Fault Identification and Classification of Asynchronous Motor Drive Using Optimization Approach with Improved Reliability
Abstract
1. Introduction
- Development of a simulation setup for the derivation of induction motor parameters under both healthy and faulty conditions
- Highly robust and efficient system that could facilitate an optimum solution for fault detection and condition monitoring of induction motor
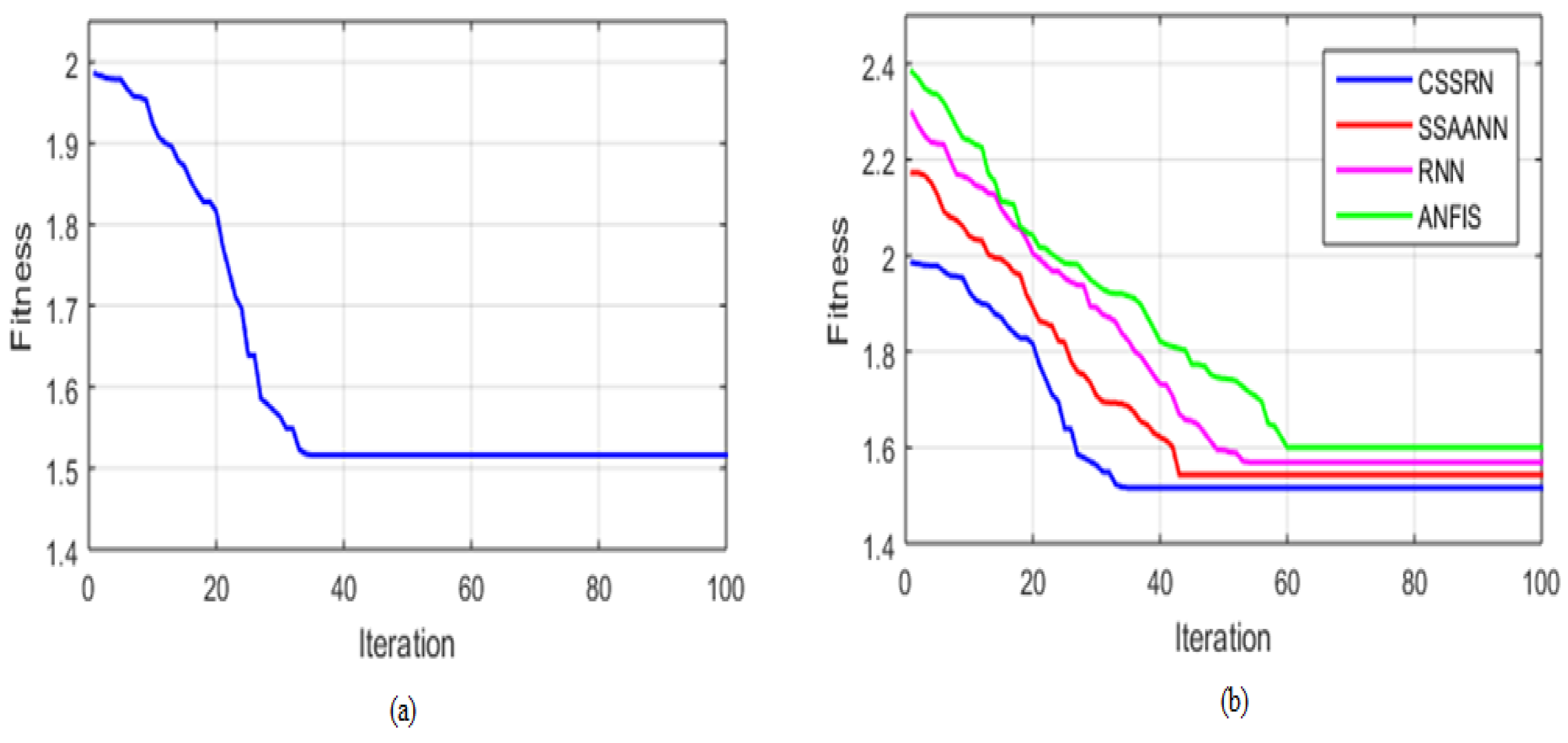
- A comparative analysis with approaches such as ANFIS, RNN, and SSAANN is shown to prove the efficiency and reliability of the proposed system.
