Abstract
Recently, deep and ultra-deep shales (depth >3500 m) of the Lower Paleozoic Wufeng–Longmaxi formations (WF–LMX) have become attractive targets for shale gas exploration and development in China, and their gas contents may be influenced by the occurrence of water to some extent. However, the water content and its distribution in the different nanopores of the deep and ultra-deep shales have rarely been reported. In this study, a suite of the WF–LMX ultra-deep shale samples (5910–5965 m depth) from the Well PS1 was collected for water content measurements, and low-pressure CO2 and N2 adsorption experiments of both as-received and experimentally dried shale samples were carried out to investigate the distribution of water in the different nanopores. Since the studied ultra-deep shales are characterized by higher thermal maturity (equivalent vitrinite reflectance (EqVRo) > 2.5 %) and ultra-low water saturation, the pore water is generally dominated by irreducible water. The content of irreducible water of the studied shales varies from 1.57 to 13.66 mg/g, averaging 6.74 mg/g. Irreducible water may mainly occur in the clay-hosted pores, while it could also be hosted in parts of organic pores of organic-rich shales. Irreducible water is primarily distributed in non-micropores rather than in micropores of the studied shales, which mainly occurs in micopores with a diameter of 0.4–0.6 nm and mesopores with a diameter of 2–10 nm. Very low contents of irreducible water could reduce the specific surface area and volume of non-micropores of the shales to some extent, but the effect of irreducible water on the specific surface area of non-micropores was more significant than the volume of non-micropores, especially for organic-rich shale samples. The ultra-deep shale gas may be predominately composed of free gas, so low contents of irreducible water may play a limited role in its total gas contents. Overall, our findings can be helpful for a better understanding of water distribution in the highly-matured shales, and provide a scientific basis for ultra-deep shale gas exploration.
1. Introduction
Fine-grained shale is a highly-consolidated sedimentary rock that contains large volumes of organic matter (OM) and inorganic minerals, such as quartz and clay [1,2], which retain an appreciable amount of water even before hydraulic fracturing [3]. During burial, shale formations usually experience a series of complex diagenesis, including compaction, cementation, transformation of clay minerals, and thermal degradation of OM [4]. With increasing maturity, the water content of shale remarkably decreased, but trace amounts of water were still preserved in the shale even at the dry gas window (e.g., [5]), thus resulting in ultra-low water saturation in gas shale reservoirs. Most of the shale gas reservoirs in North America, with a vitrinite reflectance (Ro) value of 1.5–2.5%, generally display relatively low values of water saturation (10–35%; [6,7,8]). The Lower Paleozoic shale gas reservoirs in South China, with equivalent vitrinite reflectance (EqVRo) values as high as 2.5–3.5% [2,9], also contain a certain amount of water, which show wide variations in water saturation [10,11,12]. For example, relatively low values (10–45%) are displayed in the shale gas fields inside the Sichuan Basin [10,11,13], while relatively high values (60–90%) are exhibited in the gas shale reservoirs outside the Sichuan Basin [10,13]. However, the water content of these shales is usually smaller than the equilibrium irreducible water content and thus they have been suggested to be at a “sub-irreducible saturation” state [14,15].
It has been reported that the water in shale reservoirs could be divided into connate water (or pore water) and structural water [16,17,18]. The connate water could be subdivided into free water and irreducible water according to its mobility [17]. Free water may occur in larger pores or micro cracks of gas shale and has potential mobility, while irreducible water may adsorb into the clay surfaces and is trapped in smaller pores due to capillary condensation [3]. Structural water exists within the crystals of inorganic minerals [16,18], which has proved to be very stable under temperatures less than 400 °C [18]. The connate water of highly-matured and over-matured shale reservoirs is suggested to be mostly composed of irreducible water [14,15,19]. It is generally believed that inorganic minerals (e.g., clay) of shale are largely hydrophilic [20], and thus, irreducible water is widely distributed in the inorganic pores and fractures of shale [15,21]. In contrast, the OM is hydrophobic (e.g., [22]) and organic pores are mainly formed via the generation and expulsion of hydrocarbon, leading to the extremely low contents of irreducible water in organic pores [5]. However, recent studies have shown that irreducible water could also occur in part of the organic pores via the presence of hydrophilic sites (e.g., oxygen-containing functional groups) in the OM surface capillary suction within small pores [3,23,24]. Irreducible water could occupy a certain amount of pore space and adsorption sites that were originally available for gas storage, which would significantly reduce methane sorption capacity, as well as the content of free gas and adsorbed gas [25,26,27,28]. In addition, irreducible water could dramatically reduce the connectivity of the pore system of shale by blocking the pore throat, thus leading to relatively low gas diffusivity and permeability [26,29]. Therefore, the content and distribution of irreducible water in gas shale reservoirs are essential to evaluate the gas-in-place (GIP) contents and establish the gas storage mechanisms [9,27,28,30], which still remain unclear.
The exploration and development of shale gas in China have been greatly promoted by the “U.S. shale revolution”, and a major breakthrough has been made in the shale of the Lower Paleozoic Wufeng–Longmaxi formations (WF–LMX) in the Sichuan Basin and its neighboring areas [31,32,33]. Until the end of 2019, cumulative proved geological reserves of the WF–LMX shale gas had exceeded 1.8 × 1012 m3, and cumulative gas yield had exceeded 300 × 108 m3. However, commercial exploitation of the WF–LMX shale gas has largely focused on mid-shallow depths (<3500 m) [31]. Most recently, deeply-buried WF–LMX shale (depth > 3500 m) have become attractive targets for shale gas exploration and development in China (e.g., [34,35,36,37]). According to the current technology level of shale gas exploitation, shale reservoirs with burial depth greater than 3500 m can be divided into two categories: deep shale (3500–4500 m) and ultra-deep shale (4500–6000 m) [34,35,36,37]. Few studies have reported the higher GIP contents of the WF–LMX deep shale in the Sichuan Basin relative to the mid-shallow shale, revealing the great potential of deep shale gas (e.g., [34,37]). Although the GIP content of ultra-deep shale has been rarely reported, its gas reserves are estimated to be huge [34,35,37]. It is widely accepted that irreducible water and gas concomitantly occur in pore spaces of the WF–LMX shale reservoirs, an water content may be very important to the evaluation of shale gas resources (e.g., [15,27,28,38]). However, since few shale gas wells have been drilled into the ultra-deep shale, the water content and distribution of the ultra-deep shale have rarely been studied, thus affecting the evaluation and prediction of shale gas potential. Therefore, our study presents the results of the water content of the WF–LMX ultra-deep shales recovered from the Well PS1 in the Sichuan Basin, and the differences in low-pressure gas adsorption results between as-received samples and experimentally dry samples are studied. The major purpose of this paper is to explore the occurrence and distribution of irreducible water in ultra-deep shale, thus providing a scientific basis for ultra-deep shale gas exploration.
