Abstract
The biodiversity, including the diversity of autotrophic organisms of mostly plant species, assembled in vegetation patches and its impact on the course of ecosystem processes is still a key subject of research in natural sciences around the world. Certain aspects of the relationship between biodiversity and CO2 release processes have been studied only in some natural and semi-natural ecosystems (semi-natural ecosystems such as meadow or grasslands). In contrast, very little is known about the biotic parameters related to natural processes and the functioning of novel ecosystems. This study was performed on post-black coal mining heaps. The studied sites were established on carboniferous mineral material. Among the considered biotic parameters, the vegetation plant species composition, soil organic matter, soil enzymatic activity, soil fauna presence, and the plant species biomass were studied. The aim of the research was to analyse the influence of the selected biotic factors on the CO2 release from the mineral material of black coal mining heaps’ novel ecosystems. The range of CO2 release at the analysed sites was 0.00158–1.21462 [g CO2/m2/h]. The activity of soil enzymes such as dehydrogenase, acid phosphatase, and basic phosphatase was positively correlated with the amount of CO2 released, however, there was no correlation between urease activity and CO2 emissions from the soil. In our study, a comparison of the soil organic matter developed under the vegetation types studied and CO2 release (rate) showed a dependence on vegetation type. The amount of biomass was not linearly correlated with CO2 release from the soil. The presence of soil fauna displayed a positive effect on CO2 release.
1. Introduction
The basic process of ecosystem functioning is the flow of matter and energy. Each ecosystem starts with the habitat colonization by autotrophic organisms and later with a heterotrophic organisms’ food chain along with the appropriate microorganisms, and saprophyte decomposition activity, leading to, e.g., CO2 release as the side effect of the energy acquisition [1,2,3,4]. Depending on the environmental conditions, the best adapted plant species colonize and grow in particular microhabitat places. As a result of the processes of the above-ground biomass development, the foundation of the biochemical characteristics of the soil biomass, soil organic matter (SOM), is established. The biochemical composition of the biomass and the condition of the respiration processes influence the amount of CO2 released to the atmosphere. Apart from the biochemical composition of the biomass, the microbial ability to decompose the complex chemical carbon compounds determines the respiration process [5,6,7].
The sites that are significantly transformed (or those that are established de novo) due to human activities such as mineral resource mining, provide unusual habitat conditions for the organisms that are successfully colonizing such sites. The previous field study and conceptual works revealed that extreme habitats are colonized by a non-analogous species composition assembling spontaneously and leading to the development of a novel ecosystem [8,9,10,11], such as the mineral post-coal mining habitats. The non-analogous species composition assemblage is comprised of the species best adapted to the unusual, extreme habitat conditions. The extreme habitat conditions are a trigger to push the living organisms (primary producers, heterotrophs, and saprophytes) to evolve and adapt. The harsh, complex system of the habitat conditions are caused by the lack of initial soils in the sites where the novel ecosystems develop. The term soil is strictly defined in soil sciences. In many post-mining sites, the mineral material substrate without organic matter of varied texture or structure (referred to as the soil substrate further in the text) is colonized by vascular plant species.
Both the untransformed ecosystems and novel ecosystems are dependent on the biomass quality and quantity which in turn depend on the plant species’ taxonomic and functional composition and diversity. High diversity enables complementary habitat resource use among competing species in species-rich ecosystems [12,13]. A larger amount of biomass in species-rich ecosystems enhances Rs primarily by increasing root, microbial communities’, and rhizo-microbial respiration [14]. The diversity of plant species composition increases the quantity and multiplicity of plant exudates-derived food resources in the soil, providing and expanding a variety of niches for saprophytic microbes. The diversity of plant species composition influences microenvironment variety and habitat complexity including the soil enzyme activity [12,15,16]. Diverse plant species composition provides a litter mixture, which accelerates the decomposition of organic matter via complementary resource use among microbes, resulting in more effective Rs [17]. The carbon compound decomposition of the soil organic matter (SOM) is related to, e.g., the plant species composition, mesofauna composition, and soil enzyme activity [18]. Biomass carbon compounds are broken down quickly during decomposition, providing an energy source for microbes [19]. Plant species composition plays a crucial role in vegetation and ecosystem development and the regulation of soil respiration (Rs) because the autotrophs are the prevalent synthesising organisms through which carbon enters the soil [10].
The magnitude of the soil respiratory metabolism is due to four factors: (1) CO2 release by plant roots, (2) soil fauna, (3) soil microorganisms, and (4) the chemical oxidation of carbon compounds. The rate of the soil metabolic processes depends on a number of factors, which includes the microclimatic conditions (temperature and humidity), the structure of the soil and the content of organic matter—living and SOM. Soil nematodes, whether they are hosts of bacteria, fungi, plants, omnivores or predators, affect the populations of the organisms they feed on. Although the contribution of nematodes to soil respiration is probably less than 1%, they can play an important role in soil nutrient cycling by influencing bacterial growth and nutrient availability to plants [20]. All species of Enchytraeidae, through intensive respiration processes, have a significant contribution to the mineralization of organic matter. Enchytraeidae stimulate the course of mineralization and humification processes, including by loosening the soil, breaking up soil particles, their movement in the soil profile, and catalysing the activity of microorganisms. The contribution of Enchytraeidae to these processes, and to shaping of the proper structure of and increasing the fertility of soils, is often much greater than that of other representatives of soil macro- and mesofauna [21].
The knowledge of the biotic factors influencing the nature of the functional respiration processes in the coal mine heaps’ novel ecosystem is very limited and only includes limited information on mechanisms related to aspects of the biotic parameters and respiration that are a key part of the functioning of the ecosystem [22].
It can be hypothesized that (a.) the vegetation types with a larger amount of biomass will respire more intensively, while the vegetation types with a smaller amount of biomass will respire less intensively; (b.) the respiration will be less intense in less diverse vegetation types; and (c.) the vegetation types with higher enzyme activity and a greater presence of soil fauna are characterized by greater respiration intensity.
The aim of this research was to analyse the influence of the selected biotic factors on the CO2 release from the mineral material of black coal mining heaps’ novel ecosystems. Among the biotic habitat parameters, the following have been recorded and analysed: (i.) the diversity of plant species composition of the studied vegetation types; (ii.) the amount of SOM; (iii.) the enzyme activity; (iv.) the presence of nematodes and vases; (v.) soil respiration measurements; and (vi.) the biomass amount recorded for the studied vegetation types.
2. Materials and Methods
2.1. Study Site Description
The study site’s area is located in the central part of the Silesian Upland. The Silesian Upland lies in a moderate climate zone, transitional between oceanic and continental. It is mainly influenced by polar maritime air masses from the Atlantic (60% of days) and polar–continental air masses from Eurasia (30% of days). This region has been subject to intense industrial human activity, such as urbanization, agriculture, mining, smelting, open sandpits, and quarries. The impact of human activity on the natural environment and its individual components is significant. This is particularly true of mineral mining, which has intensively transformed the relief of the landscape and excluded large areas of other human activity, e.g., agricultural and forest land use, degrading the landscape’s value. Field studies were carried out in the mineral habitats of the mine heaps of the coal mines at “Makoszowy” (Zabrze, Sosnica; 50°16′22″ N, 18°44′43″ E); “Kostuchna” in Katowice (50°11′04″ N, 19°00′33″ E); “Murcki Boże Dary” in Murcki (50°11′21″ N, 19°02′07″ E); and “Wesoła” in Mysłowice (50°10′28″ N, 19°5′44″ E) with a total area of 170 ha and an altitude of approximately 310–339 m a.s.l. p.m. The by-products of the black hard coal extraction in the coal mine heaps are carboniferous rocks—quarried at a depth of about 1 km. In terms of abiotic conditions, the post-mining heap areas are characterized by limited water availability, low nutrient reserves, high temperature, and high salinity. Compared to other sites of this type (e.g., zinc–lead heaps), the deposited material does not contain high concentrations of heavy metals.
2.2. Vegetation Sample Collection
In order to determine the relationship and potential impact of species diversity on soil carbon emissions, a number of species diversity indices were calculated for the vegetation patches in the areas analysed and these were compared and analysed. On the basis of phytosociological studies, the following indices were calculated: the Shannon–Wiener H′ diversity, Evenness uniformity, and Simpson’s dominance index. The Shannon–Wiener index (H′), which takes into account evenness and species richness, was used to determine the species diversity of the vegetation patches studied. To determine the probability that two individuals selected at random from a given sample would belong to the same species, Simpson’s index was calculated as provided in the next section. During the field work, GPS devices were used, 324 plots were established on the analysed site (Figure 1), and vegetation and soil substrate samples and data were collected.
Figure 1.
A map of the location of post-coal mine heaps in the area of the Upper Silesia (South Poland). 1—black coal mine heaps; 2—the studied black coal mine heaps; 3—country border; 4—the Silesia Upland border (according to Woźniak 2010); 5—minor country border; 6—lakes and rivers; 7—towns, cities.
2.3. Vegetation Diversity Analysis
This research uses the most commonly used indicators calculated on the basis of the frequency, abundance, and population density of individual species and facilitates the assessment of similarities and differences between vegetation patches. The analysed indicators were selected on the basis of previous studies conducted in such areas. In order to determine the relationship and potential impact of species diversity on CO2 release, a number of species diversity indices were calculated for vegetation patches in the analysed area of the post-mining heap, and results were compared and analysed. On the basis of phytosociological studies, visual estimates of the cover of individual species, using a percentage scale, were determined. For each plot the total cover of plants and total biomass were also determined. To measure biodiversity, the following biodiversity indices were implemented: number of all species present—S, Shannon–Wiener index (H), Shannon evenness (H/log(S)), evenness uniformity, and Simpson’s dominance index.
The Shannon–Wiener index (H′), was calculated according to the formula [9].
R—number of species;
pi—share of individuals of species i in the cover of individuals of all species;
i—cover of this species in the vegetation patch.
The evenness index for vegetation patches occurring in the analysed area was calculated using the following formula [9]:
H′—the value of the Shannon–Wiener diversity index;
Hmax—the maximum possible value of the Shannon–Wiener index if each species was equally probable.
In order to determine the probability that two individuals randomly selected from a given sample would belong to the same species, Simpson’s index was calculated according to the following formula [9]:
S—number of species;
pi—share of individuals of species i in the cover of individuals of all species;
i—share of that species in the vegetation patch.
2.4. Soil Sample Collection
The research was conducted on 324 study plots. The sites were selected using stratified random sampling in which the study population is divided into qualitatively different parts, and then a certain number of units are drawn from each distinguished part (layer).
