Abstract
Biogas production is one of the solutions for replacing fossil fuels, which promotes the widespread use of green energy. The aim of this study was to determine the potential of Silphium perfoliatum as an energy crop for biogas production, as well as the effect of different fertilization doses (0, 85 and 170 kg N ha−1) on the production potential (NL CH4 kg−1 VS) of Silphium perfoliatum. The study investigated the use of different feedstocks, such as raw and ensiled Silphium perfoliatum biomass. The methane production ranged between 193.59 and 243.61 NL CH4 kg−1 VS. The highest biogas production potential was achieved with the biomasses which were cultivated with the highest fertilization dose (170 kg N ha−1), both for raw and ensiled crop biomasses, although the difference from the other fertilization doses was not significant. The feedstock (biomass and silage) and digestate parameters were investigated as well. The use of Silphium perfoliatum for biogas production seems very promising since its methane production potential was found to be similar to that of the most common energy crop, such as maize, indicating that Silphium perfoliatum can compete in the future with maize.
1. Introduction
In the last few decades of the 20th century, fossil fuels were the most important source of energy used worldwide, having a huge impact on the technological and economic development of many countries [1]. However, their widespread use has had detrimental consequences for the environment by increasing the level of CO2 released into the atmosphere, which highly contributes to global warming and climate change [2,3]. Now, fossil fuels are continuing to be used widely in energy production. But facing the depletion of fossil fuels and their constantly rising prices, new and considerably less polluting renewable energy sources are needed [4]. Although European countries have set out to reach a certain percentage/target of renewable energy share to reach by 2020 [5], some of them, including Poland, have not been able to achieve the proposed target. Therefore, it is very important to investigate and implement the use of renewable energy sources on a large scale.
Anaerobic digestion is a biological process that converts biomass into energy/methane [6]. Digestate is the main anaerobic digestion byproduct from which methane has been obtained that can be used as a substitute for mineral fertilizers [7,8]. Nowadays, this process is used to convert biomass to obtain methane as a source of green renewable energy. The production and use of biogas contribute in many aspects to economic, environmental, and social factors [9,10,11]. Biogas can be obtained from a manifold of substrates. All that is needed is a biomass that contains carbon, carbohydrates, proteins, fats, cellulose and hemicellulose. Currently, biogas is produced from various types of biomass, such as residues from fruits and vegetables, slurry, maize, silage, manure, agricultural and industrial wastes, municipal organic wastes, sewages and sludges [12]. Poland is one of the most important biomass exporters in Europe [13,14] and at the national level, the biomass represents the highest raw material (79%) to obtain energy from renewable energy sources (RES) [15] and could influence the EU market towards bio-based economy [16]. At the end of 2019, there were 103 biogas agricultural plants in Poland [17], while for example, Germany has more than 9000 [6]. The most popular agricultural feedstocks for biogas production in Poland in the last year were distillery stillage (20.6%), residues from fruits and vegetables (19.4%), slurry (18.5%). Maize silage (10.6%) is widely used as well [17]. Mono–digestion of, for example, manure releases low methane yields, and hence co-digestion with energy crops is more preferable [18], and mixing substrates can also have positive effects [19].
Some recent studies [20,21] describe a possible and promising use of Silphium perfoliatum for biogas production after an anaerobic digestion process [22]. In this context, it is highly possible that the use of Silphium perfoliatum for co-digestion could improve and contribute to the higher yield of methane. Silphium perfoliatum belongs to the sunflower family Asteraceae. It is used and investigated for its properties as feed [23,24,25,26,27], as well as for its content of active compounds which are used for pharmaceutical and cosmetic purposes [28,29,30]. Silphium perfoliatum is a species that in the future may provide a source of renewable energy [10,20]. Silphium perfoliatum plantations can be exploited for a period of over 20 years with one or two harvests during the growing/vegetation season. It contributes to the improvement of the soil quality due to the reduced agricultural operations, as well as being beneficial to biodiversity [31,32,33]. It is less competitive with food and feed, compared with the most common agricultural crop used for biogas production, i.e., maize [33,34]. Its productivity of biogas is currently investigated [31,32,33] as the plant is considered a promising energy crop that could replace maize [35] in regions where lands are highly affected by intensive agriculture, as well as on marginal soils that are not suitable for the cultivation of other agricultural crops [36]. Another product following the production of biogas is digestate, which—depending on its characteristics and origin—can be used as a bio-fertilizer or for the production of solid biofuel [37,38].
Therefore, the novel perennial energy crop Silphium perfoliatum, which is more often proposed as an alternative crop for biogas production, has been investigated in the present study to gain new knowledge regarding its suitability as a biogas substrate in order to expand its use to a much wider scale. Particular attention was paid to its use as raw material or as silage, as well as the influence of fertilization on biogas and methane production. Withal, the digestate after the end of biogas fermentation was investigated to allow for a more comprehensive evaluation of its properties. The aim of this research was to investigate the potential of biogas production from Silphium perfoliatum as raw biomass, and silage as a feedstock for agricultural biogas plants depending on the form (organic and mineral) and doses of fertilization applied, as well as the characteristics of the digestate.
2. Materials and Methods
2.1. Organization of Experimental Works
The research was composed of two different experimental stages focused on the type of feedstock: raw biomass Silphium perfoliatum (stage 1) and silage of Silphium perfoliatum (stage 2), and three experimental series, analyzing the form of fertilization (organic, mineral and control without fertilizer). In each series, there were three variants, i.e., doses of fertilization (0, 85 and 170 kg ha−1 N) used every year after the onset of vegetative growth. The research design is presented in Table 1.
