A General Model for Analyzing the Unsteady Pressure Performance of Composite Gas Reservoirs
Abstract
1. Introduction
2. Materials and Methods
2.1. Dual Medium Model of Composite Gas Reservoir
2.1.1. Physical Model
2.1.2. Mathematical Model
2.2. Triple Medium Model of Composite Gas Reservoir
2.2.1. Physical Model
2.2.2. Mathematical Model
2.3. General Model
3. Results and Discussion
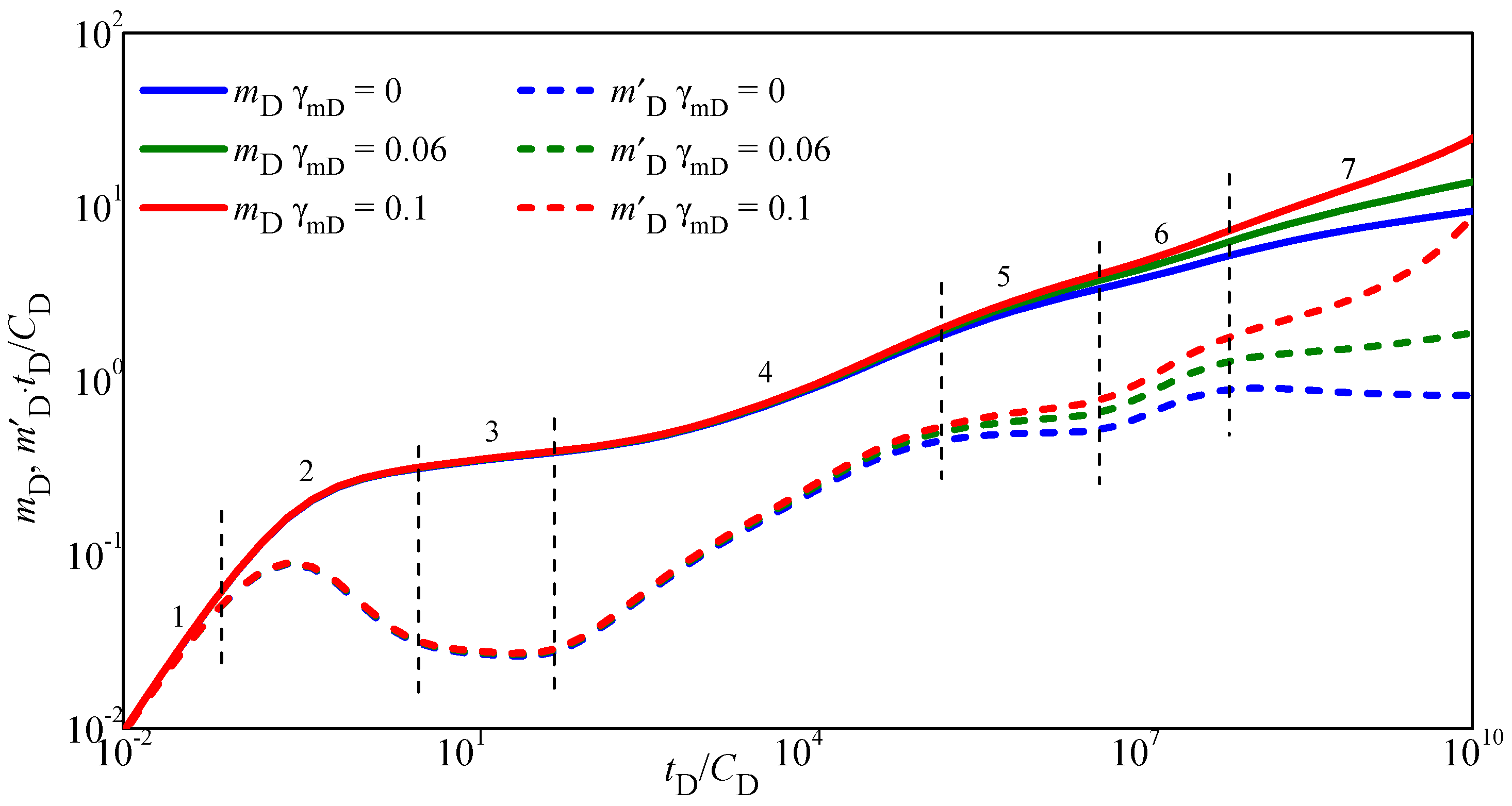
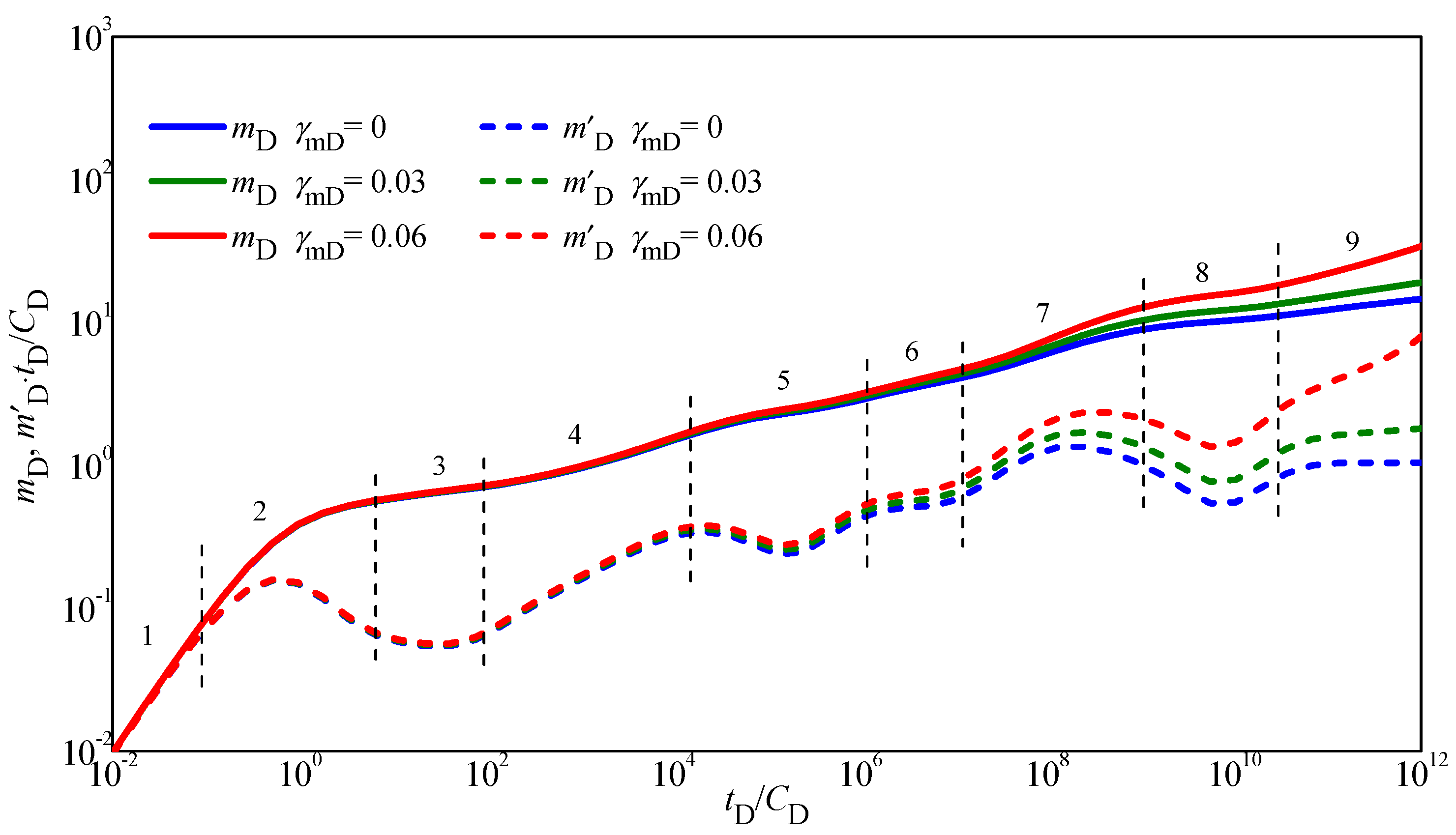
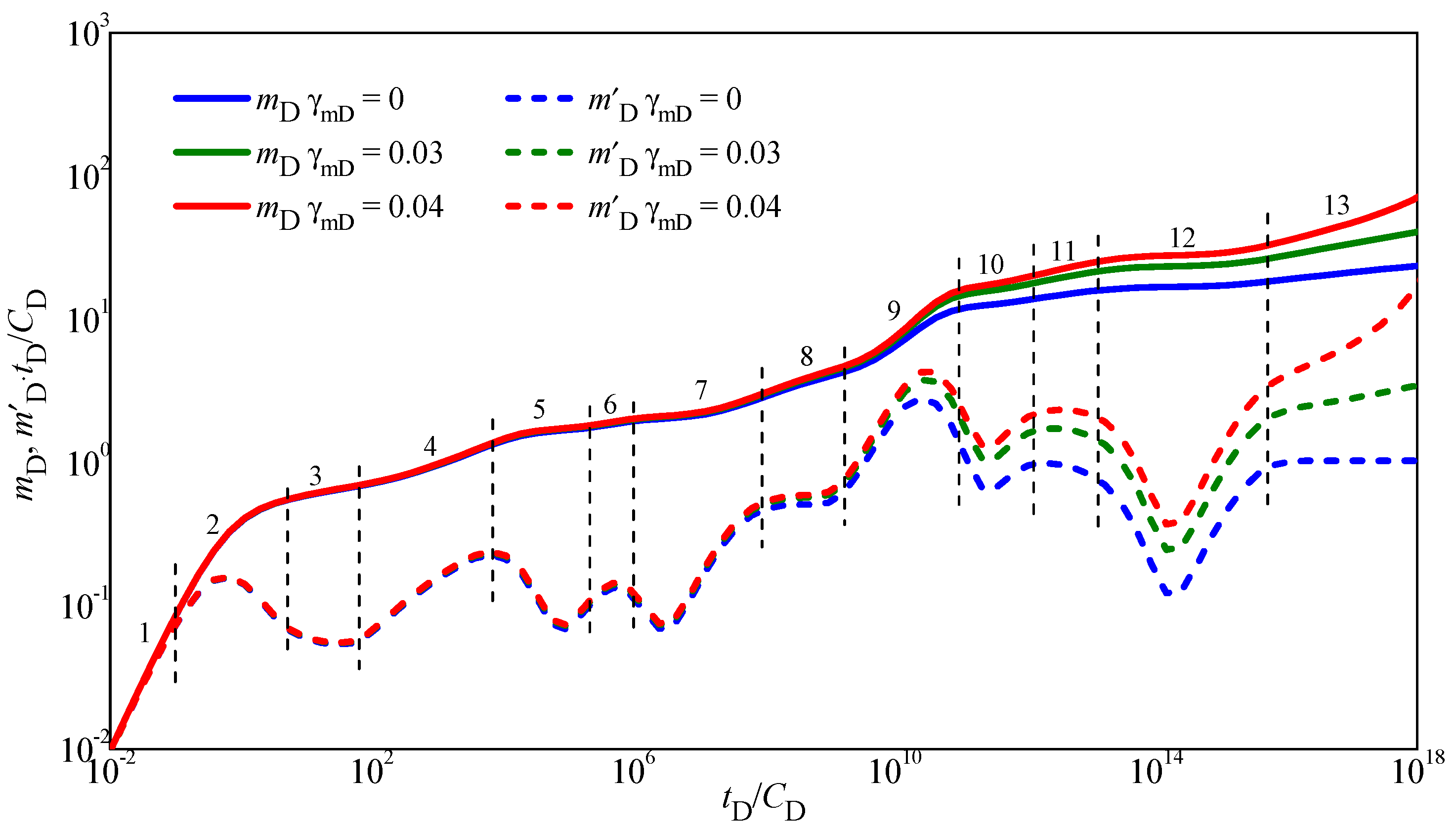
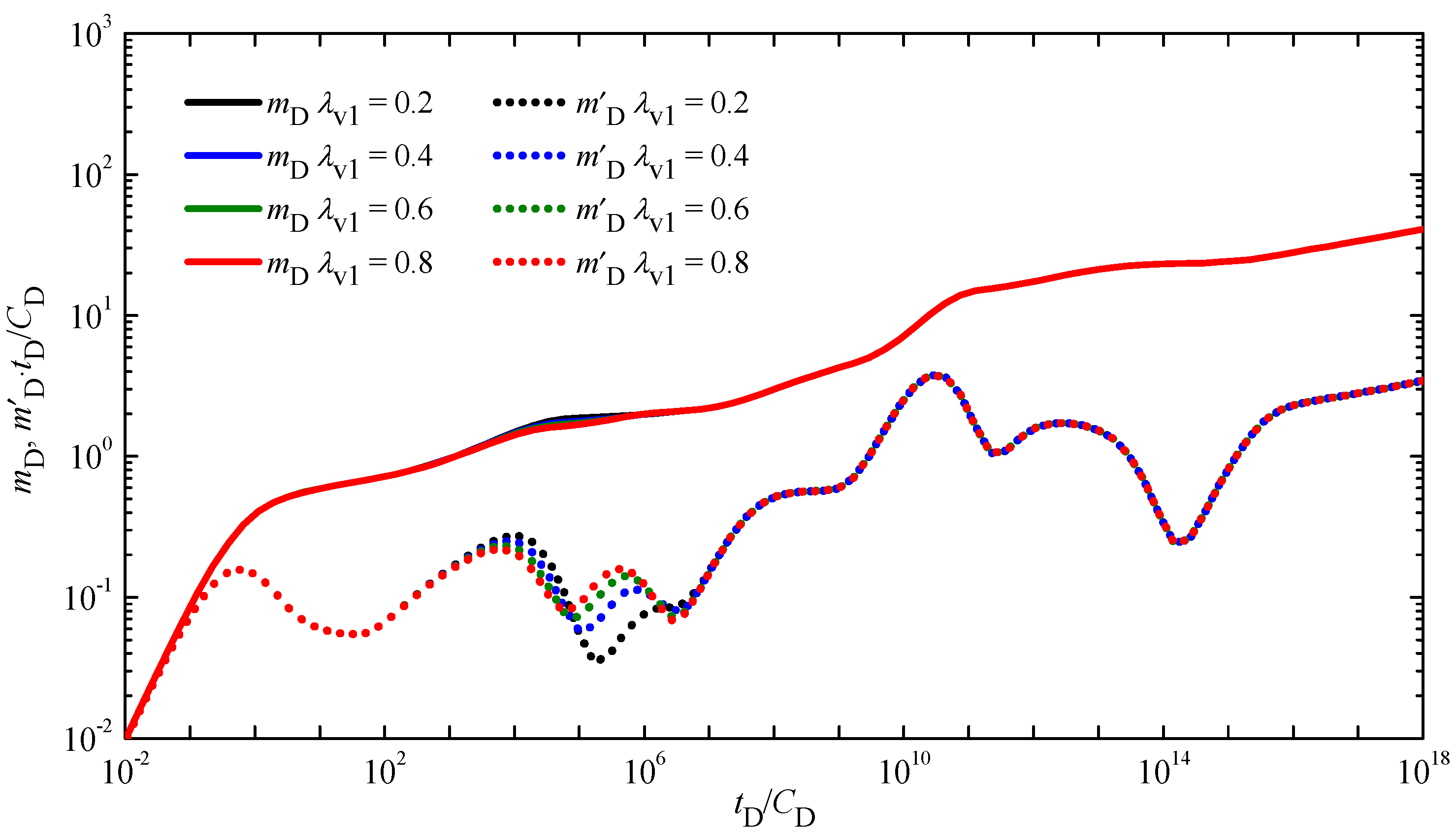
3.1. Curve Analysis
3.2. Model Validation
4. Conclusions
5. Suggestions
Author Contributions
Funding
Data Availability Statement
Conflicts of Interest
Nomenclature
| C | Wellbore storage coefficient, m3/MPa |
| CD | Dimensionless wellbore storage coefficient |
| Ct | Total compressibility coefficient, MPa−1 |
| h | Reservoir thickness, m |
| hD | Dimensionless reservoir thickness |
| Kv | Vertical permeability, μm2 |
| Kh | Horizontal permeability, μm2 |
| L | Horizontal section length, m |
| LD | Dimensionless horizontal section length |
| m | Pseudo pressure, MPa2/(mPa·s) |
| mD | Dimensionless pseudo pressure |
| r | Radial distance, m |
| rD | Dimensionless radial distance |
| z | Vertical distance, m |
| zD | Dimensionless vertical distance |
| zw | Horizontal section position, m |
| zwD | Dimensionless horizontal section position |