The sampling method was based on research conducted by Woźniak, 2010, in the same type of habitats [9].
During the field work, research plots with a radius of 3 m were established. The test plots were established in patches of vegetation comprised of various dominant plant species that had been identified during the field work. The control plot was a section of the heap area not covered by vegetation. Substrate was taken from each plot at 3 points, from a depth of 0–10 cm (the root zone). After transporting the samples to the laboratory, they were sieved through 2 mm mesh sieves and then frozen until further analysis [9].
2.5. Soil Biotic Parameters Analysis
Soil Fauna Samples
The plots were delineated on heaps with similar conditions, which was necessary due to the different age of the heaps, size, method of dumping, nature of the surroundings, and high variability of abiotic factors. In order to present the fullest possible range of variability, a network of systematically delineated study plots was used [9]. Three soil samples (approximately 1.5 kg each) were taken from the test plots. By taking soil from different locations, a proper picture of the abundance of soil fauna species was obtained, i.e., the average number of vascular flies occurring on the study plot. The material was stored in string bags at low temperature (6 °C). The Nematode and Enchytraeidae numbers and their dispersal procedure was carried out using a Tullgren apparatus. Quantitative analysis of the biological material obtained was carried out using a Delta Optical SZH-650T stereo microscope, Delta Optical, Mississauga, ON, Canada.
2.6. Enzyme Activity Measurement
Dehydrogenase activity was determined via the reduction of 2,3,5-triphenyltetrazolium chloride (TTC) to triphenylformazan (TPF) using the method developed by Schinner, 1996. The TTC solution was added to the soil samples being studied. The whole mixture was mixed and then transferred to a thermal chamber for incubation at 37 °C for a period of 24 h. After incubation, the formazan was extracted from the soil with acetone. The colour intensity was examined using a DR 5000 Spectrophotometer–Hach Lange, Loveland, CO, USA. Absorbances were measured at 546 nm. The concentration of TPF produced was then calculated based on the standard curve. Soil dehydrogenase activity was determined based on the amount of formazan obtained per unit weight of the soil per unit time [23]. Urease activity was determined according to the Alef and Nannipieri protocol based on incubating soil substrate samples in urea solution. The activity of this enzyme was determined using a spectrophotometric method that used urea as a substrate. To maintain the appropriate pH, lemon buffer was added to the test samples. The samples were then transferred to a thermal chamber, where they were incubated at 37 °C for a period of 3 h. After the incubation period, the samples were filtered through a hard tissue filter, and 0.75 mL of the filtrate was collected, to which a solution of sodium hypochlorite and sodium phenolate was added to induce a blue colour. The colour intensity was analysed using a DR 5000 Spectrophotometer–Hach Lange at 580 nm. The assays of acid phosphatase and alkaline phosphatase activity were determined by measuring the p-nitrophenol (PNP) released by phosphatase activity after soil incubation with buffered (pH 6.0 for acid phosphatase and pH 11.0 for alkaline phosphatase) sodium p-nitrophenyl phosphate (115 mM) solution. Absorbances were measured using a DR 5000–Hach Lange spectrophotometer at 400 nm. This was followed by producing a calibration curve, for which a p-nitrophenol solution was used [24].
2.7. Biomass Samples (Cover) Collection
Field studies were conducted in 2018/2019, during one growing season. Plant samples were collected on four post-mining waste dumps in the area of the Katowice Upland, i.e., the “Sośnica” dump in Gliwice, the “Wesoła” dump in Mysłowice, and the “Murcki” and the “Kostuchna” dumps in Katowice. Research plots were delineated in a circle shape with a radius of 3 m, in a homogeneous vegetation patch dominated by a given dominant species. The species that occupied the largest area within the established plot, compared to the rest of the vegetation, was taken as the dominant species. The samples were then packed into string bags. After collection, the samples were immediately weighed using a field scale so that the weight of the fresh biomass of the dominant species and other plants was obtained. In the test plot, a representative square was determined, i.e., containing the dominant species and best representing the entire patch (the coverage of the dominant species and quantitative responses between the dominant and co-occurring species). The test field had a side length of 0.5 m (Figure 2).

Figure 2.
(A) An example of a disturbed site with initial plant species assembled into vegetation patches. (B) A patch of Calamagrostis epigejos vegetation. (C) A distant view of a colonised site (photo. G. Woźniak).
2.8. Respiration Measurement—CO2 Gas Analyzer
Respiration tests were performed using a Targaz–1 analyser. The analyser performs short-term measurements in a closed system using a ground breathing chamber. The area of the ground breathing chamber was 78 cm2 and the closed volume was 1171 cm3. The edge of the soil breathing chamber was pushed into the substrate to a depth of 1–2 cm. The rate of soil CO2 efflux is calculated on the basis of the CO2 increase inside the chamber. The nature of the closed chambers causes CO2 to continue to accumulate, and therefore measurement periods are reduced to a minimum to achieve a detectable linear concentration increase, avoiding an excessive build-up of CO2 inside the chamber over time. The results of five measurements of CO2 concentrations have been averaged within the research field (for a certain site). The range of CO2 release at the analysed sites was 0.00158–1.21462 [g CO2/m2/h].
2.9. Data Analysis
All statistical analyses and visualizations were carried out by means of R software (ver. 4.2.2, R Core Team 2022, Vienna, Austria, https://www.R-project.org) using the chosen libraries “vegan”, “labdsv”, “corrplot”, and “ggplot2”. Cluster analysis of vegetation data (324 plots) was performed using Manhattan distance and the Ward method as a grouping method. The distance measure was selected based on the ranking of correlation tests between vegetation data and respiration data (four repetitions for vegetation season). The Caliński–Harabasz criterion was used to indicate the most appropriate number of vegetation groups. The classification of indicator species into separate communities and then the merging of two or more vegetation groups was carried out using the statistics of the indicator value, the IndVal method [25], which was modified [26]. The statistical significance of this relationship was tested with a permutation test (999 repetitions). Only the indicator species of site groups with a statistically significant IndVal were presented.
An unconstrained ordination method—Detrended Correspondence Analysis (DCA)—was undertaken to demonstrate the species variation under the influence of soil respiration (the mean annual value), the total cover of plants in a plot, the total biomass, and biodiversity indices. The passive projection of these variables was performed using the Monte Carlo test with 999 permutations. The inter-correlations among biodiversity indices, biomass, and cover were calculated using the Spearman rank correlation matrix. A Kruskal–Wallis test, followed by a Conover test for pair-wise comparisons, was used to check the significance of differences among distinguished vegetation patches in terms of biodiversity indices and cover, biomass, and SRL.
3. Results
The studied vegetation patches, based on the species composition, have been arranged into five groups (Figure 3A). The distinguished vegetation patch groups can be characterized as 1—Arenaria serpylifolia; 2—Phragmites australis; 3—Tussilago farfara; 4—Hieracium pilosella; and 5—Solidago gigantea.
Figure 3.
Cluster analysis based on Manhattan distance (A) and Ward method. The biplot of DCA with ordination of distinguished vegetation groups (B). Explanation of abbreviations: cluster 1, Poa compressa; cluster 2, Tussilago farfara; cluster 3, Daucus carota; cluster 4, Chamaenerion palustre; cluster 5, Phragmites australis.
In total, 47 species were significant indicatory species for at least one vegetation group. The most common indicatory species for each one of five groups are presented in Table 1. The transitory species, i.e., indicator plants for at least two vegetation groups are shown in Table 2. The first group has no indicator species while group no. 2 has 14 species. The species Daucus carota, Hieracium piloselloides, and Medicago lupulina were significant indicator species for four of the five distinguished vegetation groups (Table 2).
Table 1.
The list of the vegetation types (dominant plant species) with their individual IndVal value, calculated for the group vegetation patches, based on the distance measure selected on ranking of correlation tests between vegetation plant species composition data and the data on respiration (four repetitions for vegetation season).
Table 2.
The indicator species analysis, ISA, based on species abundance and frequency.
The five groups are distinctively distributed along the strongest gradients revealed in the detrended correspondence analysis (Figure 3B). The distribution of the studied vegetation patches, in the ordination space of the detrended correspondence analysis, reveals the distance between cluster 2, cluster 3, and cluster 1, while the vegetation patches grouped in the clusters 4 and 5 and part of cluster 1 are in between the middle crossing of the main gradients (Figure 3B).
The unconstrained ordination DCA biplot of species scores along the first two DCA axes, while the passive projection of significant explanatory variables (Figure 4A) showed that cover and the biomass of species are strongly correlated, mostly along the first axis, whereas the biodiversity indices are correlated with the second axis of the DCA. The main factors explaining the variability of the studied patches are soil respiration and H. The vector representing the SRL index is parallel to the DCA 1 axis along which species belonging to clusters 4 and 5 are differentiated (Table 2). The vector representing the H index is the second most important factor differentiating the studied species, around which the species represented by cluster 1 are clustered.
Figure 4.
The unconstrained ordination DCA biplot of species scores along the first two DCA axes, with the passive projection of significant explanatory variables (A) and matrix correlation (Spearman rank correlation) of the studied diversity indexes and biomass measurements’ variables (B). E—Evenness index; H—Shannon–Wiener diversity index; S—Simpson’s index; SRL—CO2 release. *—p < 0.05, **—p < 0.01, ***—p < 0.001.
Spearman analysis showed a positive correlation between the SRL respiration index and H and E, biomass and E, and cover and E. There is a strong positive correlation between the CO2 release and the biomass of all the studied vegetation patches. However, a strong negative correlation has been revealed by the evenness diversity index and Shannon–Weiner diversity index values. Additionally, the Spearman rank correlation showed a strong correlation between the biomass measurements and the cover value (Figure 4B).
The significance of the relationship between the respiration parameters and the part of the biotic parameters related to varied diversity measurements (diversity indexes) and abundance measurements (cover and biomass) was the inspiration to perform a more detailed analysis (Figure 5).
Figure 5.
The comparison of the five distinguished vegetation types in terms of the six analysed parameters (SRL soil respiration; Biomass; Vegetation cover; S—species richness (number of species in a patch); H—Shannon–Weiner; E—Evenness); (Kruskal–Wallis test and Conover test for multiple comparisons). The groups with the same letters do not differ significantly at p < 0.05. Abbreviation explanation of the vegetation type coding: 1—Arenaria serpyllifolia; 2—Phragmites australis; 3—Tussilago farfara; 4—Hieracium pilosella; 5—Solidago gigantea.