2. Geological Setting and Studied Section
The Sichuan Basin of southwest China, with a total area of approximately 19 × 104 km2, formed on the upper region of the Yangtze Platform [31]. During Late Ordovician and Early Silurian time, the Upper Yangtze Platform evolved into a restricted shelf basin due to compression driven by the Kwangsian movement [39], and two large global transgressions led to the deposition of the WF and LMX black shales, respectively. Due to the development of several uplifts around the Sichuan Basin, e.g., Chuanzhong uplift, Qianzhong uplift, and Jiangnan uplift, thick, organic-rich black shale was generally deposited in the deep shelf facies, while organic-lean siltstone and silty mudstone were deposited in the shallow shelf facies along the margin of the uplifts (Figure 1) [31].
Figure 1.
(A) Paleogeographic map of the Sichuan Basin and its neighboring areas during the Early Silurian (modified from [31]), and the location of studied Well PS1; (B) stratigraphic column for the Upper Ordovician–Lower Silurian of the Well PS1. XHB = Xiaoheba Formation; GYQ = Guanyinqiao Member; WF = Wufeng Formation; and JCG = Jiancaogou Formation.
The studied well (PS1) is located in the eastern Sichuan Basin and the WF–LMX shale is deposited in semi-deep shelf facies [31]. The WF is dominated by black graptolitic calcareous shale, with a total thickness of 9 m (Figure 1). The topmost of the WF is Guanyinqiao Member (GYQ) consisting of 25 cm thick shell-rich argillaceous dolomite, corresponding to the Hirnantian glaciation [39]. The overlying LMX is comprised of 230 m of black shale and mudstone intercalated with silty mudstone and argillaceous dolomite (Figure 1).
3. Samples and Analytical Methods
3.1. Samples
A total of 30 shale core samples, with burial depth of 5910–5965 m, were collected from the WF–LMX of Well PS1 (Figure 1). Details of the studied samples are provided in Table 1. For geochemical analyses, all samples were prepared by grinding to a 200 mesh size in an automatic agate mortar. For the measurement of water content, the newly-drilled shale core samples were broken into numerous fragments of various sizes, and the 2 cm diameter fragments in the inner part of the shale samples were picked up and sealed in the plastic bags for laboratory studies since the outer part may be influenced by the imbibition of drilling fluids. The selected shale fragments generally contain some gases (they bubble under conditions of water immersion), which prevents external water from accessing them during the drilling and coring processes. Therefore, the water content in these shales is believed to be slightly influenced during the drilling and coring processes, which can approximately represent their connate water content [19]. However, it must be noticed that the risk could not be totally eliminated. In addition, ten fresh shale fragments were picked out and crushed to 20–40 mesh powders for low-pressure gas adsorption experiments.
Table 1.
Basic information, TOC content, CIW content, and mineralogical composition of the studied shale samples from Well PS1.
3.2. Analytical Methods
3.2.1. Total Organic Carbon
The powdered whole-rock samples were firstly treated with dilute HCl (10 vol%) to remove the carbonate minerals, and the residual materials were dried in an oven at 120 °C for 12 h. Total organic carbon (TOC) content of dried samples was measured with the Leco CS-230 carbon and sulfur analyzer, which was calculated by the peak area of CO2 generated from combustion of the organic matter and calibrated by carbon steel (TOC = 0.812 ± 0.006%), with analytical precision better than 10%.
3.2.2. X-ray Diffraction
X-ray diffraction (XRD) measurements of powdered whole-rock samples were conducted on a Panalytical X’Pert PRO diffractometer equipped with a Cu-target tube and a curved graphite monochromator, operating at 40 kV and 40 mA. Samples were step-scanned from 3° to 70° with a step size of 0.02° (2θ). The relative contents of inorganic minerals were calculated by the peak area integration approach with a correction of Lorentz Polarization [27].
3.2.3. Porosity Measurements
The porosity of studied samples was determined using skeletal density and apparent density differences. Skeletal density was measured with a helium pycnometer from Quantachrome, the Ultrapyc 1200e, and apparent density was measured on a hydrometer (DAHO-120M) by the sealing paraffin method. Analytical procedures used in the present study were detailed by previous works [19,27].
3.2.4. Water Content Measurements
The water content of the studied shale samples was measured by the oven-drying and weight-loss method (e.g., [5,15,19]). Firstly, fresh shale fragments were weighted to obtain the as-received mass (mAR, g). Secondly, they were loaded into a vacuum oven at a temperature of 110 °C for 24 h and weighed to obtain the experimentally dry mass (mDry, g). The water content (CIW, mg/g) can be calculated using the following equation:
CIW = [(mAR − mDry) × 1000]/mDry
3.2.5. Low-Pressure CO2 and N2 Adsorption Experiments
In general, the International Union of Pure and Applied Chemistry (IUPAC) classifies shale pores as micropores (<2 nm), mesopores (2–50 nm), and macropores (>50 nm) (e.g., [40]). The low-pressure CO2 and N2 adsorption experiments were carried out for the characterization of the micropore and non-micropore (mesopore and macropore) structure of the studied shale samples, respectively, using a Quantachrome AutosorbiQ instrument. Fresh shale fragments were crushed into 20–40 meshes and divided into two aliquots. One aliquot contained irreducible water (i.e., as-received sample), and another aliquot was dried in a vacuum oven at a temperature of 110 °C for 24 h to remove the water and volatile materials (i.e., dry sample). For the as-received sample, the sample was immersed in liquid nitrogen at −196 °C, and the water was congealed instantly as ice. Thus, solid water molecules could be preserved throughout the analytic process and the water diffusion could be ignored. Pore volume, specific surface area, and pore size distribution of micropores were calculated from the CO2 adsorption isotherm using the DFT (density functional theory) model [41]. Pore volume, specific surface area, and pore size distribution of non-micropores were calculated from the N2 adsorption isotherm using the Barrett–Joynere–Halenda (BJH) model [42] and the Brunauer–Emmett–Teller (BET) theory [43]. Overall, the investigation of water distribution can be conducted using the difference of pore structure characteristics of the as-received and dry shale samples.
4. Results
4.1. TOC Content and Mineralogical Compositions
The TOC values of the WF–LMX shale samples range from 0.63 to 6.70%, averaging 3.26% (n = 30; Figure 2; Table 1). In general, shale samples recovered from the WF and lower part of the LMX display higher TOC values, generally > 4%, whereas the samples recovered from the upper part of the LMX exhibit relatively low values (approximately 2.5%; Figure 2).
Figure 2.
Vertical profiles showing mineral compositions, TOC content, porosity, irreducible water content (CIW), as well as pore structure parameters (Vmic, Smic, Vn-mic, and SBET) of the WF–LMX as-received and dry shale samples from the Well PS1.
The studied WF–LMX shale samples are dominated by quartz and clay, with small quantities of feldspar, carbonate, and pyrite (Table 1; Figure 2). Among them, feldspar is dominated by plagioclase and subordinate K-feldspar; carbonate minerals include dolomite and lesser calcite (Table 1). Overall, quartz content displays the relatively high values in the WF and lower part of the LMX (generally > 40%) and gradually decreases up-section. However, clay content displays a reverse trend, with a peak value as high as 58.2% in the middle part of the LMX (Figure 2).
4.2. Porosity
4.3. Water Content
Water content of the studied WF–LMX shale samples varies from 1.57 to 13.66 mg/g, averaging 6.74 mg/g (n = 23; Table 1; Figure 2). The highest water content is displayed in the middle part of the LMX, and the relatively low values occur in a carbonate-rich shale sample of the upper part of the LMX and a quartz-rich shale sample of the WF (Figure 2).
