the tailer of the tank, and the temperature gradients increased with obvious thermal stratification in the axial direction. The thermal stratification was induced by the injection of the hydrogen around the inlet, and the hydrogen in the tailer was heated due to the compression effect.
As also can be observed from Figure 6, the temperatures of the solid materials were much lower than the maximal temperature of hydrogen and did not exceed the allowable temperature of the hydrogen tank. Due to the high temperature of the gas at the end of the hydrogen tank, the temperature of the tank was heated and higher than in other locations. However, the temperature distribution of the solid materials was spatially uniform except for the bosses and the other end of the tank, and this could be caused by the much larger heat capacity of the solid than the hydrogen.
Temperature evolution of hydrogen, liner, and fiber were monitored during the 150 s filling process and additional 330 s steady process, and the results were shown in Figure 7. It can be seen that during the 150 s filling process, the maximal temperatures of the hydrogen, liner, and fiber increased with the increase of filling time. The peak value of hydrogen temperature occurred at 150 s, while the peek values of liner and fiber were delayed due to the limited thermal conductivity and occurred at a peak value of 327.22 K around 250 s. The thermal balance of the hydrogen had not been acquired at the end of 480 s. The temperature of the liner and fiber layer increased much quicker during the filling stage than during the steady stage. This could be explained by the heat transfer mechanism that it was convective heat transfer between the hydrogen and liner during the filling stage and turned to heat conduction during the steady stage.
Figure 7.
Monitored temperature evolution at different locations of the hydrogen tank.
As shown in Figure 7, the pressure of the hydrogen bottle increased from 5 MPa to 40.33 MPa at 150 s and decreased to 39.8 MPa at 480 s because of the cooling of the hydrogen. It can be seen that the pressure in the hydrogen bottle changes linearly, and the APRR during the whole process is about 0.235 MPa·s−1.
4.3. Effects of Filling Parameters on the Temperature Evolution
