Abstract
In this investigation, Zn/Al carbonate layered double hydroxide (ZAC-LDH) and its derived material on calcination were synthesized for removing the anionic azo dye Congo red (CR) from wastewater. Numerous factors were methodically investigated, including temperature, adsorbent dosage, pH, starting Dye Concentration (DC), and contact time. The CR elimination percentage dropped as the initial DC increased from 25 mg/L to 100 mg/L at 30 °C for uncalcined LDH, and from 97.96% to 89.25% for calcined LDH. The pH analysis indicates that the highest level of dye removal was recorded within the acidic pH range through the electrostatic attraction mechanism. The sorption kinetics analysis results demonstrated that the pseudo-second-order kinetic model exhibited a stronger fit to both uncalcined LDH and CZA-LDH, with the maximum correlation coefficient value. The Van’t Hoff plots indicate the spontaneous nature of the physisorption process with a negative ΔG° (<−20 kJ/mol), while the endothermic adsorption process exhibited a positive ΔH°. The X-ray diffraction of calcined LDH reveals a significant intercalation of CR dye molecules, both prior to and following adsorption, showcasing a distinctive memory effect. The Brunauer–Emmett–Teller (BET) gas sorption measurements were performed to support the mesoporous nature of ZAC-LDH and CZA-LDH. The FTIR spectrum confirms the interaction of dye molecules on the surface of uncalcined and calcined LDH. These findings emphasize the efficacy of both the synthesized LDHs in removing CR dye, with CZA-LDH demonstrating superior efficiency compared to uncalcined LDH in the context of CR removal from wastewater.
1. Introduction
Water pollution is a serious threat that the ecosystem is facing nowadays. It is inevitable for hazardous compounds in various forms to contaminate water bodies like lakes, rivers, seas, and groundwater. This contamination can occur through various sources by both natural and human-induced activities, including industrial discharge, agricultural and urban runoff, wastewater disposal, oil spills, plastic pollution, atmospheric deposition, mining activities, etc. [1,2]. A wide array of industries, including but not limited to the textile, paper, culinary, rubber, plastic, and cosmetics sectors, utilize pigments and dyes to impart color to their products [3]. The industries of textile and dyeing utilize a wide range of dye types, including direct, reactive, disperse, acid, basic, vat dye, sulfur, reactive disperse, and azoic dyes, among others [4]. Each of these dyes possesses distinct properties and finds specific applications [5]. Azo dyes, constituting a predominant category among diverse dye types, are widely manufactured and applied to fibers like cotton, rayon, cellulose acetate, and polyester. They encompass over 50% of the entire spectrum of commercial dyes. As a result, a considerable number of industrial effluents contain these azo dyes, which give rise to aesthetic concerns and, more significantly, potential health hazards for aquatic organisms and humans, including reproductive disorders, neurological disorders, and malignancies [6]. The selection of dye is contingent upon various factors, including the intended color, the fiber variety to be dyed, and the method of application. In the textile industry, environmental factors are progressively exerting a greater impact on the dye selection process, resulting in the emergence of dyeing methods that are sustainable or environmentally benign [7]. Dye pollutants released from such industries are the main source of environmental pollution [8]. The release of even a minute amount of dye into an aquatic ecosystem poses a risk to aquatic lifespan [9,10]. This is primarily due to its adverse impact on the ecosystem, as it diminishes sunlight transmission and depletes the crucial dissolved oxygen levels essential for sustaining aquatic life [11].
As an illustration, the widely used diazo dye Congo red (CR) dye breaks down into benzidine, a substance that has been shown to cause cancer in living things [12]. To remove Congo red dye (CRD) from effluents before they are released into the environment, environmental remediation products must be created [13]. This area of study could prove to be an engaging subject, addressing concerns related to public health and environmental protection regulations. Since CRD is known to be resistant to biodegradation, it can persevere in the environment for an extended time, leading to concerns about bioaccumulation in aquatic ecosystems [14]. And it may cause skin and eye irritation upon direct contact. Ingesting or inhaling large amounts of the dye could potentially lead to severe health effects, such as cancer [15]. Dye containing-wastewater removal poses a significant environmental problem, mainly because conventional techniques of treating such effluents are inherently challenging [16]. Established approaches, including biological methods, coagulation, electrochemical techniques, advanced oxidation processes, and membrane processes, often encounter inefficiencies in achieving complete color removal, coupled with elevated capital and operating costs [17,18,19,20]. As a result, the development of affordable techniques and materials for effectively eliminating pollutants from the environment is crucial [21].