4.4. Pore Structures of the As-Received and Dry Shales
4.4.1. Low-Pressure CO2 Adsorption and Micropore Distribution
The shape of the CO2 adsorption isotherms of the as-received and dry shale samples display a Type I pattern (Figure 3), suggesting the presence of abundant micropores. Moreover, the CO2 adsorption quantity of the as-received samples are generally lower than that of the corresponding dry samples (Figure 3).
Figure 3.
Low-pressure CO2 adsorption isotherms of the as-received and dry shale samples from (A) the WF and (B) the LMX of the Well PS1.
Micropore volume (Vmic) of the as-received samples varies from 2.87 × 10−3 to 6.13 × 10−3 cc/g (average = 4.35 × 10−3 cc/g), while that of the dry samples shows relatively high values, ranging from 3.43 × 10−3 to 8.50 × 10−3 cc/g (average = 5.88 × 10−3 cc/g; Table 2; Figure 2). Micropore specific surface area (Smic) of the received samples ranges from 8.77 to 19.76 m2/g (average = 13.7 m2/g), which is significantly lower than that of the dry samples, i.e., 11.04–28.25 m2/g (average = 19.4 m2/g) (Table 2; Figure 2).
Table 2.
Pore structure parameters (Vmic, Smic, Vn-mic, and SBET) calculated from CO2 and N2 adsorptions of both as-received and dry shale samples from the Well PS1.
The micropore pore size distribution characteristics of the as-received and dry samples are presented in Figure 4, which display a similar trend, i.e., three peaks. The major peak of the pore size distribution values exists at 0.45–0.6 nm, and the other two peaks occur at 0.3–0.4 nm and 0.75–0.9 nm, respectively (Figure 4). Moreover, the dV/dlog(D) value of the dry samples is generally higher than that of the as-received samples, although the incremental degrees are varied.
Figure 4.
Pore size distribution calculated from the CO2 adsorption isotherms of the as-received and dry shale samples from (A) the WF and (B) the LMX of the Well PS1.
4.4.2. Low-Pressure N2 Adsorption and Non-Micropore Distribution
The N2 adsorption and desorption curves of the as-received and dry shale samples are presented in Figure 5, which all display the Type H2 pattern according to the IUPAC. The obvious hysteresis loops at the medium P/P0 (0.5–0.9) indicate the “capillary condensation” phenomenon in mesopore, and thus reveal the presence of abundant ink-bottle pores in shale [40]. The adsorption quantity of dry samples is generally higher than that of the corresponding as-received samples, but the differences vary greatly at different samples (Figure 5).
Figure 5.
Low-pressure N2 adsorption isotherms of the as-received and dry shale samples from (A) the WF and (B) the LMX of the Well PS1.
The non-micropore volume (Vn-mic) of the as-received samples varies from 9.5 × 10−3 to 21.9 × 10−3 cc/g (average = 14.3 × 10−3 cc/g), which is much lower than that of dry samples, ranging from 15.6 × 10−3 to 40.2 × 10−3 (average = 23.5 × 10−3 cc/g) (Table 2; Figure 2). The BET specific surface area (SBET) of the received samples, ranges from 6.4 to 27.2 m2/g (average = 13.7 m2/g), which is also lower than that of dry samples, i.e., 13.4–32.3 m2/g (average = 22.7 m2/g) (Table 2; Figure 2).
The non-micropore pore size distribution characteristics of the as-received and dry samples are presented in Figure 6. Although both display a similar trend, two types of pore size distribution patterns were identified in our samples. One type of pore size distribution pattern shows a unimodal peak at a pore diameter of 6–10 nm, which occurs in the shale samples of the WF and lower part of the LMX. Another type of pore size distribution pattern displays a decreased trend with increasing pore size, and the non-micropores are mainly distributed in the pores with diameter < 10 nm (Figure 6B). This pattern usually occurs in the shale samples of the upper part of the LMX. Overall, the differences in the dV/dlog(D) values between the as-received and dry samples are notable at the pore diameter <10 nm, probably indicating that the water largely occurs in pores with a diameter of <10 nm.
Figure 6.
Pore size distribution calculated from the N2 adsorption isotherms of the as-received and dry shale samples from (A) the WF and (B) the LMX of the Well PS1.
5. Discussion
5.1. Occurrence of Irreducible Water in Shale and Its Controlling Factors
Besides geological conditions, the evolution of water content in organic-rich shale is suggested to be closely related to thermal maturity, and the water content would decrease to a relatively low value (<13 mg/g) at the highly-matured stage (EqVRo > 2.0%) [5]. Moreover, the gas-bearing shale is generally believed to have the ultra-low water saturation [10,13,27,28], and the connate water in shale is basically composed of irreducible water (e.g., [27,28]). In our study, the EqVRo values of the studied WF-LMX shale samples calculated from the bitumen reflectance (BRo) using the equation of [44] are averagely 2.95% (unpublished data), suggesting that the shale was thermally altered to the overmature stage. Logging interpretation of our studied well showed that the water saturation of the shale intervals recovered from 5944.8–5953 m and 5953–5969 m are 49.5% and 30.8%, respectively (data from Sinopec Exploration Branch Company), which is much smaller than the widely-accepted maximum irreducible water saturation of tight shale reservoirs (70%) [10]. Therefore, it can be inferred that the connate water in the studied WF–LMX shales mostly consists of irreducible water.
The water content of highly-matured shale could be affected by several factors, mainly including the content and composition of OM and inorganic minerals in shale [19,20,45,46]. In our study, the WF–LMX shale is mainly composed of quartz, clay, and OM (Figure 2), which may exert potential effects on the irreducible water content (CIW) of shale (e.g., [12,27]). The CIW values of the studied shale display a moderate negative correlation with the quartz contents (r = −0.62, p(α) < 0.01, n = 22), excluding an outlier sample of carbonate-rich shale (Figure 7A), suggesting that the presence of quartz is unfavorable for the occurrence of water in shale. However, the CIW values have a good positive correlation with the clay contents (Figure 7B; r = +0.77, p(α) < 0.01, n = 23), indicating that the irreducible water may mainly occur in clay minerals. It is widely accepted that the pores hosted in inorganic matter (especially clay minerals) are hydrophilic (e.g., [17,46,47]). The water adsorption capacity of clay minerals is suggested to be dependent on clay type [12,47]. Previous studies on the pore structure of pure clays and a chert sample presented the specific surface area sequence of these minerals, i.e., illite > montmorillonite > kaolinite > chlorite > chert [48]. Therefore, illite and montmorillonite could provide substantial amounts of adsorption sites for water molecules [22,45,47]. Moreover, clay minerals are generally negatively charged to various extents, and especially, the highly negatively charged montmorillonite can exhibit high reactivity with water [3,26]. Previous authors reported that clay minerals of the WF–LMX shale were dominated by illite (e.g., [27,28]), thus clay minerals of the studied shale may have high reactivity with water.
Figure 7.