From the above analysis of the rapid hydrogen filling process, it can be seen that the filling time was relatively short, and the heat of hydrogen cannot transfer to the ambiance through the liner and fiber layers in the limited time. Therefore, the influence of the filling parameters on the hydrogen temperature was investigated to explore the effective method of reducing the temperature rise. Based on the control variable method, the CFD model of the 145 L type III hydrogen tank was used to simulate the rapid filling process under different filling conditions. The filling parameters are shown in Table 4, where Case 1~Case 4 was aimed to examine the effect of initial pressure, ambient temperature, mass flow rate, and filling temperature, respectively.
Table 4.
Filling parameters under different filling conditions.
4.3.1. Effect of Initial Pressure in the Tank
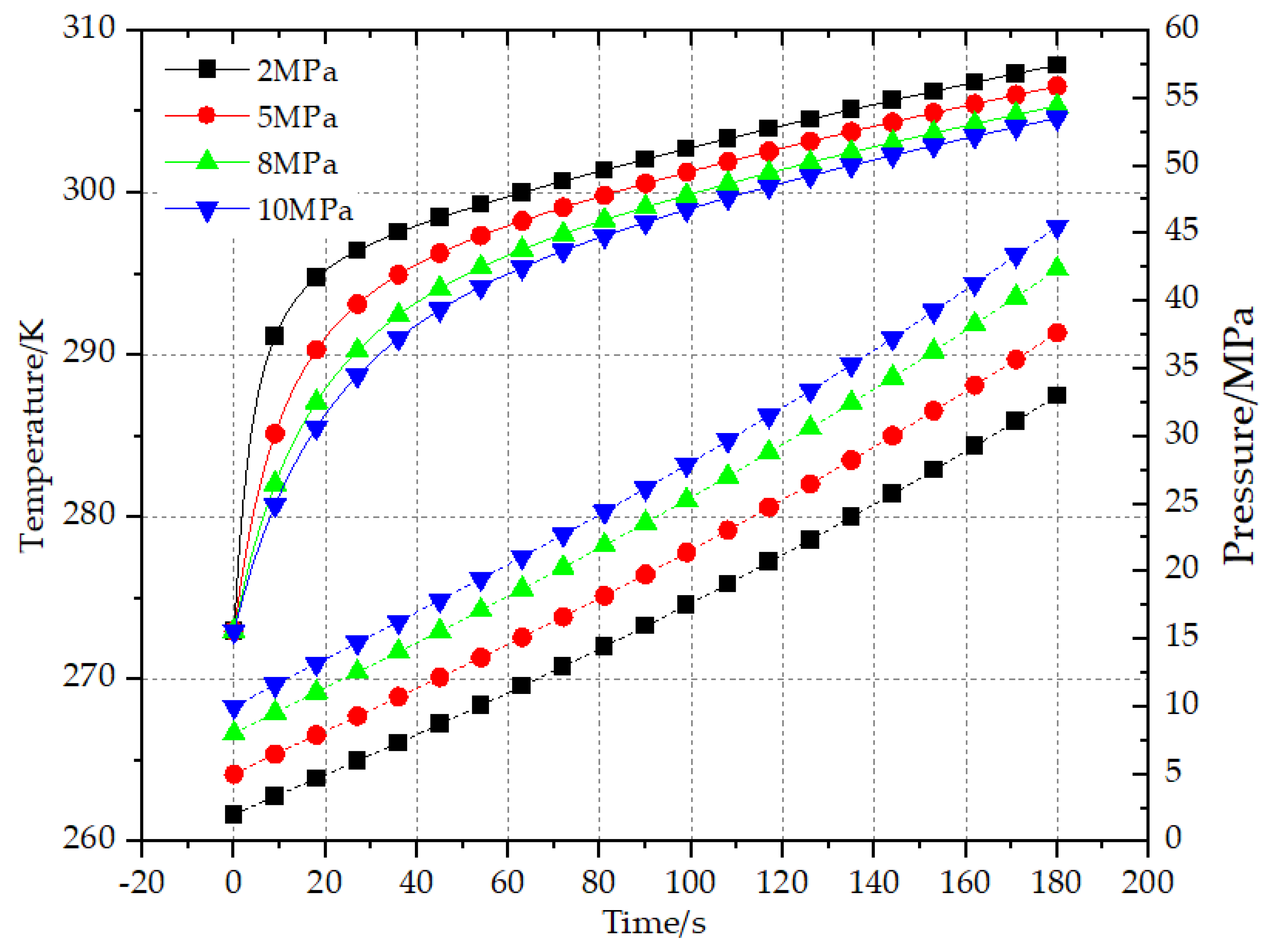
The hydrogen rapid filling process of a 145 L type III hydrogen cylinder is simulated, while the filling temperature is 253 K, the filling rate is 16 g·s−1, the ambient temperature is 273 K, and the filling time is 180 s. The calculated initial pressures are 2 MPa, 5 MPa, 8 MPa, and 10 MPa, respectively. The results were shown in Figure 8. As can be seen, the temperature increased from 31.6 K to 34.9 K with the decrease of initial pressure from 10 MPa to 2 MPa. In the first 30 s of the filling stage, the smaller the initial pressure, the greater the temperature rise. Then the rate of temperature rise tended to be parallel. This was mainly because the lower pressure meant a smaller residual mass in the tank, and a certain amount of heat was generated due to the filling, the smaller residual mass consequently was heated to a higher temperature. With the increase of the hydrogen temperature and the mass in the tank, the heat flowing out of the system gradually increases, and the influence of the initial mass on the temperature rise rate gradually disappears, resulting in a consistent temperature rise rate in the later stage of filling. It can be seen from Figure 8, that under different initial pressure conditions, the hydrogen pressure in the tank increase almost linearly and the higher initial pressure led to a higher final temperature.
Figure 8.
Effect of initial pressure on the temperature evolution.