Adsorption technology is a prevalent innovative method currently being employed to eliminate colorants from aqueous phase due to its user-friendly procedure, efficacy in removal, cost-effectiveness, and absence of secondary pollution [22]. Preceding studies have reported on a number of adsorbents, including carbon [23], natural materials [24], synthetic resins [25,26], banana peel [27,28], lemon peel [29], raw barley straw [30], heavy metal waste, decorated egg shell [31], sawdust [32], rice husk [33], fly ash [34], coir pith carbon [35], and tea detritus [36,37], utilized for the color removal from aqueous phase. Certain adsorbents are prohibitively expensive, challenging to dispose of, or excessively re-generable to be utilized on a large scale. In this context, a category of anionic clays referred to as layered double hydroxides has demonstrated efficacy as adsorbents for the elimination of numerous anionic impurities [38,39].
The general formula of LDHs is M2+1−xM3+x(OH)2]x+(An−)x/n·mH2O, where M2+ is divalent metal (Zn2+, Mg2+, Fe2+, etc.), M3+ is trivalent metal (Al3+, Fe3+, etc.), and An− is interlayer anions (CO32−, Cl−, NO3−, SO42−, etc.) [40,41]. Carbonates serve as the interlayer anions within obviously occurring mineral hydroxides, a category to which LDH materials belong. The compositional flexibility of LDH is evident in its ability to incorporate various M2+ and M3+ ions in the layers, diverse interlayer anions (An−), and stoichiometric coefficients (x) [42]. This adaptability allows LDH materials to find extensive applications across multiple domains, including catalysis, adsorption, ion exchange, pharmaceuticals, and purification. The exchangeability of interlayer anions and the flexibility in composition make LDH materials versatile in meeting diverse functional requirements [43,44,45]. When exposed to water or an aqueous solution containing diverse anions, calcined layered double hydroxide (CLDH) displays an impressive capacity to restore the layered structure characteristic of LDH. Importantly, these anions need not be the same as those in the original LDH, and the process demonstrates what is known as the ‘structural memory effect’ [46,47]. Studies have shown that both LDH and its calcined counterpart serve as effective ion exchangers and adsorbents for the eradication of toxic pollutants water [48,49]. The prime objective of this investigation is to produce calcined LDH (CZA-LDH) and uncalcined LDH, followed by the elucidation of these compounds efficiency as adsorbents enabling the removal of CR in solutions of water.
2. Materials and Methods
2.1. Synthesis of ZAC-LDH and Its Calcined Counterpart CZA-LDH
All the materials utilized in this investigation are of analytical reagent (AR) quality and were employed without undergoing any purification process. The ZAC-LDH was produced using an aqueous solution of ZnSO4·7H2O and Al2(SO4)3·16H2O. The molar ratio of ZnSO4 to Al2(SO4)3 in the aqueous solution was 3:1. The solution was then blended using a magnetic stirrer. A precisely measured amount of 0.3 g of CTAB was introduced into the solution and thoroughly mixed using a magnetic stirrer until it formed a uniform mixture. The solution containing sodium hydroxide (1 M) as the precipitating agent and sodium carbonate (0.5 M) as the source of carbonate anions is slowly added until the pH reaches 10. The co-precipitate was transferred into a Teflon walled stainless-steel autoclave and subjected to the hydrothermal method shown in Figure 1. During this procedure, the mixture was subjected to a temperature of around 120 °C and held at that temperature for a duration of approximately 8 h. The collected material is subjected to filtration, followed by multiple washes using double-distilled water until the pH reaches a neutral level. Subsequently, the material is dried at a temperature of 80 °C using a hot-air oven. The product that has been acquired has been recognized as uncalcined LDH. In order to obtain calcined LDH, the uncalcined LDH was subjected to a temperature of approximately 450 °C in a muffle furnace for a duration of two hours. In order to obtain the calcined LDH sample, the rates of heating and cooling were both set to 10 °C per minute. In order to conduct additional analyses and adsorption studies, both the uncalcined and calcined LDH samples were finely ground into a powder.
Figure 1.