Cross-plots of the CIW value versus (A) quartz content, (B) clay content, (C) TOC content, and (D) CIW/clay ratio of the studied WF–LMX shales from the Well PS1. Regression lines (solid) with 95% confidence intervals (pink and grey zones) are shown.
The OM-hosted pores are suggested to be hydrophobic and thus unfavorable for water absorption [17,22,46]. Water adsorption experiments also showed that the maximum quantity of adsorbed water content in kerogen is much less than that in clay minerals and shale samples [12]. The relationship between the CIW and TOC values of the studied WF–LMX shales seems to be complicated (Figure 7C). An overall decreasing trend can be observed with the TOC values increasing from 1 to 6%, while an increasing trend appears to be displayed in the TOC values greater than 6% (Figure 7C), probably pointing to the presence of irreducible water in organic pores. In order to explore the distribution of irreducible water in the OM, clay-normalized irreducible water content (i.e., CIW/clay ratio) was introduced in this study, which refers to the relative proportion of irreducible water in the OM. The CIW/clay ratios have a good positive correlation with the TOC values (Figure 7D; r = +0.68, p(α) < 0.01, n = 23), indicating that the irreducible water content could be increased with the increasing TOC. Thus, the relative content of irreducible water in organic pores appears to be greater in the organic-rich shales.
A few studies have documented that water can occur in the organic pores of highly-matured shales (e.g., [15,19]). Several mechanisms have been proposed for the presence of water molecules in parts of organic pores. Firstly, the surfaces of some organic pores contain a certain amount of hydrophilic adsorption sites, e.g., oxygen-containing functional groups [15,49], which could capture water molecules via hydrogen bonding [3,24,47]. Secondly, some clusters of water could be formed in certain parts of organic pores with increasing water content [3,49]. Since the studied shale was thermally altered to the overmature stage, the amounts of oxygen-containing functional groups in the OM may be very low. Therefore, the irreducible water in the organic pores may be mainly attributed to the formation of water clusters rather than hydrogen bonding.
In addition, a carbonate-rich shale sample with a low TOC value (0.63%) has the lowest CIW value (1.57 mg/g) (Figure 7C), suggesting that water hardly occurs in the pores of carbonates.
5.2. Distribution of Irreducible Water at Different Nanopores of Shale
It was reported that irreducible water exhibits different distribution characteristics in the nanopores of shales [19,27,28]. For example, a comparison study of pore size distribution between dry and moisturized shale samples found that irreducible water is mostly distributed in the macropores and minimally occurs in the micropores [50]. Low-pressure N2 adsorption experiments of two isolated kerogen samples and their corresponding moisturized samples also revealed a significant change in large pores (>16 nm), indicating the pronounced distribution of irreducible water in larger organic pores. They inferred that the water could be absorbed in the full-scale pores of shales, which depended on the presence of hydrophilic sites [22]. However, some authors suggested that irreducible water mainly occurs in the micropores and mesopores, while free water was chiefly distributed in the macropores of shale [17]. Moreover, irreducible water may mainly occur in inorganic pores, especially smaller mesopores (2–10 nm) [28]. Li et al. [51] also found that hydrophilic clay-hosted pores with a diameter of less than 6–7 nm were completely blocked by capillary water, indicating that irreducible water mainly occurs in smaller nanopores. In addition, the distribution of irreducible water is closely linked to the pore structure of shale. The specific surface area of nanopores in shale directly controls the number of adsorption sites for water molecules and then influences the content of water in different nanopores of shale, while the pore volume controls the content of capillary water in shale [3]. Due to the complexity of compositions and pore structures of the shale, especially the highly-matured shale, the distribution of irreducible water in the different nanopores of the shale remains unclear.
In this study, low-pressure CO2 and N2 adsorption experiments of both as-received and experimentally dried shale samples from the Well PS1 were conducted and used to investigate the distribution of irreducible water in the different nanopores of the ultra-deep shale. The difference of pore volumes obtained from two experimental conditions could provide vital information for the occurrence of irreducible water in shales (e.g., [15,19,27,28]). In the micropore system of shales, the Vmic and Smic values of the as-received samples decreased averagely by 26.4% and 29.8%, respectively, relative to dry samples due to the presence of irreducible water (Figure 2). In the non-micropore system of shales, the Vn-mic values of the as-received samples decreased by 24.7–48.5% (average = 36.7%) relative to the dry samples, while the reduction extent of SBET values between as-received and dry samples significantly varies from 0.43 to 66.2%, averaging 40.2% (Figure 2). These results show that the effect of irreducible water on the Smic values was more significant than the Vmic values, and meanwhile, irreducible water has identical effects on the SBET and Vn-mic values.
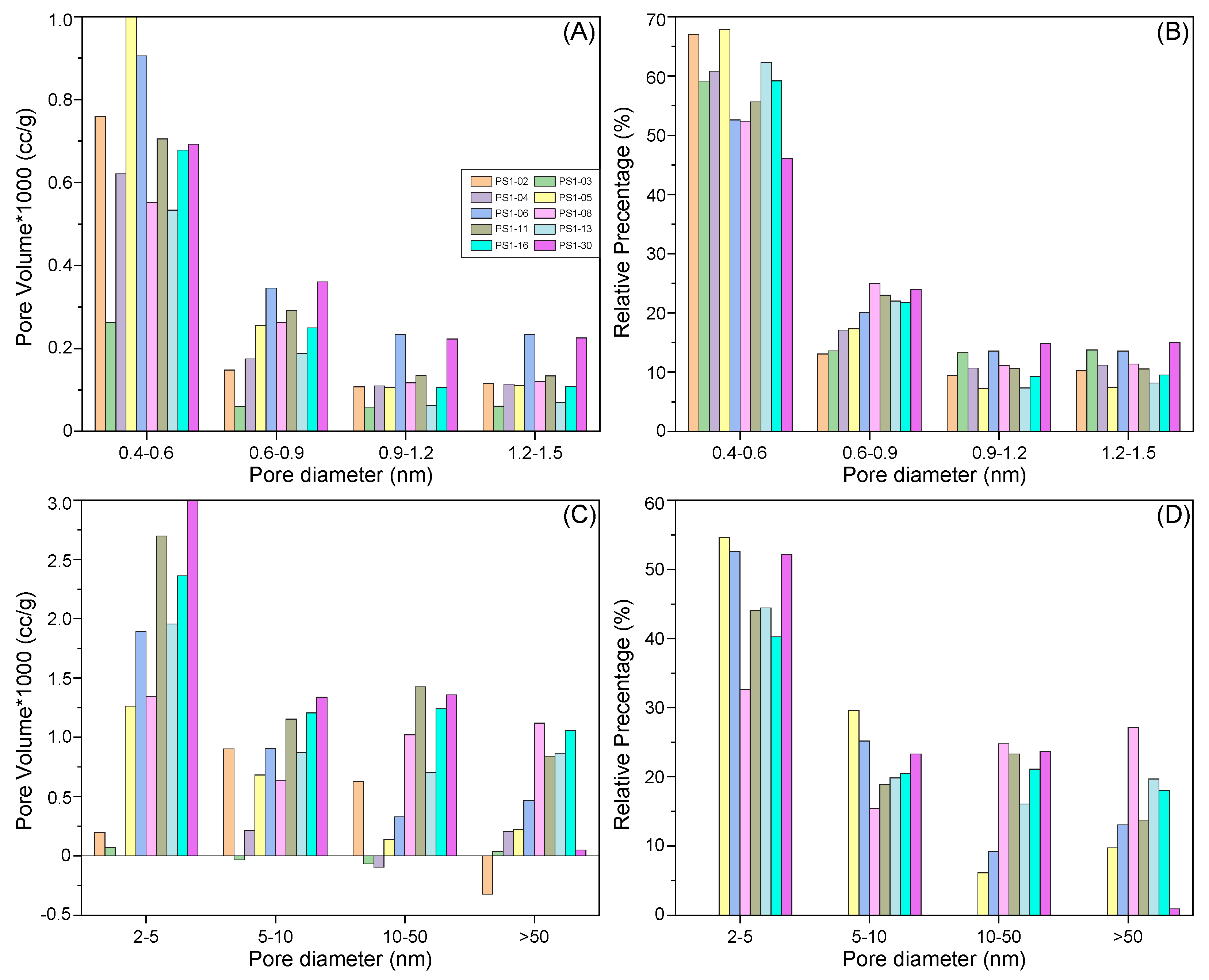
The relative contribution of irreducible water occupying pore volume to the total pore volume of dry shale samples is illustrated in Figure 8. Since the diameter of methane and water molecules is 0.38 nm and 0.40 nm, respectively, the irreducible water has a competitive relationship with methane in the nanopore networks of shale [52]. Moreover, irreducible water cannot occur in pores of less than 0.40 nm diameter [28]. In the micropore system of shale, the absolute pore volumes occupied by irreducible water and its relative percentage decrease with the increasing pore diameter (Figure 8A,B). The irreducible water mainly occurs in micropores with a diameter of 0.4–0.6 nm, and the relative percentage varies from 46.1 to 67.8% (Figure 8B). The average relative percentages of irreducible water in the pore diameter range of 0.6–0.9 nm, 0.9–1.2 nm, and 1.2–1.5 nm are 19.7%, 10.8%, and 11.1%, respectively (Figure 8B).