The graph shows the results of statistical analyses in terms of the differences among distinguished vegetation groups in terms of diversity, biomass, cover, and respiration. These four biotic parameters are shown to be significantly higher in group 2. In terms of the vegetation diversity indexes such as the analysed S-index, H-index and E-index, the values are significantly higher in group 1. The group of vegetation also presenting the largest deviation from all analysed groups, compared with the other groups, was group 5 in particular.
The significant Spearman rank correlation between the soil respiration CO2 release and biomass and urease is positive, while the correlation is negative with Enchytraeideae (Figure 6).
Figure 6.
The graph indicates the relationships among the analysed biotic variables including the amount of biomass, the presence of nematodes, the analysed soil enzyme activity, and soil respiration. *—p < 0.05, ***—p < 0.001.
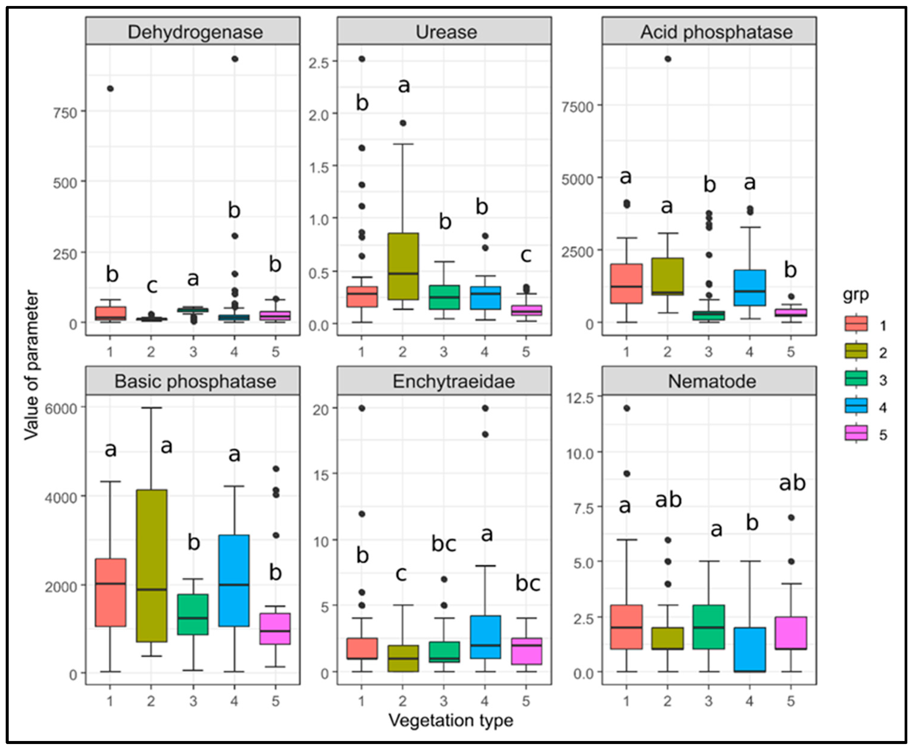
The analysis of the impact of the biotic variables showed (Figure 7) that all of the analysed vegetation groups are significantly statistically different in terms of the soil enzymes studied. In the quantitative index of Enchytraeidae, there were significant statistical differences between groups 1, 2, and 4, but groups 3 and 5 are not statistically significantly different from each other. In terms of nematode quantitative index, significant statistical differences were shown between groups 1, 3, and 4, while groups 2 and 5 were not statistically significantly different from each other.
Figure 7.
The comparison of selected biotic variables among distinguished vegetation types (Kruskal–Wallis test and Conover test for multiple comparisons) is provided. The groups with the same letters do not differ significantly at p < 0.05. Abbreviation explanation of the vegetation type coding: 1—Arenaria serpyllifolia; 2—Phragmites australis; 3—Tussilago farfara; 4—Hieracium pilosella; 5—Solidago gigantea.
4. Discussion
In our study, we analysed a variety of biotic habitat parameters concerning the soil respiration rate. Among the biotic site characteristics, the diversity indexes of the vegetation species composition of the studied vegetation types, the SOM content, the enzyme activity, the mesofauna occurrence, and the cover percentage, along with the amount of biomass in the recorded vegetation types, were analysed in the novel post-coal mine ecosystems. It is known that natural or anthropogenic disturbances (e.g., logging, agriculture, urbanization, land-use changes, mineral resource excavation) often alter the soil profile, and the habitat conditions change in terms of carbon stocks and carbon fluxes [27]. The magnitude of change in the soil or soil substrate CO2 flux depends on the amount and quality of litter and organic layers, disturbance by roots, or the admixture of mineral soil horizons that are exposed to oxygen. When organic matter, which is almost pure organic carbon, is exposed to oxygen, the organic carbon is oxidized to CO2 and an adequate flux of energy is released.
4.1. The Unusual Conditions of Novel Ecosystems
Mineral extraction significantly transforms the natural landscape. Complicated habitat conditions are the basis for the implementation of research focused on understanding the new ecosystems, the complexity of the relationships between bacteria, plants, and abiotic conditions, and the broadening of the limited understanding of these relationships in natural and semi-natural ecosystems. At the same time, human industrial and mining activities are creating entirely new challenges [2,28]. Open-pit mining and the storage of minerals from underground mining are causing the removal of the existing vegetation and a change in soil composition and structure, affecting hydrological conditions [21,29,30,31,32,33]. Human activities in some places cause fundamental changes beyond the particular biogeochemical thresholds of habitats. These new habitats with different plant compositions appear to be examples of the new ecosystems [10,19,22,34,35]. Living conditions in coal mine heaps vary significantly in terms of moisture content, grain size, and salinity, not to mention differences in slope, elevation, and shape. The diversity of habitats within a coal mine heap is often much greater than between two or more heaps. The mosaic of microhabitats (e.g., grain size, moisture content, salinity) is reflected in the mosaic of plant composition [21,36,37,38]. Studies of the different species composition of vegetation on the mineral material of mining sites reveal new ecosystems that differ from the surrounding non-industrial areas [39,40]. New ecosystem habitats offer a unique opportunity to study the primary succession processes in broad and specific habitat conditions [7,19,34,37,41,42].
4.2. Diversity of Plant Species Composition and Soil Respiration
In natural and semi-natural non-disturbed ecosystems, the plant species composition of the studied communities plays a crucial role in controlling soil respiration. Vegetation plant species composition is the only way carbon enters the soil and determines the microbial communities’ composition. The variety of different plant species assemblages enriches soil autotrophic respiration by intensifying metabolic rates and fine root biomass [10]. In our study the recorded vegetation type diversity has been grouped into five clusters based on the similarities in plant species composition and the background soil substrate respiration parameters. The identified vegetation type groups revealed significant differences. The respiration is significantly higher in the vegetation type cluster in group 2 in comparison to the much lower respiration rate in the vegetation type clustered in groups 1, 3, 4, and 5.
The autotrophic diversity promotes soil heterotrophic respiration due to a greater variety of nutrient and carbon resources available for soil microorganisms [43]. The structural complexity of the vegetation can indirectly influence soil respiration by changing environments (e.g., light intensity, high cover, and shading of the lower layers), plant diversity [44], and soil temperature variability [45]. Except for the differences in root respiration, plant species communities’ diversity mainly influences soil respiration via the quality and quantity of the plant input on the remaining biomass biochemistry and, as a result, the attraction of the available microbes [46]. It is possible that soil microbial diversity and variety, derived from plant species diversity, has a crucial impact on the cycling of carbon and nutrients in the soil in terrestrial ecosystems. Some empirical studies have revealed that a loss of microbial diversity caused higher velocities of soil microbial respiration [35,39,47]. Soil microbial diversity and community composition is closely related to the diversity of plant species composition [48]. How above- and below-ground diversity collectively shapes seasonal differences in soil respiration at local scales is unknown [35]. The vegetation percentage cover, the biomass amount, and soil organic carbon (SOM) provide comparative indices. Our respiration measurements were conducted at the same time of year (August). In late summer, the vegetation percentage cover and the above-ground biomass is the highest in group 2 and the lowest in group 3. The recorded differences are statistically significant.
The seasonal changes in soil respiration are also related to the seasonality of the vegetation plant species composition in the temperate zone [49,50,51].
4.3. Soil Enzyme Activity and Respiration in the Studied Vegetation Types
The temperature increases could increase extracellular enzyme reaction rates and, consequently, the decomposition process [14,52,53,54,55]. If warming increases decomposition, soil microbial communities could drain soil C pools [56,57,58,59]. Soil enzyme activity is suggested to be the indicator of soil quality, which can reflect the changes in the ecosystem’s health. Ecosystem health can be characterized by soil enzymes closely related to crucial soil-quality parameters such as biomass, soil organic matter, the resulting microbial activity, and soil physical properties [60].
Theoretical models suggest that increased soil respiration results in a rapid decomposition of the carbon pool—soil respiration typically returns to pre-warming levels [6]. Two hypotheses explaining the observed decline in respiration after warming are substrate depletion and the thermal adaptation of soil microbial communities [56,61,62]. The substrate depletion hypothesis suggests that energy-intensive enzyme production should only begin when the substrate inhibits microbial growth and is ready for degradation [63,64]. Soil respiration reaches a steady state if unstable carbon is rapidly consumed in response to warming, and carbon resists degradation at the same rate [15,65,66,67]. With enzymatic changes, respiration will increase until the labile substrate C is depleted, and then decrease, or return to the initial temperature, before the bacteria have switched from a labile substrate to resistant substrate. The thermal adaptation hypothesis suggests that microbial communities will adapt to warming and change their structure to utilize non-catalytic substrates after labile substrate depletion [68]. Heat-adapted microbial communities can maintain enzyme production even with reduced soil respiration, allocating more C for growth [14]. Enzyme activity is likely closely related to the overall demand for C, N, and P and is not regulated by the availability of a single target enzyme [64].
The SOM quality and biochemistry affect the energy supply for microbial growth and therefore enzyme release. Some studies show positive correlations between enzyme activities and SOC and T to N in human-disrupted areas [69,70]. Baldrian et al. (2008) [71] found that during spontaneous succession on heaps, established after brown coal extraction, the presence of SOC and T to N in the topsoil layer significantly influenced enzyme activities. In the few studies performed on the mineral material of deep post-black coal mine heaps, results show no significant correlations between the amount of SOC in the mineral soil substrate and dehydrogenase activity, or between SOC and the activity level of acid or alkaline phosphatases [72]. However, some studies showed a negative correlation between urease activity and SOC [72,73,74]. The SOM in the mineral soil substrate of the post-coal mine heaps might be rich in carbon related to organic matter of recent or geogenic origin [37,75,76,77,78]. The black, hard, geogenic coal is not available to microorganisms, regardless of its high quantity of organic carbon (loss of ignition analysis of 10–18%) [79]. The mineral post-coal mine substrate had low carbon sources for microorganisms [76,78]. Typical for mineral habitats, the limited amount of carbon available for microorganisms in the total habitat pool of SOC may influence the lack of correlation between SOC and the activity of the studied soil enzymes [72]. The results of some studies have revealed that soil pH influences enzyme activity and soil microbial community structure [73]. Some studies have detected positive correlations between dehydrogenase and alkaline phosphatase activity, soil functional diversity, and substrate pH. In our study, the activity of soil enzymes such as dehydrogenase, acid phosphatase, and the alkaline phosphatase is positively correlated with the amount of CO2 released. There was no positive correlation between urease activity and soil respiration.