Table 1.
The research design.
2.2. Feedstock Origin
The substrate used in the present study was raw and ensiled Silphium perfoliatum. The biomass collected was green forage from whole plants. The field experiment was conducted on land owned by the Research Station of the University of Warmia and Mazury in Olsztyn (UWM) in the village of Łężany (Poland). Plants of Silphium perfoliatum were harvested at the maturity stage in the third and fourth years of growth. They were cut with a rotary mower in the first ten days of September 2019 and 2020. Chopping was performed with a device for cutting and grinding (Viking Ge220).
Anaerobic sludge, which served as the inoculum for the fermentation process in bioreactors, came from a closed bioreactor with a capacity of 7300 m3 operated at 36 °C. The characteristics of anaerobic sludge are provided in Table 2.
Table 2.
Characteristics of anaerobic sludge used as the inoculum for the fermentation process in bioreactors.
2.3. Silage Preparation
Silage investigated in the present study was preserved by ensiling Silphium perfoliatum in 1000 mL plastic silos on the day of harvesting, immediately after chopping. Ensiling began by filling in every silo manually by compaction. All silos were filled completely and subsequently sealed, obtaining an average density of 867 kg m−3. The silos were stored at a temperature of 10–15 °C, for a period of 7 months before starting the measurements. Moreover, fresh silage samples were dried at 105 °C for 24 h and then crushed in a fiber mill (Retsch SM 200, Retsch GmbH, Haan, Germany) to a particle size of 1 mm for chemical analyzes. Silage was prepared in triplicate, without silage additives or preservatives.
2.4. Anaerobic Digestion Test
The biogas generation from raw material and silage was carried out for 25 days under mesophilic conditions (37 °C) in Automatic Methane Potential Test System II (AMPTS II) reactors coupled with a system recording changes in partial pressure. The amount of methane produced in AMPTS II was measured every three hours throughout the process. Tests were performed on a laboratory scale in 500 cm3 reactors (glass vessels) filled with approximately 190 g of the inoculum and then assumed amounts of substrate were added (depending on the content of organic matter). Moreover, 200 g of inoculum substrate-free was used as a negative control sample. In the technological repetitions, the initial load varied between 4.5 and 5.5 g VS/L, respectively. Was recalculated amounts of substrate. Anaerobic conditions were achieved by removing oxygen from the reactors (the feedstock and gas phase of the reactors), which was purged with compressed nitrogen. Reactors were equipped with automated stirrers (mixing the content at 100 rpm for 30 s every 10 min), a stabilizing system, and temperature control. The pressure (biomethane production) report was automatically recorded daily, in already normalized data (1.0 standard atmospheric pressure, 0 °C and zero moisture content), using the bioprocess control software. The composition of biogas was measured at the end of the process using a 10 mL injection volume syringe probing into the gas chromatograph connected to a thermal conductivity detector (TCD) (GC Agilent 7890 A–Agilent Technologies, Santa Clara, CA, USA). Helium (He) and argon (Ar) were used as the carrier gases at a flow of 15 mL/min. The temperatures of the injection and detector ports were 150 °C and 250 °C, respectively. Methane yields were calculated as the methane volume produced over a period of 25 days. The perfect gas equation was the basis for computing the volume of produced methane. The endogenous production of the anaerobic sludge was excluded from the calculations of methane production of the tests.
2.5. Analytical Methods
At the beginning of the trials, substrates (raw and silage), inoculum and digestate were analyzed for dry matter content, organic dry matter content, ash content, carbon content and total nitrogen. For the substrates, inoculum and digestate samples, moisture, dry matter content and organic dry matter were determined with the gravimetric method by drying in an oven at 105 °C for 24 h (EN ISO 18134–1:2015 using the FD series laboratory dryer (FD BINDER series, Tuttlingen, Germany)). Ash content was determined using an automatic ELTRA TGA–THERMOSTEP analyzer (ELTRA GmbH, Neuss, Germany) according to the PN–EN ISO 18122:2016–01. The carbon content was determined using an automatic ELTRA CHS–500 analyzer (ELTRA GmbH, Neuss, Germany) PN–EN ISO 16948:2015–07. The total nitrogen was determined by the Kjeldahl method with the use of a K–435 mineralizer and B–324 BUCHI distiller (Büchi Labortechnik AG, Flawil, Switzerland).
2.6. Statistical Analysis
All experimental variants were conducted in triplicate. Statistical analysis of the results was supported by a Statistical 13.3 PL package. Thus, the reaction rate constants (k) based on experimental data were determined by non-linear regression. The rate of biogas production (r) could be determined for each experimental variant. The iterative method was applied, in which the function is replaced in each iterative step with a linear differential in relation to the determined parameters. The coefficient of convergence φ2 was adopted as the measure of the curve’s fit (with determined parameters) to experimental data. This coefficient is the ratio of the sum square of deviations of experimental values to the sum square of deviations of experimental values from the mean value. A three-way analysis of variance (ANOVA) was carried out to determine the significance of differences between the variables. To determine the significance of differences between the analyzed variables, Tukey’s HSD test was used. In all tests, differences were considered significant at p < 0.05. The Pearson correlation coefficient between the analyzed trials was also determined.