Figure 8.
Pore volume and relative percentage occupied by irreducible water in (A,B) the micropores and (C,D) the non-micropores of the studied WF–LMX shales from the Well PS1.
The absolute pore volumes of non-micropores occupied by irreducible water seem to be larger than those of micropores (Figure 8A,C), implying that the irreducible water is more easily stored in non-micropores than in micropores of our highly-matured shale samples. Moreover, the quartz-rich shale samples (e.g., PS1-02, PS1-03, and PS1-04) have relatively low absolute pore volumes occupied by irreducible water (Figure 8C), which display negative values in pore diameters greater than 5 nm. This abnormal phenomenon may result from subtle analytical errors in the N2 adsorption experiments since the irreducible water content of our studied shale is very low and the volume difference of non-micropore between as-received and dry shale samples is very small. A similar phenomenon can also be observed in previous works (e.g., [22]). Excluding these outliers, the absolute pore volumes occupied by irreducible water and its relative percentage also decrease with increasing pore diameter (Figure 8C,D). The irreducible water mainly occurs in smaller mesopores, with a pore diameter of 2–5 nm and 5–10 nm, and the average relative percentages are 45.8% and 21.8%, respectively (Figure 8D). However, relative percentages of the irreducible water in the pore diameter range of 10–50 nm and >50 nm are 17.7% and 14.6%, respectively (Figure 8D), indicating that the irreducible water may be rarely distributed in the larger mesopores and macropores of shale. In a word, irreducible water is primarily distributed in non-micropores rather than in micropores of the highly-matured shale, and it is mainly distributed in micopores with a diameter of 0.4–0.6 nm and mesopores with a diameter of 2–10 nm.
The distribution of irreducible water in the relatively smaller diameter of micropores and mesopores may be closely linked to the occurrence state of water. Cheng et al. [15] suggested that irreducible water may mainly occur as a condensed state in micropores, but as an absorbed state in non-micropores, which is mainly controlled by the volume of micropores and the surface area of non-micropores, respectively [15,53]. Moreover, the capillary condensation is suggested to mainly occur in the hydrophilic clay minerals with smaller nanopores [18,26]. Zhu et al. [12] suggested that water molecules preferentially occupied the surface and volume of micropores, and then took up the surface of mesopores and macropores with the increasing water content. Distribution of irreducible water in the micropores displays similar characteristics in different lithofacies of shales, e.g., quartz-rich and clay-rich shale samples (Figure 8A,B), probably implying that irreducible water occurs as capillary water within small pores (mostly < 0.6 nm). Due to the varied contents of irreducible water in different lithofacies of shales (e.g., [12]), water is gradually adsorbed onto the surface of non-micropores to form monolayer and even multilayer water films (e.g., [3,12]). In the small pores of the non-micropore system, water adsorption may be still condensed due to capillary condensation.
In this study, a parameter was introduced to characterize the relative water saturation in the micropores or non-micropores of shale, and calculated as follows:
in which PVdry sample and PVas-received sample refer to the pore volume of an as-received and experimentally dried shale sample, respectively. The PVIW refers to the pore volume occupied by irreducible water, which can be calculated from the difference between PVdry sample and PVas-received sample. Since clay minerals and TOC are the most critical factors affecting the distribution of irreducible water in shale [12] (Figure 7B,C), the relationships between clay or TOC contents and the PVIW/PVdry sample ratios are displayed in Figure 9. As for the micropore, the (PVIW/PVdry sample)mic ratio displays an excellent positive relationship with the clay contents (r = +0.90, p(α) < 0.01, n = 10; Figure 9A), probably indicating that the irreducible water mainly occurs in the micropore of clay minerals. However, the (PVIW/PVdry sample)n-mic ratio has a moderate positive correlation with the clay contents (r = +0.68, p(α) < 0.01, n = 10; Figure 9A), implying that a considerable portion of irreducible water was also distributed in the non-micropores of clay minerals. A cross-plot between the PVIW/PVdry sample ratio and TOC content displays an overall similar trend for both micropore and non-micropore (Figure 9B). Within the TOC range of 2–3%, the PVIW/PVdry sample ratio shows an increasing trend with the decreasing TOC content, indicating the increasing clay-bound water in clay-rich shales (Figure 9B). The lowest PVIW/PVdry sample ratio was displayed in a shale sample having maximum quartz content (72.5%), which may be linked to poor adsorption capability for water molecules [47]. With the increasing TOC content (>4.5%), the (PVIW/PVdry sample)n-mic ratio displays an increasing trend in the organic-rich siliceous shale samples (Figure 9B), while the (PVIW/PVdry sample)mic ratio does not follow such an increasing trend, probably implying that an increasing OM-bound water occurs in the non-micropores rather than in the micropores.
PVIW/PVdry sample = (PVdry sample − PVas-received sample)/PVdry sample
Figure 9.
Cross-plots of the (VIW/V)mic or (VIW/V)n-mic ratios versus (A) clay content, and (B) TOC content of the studied WF–LMX shales from the Well PS1.