4.3.2. Effect of Ambient Temperature
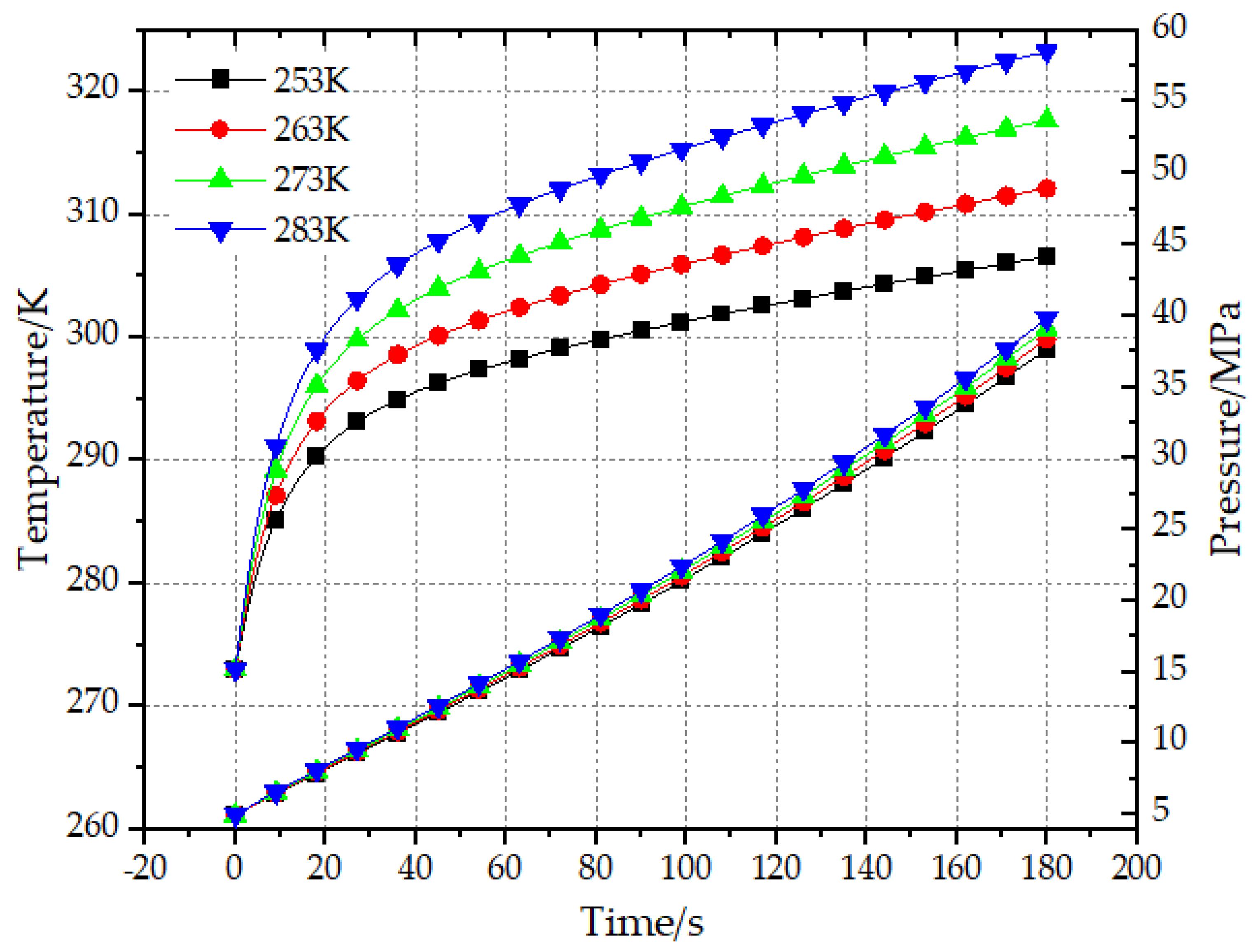
During the filling process, the ambient temperature affects the amount of heat dissipated through the solid materials. Certainly, it could affect the temperature rise of hydrogen. In this section, the effect of ambient temperature on the hydrogen temperature and pressure were evaluated with Case 2 in Table 4, while the selected ambient temperature was 253 K, 263 K, 273 K, and 283 K, and the predicted results were shown in Figure 9. As can be observed, the temperatures showed a similar tendency during the filling process, i.e., increasing rapidly at the beginning 40s and thereafter keeping an almost linearly rising rate. Also, the final temperatures were 312.7 K, 306.6 K, 300.4 K, and 294.2 K when the ambient temperatures were 283 K, 273 K, 263 K, and 253 K with temperature rises of 29.7 K, 33.6 K, 37.4 K, and 41.2 K, respectively. Despite the temperature rise increasing with the decrease of the ambient temperature, the decrease of ambient temperature showed effective to decrease the final temperature, because the lower ambient temperature contributed to the heat transfer between the tank wall and ambiance, thus increasing the heat of hydrogen transferring to the ambiance through the tank wall. The final pressure at the lower ambient temperature was lower because the density of hydrogen was lower at the corresponding lower temperature.
Figure 9.
Effect of ambient temperature on temperature and pressure revolution.