3. Results and Discussion
3.1. Biomass Characteristics
The characteristics of the Silphium perfoliatum (raw biomass and silage) used in the study are presented in Table 3. The DM had values between 22.5–25.3% for raw material and 20.6–21.8% for silage. In the studied biomass, the ODM had values between 90.3–92.0% for raw material and 89.5–91.9% for silage. The analysis showed that the substrate type (raw biomass and silage) influenced the ODM, ash content, C, N content and the C/N ratio (Table 4). In turn, the fertilization type significantly influenced ODM, ash content, dry matter content, N content and C/N ratio. On the other hand, the fertilization dose had a significant effect only on the N content and C/N ratio. By analyzing the influence of the interaction of the main factors, it was found that only the fertilization type × N dose had an effect on DM content. A positive correlation between DM and methane and biogas production was also observed (Table 5). Previous studies on other perennial crops as well show that the N fertilization dose influences the N content and C/N ratio and improved the biomass quality [39,40].
Table 3.
Characteristics of raw material and silage of Silphium perfoliatum used for the preparation of feedstock. (O85—organic fertilization 85 kg ha−1 N; O170—organic fertilization 170 kg ha−1 N; M85—mineral fertilization 85 kg ha−1 N; M170—mineral fertilization 170 kg ha−1 N; C—without fertilization).
Table 4.
Analysis of variance (p values) for the analyzed features.
Table 5.
The Pearson correlation coefficients for the analyzed trials.
The results of our experiments showed that the highest C/N ratio was found in Silphium perfoliatum raw biomass with the organic fertilization dose of 85 kg ha−1 N (62.3); meanwhile, the lowest C/N ratio was found in Silphium perfoliatum raw biomass with the mineral fertilization dose of 170 kg ha−1 N (41.7) (Table 3). However, the fertilization type and N dose had a significant impact on the C/N ratio in the biomass (Table 4), but the values of this parameter were not correlated with the production of biogas (Figure 1). The results of our investigation showed the opposite of the observation regarding other energy crops which show that there was a correlation between the C/N ratio and biogas yield; this is not the rule, but the inappropriate C/N ratio is unfavorable for AD [40].
Figure 1.
Correlation of biogas yields of substrates with a C/N ratio of raw (a) and silage (b) from Silphium perfoliatum.
The characteristics of the mixture of anaerobic sludge and substrate are provided in Table 6. The carbon and nitrogen (C/N) ratio in the substrate is one of the most important factors that influence biogas production [41]. In the present study, it was found that the use of Silphium perfoliatum biomass as a feedstock for anaerobic digestion significantly improved the value of the C/N ratio. However, the literature review provides the optimal ranges of the C/N ratio for an undisturbed course of anaerobic digestion in the range of 10 to 30 [42] or even in a narrower range from 20 to 30 [43].