| p | Pressure, MPa |
| pi | Initial formation pressure, MPa |
| T | Absolute temperature, K |
| Z | Gas deviation factor |
| s | Laplace transform variable |
| S | Skin factor, dimensionless |
| t | Time, hours |
| tD | Dimensionless time |
| ε | Tiny variable |
| γm | Pseudo–permeability modulus, mPa·s/MPa2 |
| γmD | Dimensionless pseudo–permeability modulus |
| μ | Gas viscosity, mPa·s |
| ρ | Gas density, kg/m3 |
| φ | Porosity, fraction |
| λm | Interporosity flow coefficient between matrix and fracture, dimensionless |
| λv | Interporosity flow coefficient between cave and fracture, dimensionless |
| ωf | Storage ratio, fraction |
| ωm | Matrix storage ratio, fraction |
| ωv | Cave storage ratio, fraction |
| Subscripts: | |
| D | Dimensionless |
| f | Fracture |
| m | Matrix |
| v | Cave |
| j | 1, 2 (1 = inner zone, 2 = outer zone) |
References
- Liu, E.B.; Peng, Y.; Peng, S.B.; Yu, B.; Chen, Q.K. Research on low carbon emission optimization operation technology of natural gas pipeline under multi–energy structure. Pet. Sci. 2022. [Google Scholar] [CrossRef]
- Huang, Y.; Li, X.; Tan, X. Transient Pressure and Rate Decline Analysis for Horizontal Well in Stress–Sensitive Composite Reservoir. Math. Probl. Eng. 2018, 2018, 8672578. [Google Scholar] [CrossRef]
- Fatt, I.; Davis, D.H. Reduction in Permeability with Overburden Pressure. J. Pet. Technol. 1952, 4, 16. [Google Scholar] [CrossRef]