2. Recent Research Works: A Brief Overview
2.1. Background of the Research Work
2.2. Fault Detection Approaches
3. Proposed Method for Fault Detection in Asynchronous Motor (AM) Drive
3.1. General Considerations of Interturn Short Circuits
3.2. Illustration of Interturn Short Circuit
3.3. Illustration of Star Connected Stator Windings during Interturn Short Circuit
3.4. Illustration of Delta Connected Stator Windings during Interturn Short Circuit
4. Proposed Salp Swarm Optimization (SSO) Based Recurrent Neural Network (RNN)
4.1. Optimization Steps
4.2. Detection of Optimal Parameter Using Recurrent Neural Network
5. Results and Discussion
5.1. Simulation Results of Performance of Asynchronous Motor (AM) under Healthy Condition
5.2. Simulation Results of Performance of Asynchronous Motor (AM) under Unhealthy Condition
5.3. Performance Analysis
5.4. Statistical Analysis
6. Conclusions
Author Contributions
Funding
Institutional Review Board Statement
Informed Consent Statement
Data Availability Statement
Acknowledgments
Conflicts of Interest
List of Abbreviation and Symbols
| List of Symbols and Abbreviations | Terminology | 
| SSO | Salp Swarm Optimization | 
| RNN | Recurrent Neural Network | 
| ANFIS | Adaptive Neuro Fuzzy Inference System | 
| SSAANN | Salp Swarm Algorithm Artificial Neural Network | 
| RMSE | Root mean squared error | 
| MBE | Mean bias error | 
| MAPE | Mean absolute percentage error | 
| ITSC | Interturn Short Circuits | 
| MCSA | Motor Current Signature Analyses | 
| SVD | Singular Value Decomposition | 
| STFT | Short-Time Fourier Transform | 
| rr | Equivalent Rotor Resistance Per Phase | 
| Tf | Friction Moment | 
| φqshort | Linkage Flux for the Shorted Turns | 
| MLE | Maximum-Likelihood Estimation | 
| GLRT | Generalised Likelihood Ratio Test | 
| ITIF | Interturn Insulation Fault | 
| SVM | Support Vector Machines | 
| Iqs, Ids, Ios | Stator Currents | 
| Vqs, Vds, Vos | Stator Voltages | 
| rs | Stator Resistance Per Phase | 
| Weight On The Connection From The Ith Input Unit | |
| φqr, φdr | Rotor Flux Linkages | 
| ωb | Base Speed | 
| Bias For Neuron’s Hidden Layer For | |
| Pi | Input 3-Phase Power Supplied To An IM Is Estimated | 
| ξ | Learning Factor | 
References
- Nandi, S.; Toliyat, H.A.; Li, X. Condition monitoring and fault diagnosis of electrical motors—A review. IEEE Trans. Energy Convers. 2005, 20, 719–729. [Google Scholar] [CrossRef]
- Haji, M.; Toliyat, H.A. Pattern recognition-a technique for induction machines rotor broken bar detection. IEEE Trans. Energy Convers. 2001, 16, 312–317. [Google Scholar] [CrossRef]
- Seera, M.; Lim, C.P.; Ishak, D.; Singh, H. Fault detection and diagnosis of induction motors using motor current signature analysis and a hybrid FMM–CART model. IEEE Trans. Neural Netw. Learn. Syst. 2011, 23, 97–108. [Google Scholar] [CrossRef] [PubMed]
- Eren, L.; Devaney, M.J. Bearing Damage Detection via Wavelet Packet Decomposition of the Stator Current. IEEE Trans. Instrum. Meas. 2004, 53, 431–436. [Google Scholar] [CrossRef]
- Mirafzal, B.; Demerdash, N.A. On innovative methods of induction motor interturn and broken-bar fault diagnostics. In Proceedings of the IEEE International Conference on Electric Machines and Drives, San Antonio, TX, USA, 15 May 2005. [Google Scholar] [CrossRef]