Table 6.
Characteristics of the mixture of anaerobic sludge and substrate raw material/silage of Silphium perfoliatum used for the anaerobic digestion test.
3.2. Methane and Biogas Production
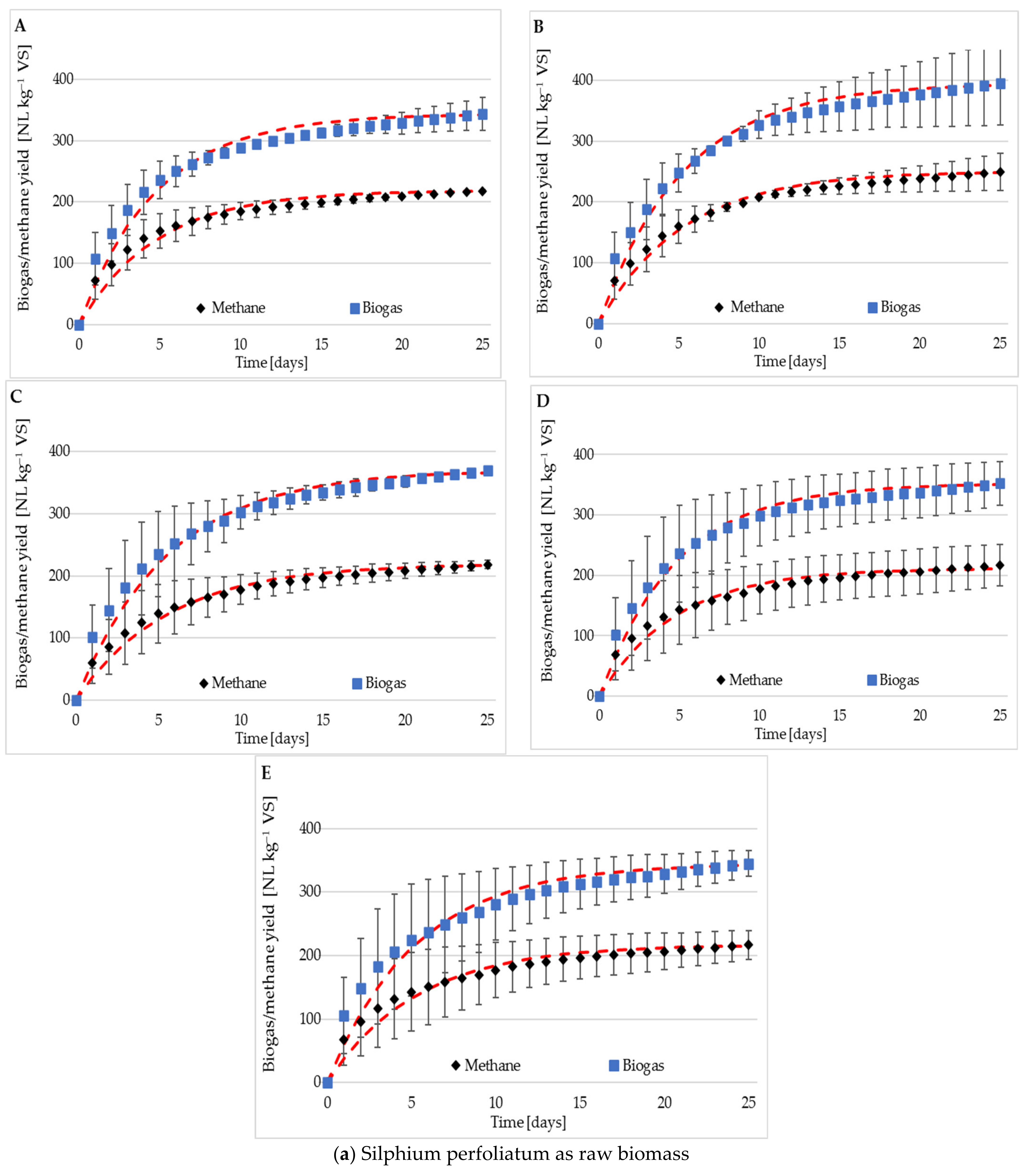
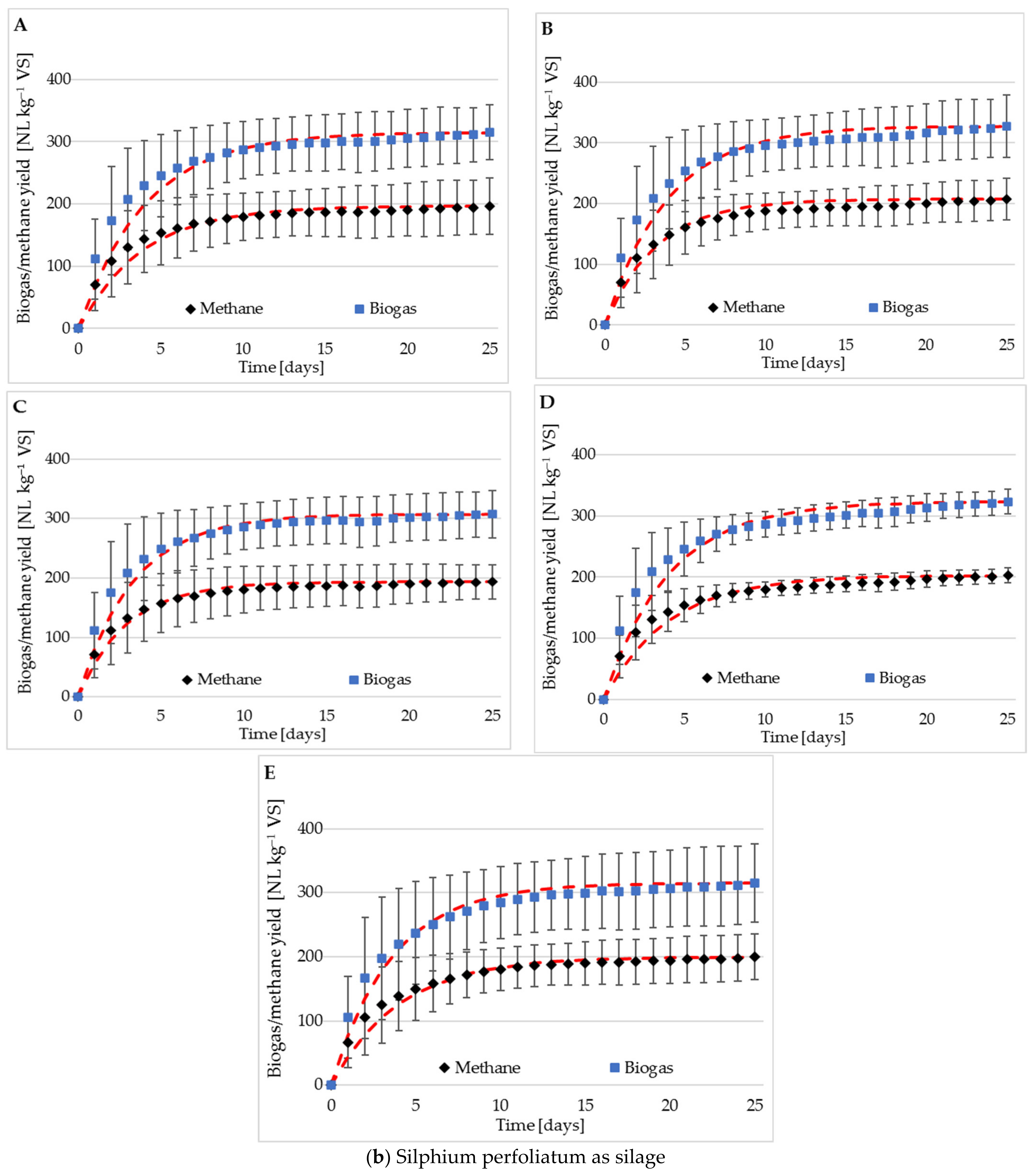
Daily biogas and methane production from the raw substrates and silages of Silphium perfoliatum is presented in Figure 2. The methane and biogas yields of Silphium perfoliatum averaged between 222.82 and 361.18 NL kg−1 VS, respectively, for raw biomass, and 200.09 and 317.59 NL kg−1 VS for silage. Methane yields are evaluated on a DM–basis, but the results are presented and discussed on a VS–basis. Higher methane yields were obtained in Germany, 232–321 NL kg−1 VS [32,44,45,46,47], the Republic of Moldova, 275 NL kg−1 VS [48] and the Czech Republic, 276 NL kg−1 VS [33]. In the present study, methane and biogas production showed differences between substrate type—raw material and silage. The methane production differed significantly in the case of substrate type, ranging from 193.59 to 243.61 NL kg−1 VS (Figure 2). The highest methane and biogas yield: 243.61 and 395.15 NL kg−1 VS, respectively, was achieved from raw material with the mineral fertilization dose of 170 kg ha−1 N (Figure 2a), as well as 204.26 and 327.45 NL kg−1 VS, respectively from silage with the mineral fertilization dose 170 kg ha−1 N (Figure 2b). The highest effectiveness was achieved with the mineral fertilization dose of 170 kg ha−1 N and silage (Figure 2b) at the production rate of r = 90.0 cm3 d−1 and methane content of 63.2 ± 0.8% (Table 7) and with the mineral fertilization dose of 170 kg ha−1 N and raw biomass (Figure 2a), at the production rate of r = 75.1 cm3 d−1 and methane content of 62.2 ± 3.2% (Table 7). Nonetheless, there were not any significant statistical differences regarding biogas and methane production between fertilization type, and the N dose and between all interactions (Table 4). In a similar study where different energy crops were investigated, it was found that the N dose significantly influenced the methane and biogas production (maize and sunflower) but was not a rule for all energy crops (sorghum and triticale) [40].

Figure 2.
Cumulative methane and biogas yield (NL kg−1 VS) of Silphium perfoliatum as raw biomass (a) and as silage (b) in the 25-day test, depending on the type of fertilization (kg ha−1 N): (A) mineral fertilization 85, (B) mineral fertilization 170, (C) organic fertilization 85, (D) organic fertilization 170, (E) without fertilization.
Table 7.
Biogas production rate (r), the reaction rate constant (k) and methane (CH4), carbon dioxide (CO2) content in biogas of the analyzed raw material, and silage of Silphium perfoliatum.
3.3. Methane Content