- Pedrosa, O.A. Pressure Transient Response in Stress–Sensitive Formations. In Proceedings of the SPE California Regional Meeting, Oakland, CA, USA, 2–4 April 1986. [Google Scholar]
- Warren, J.E. The behavior of naturally fractured reservoirs. Soc. Pet. Eng. J. 1963, 3, 245–255. [Google Scholar] [CrossRef]
- Closmann, P.J. Aquifer model for fissured reservoirs. Soc. Pet. Eng. J. 1975, 15, 385–398. [Google Scholar] [CrossRef]
- Jiang, L.; Liu, J.; Liu, T.; Yang, D. Semi–analytical modeling of transient pressure behaviour for a fractured vertical well with hydraulic/natural fracture networks by considering stress–sensitive effect—ScienceDirect. J. Nat. Gas Sci. Eng. 2020, 82, 103477. [Google Scholar] [CrossRef]
- Lu, J.; Rahman, M.M.; Yang, E.; Alhamami, M.T.; Zhong, H. Pressure transient behavior in a multilayer reservoir with formation crossflow. J. Pet. Sci. Eng. 2022, 208, 109376. [Google Scholar] [CrossRef]
- Zhao, Y.L.; Zhang, L.H.; Zhao, J.Z.; Luo, J.X.; Zhang, B.N. “Triple porosity” modeling of transient well test and rate decline analysis for multi–fractured horizontal well in shale gas reservoirs. J. Pet. Sci. Eng. 2013, 110, 253–262. [Google Scholar] [CrossRef]
- Guo, J.; Zhang, L.; Zhu, Q. A quadruple–porosity model for transient production analysis of multiple–fractured horizontal wells in shale gas reservoirs. Environ. Earth Sci. 2015, 73, 5917–5931. [Google Scholar] [CrossRef]