- Karaboga, D.; Kaya, E. Adaptive network based fuzzy inference system (ANFIS) training approaches: A comprehensive survey. Artif. Intell. Rev. 2019, 52, 2263–2293. [Google Scholar] [CrossRef]
- Ballal, M.S.; Khan, Z.J.; Suryawanshi, H.M.; Sonolikar, R.L. Adaptive neural fuzzy inference system for the detection of interturn insulation and bearing wear faults in induction motor. IEEE Trans. Ind. Electron. 2007, 54, 250–258. [Google Scholar] [CrossRef]
- Zidani, F.; Diallo, D.; Benbouzid, M.E.H.; Naït-Saïd, R. A fuzzy-based approach for the diagnosis of fault modes in a voltage-fed PWM inverter induction motor drive. IEEE Trans. Ind. Electron. 2008, 55, 586–593. [Google Scholar] [CrossRef]
- Joksimovic, G.M.; Penman, J. The detection of interturn short circuits in the stator windings of operating motors. IEEE Trans. Ind. Electron. 2000, 47, 1078–1084. [Google Scholar] [CrossRef]
- Gandhi, A.; Corrigan, T.; Parsa, L. Recent advances in modeling and online detection of stator interturn faults in electrical motors. IEEE Trans. Ind. Electron. 2010, 58, 1564–1575. [Google Scholar] [CrossRef]
- Stavrou, A.; Sedding, H.G.; Penman, J. Current monitoring for detecting interturn short circuits in induction motors. IEEE Trans. Energy Convers. 2001, 16, 32–37. [Google Scholar] [CrossRef]
- Yakhni, M.F.; Cauet, S.; Sakout, A.; Assoum, H.; Etien, E.; Rambault, L.; El-Gohary, M. Variable speed induction motors’ fault detection based on transient motor current signatures analysis: A review. Mech. Syst. Signal Process. 2023, 184, 109737. [Google Scholar] [CrossRef]
- Rodríguez, P.V.J.; Arkkio, A. Detection of stator winding fault in induction motor using fuzzy logic. Appl. Soft Comput. 2008, 8, 1112–1120. [Google Scholar] [CrossRef]
- Shah, D.; Nandi, S.; Neti, P. Stator-interturn-fault detection of doubly fed induction generators using rotor-current and search-coil-voltage signature analysis. IEEE Trans. Ind. Appl. 2009, 45, 1831–1842. [Google Scholar] [CrossRef]
- De Angelo, C.H.; Bossio, G.R.; Giaccone, S.J.; Valla, M.I.; Solsona, J.A.; García, G.O. Online model-based stator-fault detection and identification in induction motors. IEEE Trans. Ind. Electron. 2009, 56, 4671–4680. [Google Scholar] [CrossRef]
- Önel, I.Y.; Benbouzid, M.E.H. Induction motor bearing failure detection and diagnosis: Park and concordia transform approaches comparative study. IEEE ASME Trans. Mechatron. 2008, 13, 257–262. [Google Scholar] [CrossRef]
- Bakhri, S.; Ertugrul, N. A Negative Sequence Current Phasor Compensation Technique for the Accurate Detection of Stator Shorted Turn Faults in Induction Motors. Energies 2022, 15, 3100. [Google Scholar] [CrossRef]
- Henao, H.; Razik, H.; Capolino, G.A. Analytical approach of the stator current frequency harmonics computation for detection of induction machine rotor faults. IEEE Trans. Ind. Appl. 2005, 41, 801–807. [Google Scholar] [CrossRef]
- Sanchez, O.D.; Martinez-Soltero, G.; Alvarez, J.G.; Alanis, A.Y. Real-Time Neural Classifiers for Sensor and Actuator Faults in Three-Phase Induction Motors. Machines 2022, 10, 1198. [Google Scholar] [CrossRef]
- Laadjal, K.; Bento, F.; Henriques, K.; Cardoso, A.J.M.; Sahraoui, M. A Novel Indicator-Based On-line Diagnostics Technique of InterTurn Short-Circuit Faults in Synchronous Reluctance Machines. IEEE Trans. Emerg. Sel. 2023, 1. [Google Scholar] [CrossRef]