The biogas production rate, reaction rate constant, methane and carbon dioxide content in biogas from raw material and silage is presented in Table 7. It was found that the Silphium perfoliatum silage was easier and faster biodegradable in anaerobic conditions. In the case of silage, r values ranged from 80.8 to 90.0 cm3 d–1. In the case of raw biomass, they ranged from 65.5 to 75.1 cm3 d–1. The highest content of methane was achieved in silage and raw biomass substrates without fertilization, 63.6% and 62.4%, respectively. But, there were no significant statistical differences regarding the content of methane and carbon dioxide between analyzed features (substrate type, fertilization type and N dose) and between their interaction (Table 4). In a study conducted in Poland, the methane content of maize straws was found between 48.97 and 50.26% CH4 [49]. Of course, this value (of corn straw) is much lower compared to the maize silage, which has a value corresponding to 56–59% CH4 [40], or even up to 65% CH4 at the beginning of the process [50].
3.4. Digestate Characteristic
Digestate is the substance that remains after the end of the biogas generation process. It is rich in various active substances that can be extracted or reused as fertilizer, depending on the content of micro and macronutrients [38].
Its composition and the amounts of certain elements largely depend on the raw material used to produce biogas. The content of the DM, ODM, ash content, C/N ratio, and nitrogen (N) of the digestate and inoculum after anaerobic digestion (I.A.A.D) is presented in Table 8. The measurements were carried out in three replication and the results were averaged. The studied digestate DM had values between 6.7 and 6.9% depending on the fertilization dose supplied to Silphium perfoliatum, and was slightly lower for the digestate obtained after AD (anaerobic digestion). The carbon and nitrogen content of digestate is very important for the C/N ratio. To be used safely as fertilizer in agriculture, it is recommended the C/N ratio be between 15 and 20 without some pretreatment operations [51]. This ratio was much lower in the present study (between 11.5–12.3 from silage and 12.1–12.8 from raw material).
Table 8.
Characteristic of digestate from raw material and ensiled Silphium perfoliatum.
4. Conclusions
In the present study, the influence of different fertilization types, nitrogen dose and substrate types (row biomass and silage) of the Silphium perfoliatum for biogas production was investigated. It was found that the substrate type has a significant influence on most of the analyzed features. This study indicates that Silphium perfoliatum can be used to produce biogas. However, the yield of biogas and methane may differ under the effect of different types and doses of fertilizers, although the differences were small. On the other hand, the yield of methane and biogas significantly depends only on the substrate type. It is noteworthy that the C/N ratio is an important factor that influences biogas production but, in our study, there was no correlation between these two parameters. Future studies will require an investigation of the amount of biomass per hectare, to determine what amount/yield of biogas and methane can be obtained from a given area depending on the amount of fertilizer used per hectare.