Synthesis of uncalcined LDH and calcined LDH.
2.2. Characterization
Utilizing the Shimadzu XRD-6000 diffractometer, Shimaddzu analytical (India) Pvt. Ltd, Mumbai, the sample’s diffraction of X-rays (XRD) pattern was examined. Filtered copper K-alpha radiation (wavelength, λ = 1.54 angstroms) was used at an X-ray tube voltage of 40 kilovolts and a current of 200 mill amperes. The specimens were then attached to alumina specimen holders, and the spacing between the plans of crystals (d-spacing) was measured using the powder technique. The samples were scanned in the series of 5–80 °C at a scanning speed of 1° per minute. The utilization of scanning electron microscopy with field emission (FESEM) was employed to conduct a morphological analysis. With a secondary electron detector, the researchers created FESEM images of the samples after depositing a layer of gold or palladium.
2.3. Method of Adsorbate Solution Preparation
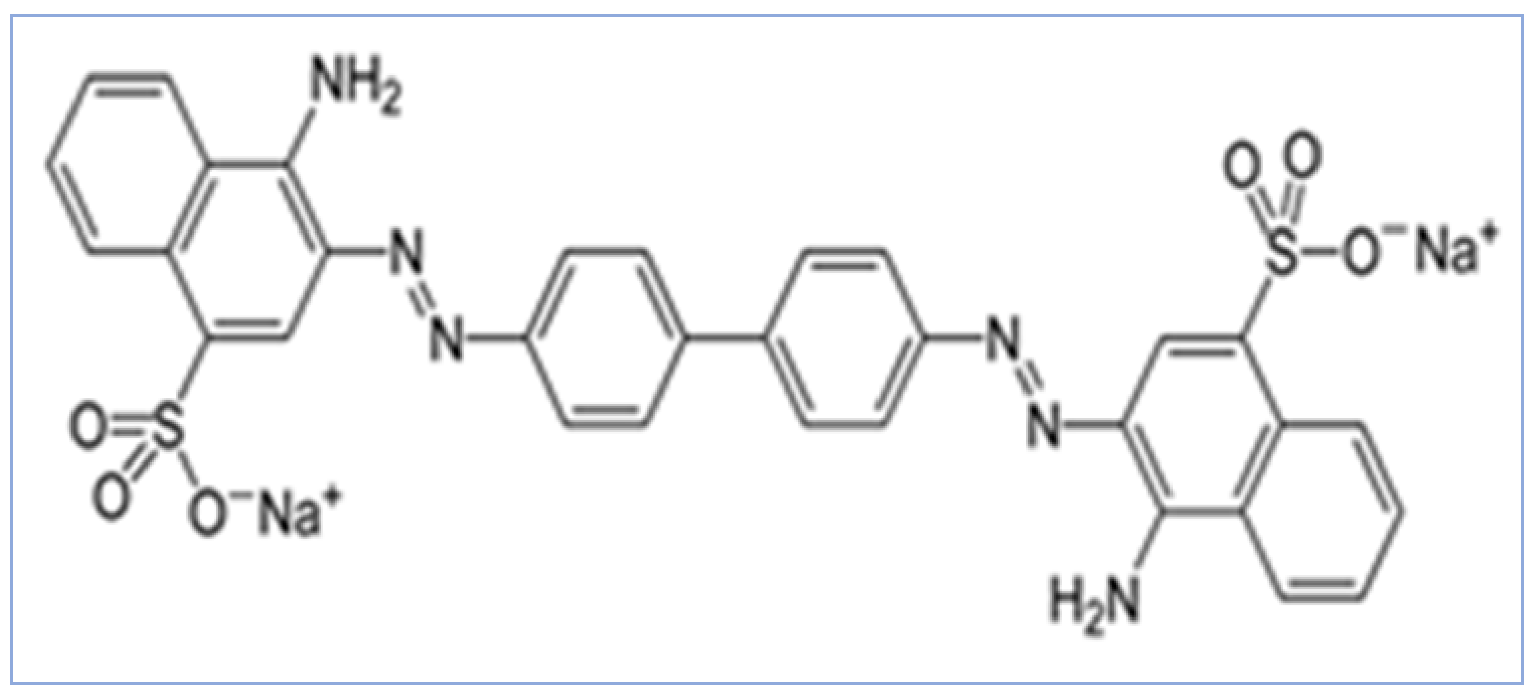
The dye of interest in this adsorption study was CR. The color index, molecular formula, and molecular weight of the CRD is 22,120, C32H22N6Na2O6S2, and 696.68, respectively. The anionic property of this benzidine-based dye and the molecular structure is shown in Figure 2. A typical solution of CRD was produced by liquefying 500 milligrams of the dye in 1000 milliliters of distilled water, resulting in a concentration of 500 milligrams per liter (mg/L). Subsequently, further dilution was made from stock dye solution for various concentrations of CR that were derived from the stock solution for adsorption studies. Every chemical used in this investigation was of analytical purity. In order to prepare solutions and reagents, double-distilled water was utilized. The preliminary pH was adjusted as needed using 0.1 M sodium hydroxide (NaOH) or 0.1 M hydrogen chloride (HCl).