Tests of soil respiration have shown that the respiration is seasonally specific, i.e., there is a decrease in summer [80] or an increase in winter [81]. The soil respiration changes with long histories of N deposition [82,83]. In forest ecosystems the herbaceous understory plants are often make up the largest part of plant diversity in deciduous forests. In this respect the herbaceous plants in forests can contribute significantly to total forest net primary productivity (NPP) and consequently contribute significantly to the soil organic matter (SOM) [84,85]. In this way the forest understory should be considered as an important focus for understanding the effect of warming on soil C storage.
4.4. Soil Organic Matter and Respiration in the Studied Vegetation Types
The majority of the study focused on the relation between the soil organic matter and the soil respiration process, considering the temperature and moisture conditions influencing the process. The example of Calamagrostis epigejos protein quality and quantity composition has shown significant differences between individuals of the same species in response to severe habitat factors [86].
Soil organic matter (SOM) derives mainly from above and below-ground organic matter synthesized by plants. The foundation of SOM establishment is well studied, but it is still unknown how the litter’s biochemical structure and composition influence the formation of new SOM and the decomposition of already existing SOM [11,84]. There are few studies on the separation of the effect of plant litter composition on carbon transference from different plant tissues into specific SOM fractions, and the determination of the magnitude of the effect on already existing SOC caused by litter amendments could be very informative. The effect of the different litter types, such as bark, leaves, twigs, and roots in the soil rhizosphere zone, has been studied [87].
The origin and amount of organic carbon influence the presence, metabolic activity, and functional diversity of the microbial assembly in mineral habitats, such as organic carbon availability in poor mineral habitats in, for example, sandy soils [35].
However, it remains difficult to separate root respiration (including rhizosphere microorganisms) from microbial respiration under field conditions. To date, various in situ approaches have been used, ranging from crude soil exposure to very specific requirements such as changing the carbon isotopic signatures of the two components of respiration (as a result of altering the photosynthetic pathways of vegetation or manipulating isotopic tracers). The autotrophic portion of respiration in intact roots has been measured in the field using root cuvettes [88,89]. A different approach has been used when the autotrophic part of the respiration has been measured with excised roots in the laboratory [90]. In another study the method of trenching labelling with 14C, 13C, or O has been applied [91], inhibiting one respiratory component [92,93] has been used to separate the root from microbial respiration. However, the ratio between the two respiration components is generally quite site-specific and varies between 1:9 and 9:1 [94].
4.5. The Amount of Biomass and Respiration in the Studied Vegetation Types
The plant species composition in the vegetation patch can be assessed by estimating the percentage cover of the whole plant community and each of the plant species separately. Apart from the percentage cover of the vegetation, the biomass weight (dry and wet) is measured. The biomass can be divided into the dominant plant species weight and the weight of the rest of the non-dominant plant species. All of the biomass, and thus the amount of carbon that accumulates in the vegetation types in each ecosystem, is established due to the balance of photosynthesis (the whole primary production, (P), and the plants’ (autotrophs) respiration, the energy needed for the plant growth and living processes). The difference between these fluxes is the net primary production (Pn) [95,96].
In our study we have performed a comparison of the identified vegetation group types, vegetation cover, and the amount of biomass in relation to the respiration parameters. The results revealed that the vegetation biomass was the highest in vegetation group cluster 2, and is significantly higher and different from the 1, 3, 4, and 5 vegetation group clusters.
In our study, we conducted a comparison of the identified vegetation groups, types, vegetation cover, and the amount of biomass in relation to respiration parameters. The amount of biomass is not linearly correlated with CO2 release from the soil.
Based on the metabolic scaling theory, the hypothesis suggests that respiration should scale with biomass [97]. According to some studies [98,99] respiration scales with whole-plant carbon (C) or nitrogen (N) content. In this approach, the scaling is similar within and among different species, irrespective of environmental and climatic conditions, which might influence the normalization constant, but not the exponent. The traditional view of forest dynamics assumed the isometric scaling of respiration with biomass set out, for example, by Kira and Shidei (1967) [100] and Odum (1969) [101]. In the absence of significant disturbances, if respiration increases in parallel with biomass, primary productivity (Pn) necessarily declines because primary productivity (Pn) cannot increase indefinitely but becomes relatively stable at canopy closure in forest ecosystems [102].
For forest ecosystems, many vegetation models simulate plant respiration considering respiration R to be a fixed fraction of (phosphorus) P. Others more explicitly relate respiration (R) to the amount of biomass, and thus only indirectly to P [96]. The calculation based on the theoretical approach of the two above hypotheses produces quite different results. The differences in the obtained results caused by both hypotheses (and their supposed underlying mechanisms) have been subject to criticism [102,103,104,105].
This study was performed on the comparison of the identified vegetation group types and vegetation cover in relation to the respiration parameters. The results revealed that vegetation percentage cover was the highest in vegetation group cluster 5, and is significantly higher and different from the other three vegetation group clusters. No significant differences have been identified between the recorded vegetation cover in the vegetation group clusters 2 and 4. In our study, we conducted a comparison of identified vegetation groups, types, vegetation cover, and the amount of biomass in relation to respiration parameters. The amount of biomass is not linearly correlated with CO2 release from the soil.
The vegetation percentage cover, and the biomass quantity and quality determine a considerable CO2 flux within the soil or soil substrate respiration in terrestrial ecosystems and between the biosphere and the atmosphere [103]. Soil CO2 fluxes include autotrophic root respiration and heterotrophic microbial respiration in the soil. Information on soil CO2 fluxes and on factors that govern these fluxes are needed to constrain the ecosystem carbon cycling and to decide whether terrestrial ecosystems are carbon sinks or sources [104,105]. Other factors, such as land-use change, can also enhance or reduce soil CO2 fluxes. Changes in precipitation (moisture) and temperature, as well as changes in habitat conditions or management practices, will impact soil respiration fluxes and the carbon budget of terrestrial ecosystems [18,106].
4.6. Soil Fauna and Soil Respiration in the Studied Vegetation Types
The soil fauna improves litter decomposition at the global biome and ecosystem scales (average enhancement of 27%) [107,108]. The soil fauna is a vital element of ecosystems because of its functional position in biogeochemical processes in accelerating the efficiency of biomass and litter decomposition and nutrient conversion [109].
The data collected on species composition, mesofauna abundance, and biomass allowed us to look for evidence of interrelationships between the biotic elements of the study sites. Relatively strong interactions were detected between the biomass and abundance of the studied soil organisms. The abundance of Vasomonads and nematodes on vegetated sites is relatively low compared to natural ecosystems. The formation of the first links of succession on a substrate almost completely devoid of life, or on one where it has been forming for a short time, is one of the most interesting issues of environmental biology. Succession processes can be observed, among other things, on various types of post-industrial heaps. Research on succession has been carried out for many years. However, most of the studies mainly concern plants. Studies on the groupings of soil fauna at different stages of succession are rare [31].
As indicated by Nielsen et al., 2014, local nematode abundance was related to soil characteristics, and no relationships were noted between colony richness and environmental or climatic variables. Family composition was related to the average annual precipitation and temperature, suggesting that weather conditions (climate) are a good indicator of local assemblage structure. As a result, climate change could have a significant impact on nematode assemblages, with potential impacts on ecosystem functioning [110].
Soils or soil substrate in below-ground ecosystems are composed of diverse organisms including invertebrate fauna that are responsible for the global turnover of biomass dead organic matter [1,111,112]. The soil fauna provide key ecosystem processes significantly influencing the decomposition of organic matter and the matter and energy flow, enabling the recycling of nutrients [40,111,113]. Some groups of soil macrofauna represent saprophage organisms and contribute to litter decomposition, for example the litter-feeding nematodes [110,114]. Macro- and mesofauna are mostly saprophagous whereas some mesofauna and some larvae are fungal and bacterial feeders [40,113]. The diversity in soil fauna composition changes the feeding activity and alters the environmental conditions in the topsoil and thus influences the composition and diversity of soil microorganisms [112,113].
Some of the diversity might be partly related to methodological differences [115]. Soil temperature and soil moisture are among the most critical factors controlling the CO2 flux [18,103,106]. Soil substrate quantity and quality, and soil texture, have also been shown to have an effect [116]. There are many studies conducted on how to model the influence of these factors on soil respiration [18]. The variability of soil CO2 fluxes and some of the underlying processes are well known, but they still involve uncertainties that need to be resolved.
4.7. The Environmental Novelty of the Coal Mine Heaps—Why Understanding the Novel Ecosystems Processes Is Important
Many discussions have focused on the definition of novelty in novel ecosystems. As a result, some concepts of the description of the novelty are presented [117].
According to some researchers, novel ecosystems represent new ecological entities, and they should be identified and enhanced according to their own independently developed biological, ecological, and environmental rules [34]. Following the novel ecosystems concept and the pathways to the establishment of the best adjusted and adapted organisms, and their relationships, will bring more benefits to the functioning of the environment (ecosystem services and human quality of life). The establishment of novel ecosystems can be considered better than taking the risk of losing time and financial resources to restore, for example, post-mineral excavation sites to their previous state [117,118].
Understanding of the processes and the functioning and the nature of novel ecosystems needs further study. Apart from the non-analogous species composition of vascular plants, biological analyses of the biotic parameters of the mineral substrate, such as the activity of soil enzymes, the functional diversity of bacteria, and the primary producers have been performed. The studies of vascular plant species’ functional traits (morphological, biochemical, or physiological) identified that the adaptations that enable them to colonize harsh habitats are necessary [86].