5.3. Implications for Ultra-Deep Shale Gas Exploration
Recent studies have shown that irreducible water could exert an important effect on the pore structure of shale reservoirs, e.g., the reduction in pore volume and specific surface area (e.g., [15,28]). In our study, the Vmic values have an excellent positive correlation with the TOC contents of both as-received and dry shale samples (Figure 10A). Moreover, the Smic values also display such a linear relationship with the TOC contents for both (Figure 10B). These results show that the micropores were mainly developed in the OM, and the irreducible water was evenly distributed in the clay-hosted pores. The pore volume and specific surface area difference of the intercepts between as-received and dry shale samples should be mainly contributed from the water occupying in the clay-hosted pores (Figure 9A), e.g., 1.14 × 10−3 cc/g and 4.17 m2/g, respectively. As for the non-micropores, the reduction extent of Vn-mic values between as-received and dry shale samples significantly varies, which displays relatively high values (37.1–50.5%) for the low-TOC shales but exhibits relatively low and varied values (6.4–37.5%) for the high-TOC shales (Figure 10C), implying that irreducible water has more negative effects on the volume of non-micropores in the low-TOC shale relative to the high-TOC shale. The SBET values have a good positive correlation with the TOC values (Figure 10D), indicating that the specific surface area of non-micropores was chiefly contributed by organic pores. Although the reduction extent of SBET values between as-received and dry shale samples also significantly varies (Figure 10D), the effect of irreducible water on the SBET values was more significant than the Vn-mic values, especially for high-TOC shale samples.
Figure 10.
Cross-plots of the TOC content versus (A) Vmic value, (B) Smic value, (C) Vn-mic value, and (D) SBET value of the studied WF–LMX shales from the Well PS1.
Formation pressure measurement of the studied WF–LMX shale reservoirs from the Well PS1 shows a formation pressure coefficient of 1.98–2.30 (data from Sinopec Exploration Branch Company), indicating an overpressure system, so the shale gas should be composed of free gas and adsorbed gas. According to the geological model of the GIP of an LMX shale sample (TOC = 3.98 wt%) from the Well PY1 [54], the adsorbed gas only accounts for approximately 25% of the total gas at a pressure coefficient of 2.0 and a burial depth of 6000 m, implying that a large percentage of the gas occurs as free gas in the ultra-deep shale reservoirs. As mentioned above, the irreducible water would significantly lead to the decrease in the SBET values, but its effect on the volume of non-micropores was relatively small (Figure 10C,D). Moreover, the content of adsorbed gas is mainly dependent on the specific surface area, while the content of free gas is controlled by the volume of non-micropores. The irreducible water may greatly influence the content of adsorbed gas, while it exerts a relatively small effect on the content of free gas. In other words, the effect of irreducible water on the total gas content of ultra-deep shales may be weaker than that of shallow buried shales. Nevertheless, large contents of irreducible water in shales would significantly reduce the effective specific surface area and occupy the pore spaces, which may be unfavorable for the storage of shale gas resources [15]. Therefore, irreducible water should be regarded as an important factor for the evaluation of highly-matured gas shale reservoirs in the Sichuan Basin.
6. Summary and Conclusions
- (1)
- The content of irreducible water of the studied WF–LMX shale samples varies from 1.57 to 13.66 mg/g, averaging 6.74 mg/g. Irreducible water mainly occurs in the clay-hosted pores, while it could be hosted in parts of the organic pores of shales, especially organic-rich shales.
- (2)
- Irreducible water is primarily distributed in non-micropores (mesopores and macropores) rather than in micropores of the studied shales, which is mainly distributed in micopores with a diameter of 0.4–0.6 nm and mesopores with a diameter of 2–10 nm. It may mainly occur as a condensed state in the micropores and smaller non-micropores of clay minerals, while it may be presented as an absorbed state in the larger non-micropores of clay minerals and formed as water clusters in the organic pores.
- (3)
- Although very low contents of irreducible water could reduce the SBET and Vn-mic values of ultra-deep shales to some extent, the effect of irreducible water on the SBET values was more significant than the Vn-mic values, especially for high-TOC shale samples. The low contents of irreducible water may play a limited role in total gas contents of ultra-deep shales due to the predominance of free gas in total gas, which reveals great potential for ultra-deep shale gas exploration.
Author Contributions
Conceptualization, P.G. and X.X.; methodology, P.G.; software, P.G.; validation, Y.C. and G.M.; formal analysis, P.G.; investigation, G.M.; resources, D.H., R.L. and T.Y.; data curation, P.G.; writing—original draft preparation, P.G.; writing—review and editing, X.X.; visualization, P.G.; supervision, X.X.; project administration, X.X.; funding acquisition, X.X. All authors have read and agreed to the published version of the manuscript.
Funding
This research was funded by the National Natural Science Foundation of China, grant numbers U19B6003-03-01 and 42030804.
Institutional Review Board Statement
Not applicable.
Informed Consent Statement
Not applicable.
Data Availability Statement
Not applicable.
Acknowledgments
All the editors and anonymous reviewers are gratefully acknowledged.
Conflicts of Interest
The authors declare no conflict of interest.
References
- Curtis, J.B. Fractured shale-gas systems. AAPG Bull. 2002, 86, 1921–1938. [Google Scholar] [CrossRef]
- Zou, X.; Li, X.; Zhang, J.; Li, H.; Guo, M.; Zhao, P. Characteristics of Pore Structure and Gas Content of the Lower Paleozoic Shale from the Upper Yangtze Plate, South China. Energies 2021, 14, 7603. [Google Scholar] [CrossRef]
- Yang, R.; Jia, A.; He, S.; Hu, Q.; Dong, T.; Hou, Y.; Yan, J. Water adsorption characteristics of organic-rich Wufeng and Longmaxi Shales, Sichuan Basin (China). J. Pet. Sci. Eng. 2020, 193, 107387. [Google Scholar] [CrossRef]