Author Contributions
Conceptualization, D.P., M.D. and M.J.S.; methodology, M.D. and D.P.; formal analysis, M.D. and M.J.S.; validation, M.D. and M.J.S.; investigation, D.P. and M.D.; resources, M.D. and M.J.S.; data curation, D.P., M.D. and M.J.S.; writing—original draft preparation, D.P.; writing—review and editing, D.P., M.D. and M.J.S.; visualization, D.P., M.D. and M.J.S.; supervision M.D. and M.J.S.; funding acquisition, M.D. and M.J.S. All authors have read and agreed to the published version of the manuscript.
Funding
The results presented in this paper were obtained as part of a comprehensive study financed by the University of Warmia and Mazury in Olsztyn, Faculty of Agriculture and Forestry, Department of Genetics, Plant Breeding and Bioresource Engineering (granted by Ministry Education and Science No. 30.610.007-110).
Institutional Review Board Statement
Not applicable.
Informed Consent Statement
Not applicable.
Data Availability Statement
Not applicable.
Acknowledgments
Dumitru Peni is a recipient of a scholarship from the program of Interdisciplinary Doctoral Studies in Bioeconomy (POWR. 03.02.00-00-I034/16-00), which is funded by the European Social Fund. We would also like to thank the technical staff of the Department of Genetics, Plant Breeding and Bioresource Engineering and the Department of Environmental Engineering for their technical support during the experiment.
Conflicts of Interest
The authors declare no conflict of interest.
References
- Kazimierowicz, J.; Dzienis, L. Giant miscanthus as a substrate for biogas production. J. Ecol. Eng. 2015, 16, 139–142. [Google Scholar] [CrossRef]
- Paolini, V.; Petracchini, F.; Segreto, M.; Tomassetti, L.; Naja, N.; Cecinato, A. Environmental impact of biogas: A short review of current knowledge. J. Environ. Sci. Health A 2018, 53, 899–906. [Google Scholar] [CrossRef] [PubMed] [Green Version]
- Masson-Delmotte, V.; Zhai, P.; Pörtner, H.-O.; Roberts, D.; Skea, J.; Shukla, P.R.; Pirani, A.; Moufouma-Okia, W.; Péan, C.; Pidcock, R.; et al. IPCC Special Report: Global Warming of 1.5 °C—Summary for Policymakers; World Meteorological Organization: Geneva, Switzerland, 2018; pp. 1–32. [Google Scholar]
- Zieliński, M.; Dębowski, M.; Kazimierowicz, J. The Effect of Electromagnetic Microwave Radiation on Methane Fermentation of Selected Energy Crop Species. Processes 2022, 10, 45. [Google Scholar] [CrossRef]
- EU Commission. Directive 2009/28/EC of the European Parliament and of the Council of 23 April 2009 on the Promotion of the Use of Energy from Renewable Sources and Amending and Subsequently Repealing Directives 2001/77/EC and 2003/30/EC. Off. J. Eur. Union 2009, 11, 39–85. [Google Scholar]
- Scarlat, N.; Dallemand, J.-F.; Fahl, F. Biogas: Developments and perspectives in Europe. Renew. Energy 2018, 129, 457–472. [Google Scholar] [CrossRef]
- Kazimierowicz, J. Organic waste used in agricultural biogas plants. J. Ecol. Eng. 2014, 15, 88–92. [Google Scholar] [CrossRef]
- Lukehurst, C.T.; Frost, P.; Al Seadi, T. Utilisation of Digestate from Biogas Plants as Biofertiliser; IEA Bioenergy: Paris, France, 2010; pp. 1–36. [Google Scholar]
- Thrän, D.; Schaubach, K.; Majer, S.; Horschig, T. Governance of sustainability in the German biogas sector—Adaptive management of the Renewable Energy Act between agriculture and the energy sector. Energy Sustain. Soc. 2020, 10, 3. [Google Scholar] [CrossRef]
- Stolarski, M.J.; Krzyżaniak, M.; Śnieg, M.; Słomińska, E.; Piórkowski, M.; Filipkowski, R. Thermophysical and chemical properties of perennial energy crops depending on harvest period. Int. Agrophys. 2014, 28, 201–211. [Google Scholar] [CrossRef] [Green Version]
- Hijazi, O.; Munro, S.; Zerhusen, B.; Effenberger, M. Review of life cycle assessment for biogas production in Europe. Renew. Sustain. Energy Rev. 2016, 54, 1291–1300. [Google Scholar] [CrossRef]
- Kazimierowicz, J.; Zieliński, M.; Dębowski, M. Influence of the Heating Method on the Efficiency of Biomethane Production from Expired Food Products. Fermentation 2021, 7, 12. [Google Scholar] [CrossRef]
- Gołuchowska, B.; Sławiński, J.; Markowski, G. Biomass utilization as a renevable energy source in polish power industry–current status and perspectives. J. Ecol. Eng. 2015, 16, 143–154. [Google Scholar] [CrossRef] [Green Version]
- Stolarski, M.J.; Warmiński, K.; Krzyżaniak, M.; Olba–Zięty, E.; Akincza, M. Bioenergy technologies and biomass potential vary in Northern European countries. Renew. Sustain. Energy Rev. 2020, 133, 110238. [Google Scholar] [CrossRef]
- Główny Urząd Statystyczny. Available online: https://stat.gov.pl/obszary-tematyczne/srodowisko-energia/energia/energia-2021-folder,1,9.html (accessed on 30 September 2021).