4.3.3. Effect of Filling Mass Flow Rate
During the filling process, an excessive filling rate will lead to a rapid rise in hydrogen temperature, which is prone to leading to overheating of the tank wall. In this section, the effect of the filling rate on the hydrogen temperature rise was examined with Case 3 listed in Table 4 when the mass flow rates were 8 g·s−1, 12 g·s−1, 16 g·s−1, and 20 g·s−1, and the results were shown in Figure 10. As can be seen, the temperature increased rapidly at the beginning of the filling process, and both the final temperature and pressure increased obviously with the increase in mass flow rate. The final temperatures were 294.4 K, 301.2 K, 306.6 K, and 310.9 K while the acquired final pressures were 19.36 MPa, 27.99 MPa, 37.66 MPa, and 48.5 MPa. Despite the final temperatures being lower than 358 K, the pressures at the mass flow rate of 20 g·s−1 were higher than the 42 MPa, i.e., 1.2 times the NWP of the 145 L type III tank. Therefore, the duration of the filling time should be limited in this case.
Figure 10.
Effect of mass flow rate on the temperature and pressure revolution.
4.3.4. Effect of Filling Temperature
To ensure the temperature of the hydrogen tank during the rapid filling process, the hydrogen refueling station is usually equipped with a cooling system for hydrogen pre-cooling. Thus, the filling temperature lower than the ambient temperature can be cooled to as low as 253 K. In this section, the effect of the filling temperature on the evolution of hydrogen temperature rise was examined with Case 4 in Table 4. The filling temperatures were 283 K, 273 K, 263 K, and 253 K, and the results were shown in Figure 11.
Figure 11.
Effect of filling temperature on the temperature and pressure revolution.
It can be seen from Figure 11 that the filling temperature was able to reduce the final temperature of hydrogen in the tank dramatically. When the filling temperatures were 283 K, 273 K, 263 K, and 253 K, the final temperatures were 323.3 K, 317.7 K, 312.1 K, and 306.5 K. The final temperature decreased by 12.8 K with the filling temperature decreased by 30 K. Decreasing the filling temperature can contribute to the decreasing of the final temperature on two sides. The first one is that lower temperature contains lower internal energy. The second one is the lower temperature hydrogen has a lower density, which leads to the decrease of flow velocity in the injector, and therefore lower kinetic energy transferring into the internal energy. On the other hand, decreasing the filling temperature can contribute to the decrease of final pressure, thus allowing for a longer filling time and higher SOC.
4.3.5. Fitting Formula to Predict the Final Temperature
The above four subsections qualitatively analyzed the effect of filling parameters on the temperature and pressure evolution during the rapid hydrogen filling process, and quantitatively acquired the relationship between individual filling parameters and the final hydrogen temperature. However, studies have shown that the parameters interact with each other during the rapid hydrogen filling process and determine the final temperature of hydrogen together. Therefore, a formula could be fitted with these four filling parameters simultaneously, and the relationship between the final temperature and the filling parameters during the 180 s hydrogen rapid filling process could be obtained.
Since the influence of the four injection parameters on the hydrogen final temperature is quantitatively analyzed, the independent variables were , and the resulted variable was the hydrogen final temperature . Defining , , substituting these two expressions into the theoretical solution for predicting the hydrogen temperature [27], a new formula could be derived as follows.
where are the coefficients to be determined.
By using the data obtained by Case 1~Case 4, the results of the fitting parameters were summarized in Table 5. The deviation of the fitting parameter was relatively small, the correlation is above 0.98, and the R2 of the two fitting results is greater than 0.999, indicating that the fitting degree is high, and the results are reliable. Therefore, the relationship between the hydrogen final temperature and the filling parameters during the rapid filling process of the 145 L type III bottle can be obtained as follows:
Table 5.
Results of multiple parameters fitting.
4.4. Effects of Injector Length of Tanks on the Characteristics of the Filling Process
In the literature review, it was found that the diameter and direction of the injector had influences on the flow field in the hydrogen tank, and the structural parameters, such as injector length of the hydrogen tank have an obvious influence on temperature distribution. The length of the injector determines the location where the hydrogen enters the tank, which in turn could affect the temperature distribution inside the hydrogen bottle. Therefore, the filling process of 145 L Type III hydrogen cylinders with different lengths of injector was simulated and the temperature distributions at the filling time of 100 s were shown in Figure 12. As can be seen in these three cases, axial thermal stratification occurred on the right end of the hydrogen tank during the filling process. With the increase of the injector length, the temperature on the left end of the tank tended to increase. There occurred a second thermal stratification region on the left end when the length of the injector was 250 mm. This could be a sign that the area of thermal stratification on the left would increase with the increase of injector length. Otherwise, the maximal temperature decreased by 2 K from 316 K to 314 K when the injector length increased from 50 mm to 250 mm, but the mass averaged temperature decreased by 3.4 K from 300 K to 296.6 K. Increasing the length of the injector showed a contribution to improving the temperature distribution.