- Ougier-Simonin, A.; Renard, F.; Boehm, C.; Vidal-Gilbert, S. Microfracturing and microporosity in shales. Earth-Sci. Rev. 2016, 162, 198–226. [Google Scholar] [CrossRef] [Green Version]
- Cheng, P.; Xiao, X.; Wang, X.; Sun, J.; Wei, Q. Evolution of water content in organic-rich shales with increasing maturity and its controlling factors: Implications from a pyrolysis experiment on a water-saturated shale core sample. Mar. Pet. Geol. 2019, 109, 291–303. [Google Scholar] [CrossRef]
- Bowker, K.A. Barnett Shale gas production, Fort Worth Basin: Issues and discussion. AAPG Bull. 2007, 91, 523–533. [Google Scholar] [CrossRef]
- King, G.E. Thirty years of gas shale fracturing: What have we learned? In Proceedings of the SPE Annual Technical Conference and Exhibition, Florence, Italy, 19–22 September 2010. SPE-133456-MS. [Google Scholar]
- Wu, P.; Aguilera, R. Investigation of Shale Gas at Nanoscale Using Scan Electron Microscopy, Transmission Electron Microscopy and Atomic Force Microscopy, and Up-scaling to a Petrophysical Model for Water Saturation Evaluation in Shales. In Proceedings of the SPE Annual Technical Conference and Exhibition (Society of Petroleum Engineers), San Antonio, TX, USA, 8–10 October 2012. SPE-159887-MS. [Google Scholar] [CrossRef]
- Xiao, X.-M.; Wei, Q.; Gai, H.-F.; Li, T.-F.; Wang, M.-L.; Pan, L.; Chen, J.; Tian, H. Main controlling factors and enrichment area evaluation of shale gas of the Lower Paleozoic marine strata in south China. Pet. Sci. 2015, 12, 573–586. [Google Scholar] [CrossRef] [Green Version]
- Fang, C.; Huang, Z.; Wang, Q.; Zheng, D.; Liu, H. Cause and significance of the ultra-low water saturation in gas-enriched shale reservoir. Nat. Gas Geosci. 2014, 25, 471–476, (In Chinese with English abstract). [Google Scholar]
- Wei, Z.H.; Wei, X.F. Comparison of gas-bearing property between different pore types of shales: A case from the Upper Ordovician Wufeng and Longmaxi formations in the Jiaoshiba area, Sichuan, China. Nat. Gas. Ind. 2014, 34, 37–41, (In Chinese with English abstract). [Google Scholar]
- Zhu, D.; Jiang, Z.; Jiang, S.; Yang, W.; Song, Y.; Gao, Z.; Jiang, T.; Cao, X.; Li, W.; Zhang, Y. Water-bearing characteristics and their influences on the reservoir capacity in terrestrial shale reservoirs: A case study of the lower Jurassic Ziliujing For-mation in the Northeast Sichuan Basin, China. Mar. Pet. Geol. 2021, 123, 104738. [Google Scholar] [CrossRef]
- Liu, H.L.; Wang, H.Y. Ultra low water saturation characteristics and the identification of over-pressured play fairways of marine shales in south China. Nat. Gas Ind. 2013, 33, 140–144, (In Chinese with English abstract). [Google Scholar]
- Bennion, D.B.; Thomas, F.B. Formation Damage Issues Impacting the Productivity of Low Permeability, Low Initial Water Saturation Gas Producing Formations. J. Energy Resour. Technol. 2005, 127, 240–247. [Google Scholar] [CrossRef]
- Cheng, P.; Tian, H.; Xiao, X.; Gai, H.; Li, T.; Wang, X. Water Distribution in Overmature Organic-Rich Shales: Implications from Water Adsorption Experiments. Energy Fuels 2017, 31, 13120–13132. [Google Scholar] [CrossRef]
- Testamanti, M.N.; Rezaee, R. Determination of NMR T2 cut-off for clay bound water in shales: A case study of Carynginia Formation, Perth Basin, Western Australia. J. Pet. Sci. Eng. 2017, 149, 497–503. [Google Scholar] [CrossRef] [Green Version]
- Li, J.; Lu, S.; Zhang, P.; Li, W.; Jing, T.; Feng, W. Quantitative characterization and microscopic occurrence mechanism of pore water in shale matrix. Acta Petrol. Sin. 2020, 41, 979–990, (In Chinese with English abstract). [Google Scholar]
- Shen, B.; Li, Z.; Zheng, Z.; Li, C.; Lei, H.; Zhang, L.; Zhu, H.; Lu, S.; Du, M. Status and relative content of water in shale de-termined by thermogravimetry-mass spectrometry analysis. J. Petrol. Sci. Eng. 2021, 196, 107739. [Google Scholar] [CrossRef]
- Cheng, P.; Xiao, X.; Tian, H.; Wang, X. Water Content and Equilibrium Saturation and Their Influencing Factors of the Lower Paleozoic Overmature Organic-Rich Shales in the Upper Yangtze Region of Southern China. Energy Fuels 2018, 32, 11452–11466. [Google Scholar] [CrossRef]
- Borysenko, A.; Clennell, B.; Sedev, R.; Burgar, I.; Ralston, J.; Raven, M.; Dewhurst, D.; Liu, K. Experimental investigations of the wettability of clays and shales. J. Geophys. Res. Earth Surf. 2009, 114, 07202. [Google Scholar] [CrossRef]
- Li, J.; Li, X.F.; Wang, X.Z.; Li, Y.Y.; Wu, K.L.; Shi, J.T.; Yang, L.; Feng, D.; Zhang, T.; Yu, P.L. Water distribution character-istic and effect on methane adsorption capacity in shale clay. Int. J. Coal Geol. 2016, 159, 135–154. [Google Scholar] [CrossRef]
- Zou, J.; Rezaee, R.; Yuan, Y.; Liu, K.; Xie, Q.; You, L. Distribution of adsorbed water in shale: An experimental study on iso-lated kerogen and bulk shale samples. J. Petrol. Sci. Eng. 2020, 187, 106858. [Google Scholar] [CrossRef]
- Hu, Y.; Devegowda, D.; Striolo, A.; Van Phan, A.T.; Ho, T.A.; Civan, F.; Sigal, R.F. Microscopic Dynamics of Water and Hydrocarbon in Shale-Kerogen Pores of Potentially Mixed Wettability. SPE J. 2015, 20, 112–124. [Google Scholar] [CrossRef]
- Nishino, J. Adsorption of water vapor and carbon dioxide at carboxylic functional groups on the surface of coal. Fuel 2001, 80, 757–764. [Google Scholar] [CrossRef]
- Jin, Z.; Firoozabadi, A. Effect of water on methane and carbon dioxide sorption in clay minerals by Monte Carlo simulations. Fluid Phase Equil. 2014, 382, 10–20. [Google Scholar] [CrossRef]
- Li, J.; Li, X.; Wu, K.; Wang, X.; Shi, J.; Yang, L.; Zhang, H.; Sun, Z.; Wang, R.; Feng, D. Water sorption and distribution char-acteristics in clay and shale: Effect of surface force. Energy Fuels 2016, 30, 8863–8874. [Google Scholar] [CrossRef]
- Sun, J.; Xiao, X.; Cheng, P. Influence of water on shale pore heterogeneity and the implications for shale gas-bearing property—A case study of marine Longmaxi Formation shale in northern Guizhou. Mar. Pet. Geol. 2021, 134, 105379. [Google Scholar] [CrossRef]
- Sun, J.; Xiao, X.; Wei, Q.; Cheng, P.; Tian, H. Occurrence of Irreducible Water and Its Influences on Gas-Bearing Property of Gas Shales from Shallow Longmaxi Formation in the Xishui Area, Guizhou, Southern China. Front. Earth Sci. 2021, 9, 654136. [Google Scholar] [CrossRef]