- Jankowski, K.J.; Dubis, B.; Budzyński, W.S.; Bórawski, P.; Bułkowska, K. Energy efficiency of crops grown for biogas production in a large-scale farm in Poland. Energy 2016, 109, 277–286. [Google Scholar] [CrossRef]
- Biuletyn Informacji Publicznej Krajowego Ośrodka Wsparcia Rolnictwa. Available online: https://bip.kowr.gov.pl/informacje-publiczne/odnawialne-zrodla-energii/biogaz-rolniczy/dane-dotyczace-dzialalnosci-wytworcow-biogazu-rolniczego-w-latach-2011–2019 (accessed on 29 July 2021).
- Zieliński, M.; Rusanowska, P.; Zielińska, M.; Dudek, M.; Nowicka, A.; Purwin, C.; Fijałkowska, M.; Dębowski, M. Influence of preparation of Sida hermaphrodita silages on its conversion to methane. Renew. Energy 2021, 163, 437–444. [Google Scholar] [CrossRef]
- Kazimierowicz, J.; Dzienis, L.; Dębowski, M.; Zieliński, M. Optimisation of methane fermentation as a valorisation method for food waste products. Biomass Bioenergy 2021, 144, 105913. [Google Scholar] [CrossRef]
- Peni, D.; Stolarski, M.J.; Bordiean, A.; Krzyżaniak, M.; Dębowski, M. Silphium perfoliatum—A Herbaceous Crop with Increased Interest in Recent Years for Multi-Purpose Use. Agriculture 2020, 10, 640. [Google Scholar] [CrossRef]
- Siwek, H.; Włodarczyk, M.; Możdżer, E.; Bury, M.; Kitczak, T. Chemical Composition and Biogas Formation potential of Sida hermaphrodita and Silphium perfoliatum. Appl. Sci. 2019, 9, 4016. [Google Scholar] [CrossRef] [Green Version]
- Von Cossel, M.; Amarysti, C.; Wilhelm, H.; Priya, N.; Winkler, B.; Hoerner, L. The replacement of maize (Zea mays L.) by cup plant (Silphium perfoliatum L.) as biogas substrate and its implications for the energy and material flows of a large biogas plant. Biofuels Bioprod. Biorefin. 2020, 14, 152–179. [Google Scholar] [CrossRef] [Green Version]
- Pastukhova, M.A.; Sheliuto, B.V. Cultivation of Silphium perfoaliatum under agricultural crops cover. Bull. Belarus. State Agric. Acad. 2019, 3, 83–87. [Google Scholar]
- Pichard, G. Management, production, and nutritional characteristics of cup-plant (Silphium perfoliatum) in temperate climates of southern Chile. Cienc. Investig. Agrar. 2012, 39, 61–77. [Google Scholar] [CrossRef] [Green Version]
- Guoyan, P.; Ouyang, Z.; Qunying, L.; Qiang, Y.; Jishun, W. Water consumption of seven forage cultivars under different climatic conditions in the North China plain. J. Resour. Ecol. 2011, 2, 74–82. [Google Scholar] [CrossRef]
- Gimbatov, A.S.; Alimirzaeva, G.A. Optimization of technology for the cultivation of new feed crops in the irrigated conditions of the lowland zone of Dagestan. Probl. Dev. Agric. Ind. APK Reg. 2011, 5, 8–11. [Google Scholar]
- Stanford, G. Silphium perfoliatum (cup-plant) as a new forage. In Recapturing a Vanishing Heritage, Proceedings of the 12th North American Prairie Conference, Cedar Falls, IA, USA, 5–9 August 1990; University of Northern Iowa: Cedar Falls, IA, USA, 1990; pp. 33–37. [Google Scholar]
- Kowalski, R. Analysis of lipophilic fraction from leaves, inflorescences and rhizomes of Silphium perfoliatum L. Acta Soc. Bot. Pol. 2005, 74, 5–10. [Google Scholar] [CrossRef] [Green Version]
- Kowalski, R.; Kędzia, B. Antibacterial activity of Silphium perfoliatum. Extracts. Pharm. Biol. 2007, 45, 494–500. [Google Scholar] [CrossRef]
- Feng, W.-S.; Pei, Y.-Y.; Zheng, X.-K.; Li, C.-G.; Ke, Y.-Y.; Lv, Y.-Y.; Zhang, Y.-L. A new kaempferol trioside from Silphium perfoliatum. J. Asian Nat. Prod. Res. 2014, 16, 393–399. [Google Scholar] [CrossRef] [PubMed]
- Gansberger, M.; Montgomery, L.F.R.; Liebhard, P. Botanical characteristics, crop management and potential of Silphium perfoliatum L. as a renewable resource for biogas production: A review. Ind. Crop. Prod. 2015, 63, 362–372. [Google Scholar] [CrossRef]
- Mast, B.; Lemmer, A.; Oechsner, H.; Reinhardt-Hanisch, A.; Claupein, W.; Graeff-Hönninger, S. Methane yield potential of novel perennial biogas crops influenced by harvest date. Ind. Crop. Prod. 2014, 58, 194–203. [Google Scholar] [CrossRef]
- Ustak, S.; Munoz, J. Cup-plant potential for biogas production compared to reference maize in relation to the balance needs of nutrients and some microelements for their cultivation. J. Environ. Manag. 2018, 228, 260–266. [Google Scholar] [CrossRef]
- Thompson, W.; Meyer, S. Second generation biofuels and food crops: Co-products or competitors? Glob. Food Secur. 2013, 2, 89–96. [Google Scholar] [CrossRef]