Figure 12.
Effect of injector length on the temperature distribution of hydrogen tank.
5. Conclusions
In this paper, a 2D axisymmetric CFD model was built to investigate the temperature distribution and evolution during the fast-filling process of an onboard hydrogen tank for HFCV. A test rig was carried out to verify the numerical model. Then, the verified model was used to analyze the rapid hydrogen filling process, and the factors affecting the temperature rise during the rapid filling process were examined. A formula was fitted to predict the final temperature of the filling process. Finally, the injector length of the bosses on the hydrogen tank was increased to explore its effect on the temperature distribution and evolution. A few conclusions were summarized as follows.
- (1)
- 2D axisymmetric CFD model was built to reveal the temperature evolution during the fast-filling process, and a test rig was carried out to measure the gas temperature distribution and evolution along the axial direction inside the tank during the fast-filling process. Despite the filling temperature of the air was cooled down by the throttling effect cooled down, a significant temperature rises in the tank occurred during the fast-filling process of air, as a consequence of the compression effect.
- (2)
- Axial thermal stratification during the fast-filling process was observed in the 145 L type III hydrogen tank, with a ratio of length to diameter of 4.72, and the region of the highest temperature was located at the opposite end of the injector.
- (3)
- Effects of multiple filling parameters, such as initial pressure, ambient temperature, filling rate, and filling temperature on the temperature evolution were examined and a formula was fitted to predict the final temperature of the hydrogen, based on the predicted results.
- (4)
- The effect of injector length on the temperature distribution and evolution during the fast-filling process was examined. The result showed increasing the length of the injector contributed to decreasing both the maximal temperature and mass averaged temperature during the fast-filling process.
Author Contributions
Conceptualization, B.Z., X.P., J.F. and X.J.; Data curation, H.W.; Funding acquisition, X.J.; Investigation, B.Z., H.W., X.P. and J.F.; Methodology, B.Z. and X.J.; Validation, B.Z. and H.W.; Writing—original draft, B.Z.; Writing—review & editing, X.P., J.F. and X.J. All authors have read and agreed to the published version of the manuscript.
Funding
This paper is supported by Inner Mongolia Major Science and Technology Major Project: 2020ZD0022.
Data Availability Statement
Not applicable.
Conflicts of Interest
The authors declare no conflict of interest.
References
- Dawood, F.; Anda, M.; Shafiullah, G.M. Hydrogen Production for Energy: An Overview. Int. J. Hydrog. Energy 2020, 45, 3847–3869. [Google Scholar] [CrossRef]
- Wan, C.; Zhou, L.; Xu, S.; Jin, B.; Ge, X.; Qian, X.; Xu, L.; Chen, F.; Zhan, X.; Yang, Y.; et al. Defect Engineered Mesoporous Graphitic Carbon Nitride Modified with AgPd Nanoparticles for Enhanced Photocatalytic Hydrogen Evolution from Formic Acid. Chem. Eng. J. 2022, 429, 132388. [Google Scholar] [CrossRef]
- Zhang, J.; Zheng, X.; Yu, W.; Feng, X.; Qin, Y. Unravelling the Synergy in Platinum-Nickel Bimetal Catalysts Designed by Atomic Layer Deposition for Efficient Hydrolytic Dehydrogenation of Ammonia Borane. Appl. Catal. B Environ. 2022, 306, 121116. [Google Scholar] [CrossRef]