- Chen, L.; Liu, Y.; Zhu, Z.; Gao, D.; Cao, W.; Li, Q. The discrete numerical model and transient pressure curves offractured–vuggy units in carbonate reservoir. Sci. Technol. Rev. 2017, 35, 89–95. [Google Scholar]
- Li, W.; Li, S.; Zhang, S.; Dong, X.; Fan, Q. Application of a constructive method in solving the composite reservoir model of dual–porosity media with fractal characteristics. J. Pet. Sci. Eng. 2021, 208, 109702. [Google Scholar] [CrossRef]
- Meng, F.; Lei, Q.; He, D.; Yan, H.; Jia, A.; Deng, H.; Xu, W. Production performance analysis for deviated wells in composite carbonate gas reservoirs. J. Nat. Gas Sci. Eng. 2018, 56, 333–343. [Google Scholar] [CrossRef]
- Zhao, Y.L.; Xie, S.C.; Peng, X.L.; Zhang, L.H. Transient pressure response of fractured horizontal wells in tight gas reservoirs with arbitrary shapes by the boundary element method. Environ. Earth Sci. 2016, 75, 1220. [Google Scholar] [CrossRef]
- Wu, M.; Ding, M.; Yao, J.; Xu, S.; Li, L.; Li, X. Pressure transient analysis of multiple fractured horizontal well in composite shale gas reservoirs by boundary element method. J. Pet. Sci. Eng. 2017, 162, 84–101. [Google Scholar] [CrossRef]
- Zhu, L.; Liao, X.; Chen, Z. Pressure Transient Analysis of Vertically Fractured Well in Tight Oil Reservoirs with Rectangle Stimulated Reservoir Volume. In Proceedings of the SPE Kingdom of Saudi Arabia Annual Technical Symposium and Exhibition, Dammam, Saudi Arabia, 24–27 April 2017. [Google Scholar]