- Gerstberger, P.; Asen, F.; Hartmann, C. Zur Ökonomie und Ökologie der Becherpflanze (Silphium perfoliatum L.) im Vergleich zum Silomais [Economy and ecology of cup plant (Silphium perfoliatum L.) compared with silage maize]. J. Kult. 2016, 68, 372–377. [Google Scholar] [CrossRef]
- Stolarski, M.J.; Niksa, D.; Krzyżaniak, M.; Tworkowski, J.; Szczukowski, S. Willow productivity from small-and large-scale experimental plantations in Poland from 2000 to 2017. Renew. Sustain Energy Rev. 2019, 101, 461–475. [Google Scholar] [CrossRef]
- Ogwang, I.; Kasedde, H.; Nabuuma, B.; Kirabira, J.B.; Lwanyaga, J.D. Characterization of Biogas Digestate for Solid Biofuel Production in Uganda. Sci. Afr. 2021, 12, e00735. [Google Scholar] [CrossRef]
- Drosg, B.; Fuchs, W.; Al Seadi, T.; Madsen, M.; Linke, B. Nutrient Recovery by Biogas Digestate Processing; IEA Bioenergy: Paris, France, 2015. [Google Scholar]
- Oleszek, M.; Matyka, M. Nitrogen fertilization level and cutting affected lignocellulosic crops properties important for biogas production. BioResources 2017, 12, 8565–8580. [Google Scholar] [CrossRef]
- Oleszek, M.; Matyka, M. Determination of the efficiency and kinetics of biogas production from energy crops through nitrogen fertilization levels and cutting frequency. BioResources 2018, 13, 8505–8528. [Google Scholar] [CrossRef]
- Dębowski, M.; Kisielewska, M.; Kazimierowicz, J.; Rudnicka, A.; Dudek, M.; Romanowska-Duda, Z.; Zieliński, M. The effects of Microalgae Biomass Co-Substrate on Biogas Production from the Common Agricultural Biogas Plants Feedstock. Energies 2020, 13, 2186. [Google Scholar] [CrossRef]
- Schnurer, A.; Jarvis, A. Microbiological Handbook for Biogas Plants. Swedish Waste Management U2009:03 Wedish Gas Centre Report 207; Avfall Sverige and Svenskt Gastekniskt Center AB: Malmö, Sweden, 2009; pp. 1–74. [Google Scholar]
- Drosg, B.; Braun, R.; Bochmann, G.; Al Saedi, T. Analysis and characterisation of biogas feedstocks. In The Biogas Handbook: Science, Production and Applications; Wellinger, A., Murphy, J., David, B., Eds.; Woodhead Publishing: Sawston, UK, 2013; pp. 52–84. [Google Scholar] [CrossRef]
- Schoo, B.; Kage, H.; Schittenhelm, S. Radiation use efficiency, chemical composition, and methane yield of biogas crops under rainfed and irrigated conditions. Eur. J. Agron. 2017, 87, 8–18. [Google Scholar] [CrossRef]
- Wever, C.; Höller, M.; Becker, L.; Biertümpfel, A.; Köhler, J.; van Inghelandt, D.; Westhoff, P.; Pude, R.; Pestsova, E. Towards high-biomass yielding bioenergy crop Silphium perfoliatum L.: Phenotypic and genotypic evaluation of five cultivated populations. Biomass Bioenergy 2019, 124, 102–113. [Google Scholar] [CrossRef]
- Ruf, T.; Emmerling, C. Site-adapted production of bioenergy feedstocks on poorly drained cropland through the cultivation of perennial crops. A feasibility study on biomass yield and biochemical methane potential. Biomass Bioenergy 2018, 119, 429–435. [Google Scholar] [CrossRef]
- Von Cossel, M.; Steberl, K.; Hartung, J.; Pereira, L.A.; Kiesel, A.; Lewandowski, I. Methane yield and species diversity dynamics of perennial wild plant mixtures established alone, under cover crop maize (Zea mays L.), and after spring barley (Hordeum vulgare L.). GCB Bioenergy 2019, 11, 1376–1391. [Google Scholar] [CrossRef] [Green Version]
- Ţîţei, V. The evaluation of biomass of the Sida hermaphrodita and Silphium perfoliatum for renewable energy in Moldova. Sci. Pap. Ser. A Agron. 2017, 60, 534–540. [Google Scholar]
- Mazurkiewicz, J.; Marczuk, A.; Pochwatka, P.; Kujawa, S. Maize Straw as a Valuable Energetic Material for Biogas Plant Feeding. Materials 2019, 12, 3848. [Google Scholar] [CrossRef] [PubMed] [Green Version]
- Dinuccio, E.; Balsari, P.; Gioelli, F.; Menardo, S. Evaluation of the biogas productivity potential of some Italian agro-industrial biomasses. Bioresour. Technol. 2010, 101, 3780–3783. [Google Scholar] [CrossRef] [PubMed]
- Visvanathan, Z.; Visvanathan, C. Evaluation of anaerobic digestate for greenhouse gas emissions at various stages of its management. Int. Biodeterior. Biodegrad. 2014, 95, 167–175. [Google Scholar] [CrossRef]
Publisher’s Note: MDPI stays neutral with regard to jurisdictional claims in published maps and institutional affiliations. |
© 2022 by the authors. Licensee MDPI, Basel, Switzerland. This article is an open access article distributed under the terms and conditions of the Creative Commons Attribution (CC BY) license (https://creativecommons.org/licenses/by/4.0/).