- Ren, Z.H.; Zhang, X.; Gao, M.X.; Pan, H.G.; Liu, Y.F. Research Progress in Ti-Based Catalysts-Modified NaAlH4 Hydrogen Storage Materials. Chin. J. Rare Met. 2021, 45, 569–582. [Google Scholar]
- Society of Automotive Engineers. SAE J2601-201612 Fueling Protocols for Light Duty Gaseous Hydrogen Surface Vehicles; SAE International: Warrendale, PA, USA, 2016. [Google Scholar]
- Nasrifar, K. Comparative Study of Eleven Equations of State in Predicting the Thermodynamic Properties of Hydrogen. Int. J. Hydrogen Energy 2010, 35, 3802–3811. [Google Scholar] [CrossRef]
- Suryan, A.; Kim, H.; Setoguchi, T. Comparative Study of Turbulence Models Performance for Refueling of Compressed Hydrogen Tanks. Int. J. Hydrogen Energy 2013, 38, 9562–9569. [Google Scholar] [CrossRef]
- Li, M.; Bai, Y.; Zhang, C.; Song, Y.; Jiang, S.; Grouset, D.; Zhang, M. Review on the Research of Hydrogen Storage System Fast Refueling in Fuel Cell Vehicle. Int. J. Hydrogen Energy 2019, 44, 10677–10693. [Google Scholar] [CrossRef] [Green Version]
- Abohamzeh, E.; Salehi, F.; Sheikholeslami, M.; Abbassia, R.; Faisal Khand, F. Review of Hydrogen Safety during Storage, Transmission, and Applications Processes. J. Loss Prev. Process Ind. 2021, 72, 104569. [Google Scholar] [CrossRef]
- de Miguel, N.; Acosta, B.; Baraldi, D.; Melideo, R.; Cebolla, R.O.; Moretto, P. The Role of Initial Tank Temperature on Refuelling of On-Board Hydrogen Tanks. Int. J. Hydrogen Energy 2016, 41, 8606–8615. [Google Scholar] [CrossRef]
- Kim, S.C.; Lee, S.H.; Yoon, K.B. Thermal Characteristics during Hydrogen Fueling Process of Type IV Cylinder. Int. J. Hydrogen Energy 2010, 35, 6830–6835. [Google Scholar] [CrossRef]
- Dicken, C.J.B.; Mérida, W. Measured Effects of Filling Time and Initial Mass on the Temperature Distribution within a Hydrogen Cylinder during Refuelling. J. Power Sources 2007, 165, 324–336. [Google Scholar] [CrossRef]
- de Miguel, N.; Acosta, B.; Moretto, P.; Cebolla, R.O. The Effect of Defueling Rate on the Temperature Evolution of On-Board Hydrogen Tanks. Int. J. Hydrogen Energy 2015, 40, 14768–14774. [Google Scholar] [CrossRef]
- Galassi, M.C.; Baraldi, D.; Iborra, B.A.; Moretto, P. CFD Analysis of Fast Filling Scenarios for 70 MPa Hydrogen Type IV Tanks. Int. J. Hydrogen Energy 2012, 37, 6886–6892. [Google Scholar] [CrossRef]
- Johnson, T.; Bozinoski, R.; Ye, J.; Sartor, G.; Zheng, J.; Yang, J. Thermal Model Development and Validation for Rapid Filling of High Pressure Hydrogen Tanks. Int. J. Hydrogen Energy 2015, 40, 9803–9814. [Google Scholar] [CrossRef] [Green Version]
- Liu, J.; Zheng, S.; Zhang, Z.; Zheng, J.; Zhao, Y. Numerical Study on the Fast Filling of On-Bus Gaseous Hydrogen Storage Cylinder. Int. J. Hydrogen Energy 2020, 45, 9241–9251. [Google Scholar] [CrossRef]
- Chochlidakis, C.-G.; Rothuizen, E.D. Overall Efficiency Comparison between the Fueling Methods of SAEJ2601 Using Dynamic Simulations. Int. J. Hydrogen Energy 2020, 45, 11842–11854. [Google Scholar] [CrossRef]
- Liu, Y.-L.; Zhao, Y.-Z.; Zhao, L.; Li, X.; Chen, H.-G.; Zhang, L.-F.; Zhao, H.; Sheng, R.-H.; Xie, T.; Hu, D.-H. Experimental Studies on Temperature Rise within a Hydrogen Cylinder during Refueling. Int. J. Hydrogen Energy 2010, 35, 2627–2632. [Google Scholar] [CrossRef]