Apart from studying the natural processes occurring in the post-coal mine heaps, there are also studies presenting an alternative approach. There is a study regarding the strategy for restoring the potential for the use of metal-leaching technologies. There are studies focused on completely different points of view, underlining that most ore processing by-products can be used in production. The results of studies on bringing non-extracted metals into the solution are presented in some studies [119]. That study does not consider any biological processes but presents the advantages of leaching in disintegrator mills and identifies the possibilities of implementing the techniques for resource-saving in order to obtain economic benefits [119]. In a study by Golik et al., (2023) no environmental aspects were considered. The biological potential of the oligotrophic habitat of the mineral material is not mentioned in similar papers. The quantitative strength parameters of the hardening mixture, as a result of the alternative methods, were presented [119].
On some post-industrial sites, reclamation is performed. It is crucial to understand the mechanisms influencing the response of vegetation species composition, and soil or soil substratum, to reclamation procedures [120]. Ren et al., (2023) in their study, used Medicago sativa L. (alfalfa), as an indicator. In this study a total of 41 soil and 70 vegetation sampling points were analysed. In the Ren et al. (2023) study the habitat records including soil environmental factors (soil temperature, ST; soil water content, SWC; soil organic carbon, SOC; total nitrogen, TN; available phosphorus, AP; available potassium, AK; bulk density, BD; pH) and the alfalfa growth indicator (above-ground biomass, AGB) were recorded [120].
5. Conclusions
Novel ecosystems such as those developing on post-black coal mine heaps are fulfilling all the criteria used as the prerequisite of the novel ecosystem definition. The ecosystems developing, based on the non-analogous spontaneous vegetation species composition, can provide significantly different systems for functioning. Some of the relationships between the biotic parameters and soil respiration intensity are different in comparison to those occurring in natural and semi-natural vegetation types and their dependent ecosystems.
The diversity of vegetation species composition, measured by the use of varied indexes, decreased with the mineral soil substrate respiration intensity.
Our results revealed that, in accordance with our expectations, the vegetation types with a higher amount of plant biomass respire more intensively. The study has shown that this relationship in post-coal mining novel ecosystems is positively strong and statistically significant between the vegetation biomass and spoil substrate respiration parameters. In the vegetation types with a lower amount of plant vegetation biomass present in the mineral soil substratum respiration is less intense. In the studied vegetation types, the spontaneous patches of Phragmites australis presented the highest biomass in the dominant vegetation patches.
The activity of soil enzymes such as dehydrogenase, acid phosphatase, and alkaline phosphatase does not increase significantly with the amount of CO2 released. Only urease activity is increased with the mineral soil substrate respiration of coal mine heaps.
Only the number of Enchytraeidae increases with the release of CO2. In the other soil fauna, the number of nematodes showed an increase with the release of CO2 from the mineral soil substratum of the coal mine heaps’ novel ecosystems.
The study illuminates the intricate relationships between abiotic conditions and CO2 respiration rates in coal mine heap habitats. The findings underline the necessity of considering a multitude of environmental factors in predicting CO2 release accurately.
As ecosystems continue to evolve in response to the disturbances caused by anthropogenic activities, the study’s insights are crucial for informed ecological management. Understanding the complex interplay of factors impacting CO2 respiration can guide strategies to mitigate carbon emissions and foster sustainable land management practices.
Author Contributions
Conceptualization, Ł.R., G.W. and D.P.; methodology Ł.R., G.W. and D.C.; software, D.C.; validation, Ł.R. and G.W.; formal analysis, Ł.R. and G.W.; investigation, Ł.R. and G.W. resources, Ł.R. and G.W. data curation, Ł.R. and G.W.; writing Ł.R., original draft preparation, Ł.R., writing—review and editing, Ł.R. and G.W.; visualization, D.C.; supervision, G.W. and D.P.; project administration, Ł.R. and G.W.; funding acquisition, Ł.R. and G.W. All authors have read and agreed to the published version of the manuscript.
Funding
TANGO1/268600/NCBR/2015 (INFOREVITA—System wspomagania rewitalizacji zwałowisk odpadów pogórniczych przy uzyciu narzedzi geoinformatycznych/Geoinformatics tools a supporting system of coal mine spoil heaps reclamation); National Science Centre Poland, Grant Number: OPUS 2019/35/B/ST10/04141 (Linking soil substrate biogeochemical properties and spontaneous succession on post-mining areas: novel ecosystems in a human-transformed landscape).
Data Availability Statement
Not applicable.
Conflicts of Interest
The authors declare that they have no conflict of interest.
References
- Bardgett, R.D.; Van Der Putten, W.H. Belowground Biodiversity and Ecosystem Functioning. Nature 2014, 515, 505–511. [Google Scholar] [CrossRef] [PubMed]
- Błaszkowski, J.; Niezgoda, P.; Piątek, M.; Magurno, F.; Malicka, M.; Zubek, S.; Mleczko, P.; Yorou, N.S.; Jobim, K.; Vista, X.M.; et al. Rhizoglomus dalpeae, R. maiae, and R. silesianum, new species. Mycologia 2019, 111, 965–980. [Google Scholar] [CrossRef] [PubMed]
- Bennett, J.A.; Klironomos, J. Mechanisms of Plant–Soil Feedback: Interactions among Biotic and Abiotic Drivers. New Phytol. 2019, 222, 91–96. [Google Scholar] [CrossRef] [PubMed]
- Bergmann, J.; Weigelt, A.; Van Der Plas, F.; Laughlin, D.C.; Kuyper, T.W.; Guerrero-Ramirez, N.; Valverde-Barrantes, O.J.; Bruelheide, H.; Fresche, G.T.; Iversen, C.M.; et al. The Fungal Collaboration Gradient Dominates the Root Economics Space in Plants. Sci. Adv. 2020, 6, 3756. [Google Scholar] [CrossRef] [PubMed]
- Bardgett, R.D.; Freeman, C.; Ostle, N.J. Microbial Contributions to Climate Change through Carbon Cycle Feedbacks. ISME J. 2008, 2, 805–814. [Google Scholar] [CrossRef]
- Allison, S.D.; Wallenstein, M.D.; Bradford, M.A. Soil-Carbon Response to Warming Dependent on Microbial Physiology. Nat. Geosci. 2010, 3, 336–340. [Google Scholar] [CrossRef]
- Woźniak, G.; Malicka, M.; Kasztowski, J.; Radosz, Ł.; Czarnecka, J.; Vangronsveld, J.; Prostański, D. How Important Are the Relations between Vegetation Diversity and Bacterial Functional Diversity for the Functioning of Novel Ecosystems? Sustainability 2023, 15, 678. [Google Scholar] [CrossRef]
- Keith, S.A.; Newton, A.C.; Herbert, R.J.H.; Morecroft, M.D.; Bealey, C.E. Non-Analogous Community Formation in Response to Climate Change. J. Nat. Conserv. 2009, 17, 228–235. [Google Scholar] [CrossRef]
- Woźniak, G. Diversity of Vegetation on Coal-Mine Heaps of the Upper Silesia; Polish Academy of Sciences: Poland, Kraków, 2010. [Google Scholar]
- Błońska, E.; Lasota, J.; Tullus, A.; Lutter, R.; Ostonen, I. Impact of Deadwood Decomposition on Soil Organic Carbon Sequestration in Estonian and Polish Forests. Ann. Sci. 2019, 76, 102. [Google Scholar] [CrossRef]
- Hobbs, R.J.; Higgs, E.S.; Hall, C.M. Novel Ecosystems: Intervening in the New Ecological World Order; Wiley-Blackwell: Hoboken, NJ, USA, 2013; pp. 1–368. [Google Scholar] [CrossRef]
- Hooper, D.U.; Chapin, F.S.; Ewel, J.J.; Hector, A.; Inchausti, P.; Lavorel, S.; Lawton, J.H.; Lodge, D.M.; Loreau, M.; Naeem, S.; et al. Effects of biodiversity on ecosystem functioning: A consensus of current knowledge. Ecol. Monogr. 2005, 75, 3–35. [Google Scholar] [CrossRef]
- Zhang, Y.; Chen, H.Y.H.; Reich, P.B. Forest Productivity Increases with Evenness, Species Richness and Trait Variation: A Global Meta-Analysis. J. Ecol. 2012, 100, 742–749. [Google Scholar] [CrossRef]
- Chen, X.; Chen, H.Y.H. Global Effects of Plant Litter Alterations on Soil CO2 to the Atmosphere. Glob. Chang. Biol. 2018, 24, 3462–3471. [Google Scholar] [CrossRef] [PubMed]
- Chapman, S.K.; Newman, G.S. Biodiversity at the Plant-Soil Interface: Microbial Abundance and Community Structure Respond to Litter Mixing. Oecologia 2010, 162, 763–769. [Google Scholar] [CrossRef] [PubMed]