Figure 2.
Molecular structure of Congo red.
2.4. Batch Adsorption Experiments
The batch-mode adsorption study was conducted using two synthesized materials, namely uncalcined LDH and calcined LDH, to remove CR. The fixed dose (excluding the dose variation study) and volume for various initial concentrations of CR were subjected to agitation at 170 rpm with the help of REMI make Orbital shaker. The liquid was withdrawn at predetermined time intervals and subsequently subjected to electrical centrifugation at 5000 revolutions per minute for a duration of 20 min. The remaining DC (Dye Concentration) was measured using Elico BL198 Bio-Spectrophotometer at λmax 497 nm with the unadsorbed liquid. To assess the impact of pH for the effective color removal, dilute hydrochloric acid and sodium hydroxide solutions were employed. Furthermore, an investigation was conducted to assess the impact of temperature on the removal of dye at three dissimilar temperatures: 30 °C, 40 °C, and 50 °C. For accuracy, each experiment was replicated. The equation was used to compute the quantities of dye that were adsorbed at equilibrium (qe) and at a certain time (qt) on the two adsorbent materials.
where qe,t (mg/g) denotes adsorbed amount at equilibrium (qe) or at any time (qt); C0 (mg/L) indicated Initial Dye Concentration (IDC); Ce,t (mg/L) refers to DC at equilibrium (Ce) or at any time (Ct); V (L) denotes volume of the solution; and m (g) indicates mass of the adsorbent uncalcined LDH/calcined LDH sample.
Both uncalcined and calcined LDH, which were adopted as adsorbent materials in the elimination of CR, underwent regeneration under identical conditions. The regeneration process involved heating them in a muffle furnace at the temperature required for calcination for approximately 2 h, within an atmosphere of air. The capacity for reuse was tested using a thermally regenerated material, including both calcined substances, to eliminate CRD from a liquid solution. The reusability investigation kept the dosage of adsorbent unchanged, probably 0.5 g/L for uncalcined LDH and 0.250 g/L for calcined LDH, while starting with a concentration of dye about 50 mg/L.
3. Result and Discussion
3.1. Characterization of Materials
The characterization of the prepared uncalcined LDH by X-ray diffractogram revealed a phase consistent with pure and original LDH materials, as depicted in Figure 3a. The value of 2θ, which represents the peak’s maximal intensity and distinctiveness, indicates that the single phase is well-crystallized and contains significant constituent crystallites [49,50]. Additional components, such as ZnO and Al(OH)3, were found at larger angles (2θ values between 35° and 60°) in the analysis. The crystalline structure of ZnO usually resembled a brukite-type layer [49]. When uncalcined LDH underwent calcination at 450 °C, the initial layered structure disintegrated, causing the removal of the interlayer carbonate anions, OH−, and H2O molecules. This transformation led to the creation of metal oxides mixtures. The XRD pattern illustrated in Figure 3b does not contain basal reflections from planes (003) and (006). As stated in Figure 3b, the occurrence of mixed metal oxide formation is indicative of the elimination of the initial layered structure.
Figure 3.
Uncalcined and calcined LDH XRD patterns (a,b) prior to CR adsorption and (c,d) subsequent to the process.