- Wang, M.; Fan, Z.; Xing, G.; Zhao, W.; Song, H.; Su, P. Rate Decline Analysis for Modeling Volume Fractured Well Production in Naturally Fractured Reservoirs. Energies 2018, 11, 43. [Google Scholar] [CrossRef]
- Liu, S. Special Functions; Meteorological Press: Beijing, China, 2002; pp. 386–427. [Google Scholar]
- Duan, Z. Equations of Mathematical Physics & Special Functions; Higher Education Press: Beijing, China, 2008; pp. 119–128. [Google Scholar]










| Variable | Variable | ||
|---|---|---|---|
| Fracture pseudo pressure | Permeability modulus | ||
| Matrix pseudo pressure | Storage coefficient | ||
| Storage ratio | Pressure transmitting coefficient ratio | ||
| Interporosity coefficient | Time |
| Variable | Variable | ||
|---|---|---|---|
| Fracture pseudo pressure | Storage coefficient | ||
| Matrix pseudo pressure | Fracture storage ratio | ||
| Cave pseudo pressure | Matrix–fracture interporosity coefficient | ||
| Fracture storage ratio | Cave–fracture interporosity coefficient | ||
| Matrix storage ratio | Time | ||
| Cave storage ratio | Pressure transmitting coefficient ratio |
| Parameters | Value |
|---|---|
| Vertical permeability of inner zone Kv1 (μm2) | 3.85 × 10−4 |
| Horizontal permeability of inner zone Kh1 (μm2) | 6.39 × 10−4 |
| Skin factor S | 0.62 |