- Guo, J.; Xing, L.; Hua, Z.; Gu, C.; Zheng, J. Optimization of Compressed Hydrogen Gas Cycling Test System Based on Multi-Stage Storage and Self-Pressurized Method. Int. J. Hydrogen Energy 2016, 41, 16306–16315. [Google Scholar] [CrossRef]
- Xiao, J.; Wang, X.; Bénard, P.; Chahine, R. Determining Hydrogen Pre-cooling Temperature from Refueling Parameters. Int. J. Hydrogen Energy 2016, 41, 16316–16321. [Google Scholar] [CrossRef]
- Monde, M.; Tanaka, S.; Takano, T. Prediction of Filling Time and Temperature of Precooled Hydrogen during Filling of Hydrogen into a High-Pressure Tank; SAE Technical Paper; SAE International: Warrendale, PA, USA, 2010. [Google Scholar]
- Li, H.; Lyu, Z.; Liu, Y.; Han, M.; Li, H. The Effects of Infill on Hydrogen Tank Temperature Distribution during Fast Fill. Int. J. Hydrogen Energy 2021, 46, 10396–10410. [Google Scholar] [CrossRef]
- Bai, Y.; Zhang, C.; Duan, H.; Jiang, S.; Zhou, Z.; Grouset, D.; Zhang, M.; Ye, X. Modeling and Optimal Control of Fast Filling Process of Hydrogen to Fuel Cell Vehicle. J. Energy Storage 2021, 35, 102306. [Google Scholar] [CrossRef]
- Xiao, J.; Bi, C.; Bénard, P.; Chahine, R.; Zong, Y.; Luo, M.; Yang, T. Neural Network Based Optimization for Cascade Filling Process of On-Board Hydrogen Tank. Int. J. Hydrogen Energy 2021, 46, 2936–2951. [Google Scholar] [CrossRef]
- Rothuizen, E.D.; Mérida, W.; Rokni, M.; Wistoft-Ibsen, M. Optimization of Hydrogen Vehicle Refueling via Dynamic Simulation. Int. J. Hydrogen Energy 2013, 38, 4221–4231. [Google Scholar] [CrossRef]
- Rothuizen, E.; Rokni, M. Optimization of the Overall Energy Consumption in Cascade Fueling Stations for Hydrogen Vehicles. Int. J. Hydrogen Energy 2014, 39, 582–592. [Google Scholar] [CrossRef]
- Terada, T.; Yoshimura, H.; Tamura, Y.; Mitsuishi, H.; Watanabe, S. Thermal Behavior in Hydrogen Storage Tank for FCV on Fast Filling (2nd Report); SAE Technical Paper; SAE International: Warrendale, PA, USA, 2008. [Google Scholar] [CrossRef]
- Khan, M.; Islam, T.; Monde, M.; Setoguchi, T. Hydrogen Gas Filling into an Actual Tank at High Pressure and Optimization of Its Thermal Characteristics. J. Therm. Sci. 2009, 18, 235–240. [Google Scholar] [CrossRef]
- Melideo, D.; Baraldi, D.; Echevarria, N.D.M.; Iborra, B.A. Effects of Some Key-Parameters on the Thermal Stratification in Hydrogen Tanks during the Filling Process. Int. J. Hydrogen Energy 2019, 44, 13569–13582. [Google Scholar] [CrossRef]
- Zhao, L.; Liu, Y.; Yang, J.; Zhao, Y.; Zheng, J.; Bie, H.; Liu, X. Numerical Simulation of Temperature Rise within Hydrogen Vehicle Cylinder during Refueling. Int. J. Hydrogen Energy 2010, 35, 8092–8100. [Google Scholar] [CrossRef]
- Xiao, J.; Bénard, P.; Chahine, R. Estimation of Final Hydrogen Temperature from Refueling Parameters. Int. J. Hydrogen Energy 2017, 42, 7521–7528. [Google Scholar] [CrossRef]
- Kim, M.-S.; Ryu, J.-H.; Oh, S.-J.; Yang, J.-H.; Choi, S.-W. Numerical Investigation on Influence of Gas and Turbulence Model for Type III Hydrogen Tank under Discharge Condition. Energies 2020, 13, 6432. [Google Scholar] [CrossRef]
Publisher’s Note: MDPI stays neutral with regard to jurisdictional claims in published maps and institutional affiliations. |
© 2022 by the authors. Licensee MDPI, Basel, Switzerland. This article is an open access article distributed under the terms and conditions of the Creative Commons Attribution (CC BY) license (https://creativecommons.org/licenses/by/4.0/).