- Eisenhauer, N.; Beßler, H.; Engels, C.; Gleixner, G.; Habekost, M.; Milcu, A.; Partsch, S.; Sabais, A.C.W.; Scherber, C.; Steinbeiss, S.; et al. Plant Diversity Effects on Soil Microorganisms Support the Singular Hypothesis. Ecology 2010, 91, 485–496. [Google Scholar] [CrossRef]
- Handa, I.T.; Aerts, R.; Berendse, F.; Berg, M.P.; Bruder, A.; Butenschoen, O.; Chauvet, E.; Gessner, M.O.; Jabiol, J.; Makkonen, M.; et al. Consequences of Biodiversity Loss for Litter Decomposition across Biomes. Nature 2014, 509, 218–221. [Google Scholar] [CrossRef]
- Sinsabaugh, R.; Antibus, R.K. An Enzymic Approach to the Analysis of Microbial Activity during Plant Litter Decomposition Drought-Induced Piñon Mortality View Project Climate Change Effects on Soil Invertebrate Communities View Project. Agric. Ecosyst. Environ. 1991, 34, 43–54. [Google Scholar] [CrossRef]
- Bradford, M.A.; Watts, B.W.; Davies, C.A. Thermal Adaptation of Heterotrophic Soil Respiration in Laboratory Microcosms. Glob. Chang. Biol. 2010, 16, 1576–1588. [Google Scholar] [CrossRef]
- Smulczak, L.; Tracz, H. Metabolizm Oddechowy Gleb w Roznych Wariantach Sposobu Przygotowania Gleby Oraz Udzialu Domieszek Na Zalesionych Gruntach Porolnych. Sylwan 2008, 152, 63–71. [Google Scholar]
- Kasprzak, K.; Państwowe Wydawnictwo Naukowe (1951–1992); Polska Akademia Nauk; Instytut Zoologii. Ènhitreidy (Enchytraeidae); Enchytraeids (Enchytraeidae, Oligochaeta). Fragm. Faun. 1981, 26, 65–76. [Google Scholar] [CrossRef]
- Buchmann, N. Biotic and Abiotic Factors Controlling Soil Respiration Rates in Picea Abies Stands. Soil Biol. Biochem. 2000, 32, 1625–1635. [Google Scholar] [CrossRef]
- Schinner, F. Introduction. In Methods Soil Biology; Springer: Berlin/Heidelberg, Germany, 1996; pp. 3–6. [Google Scholar] [CrossRef]
- Burmeier, H. Bioremediation of Soil. In Methods in Applied Soil Microbiology and Biochemistry; Academic Press: Cambridge, MA, USA, 1995; ISBN 9780125138406. [Google Scholar]
- Dufrêne, M.; Legendre, P. Species assemblages and indicator species: The need for a flexible asymmetrical approach. Ecol. Monogr. 1997, 67, 345–366. [Google Scholar] [CrossRef]
- De Cáceres, M.; Legendre, P.; Moretti, M. Improving Indicator Species Analysis by Combining Groups of Sites. Oikos 2010, 119, 1674–1684. [Google Scholar] [CrossRef]
- Schimel, D.S.; Emanuel, W.; Rizzo, B.; Smith, T.; Woodward, F.I.; Fisher, H.; Kittel, T.G.F.; Mckeown, R.; Painter, T.; Rosenbloom, N.; et al. Continental Scale Variability in Ecosystem Processes: Models, Data, and the Role of Disturbance. Ecol. Monogr. 1997, 67, 251–271. [Google Scholar] [CrossRef]
- Kałucka, I.L.; Jagodziński, A.M. Successional Traits of Ectomycorrhizal Fungi in Forest Reclamation after Surface Mining and Agricultural Disturbances: A Review Environmental and Genetic Factors Affecting Productivity of Forest Ecosystems on Forest and Post-Industrial Habitats View Project. Dendrobiology 2016, 76, 91–104. [Google Scholar] [CrossRef]
- Woźniak, G.; Sierka, E.; Wheeler, A. Urban and Industrial Habitats: How Important They Are for Ecosystem Services. Ecosyst. Serv. Glob. Ecol. 2018, 19, 75723. [Google Scholar] [CrossRef]
- Prach, K.; Walker, L.R. Comparative Plant Succession among Terrestrial Biomes of the World; Cambridge University Press: Cambridge, UK, 2019; p. 400. [Google Scholar]
- Tropek, R.; Kadlec, T.; Hejda, M.; Kocarek, P.; Skuhrovec, J.; Malenovsky, I.; Vodka, S.; Spitzer, L.; Banar, P.; Konvicka, M. Technical Reclamations Are Wasting the Conservation Potential of Post-Mining Sites. A Case Study of Black Coal Spoil Dumps. Ecol. Eng. 2012, 43, 13–18. [Google Scholar] [CrossRef]
- Frouz, J.; Jílková, V. The Effect of Ants on Soil Properties and Processes (Hymenoptera: Formicidae). Myrmecol. News 2008, 11, 191–199. [Google Scholar]
- Řehounková, K.; Čížek, L.; Řehounek, J.; Šebelíková, L.; Tropek, R.; Lencová, K.; Bogusch, P.; Marhoul, P.; Máca, J. Additional Disturbances as a Beneficial Tool for Restoration of Post-Mining Sites: A Multi-Taxa Approach. Environ. Sci. Pollut. Res. 2016, 23, 13745–13753. [Google Scholar] [CrossRef]
- Rotherham, I.D. Recombinant Ecology—A Hybrid Future? Springer: Berlin/Heidelberg, Germany, 2017. [Google Scholar] [CrossRef]
- Zhang, M.; Sayer, E.J.; Zhang, W.; Ye, J.; Yuan, Z.; Lin, F.; Hao, Z.; Fang, S.; Mao, Z.; Ren, J.; et al. Seasonal Influence of Biodiversity on Soil Respiration in a Temperate Forest. Plants 2022, 11, 3391. [Google Scholar] [CrossRef]
- Vargas, R.; Allen, M.F. Environmental Controls and the Influence of Vegetation Type, Fine Roots and Rhizomorphs on Diel and Seasonal Variation in Soil Respiration. New Phytol. 2008, 179, 460–471. [Google Scholar] [CrossRef]
- Woźniak, G.; Chmura, D.; Małkowski, E.; Zieleźnik-Rusinowska, P.; Sitko, K.; Ziemer, B.; Błońska, A. Is the Age of Novel Ecosystem the Factor Driving Arbuscular Mycorrhizal Colonization in Poa compressa and Calamagrostis epigejos? Plants 2021, 10, 949. [Google Scholar] [CrossRef] [PubMed]
- He, X.Y.; Wang, K.L.; Zhang, W.; Chen, Z.H.; Zhu, Y.G.; Chen, H.S. Positive correlation between soil bacterial metabolic and plant species diversity and bacterial and fungal diversity in a vegetation succession on Karst. Plant Soil 2008, 307, 123–134. [Google Scholar] [CrossRef]
- Jiang, L.; Pu, Z.; Nemergut, D.R. On the Importance of the Negative Selection Effect for the Relationship between Biodiversity and Ecosystem Functioning. Oikos 2008, 117, 488–493. [Google Scholar] [CrossRef]
- Frouz, J.; Špaldoňová, A.; Fričová, K.; Bartuška, M. The Effect of Earthworms (Lumbricus rubellus) and Simulated Tillage on Soil Organic Carbon in a Long-Term Microcosm Experiment. Soil Biol. Biochem. 2014, 78, 58–64. [Google Scholar] [CrossRef]
- Błońska, A.; Chmura, D.; Hutniczak, A.; Wilczek, Z.; Jarosz, J.; Besenyei, L.; Woźniak, G. The Plant Species Composition of an Abandoned Meadow as an Element of an Ecosystem Mosaic within an Urban-Industrial Landscape. Sustainability 2022, 14, 11851. [Google Scholar] [CrossRef]
- Chmura, D.; Jagodziński, A.M.; Hutniczak, A.; Dyczko, A.; Woźniak, G. Novel Ecosystems in the Urban-Industrial Landscape–Interesting Aspects of Environmental Knowledge Requiring Broadening: A Review. Sustainability 2022, 14, 10829. [Google Scholar] [CrossRef]
- Khlifa, R.; Paquette, A.; Messier, C.; Reich, P.B.; Munson, A.D. Do Temperate Tree Species Diversity and Identity Influence Soil Microbial Community Function and Composition? Ecol. Evol. 2017, 7, 7965–7974. [Google Scholar] [CrossRef]
- Mestre, L.; Toro-Manríquez, M.; Soler, R.; Huertas-Herrera, A.; Martínez-Pastur, G.; Lencinas, M.V. The Influence of Canopy-Layer Composition on Understory Plant Diversity in Southern Temperate Forests. For. Ecosyst. 2017, 4, 6. [Google Scholar] [CrossRef]
- Stell, E.; Warner, D.; Jian, J.; Bond-Lamberty, B.; Vargas, R. Spatial Biases of Information Influence Global Estimates of Soil Respiration: How can we Improve Global Predictions? Glob. Chang. Biol. 2021, 27, 3923–3938. [Google Scholar] [CrossRef]
- Murphy, M.; Balser, T.; Buchmann, N.; Hahn, V.; Potvin, C. Linking Tree Biodiversity to Belowground Process in a Young Tropical Plantation: Impacts on Soil CO2 Flux. Ecol. Manag. 2008, 255, 2577–2588. [Google Scholar] [CrossRef]
- Allen, B.; Willner, D.; Oechel, W.C.; Lipson, D. Top-down Control of Microbial Activity and Biomass in an Arctic Soil Ecosystem. Environ. Microbiol. 2010, 12, 642–648. [Google Scholar] [CrossRef] [PubMed]
- Waldrop, M.P.; Firestone, M.K. Seasonal Dynamics of Microbial Community Composition and Function in Oak Canopy and Open Grassland Soils. Microb. Ecol. 2006, 52, 470–479. [Google Scholar] [CrossRef] [PubMed]
- Giasson, M.A.; Ellison, A.M.; Bowden, R.D.; Crill, P.M.; Davidson, E.A.; Drake, J.E.; Frey, S.D.; Hadley, J.L.; Lavine, M.; Melillo, J.M.; et al. Soil Respiration in a Northeastern US Temperate Forest: A 22-Year Synthesis. Ecosphere 2013, 4, 1–28. [Google Scholar] [CrossRef]
- Estiarte, M.; Peñuelas, J. Alteration of the Phenology of Leaf Senescence and Fall in Winter Deciduous Species by Climate Change: Effects on Nutrient Proficiency. Glob. Chang. Biol. 2015, 21, 1005–1017. [Google Scholar] [CrossRef]
- Kittredge, H.A.; Cannone, T.; Funk, J.; Chapman, S.K. Soil Respiration and Extracellular Enzyme Production Respond Differently across Seasons to Elevated Temperatures. Plant Soil 2018, 425, 351–361. [Google Scholar] [CrossRef]