- Zeng, Q.; Wang, Z.; McPherson, B.J.; McLennan, J.D. Modeling Competitive Adsorption between Methane and Water on Coals. Energy Fuels 2017, 31, 10775–10786. [Google Scholar] [CrossRef]
- Ambrose, R.J.; Hartman, R.C.; Campos, M.D.; Akkutlu, I.Y.; Sondergeld, C.H. Shale Gas-in-Place Calculations Part I: New Pore-Scale Considerations. SPE J. 2012, 17, 219–229. [Google Scholar] [CrossRef]
- Guo, T.; Zhang, H. Formation and enrichment mode of Jiaoshiba shale gas field, Sichuan Basin. Pet. Explor. Dev. 2014, 41, 31–40. [Google Scholar] [CrossRef]
- He, Z.; Li, S.; Nie, H.; Yuan, Y.; Wang, H. The shale gas “sweet window”: “The cracked and unbroken” state of shale and its depth range. Mar. Pet. Geol. 2019, 101, 334–342. [Google Scholar] [CrossRef]
- Nie, H.; Chen, Q.; Zhang, G.; Sun, C.; Wang, P.; Lu, Z. An overview of the characteristic of typical Wufeng–Longmaxi shale gas fields in the Sichuan Basin, China. Nat. Gas Ind. B 2021, 8, 217–230. [Google Scholar] [CrossRef]
- Long, S.; Feng, D.; Li, F.; Du, W. Prospect analysis of the deep marine shale gas exploration and development in the Sichuan Basin, China. J. Nat. Gas Geosci. 2018, 3, 181–189. [Google Scholar] [CrossRef]
- He, Z.; Nie, H.; Hu, D.; Jiang, T.; Wang, R.; Zhang, Y.; Zhang, G.; Lu, Z. Geological problems in the effective development of deep shale gas: A case study of Upper Ordovician Wufeng-Lower Silurian Longmaxi formations in Sichuan Basin and its pe-riphery. Acta Petrol. Sin. 2020, 41, 379–391, (In Chinese with English abstract). [Google Scholar]
- Guo, X.; Hu, D.; Huang, R.; Wei, Z.; Duan, J.; Wei, X.; Fan, X.; Miao, Z. Deep and ultra-deep natural gas exploration in the Sichuan Basin: Progress and prospect. Nat. Gas Ind. B 2020, 7, 419–432. [Google Scholar] [CrossRef]
- Ma, X.; Wang, H.; Zhou, S.; Shi, Z.; Zhang, L. Deep shale gas in China: Geological characteristics and development strategies. Energy Rep. 2021, 7, 1903–1914. [Google Scholar] [CrossRef]
- Sun, J.; Xiao, X.; Wei, Q.; Cheng, P.; Tian, H.; Wu, Y. Gas in place and its controlling factors of the shallow Longmaxi shale in the Xishui area, Guizhou, China. J. Nat. Gas Sci. Eng. 2020, 77, 103272. [Google Scholar] [CrossRef]
- Chen, X.; Rong, J.; Li, Y.; Boucot, A.J. Facies patterns and geography of the Yangtze region, South China, through the Ordo-vician and Silurian transition. Palaeogeogr. Palaeoclimatol. Palaeoecol. 2004, 204, 353–372. [Google Scholar]
- Sing, K.S.W.; Everett, D.H.; Haul, R.A.W.; Moscou, L.; Pierotti, R.A.; Rouquerol, J.; Siemieniewska, T. Reporting physisorption data for gas/solid systems with special reference to the determination of surface area and porosity (Recommendations 1984). Pure Appl. Chem. 1985, 57, 603–619. [Google Scholar] [CrossRef]
- Chalmers, G.R.; Bustin, R.M.; Power, I.M. Characterization of gas shale pore systems by porosimetry, pycnometry, surface area, and field emission scanning electron microscopy/transmission electron microscopy image analyses: Examples from the Barnett, Woodford, Haynesville, Marcellus, and Doig units. AAPG Bull. 2012, 96, 1099–1119. [Google Scholar] [CrossRef]
- Barrett, E.P.; Joyner, L.G.; Halenda, P.P. The determination of pore volume and area distribution in porous substances. I. Computation from Nitrogen Isotherms. J. Am. Chem. Soc. 1951, 73, 373–380. [Google Scholar] [CrossRef]
- Brunauer, S.; Deming, L.S.; Deming, W.E.; Teller, E. Adsorption of gases inmultimolecular layers. J. Am. Chem. Soc. 1938, 60, 309–319. [Google Scholar] [CrossRef]
- Schoenherr, J.; Littke, R.; Urai, J.L.; Kukla, P.A.; Rawahi, Z. Polyphase thermal evolution in the Infra-Cambrian Ara Group (South Oman Salt Basin) as deduced by maturity of solid reservoir bitumen. Org. Geochem. 2007, 38, 1293–1318. [Google Scholar] [CrossRef]
- Wen, H.; Chen, M.; Jin, Y.; Zhang, Y.; Ge, W.; Du, J.; Zeng, C. Water activity characteristics of deep brittle shale from Southwest China. Appl. Clay Sci. 2015, 108, 165–172. [Google Scholar] [CrossRef]
- Chen, J.; Gai, H.; Xiao, Q. Effects of composition and temperature on water sorption in overmature Wufeng-Longmaxi shales. Int. J. Coal Geol. 2021, 234, 103673. [Google Scholar] [CrossRef]
- Luo, C.; Zhang, D.; Zhao, C.; Lun, Z.; Wang, H.; Li, Y.; Yang, J. Occurrence and distribution of moisture in gas shale reservoirs: A perspective. Chem. Ind. Eng. Prog. 2019, 38, 2726–2737, (In Chinese with English abstract). [Google Scholar]
- Ross, D.J.K.; Bustin, R.M. The importance of shale composition and pore structure upon gas storage potential of shale gas reservoirs. Mar. Pet. Geol. 2019, 26, 916–927. [Google Scholar] [CrossRef]
- Bahadur, J.; Contescu, C.; Rai, D.; Gallego, N.; Melnichenko, Y. Clustering of water molecules in ultramicroporous carbon: In-situ small-angle neutron scattering. Carbon 2017, 111, 681–688. [Google Scholar] [CrossRef] [Green Version]
- Wang, L.; Yu, Q. The effect of moisture on the methane adsorption capacity of shales: A study case in the eastern Qaidam Basin in China. J. Hydrol. 2016, 542, 487–505. [Google Scholar] [CrossRef]
- Li, J.; Li, X.; Wu, K.; Feng, D.; Zhang, T.; Zhang, Y. Thickness and stability of water film confined inside nanoslits and nanocapillaries of shale and clay. Int. J. Coal Geol. 2017, 179, 253–268. [Google Scholar] [CrossRef]
- Wang, L.; Wang, S.; Zhang, R.; Wang, C.; Xiong, Y.; Zheng, X.; Li, S.; Jin, K.; Rui, Z. Review of multi-scale and multi-physical simulation technologies for shale and tight gas reservoirs. J. Nat. Gas Sci. Eng. 2017, 37, 560–578. [Google Scholar] [CrossRef]
- Charrière, D.; Behra, P. Water sorption on coals. J. Colloid Interface Sci. 2010, 344, 460–467. [Google Scholar] [CrossRef] [PubMed]
- Pan, L.; Xiao, X.; Tian, H.; Zhou, Q.; Cheng, P. Geological models of gas in place of the Longmaxi shale in Southeast Chongqing, South China. Mar. Pet. Geol. 2016, 73, 433–444. [Google Scholar] [CrossRef]
Publisher’s Note: MDPI stays neutral with regard to jurisdictional claims in published maps and institutional affiliations. |
© 2022 by the authors. Licensee MDPI, Basel, Switzerland. This article is an open access article distributed under the terms and conditions of the Creative Commons Attribution (CC BY) license (https://creativecommons.org/licenses/by/4.0/).