| Mobility ratio M12 | 4.54 |
| Outer–zone interporosity flow coefficient λ2 | 0.08 |
| Outer–zone storage ratio ω2 | 0.41 |
| Inner zone radius rm (m) | 177 |
| Pseudo permeability modulus γm (mPa·s/MPa2) | 0.53 × 10−4 |
Publisher’s Note: MDPI stays neutral with regard to jurisdictional claims in published maps and institutional affiliations. |
© 2022 by the authors. Licensee MDPI, Basel, Switzerland. This article is an open access article distributed under the terms and conditions of the Creative Commons Attribution (CC BY) license (https://creativecommons.org/licenses/by/4.0/).
Share and Cite
Huang, Y.; Ma, M.; Wang, X.; Li, X. A General Model for Analyzing the Unsteady Pressure Performance of Composite Gas Reservoirs. Energies 2022, 15, 8362. https://doi.org/10.3390/en15228362
Huang Y, Ma M, Wang X, Li X. A General Model for Analyzing the Unsteady Pressure Performance of Composite Gas Reservoirs. Energies. 2022; 15(22):8362. https://doi.org/10.3390/en15228362
Chicago/Turabian StyleHuang, Yu, Mingfeng Ma, Xin Wang, and Xiaoping Li. 2022. "A General Model for Analyzing the Unsteady Pressure Performance of Composite Gas Reservoirs" Energies 15, no. 22: 8362. https://doi.org/10.3390/en15228362
APA StyleHuang, Y., Ma, M., Wang, X., & Li, X. (2022). A General Model for Analyzing the Unsteady Pressure Performance of Composite Gas Reservoirs. Energies, 15(22), 8362. https://doi.org/10.3390/en15228362