- Bouzid, M.B.K.; Champenois, G.; Tnani, S. Reliable stator fault detection based on the induction motor negative sequence current compensation. Int. J. Electr. Power Energy Syst. 2018, 95, 490–498. [Google Scholar] [CrossRef]
- Elbouchikhi, E.; Amirat, Y.; Feld, G.; Benbouzid, M. Generalized likelihood ratio test based approach for stator-fault detection in a PWM inverter-fed induction motor drive. IEEE Trans. Ind. Electron. 2018, 66, 6343–6353. [Google Scholar] [CrossRef]
- Maraaba, L.; Al-Hamouz, Z.; Abido, M. An Efficient Stator InterTurn Fault Diagnosis Tool for Induction Motors. Energies 2018, 11, 653. [Google Scholar] [CrossRef]
- Rebouças Filho, P.P.; Nascimento, N.M.; Sousa, I.R.; Medeiros, C.M.; de Albuquerque, V.H.C. Reliable approach for detection of incipient faults of short-circuits in induction generators using machine learning. Comput. Electr. Eng. 2018, 71, 440–451. [Google Scholar] [CrossRef]
- Surya, G.N.; Khan, Z.J.; Ballal, M.S.; Suryawanshi, H.M. A simplified frequency-domain detection of stator turn fault in squirrel-cage induction motors using an observer coil technique. IEEE Trans. Ind. Electron. 2016, 64, 1495–1506. [Google Scholar] [CrossRef]
- Javed, M.R.; Shabbir, Z.; Asghar, F.; Amjad, W.; Mahmood, F.; Khan, M.O.; Virk, U.S.; Waleed, A.; Haider, Z.M. An Efficient Fault Detection Method for Induction Motors Using Thermal Imaging and Machine Vision. Sustainability 2022, 14, 9060. [Google Scholar] [CrossRef]
- Dorrell, D.G.; Makhoba, K. Detection of interturn stator faults in induction motors using short-term averaging of forward and backward rotating stator current phasors for fast prognostics. IEEE Trans. Magn. 2017, 53, 1–7. [Google Scholar] [CrossRef]
- Mirjalili, S.; Gandomi, A.H.; Mirjalili, S.Z.; Saremi, S.; Faris, H.; Mirjalili, S.M. Salp Swarm Algorithm: A bio-inspired optimizer for engineering design problems. Adv. Eng. Softw. 2017, 114, 163–191. [Google Scholar] [CrossRef]
- Messaoudi, M.; Flah, A.; Alotaibi, A.A.; Althobaiti, A.; Sbita, L.; Ziad El-Bayeh, C. Diagnosis and Fault Detection of Rotor Bars in Squirrel Cage Induction Motors Using Combined Park’s Vector and Extended Park’s Vector Approaches. Electronics 2022, 11, 380. [Google Scholar] [CrossRef]
- Orosz, T.; Pánek, D.; Rassõlkin, A.; Kuczmann, M. Robust Design Optimization of Electrical Machines and Devices. Electronics 2022, 11, 1427. [Google Scholar] [CrossRef]
- Huang, S.R.; Huang, K.H.; Chao, K.H.; Chiang, W.T. Fault analysis and diagnosis system for induction motors. Comput. Electr. Eng. 2016, 54, 195–209. [Google Scholar] [CrossRef]
- Kerboua, A.; Metatla, A.; Kelaiaia, R.; Batouche, M. Real-time safety monitoring in the induction motor using deep hierarchic long short-term memory. Int. J. Adv. Manuf. Technol. 2018, 99, 2245–2255. [Google Scholar] [CrossRef]
- Kerboua, A.; Metatla, A.; Kelailia, R.; Batouche, M. Fault Diagnosis in Induction Motor using Pattern Recognition and Neural Networks. In Proceedings of the IEEE International Conference on Signal, Image, Vision and Their Applications, Guelma, Algeria, 26–27 November 2018. [Google Scholar] [CrossRef]
- Talebi, H.A.; Khorasani, K.; Tafazoli, S. A recurrent neural-network-based sensor and actuator fault detection and isolation for nonlinear systems with application to the satellite’s attitude control subsystem. IEEE Trans. Neural Netw. 2008, 20, 45–60. [Google Scholar] [CrossRef] [PubMed]