- Fierer, N.; Craine, J.M.; Mclauchlan, K.; Schimel, J.P. Litter Quality and the Temperature Sensitivity of Decomposition. Ecology 2005, 86, 320–326. [Google Scholar] [CrossRef]
- Wallenstein, M.; Allison, S.D.; Ernakovich, J.; Steinweg, J.M.; Sinsabaugh, R. Controls on the Temperature Sensitivity of Soil Enzymes: A Key Driver of In Situ Enzyme Activity Rates. Soil Enzymol. 2010, 22, 245–258. [Google Scholar] [CrossRef]
- German, D.P.; Marcelo, K.R.B.; Stone, M.M.; Allison, S.D. The Michaelis–Menten Kinetics of Soil Extracellular Enzymes in Response to Temperature: A Cross-Latitudinal Study. Glob. Chang. Biol. 2012, 18, 1468–1479. [Google Scholar] [CrossRef]
- Burns, R.G.; DeForest, J.L.; Marxsen, J.; Sinsabaugh, R.L.; Stromberger, M.E.; Wallenstein, M.D.; Weintraub, M.N.; Zoppini, A. Soil Enzymes in a Changing Environment: Current Knowledge and Future Directions. Soil Biol. Biochem. 2013, 58, 216–234. [Google Scholar] [CrossRef]
- Hartley, I.P.; Heinemeyer, A.; Ineson, P. Effects of Three Years of Soil Warming and Shading on the Rate of Soil Respiration: Substrate Availability and Not Thermal Acclimation Mediates Observed Response. Glob. Chang. Biol. 2007, 13, 1761–1770. [Google Scholar] [CrossRef]
- Dorrepaal, E.; Toet, S.; Van Logtestijn, R.S.P.; Swart, E.; Van De Weg, M.J.; Callaghan, T.V.; Aerts, R. Carbon Respiration from Subsurface Peat Accelerated by Climate Warming in the Subarctic. Nature 2009, 460, 616–619. [Google Scholar] [CrossRef]
- Frey, S.D.; Lee, J.; Melillo, J.M.; Six, J. The Temperature Response of Soil Microbial Efficiency and Its Feedback to Climate. Nat. Clim. Chang. 2013, 3, 395–398. [Google Scholar] [CrossRef]
- Melillo, J.M.; Frey, S.D.; DeAngelis, K.M.; Werner, W.J.; Bernard, M.J.; Bowles, F.P.; Pold, G.; Knorr, M.A.; Grandy, A.S. Long-Term Pattern and Magnitude of Soil Carbon Feedback to the Climate System in a Warming World. Science 2017, 358, 101–105. [Google Scholar] [CrossRef] [PubMed]
- Sharma, S.; Kaur, S.; Parkash Choudhary, O.; Singh, M.; Al-Huqail, A.A.; Ali, H.M.; Kumar, R.; Siddiqui, M.H. Tillage, Green Manure and Residue Retention Improves Aggregate-Associated Phosphorus Fractions under Rice–Wheat Cropping. Sci. Rep. 2022, 12, 11106. [Google Scholar] [CrossRef]
- Davidson, E.A.; Janssens, I.A. Temperature Sensitivity of Soil Carbon Decomposition and Feedbacks to Climate Change. Nature 2006, 440, 165–173. [Google Scholar] [CrossRef] [PubMed]
- Bradford, M.A.; Davies, C.A.; Frey, S.D.; Maddox, T.R.; Melillo, J.M.; Mohan, J.E.; Reynolds, J.F.; Treseder, K.K.; Wallenstein, M.D. Thermal Adaptation of Soil Microbial Respiration to Elevated Temperature. Ecol. Lett. 2008, 11, 1316–1327. [Google Scholar] [CrossRef]
- Allison, S.D.; Vitousek, P.M. Responses of Extracellular Enzymes to Simple and Complex Nutrient Inputs. Soil Biol. Biochem. 2005, 37, 937–944. [Google Scholar] [CrossRef]
- Allison, S.D.; Chacon, S.S.; German, D.P. Substrate Concentration Constraints on Microbial Decomposition. Soil Biol. Biochem. 2014, 79, 43–49. [Google Scholar] [CrossRef]
- Karhu, K.; Auffret, M.D.; Dungait, J.A.J.; Hopkins, D.W.; Prosser, J.I.; Singh, B.K.; Subke, J.A.; Wookey, P.A.; Agren, G.I.; Sebastià, M.T.; et al. Temperature Sensitivity of Soil Respiration Rates Enhanced by Microbial Community Response. Nature 2014, 513, 81–84. [Google Scholar] [CrossRef]
- Bölscher, T.; Paterson, E.; Freitag, T.; Thornton, B.; Herrmann, A.M. Temperature Sensitivity of Substrate-Use Efficiency Can Result from Altered Microbial Physiology without Change to Community Composition. Soil Biol. Biochem. 2017, 109, 59–69. [Google Scholar] [CrossRef]
- Wu, L.; Yang, Y.; Wang, S.; Yue, H.; Lin, Q.; Hu, Y.; He, Z.; Van Nostrand, J.D.; Hale, L.; Li, X.; et al. Alpine Soil Carbon Is Vulnerable to Rapid Microbial Decomposition under Climate Cooling. ISME J. 2017, 11, 2102–2111. [Google Scholar] [CrossRef]
- DeAngelis, K.M.; Pold, G.; Topçuoglu, B.D.; van Diepen, L.T.A.; Varney, R.M.; Blanchard, J.L.; Melillo, J.; Frey, S.D. Long-Term Forest Soil Warming Alters Microbial Communities in Temperate Forest Soils. Front. Microbiol. 2015, 6, 104. [Google Scholar] [CrossRef] [PubMed]
- Chodak, M.; Niklińska, M. The Effect of Different Tree Species on the Chemical and Microbial Properties of Reclaimed Mine Soils. Biol. Fertil. Soils 2010, 46, 555–566. [Google Scholar] [CrossRef]
- Ciarkowska, K.; Sołek-Podwika, K.; Wieczorek, J. Enzyme Activity as an Indicator of Soil-Rehabilitation Processes at a Zinc and Lead Ore Mining and Processing Area. J. Environ. Manag. 2014, 132, 250–256. [Google Scholar] [CrossRef] [PubMed]
- Baldrian, P.; Valášková, V. Degradation of Cellulose by Basidiomycetous Fungi. FEMS Microbiol. Rev. 2008, 32, 501–521. [Google Scholar] [CrossRef]
- Kompała-Bąba, A.; Bierza, W.; Sierka, E.; Błońska, A.; Besenyei, L.; Woźniak, G. The Role of Plants and Soil Properties in the Enzyme Activities of Substrates on Hard Coal Mine Spoil Heaps. Sci. Rep. 2021, 11, 5155. [Google Scholar] [CrossRef]
- Rodríguez-Loinaz, G.; Onaindia, M.; Amezaga, I.; Mijangos, I.; Garbisu, C. Relationship between Vegetation Diversity and Soil Functional Diversity in Native Mixed-Oak Forests. Soil Biol. Biochem. 2008, 40, 49–60. [Google Scholar] [CrossRef]
- Šantrůčková, H.; Vrba, J.; Picek, T.; Kopáček, J. Soil Biochemical Activity and Phosphorus Transformations and Losses from Acidified Forest Soils. Soil Biol. Biochem. 2004, 36, 1569–1576. [Google Scholar] [CrossRef]
- Abakumov, E.V.; Cajthaml, T.; Brus, J.; Frouz, J. Humus Accumulation, Humification, and Humic Acid Composition in Soils of Two Post-Mining Chronosequences after Coal Mining. J. Soils Sediments 2013, 13, 491–500. [Google Scholar] [CrossRef]
- Markowicz, A.; Woźniak, G.; Borymski, S.; Piotrowska-Seget, Z.; Chmura, D. Links in the Functional Diversity between Soil Microorganisms and Plant Communities during Natural Succession in Coal Mine Spoil Heaps. Ecol. Res. 2015, 30, 1005–1014. [Google Scholar] [CrossRef]
- Stefanowicz, A.M.; Kapusta, P.; Błońska, A.; Kompała-Baba, A.; Woźniak, G. Effects of Calamagrostis Epigejos, Chamaenerion Palustre and Tussilago Farfara on Nutrient Availability and Microbial Activity in the Surface Layer of Spoil Heaps after Hard Coal Mining. Ecol. Eng. 2015, 83, 328–337. [Google Scholar] [CrossRef]
- Wozniak, G.; Markowicz, A.; Borymski, S.; Piotrowska-Seget, Z.; Chmura, D.; Besenyei, L. The Relationship between Successional Vascular Plant Assemblages and Associated Microbial Communities on Coal Mine Spoil Heaps. Community Ecol. 2015, 16, 23–32. [Google Scholar] [CrossRef]
- Acosta-Martínez, V.; Cruz, L.; Sotomayor-Ramírez, D.; Pérez-Alegría, L. Enzyme activities as affected by soil properties and land use in a tropical watershed. Appl. Soil Ecol. 2007, 35, 35–45. [Google Scholar] [CrossRef]
- Wallenstein, M.D.; Mcmahon, S.K.; Schimel, J.P. Seasonal Variation in Enzyme Activities and Temperature Sensitivities in Arctic Tundra Soils. Glob. Chang. Biol. 2009, 15, 1631–1639. [Google Scholar] [CrossRef]
- Baldrian, P.; Šnajdr, J.; Merhautová, V.; Dobiášová, P.; Cajthaml, T.; Valášková, V. Responses of the Extracellular Enzyme Activities in Hardwood Forest to Soil Temperature and Seasonality and the Potential Effects of Climate Change. Soil Biol. Biochem. 2013, 56, 60–68. [Google Scholar] [CrossRef]
- Ehrenfeld, J.G. Effects of Exotic Plant Invasions on Soil Nutrient Cycling Processes. Ecosystems 2003, 6, 503–523. [Google Scholar] [CrossRef]
- Ashton, I.W.; Hyatt, L.A.; Howe, K.M.; Gurevitch, J.; Lerdau, M.T. Invasive Species Accelerate Decomposition and Litter Nitrogen Loss in a Mixed Deciduous Forest. Ecol. Appl. 2005, 15, 1263–1272. [Google Scholar] [CrossRef]
- Chapman, S.K.; Devine, K.A.; Curran, C.; Jones, R.O.; Gilliam, F.S. Impacts of Soil Nitrogen and Carbon Additions on Forest Understory Communities with a Long Nitrogen Deposition History. Ecosystems 2016, 19, 142–154. [Google Scholar] [CrossRef]
- Gilliam, F.S.; Hockenberry, A.W.; Adams, M.B.; Gilliam, F.S.; Hockenberry, A.W. Effects of Atmospheric Nitrogen Deposition on the Herbaceous Layer of a Central Appalachian Hardwood Forest. J. Torrey Bot. Soc. 2006, 133, 240–254. [Google Scholar] [CrossRef]
- Milewska-Hendel, A.; Chmura, D.; Wyrwał, K.; Kurczyńska, E.U.; Kompała-Bąba, A.; Jagodziński, A.M.; Woźniak, G. Cell Wall Epitopes in Grasses of Different Novel Ecosystem Habitats on Post-Industrial Sites. Land Degrad. Dev. 2021, 32, 1680–1694. [Google Scholar] [CrossRef]
- Almeida, T.S.; Arantes, M.R.; Lopes Neto, J.J.; Souza, T.M.; Pessoa, I.P.; Medeiros, J.L.; Tabosa, P.M.S.; Moreira, T.B.; Farias, D.F.; Carvalho, A.F.U. Evaluation of Seeds Ethanolic Extracts of Triplaris Gardneriana Wedd. Using in Vitro and in Vivo Toxicological Methods. J. Toxicol. Environ. Health A 2020, 83, 135–152. [Google Scholar] [CrossRef]
- Boone, R.D.; Nadelhoffer, K.J.; Canary, J.D.; Kaye, J.P. Roots Exert a Strong Influence on the Temperature Sensitivity of Soil Respiration. Nature 1998, 396, 570–572. [Google Scholar] [CrossRef]
- Gansert, D. Root Respiration and Its Importance for the Carbon Balance of Beech Saplings (Fagus sylvatica L.) in a Montane Beech Forest. Plant Soil 1994, 167, 109–119. [Google Scholar] [CrossRef]
- Burton, A.J.; Pregitzer, K.S.; Zogg, G.P.; Zak, D.R. Drought Reduces Root Respiration in Sugar Maple Forests. Ecol. Appl. 1998, 8, 771. [Google Scholar] [CrossRef]
- Högberg, P.; Ekblad, A. Substrate-Induced Respiration Measured in Situ in a C3-Plant Ecosystem Using Additions of C4-Sucrose. Soil Biol. Biochem. 1996, 28, 1131–1138. [Google Scholar] [CrossRef]
- Nakane, K.; Kohno, T.; Horikoshi, T. Root Respiration Rate before and Just after Clear-Felling in a Mature, Deciduous, Broad-Leaved Forest. Ecol. Res. 1996, 11, 111–119. [Google Scholar] [CrossRef]
- Bowden, R.D.; Nadelhoffer, K.J.; Boone, R.D.; Melillo, J.M.; Garrison, J.B. Contributions of Aboveground Litter, Belowground Litter, and Root Respiration to Total Soil Respiration in a Temperate Mixed Hardwood Forest. Can. J. For. Res. 2011, 23, 1402–1407. [Google Scholar] [CrossRef]
- Hanson, P.J.; Edwards, N.T.; Garten, C.T.; Andrews, J.A. Separating Root and Soil Microbial Contributions to Soil Respiration: A Review of Methods and Observations. Biogeochemistry 2000, 48, 115–146. [Google Scholar] [CrossRef]
- Chapin, F.S.; Woodwell, G.M.; Randerson, J.T.; Rastetter, E.B.; Lovett, G.M.; Baldocchi, D.D.; Clark, D.A.; Harmon, M.E.; Schimel, D.S.; Valentini, R.; et al. Reconciling Carbon-Cycle Concepts, Terminology, and Methods. Ecosystems 2006, 9, 1041–1050. [Google Scholar] [CrossRef]
- Collalti, A.; Tjoelker, M.G.; Hoch, G.; Mäkelä, A.; Guidolotti, G.; Heskel, M.; Petit, G.; Ryan, M.G.; Battipaglia, G.; Matteucci, G.; et al. Plant Respiration: Controlled by Photosynthesis or Biomass? Glob. Chang. Biol. 2020, 26, 1739–1753. [Google Scholar] [CrossRef]
- West, G.B.; Brown, J.H.; Enquist, B.J. A General Model for the Structure and Allometry of Plant Vascular Systems. Nature 1999, 400, 664–667. [Google Scholar] [CrossRef]
- Reich, P.B.; Tjoelker, M.G.; Machado, J.L.; Oleksyn, J. Universal Scaling of Respiratory Metabolism, Size and Nitrogen in Plants. Nature 2006, 439, 457–461. [Google Scholar] [CrossRef] [PubMed]
- Reich, P.B.; Tjoelker, M.G.; Pregitzer, K.S.; Wright, I.J.; Oleksyn, J.; Machado, J.L. Scaling of Respiration to Nitrogen in Leaves, Stems and Roots of Higher Land Plants. Ecol. Lett. 2008, 11, 793–801. [Google Scholar] [CrossRef]
- Kira, T.; Shidei, T. Primary Production and Turnover of Organic Matter in Different Forest Ecosystems of the Western Pacific. Jpn. J. Ecol. 1967, 17, 70–87. [Google Scholar] [CrossRef]
- Odum, E.P. The Strategy of Ecosystem Development. Science 1969, 164, 262–270. [Google Scholar] [CrossRef]
- O’Connor, M.P.; Kemp, S.J.; Agosta, S.J.; Hansen, F.; Sieg, A.E.; Wallace, B.P.; McNair, J.N.; Dunham, A.E. Reconsidering the Mechanistic Basis of the Metabolic Theory of Ecology. Oikos 2007, 116, 1058–1072. [Google Scholar] [CrossRef]
- Raich, J.W.; Schlesinger, W.H. The Global Carbon Dioxide Flux in Soil Respiration and Its Relationship to Vegetation and Climate. Tellus B 1992, 44, 81–99. [Google Scholar] [CrossRef]
- Lavigne, M.B.; Ryan, M.G.; Anderson, D.E.; Baldocchi, D.D.; Crill, P.M.; Fitzjarrald, D.R.; Goulden, M.L.; Gower, S.T.; Massheder, J.M.; McCaughey, J.H.; et al. Comparing Nocturnal Eddy Covariance Measurements to Estimates of Ecosystem Respiration Made by Scaling Chamber Measurements at Six Coniferous Boreal Sites. J. Geophys. Res. Atmos. 1997, 102, 28977–28985. [Google Scholar] [CrossRef]
- Lindroth, A.; Grelle, A.; Morén, A.S. Long-term Measurements of Boreal Forest Carbon Balance Reveal Large Temperature Sensitivity. Glob. Chang. Biol. 1998, 4, 443–450. [Google Scholar] [CrossRef]
- Raich, J.W.; Potter, C.S. Global Patterns of Carbon Dioxide Emissions from Soils. Glob. Biogeochem. Cycles 1995, 9, 23–36. [Google Scholar] [CrossRef]
- García-Palacios, P.; Maestre, F.T.; Kattge, J.; Wall, D.H. Climate and Litter Quality Differently Modulate the Effects of Soil Fauna on Litter Decomposition across Biomes. Ecol. Lett. 2013, 16, 1045–1053. [Google Scholar] [CrossRef] [PubMed]
- Soong, J.L.; Vandegehuchte, M.L.; Horton, A.J.; Nielsen, U.N.; Denef, K.; Shaw, E.A.; de Tomasel, C.M.; Parton, W.; Wall, D.H.; Cotrufo, M.F. Soil Microarthropods Support Ecosystem Productivity and Soil C Accrual: Evidence from a Litter Decomposition Study in the Tallgrass Prairie. Soil Biol. Biochem. 2016, 92, 230–238. [Google Scholar] [CrossRef]
- Wall, D.H.; Bradford, M.A.; St. John, M.G.; Trofymow, J.A.; Behan-Pelletier, V.; Bignell, D.E.; Dangerfield, J.M.; Parton, W.J.; Rusek, J.; Voigt, W.; et al. Global Decomposition Experiment Shows Soil Animal Impacts on Decomposition Are Climate-Dependent. Glob. Chang. Biol. 2008, 14, 2661–2677. [Google Scholar] [CrossRef]
- Nielsen, U.N.; Ayres, E.; Wall, D.H.; Li, G.; Bardgett, R.D.; Wu, T.; Garey, J.R. Global-Scale Patterns of Assemblage Structure of Soil Nematodes in Relation to Climate and Ecosystem Properties. Glob. Ecol. Biogeogr. 2014, 23, 968–978. [Google Scholar] [CrossRef]
- Frouz, J. Effects of Soil Macro- and Mesofauna on Litter Decomposition and Soil Organic Matter Stabilization. Geoderma 2018, 332, 161–172. [Google Scholar] [CrossRef]
- Hicks Pries, C.E.; Castanha, C.; Porras, R.C.; Torn, M.S. The Whole-Soil Carbon Flux in Response to Warming. Science 2017, 355, 1420–1423. [Google Scholar] [CrossRef]
- Lavelle, P. Diversity of Soil Fauna and Ecosystem Function. Biol. Int. 1996, 33, 16. [Google Scholar]
- Heděnec, P.; Zheng, H.; Siqueira, D.P.; Peng, Y.; Schmidt, I.K.; Frøslev, T.G.; Kjøller, R.; Li, H.; Frouz, J.; Vesterdal, L. Litter Chemistry of Common European Tree Species Drives the Feeding Preference and Consumption Rate of Soil Invertebrates, and Shapes the Diversity and Structure of Gut and Faecal Microbiomes. Soil Biol. Biochem. 2022, 177, 108918. [Google Scholar] [CrossRef]
- Norman, J.M.; Kucharik, C.J.; Gower, S.T.; Baldocchi, D.D.; Crill, P.M.; Rayment, M.; Savage, K.; Striegl, R.G. A Comparison of Six Methods for Measuring Soil-Surface Carbon Dioxide Fluxes. J. Geophys. Res. Atmos. 1997, 102, 28771–28777. [Google Scholar] [CrossRef]
- Pregitzer, K.S.; Laskowski, M.J.; Burton, A.J.; Lessard, V.C.; Zak, D.R. Variation in Sugar Maple Root Respiration with Root Diameter and Soil Depth. Tree Physiol. 1998, 18, 665–670. [Google Scholar] [CrossRef]
- Morse, N.; Mcdowell, W.H.; Morse, N.B.; Pellissier, P.A.; Cianciola, E.N.; Brereton, R.L.; Sullivan, M.M.; Shonka, N.K.; Wheeler, T.B.; Mcdowell, W.H.; et al. Novel Ecosystems in the Anthropocene: A Revision of the Novel Ecosystem Concept for Pragmatic Applications. Artic. Ecol. Soc. 2014, 19, 10. [Google Scholar] [CrossRef]
- Evers, C.R.; Wardropper, C.B.; Branoff, B.; Granek, E.F.; Hirsch, S.L.; Link, T.E.; Olivero-Lora, S.; Wilson, C. The Ecosystem Services and Biodiversity of Novel Ecosystems: A Literature Review. Glob. Ecol. Conserv. 2018, 13, 362. [Google Scholar] [CrossRef]
- Golik, V.I.; Klyuev, R.V.; Martyushev, N.V.; Zyukin, D.A.; Karlina, A.I. Technology for Nonwaste Recovery of Tailings of the Mizur Mining and Processing Plant. Metallurgist 2023, 66, 1476–1480. [Google Scholar] [CrossRef]
- Ren, H.; Xiao, W.; Zhao, Y. Examining the effect of spontaneous combustion on vegetation restoration at coal waste dumps after reclamation: Taking Medicago sativa L. (Alfalfa) as an indicator. Sci. Total Environ. 2023, 901, 165668. [Google Scholar] [CrossRef] [PubMed]
Disclaimer/Publisher’s Note: The statements, opinions and data contained in all publications are solely those of the individual author(s) and contributor(s) and not of MDPI and/or the editor(s). MDPI and/or the editor(s) disclaim responsibility for any injury to people or property resulting from any ideas, methods, instructions or products referred to in the content. |
© 2023 by the authors. Licensee MDPI, Basel, Switzerland. This article is an open access article distributed under the terms and conditions of the Creative Commons Attribution (CC BY) license (https://creativecommons.org/licenses/by/4.0/).