- Luo, X.; Liao, Y.; Toliyat, H.A.; El-Antably, A.; Lipo, T.A. Multiple coupled circuit modeling of induction machines. IEEE Trans. Ind. Appl. 1995, 31, 311–318. [Google Scholar] [CrossRef]



















| Specification | Values | 
|---|---|
| Induction Motor | 3 Phase Squirrel Cage Induction Motor | 
| Poles | 4 | 
| Power Rating | 1 HP | 
| Voltage Rating | 415 V | 
| Operating Frequency | 50 Hz | 
| Current Rating | 1.8 Amps | 
| Performance Measures | ANFIS | RNN | SSAANN | Proposed | 
|---|---|---|---|---|
| Accuracy | 0.54 | 0.76 | 0.86 | 0.96 | 
| Specificity | 0.49 | 0.69 | 0.79 | 0.9 | 
| Recall | 0.59 | 0.81 | 0.91 | 1 | 
| Precision | 0.51 | 0.73 | 0.83 | 0.89 | 
| Performance Measures | ANFIS | RNN | SSAANN | Proposed | 
|---|---|---|---|---|
| Accuracy | 0.61 | 0.7 | 0.8 | 0.9 | 
| Specificity | 0.54 | 0.64 | 0.76 | 0.84 | 
| Recall | 0.58 | 0.59 | 0.84 | 0.8 | 
| Precision | 0.56 | 0.66 | 0.71 | 0.95 | 
| Model | ANFIS | RNN | SSAANN | Proposed | 
|---|---|---|---|---|
| RMSE | 26.3 | 18.8 | 23.7 | 10.2 | 
| MAPE | 17.1 | 6.3 | 13 | 1 | 
| MBE | 7 | 2.8 | 5.2 | 2.6 | 
| Consumption time | 7.9 | 6.5 | 8.0 | 5.2 | 
| Model | ANFIS | RNN | SSAANN | Proposed | 
|---|---|---|---|---|
| RMSE | 29.3 | 21.8 | 26.4 | 13.6 | 
| MAPE | 18.1 | 7.5 | 14.0 | 2.2 | 
| MBE | 10.2 | 5.8 | 8.2 | 5.6 | 
| Consumption time | 8 | 7 | 8.3 | 6 | 
| Disclaimer/Publisher’s Note: The statements, opinions and data contained in all publications are solely those of the individual author(s) and contributor(s) and not of MDPI and/or the editor(s). MDPI and/or the editor(s) disclaim responsibility for any injury to people or property resulting from any ideas, methods, instructions or products referred to in the content. | 
© 2023 by the authors. Licensee MDPI, Basel, Switzerland. This article is an open access article distributed under the terms and conditions of the Creative Commons Attribution (CC BY) license (https://creativecommons.org/licenses/by/4.0/).
Share and Cite
Venugopal, G.; Udayakumar, A.K.; Balashanmugham, A.; Houran, M.A.; Alsaif, F.; Elavarasan, R.M.; Raju, K.; Alsharif, M.H. Fault Identification and Classification of Asynchronous Motor Drive Using Optimization Approach with Improved Reliability. Energies 2023, 16, 2660. https://doi.org/10.3390/en16062660
Venugopal G, Udayakumar AK, Balashanmugham A, Houran MA, Alsaif F, Elavarasan RM, Raju K, Alsharif MH. Fault Identification and Classification of Asynchronous Motor Drive Using Optimization Approach with Improved Reliability. Energies. 2023; 16(6):2660. https://doi.org/10.3390/en16062660
Chicago/Turabian StyleVenugopal, Gopu, Arun Kumar Udayakumar, Adhavan Balashanmugham, Mohamad Abou Houran, Faisal Alsaif, Rajvikram Madurai Elavarasan, Kannadasan Raju, and Mohammed H. Alsharif. 2023. "Fault Identification and Classification of Asynchronous Motor Drive Using Optimization Approach with Improved Reliability" Energies 16, no. 6: 2660. https://doi.org/10.3390/en16062660
APA StyleVenugopal, G., Udayakumar, A. K., Balashanmugham, A., Houran, M. A., Alsaif, F., Elavarasan, R. M., Raju, K., & Alsharif, M. H. (2023). Fault Identification and Classification of Asynchronous Motor Drive Using Optimization Approach with Improved Reliability. Energies, 16(6), 2660. https://doi.org/10.3390/en16062660
 
        






 
       