The PXRD diffraction patterns depicted in Figure 3a–d provide evidence of the effective synthesis of Zn/Al-LDH, which exhibits a notable level of crystallinity and a pure hydrotalcite phase. Strong peaks at 2θ values of 11.24, 22.68, 34.34, 38.19, 45.17, 60.30, and 61.61, which correspond to the reflection planes (hkl) of (003), (006), (009), (012), (015), (110), and (113), respectively, provide clear evidence of this. The presence of carbonate anions intercalated within the ZA-LDH structure is denoted by these peaks. The XRD patterns of uncalcined LDH and calcined LDH prior to and subsequent to dye adsorption are illustrated in Figure 3a–d. The principal mechanisms responsible for the adsorption of the dye were surface adsorption and intercalation of the dye onto uncalcined and calcined LDH, respectively. The aforementioned conclusion is substantiated by the XRD patterns of the adsorbents prior to and subsequent to dye adsorption (Figure 3a–d). The dye adsorption by calcined LDH is notably associated with the restoration of the original hydrotalcite (HT) assembly through the intercalation of CR, facilitated by a special phenomenon known as the ‘memory effect’. This process is additionally validated by the resurgence of basal reflections of planes (003), (006), and (009), as well as the presence of several additional faint peaks as observed in the XRD pattern (Figure 3d). This provides evidence for the uptake of anionic dye CR onto both adsorbents, uncalcined and calcined LDH, through surface adsorption and anion-exchange mechanisms.
Figure 4a,b depict the FESEM images of the adsorbent materials both before and after CRD adsorption. Before adsorption, the rough surface of both the adsorbents has different pores with different sizes. The dye molecule covering the surface of the material was evidenced to have smooth coverage on surface in Figure 4b and flowers, like the structure causing heterogeneity occurrence in Figure 5a,b. This difference in surface further proved the adsorption of CR by both adsorbents.
Figure 4.
FESEM image of uncalcined LDH (a) before and (b) after adsorption of CR.
Figure 5.
FESEM image of calcined LDH (a) before and (b) after adsorption of CR.
The particular surface areas and porous characteristics of ZAC-LDH and CZA-LDH were investigated using the Brunauer–Emmett–Teller (BET) gas sorption technique. The samples’ BET surface area, pore volume, and average pore width are presented in Table 1. The nitrogen adsorption/desorption isotherms of the ZAC-LDH and CZA-LDH samples, as depicted in Figure 6, exhibited a type IV isotherm with an H3 hysteresis loop. This hysteresis loop is indicative of the creation of plate-like particle aggregates, resulting in the production of slit-shaped pores. The mesoporous nature of the samples was further validated by analyzing the relative pressure graph, which showed an increase in the adsorption and desorption curves between 0.6 and 1.0. The calcined LDH exhibited a significantly greater surface area, total pore volume, and average pore width compared to ZAC-LDH. Furthermore, it was observed that the pore volume and average pore size of CZA-LDH increased due to the removal of interlayer CO32− ions during calcination. Furthermore, the relatively large pore size and mesoporosity of these materials make them highly effective as adsorbents for wastewater treatment. This is due to their ability to facilitate the simple diffusion of dye molecules [48].
Table 1.
Surface area, pore volume, and pore size of ZAC-LDH and CZA-LDH.
Figure 6.
Nitrogen adsorption–desorption isotherm of ZAC-LDH and CZA-LDH.
The FTIR spectra of ZAC LDH and CZA LDH before and after adsorption of CR dye are shown in Figure 7a,b. The band at 3460 cm−1 in the FTIR spectra corresponding to ZAC LDH was due to the stretching vibrations of H-bonding of M-OH group in the brucite-like layer structure and interlayer water molecule. The intercalated anion carbonate in ZAC LDH was supported by the appearance of band at 1380 cm−1, 770 cm−1. But in CZA LDH, the disappearance of the peaks at 3460 cm−1, 1380 cm−1, and 770 cm−1 confirms the formation of calcined LDH with the loss of hydroxyl group and water molecules. After the adsorption of CR, the dye was evidenced by the decrease in the intensity of peak at 1380 cm−1 in ZAC LDH-CR compared with ZAC-LDH (Figure 7a). The reconstruction of the LDH structure by intercalation of anionic dye CR in CZA-LDH was evidenced through the appearance of peak at 1380 cm−1 (Figure 7b). Thus, the FTIR spectrum confirms the interaction of dye molecule on the surface of uncalcined and calcined LDH [51].

Figure 7.
(a) FTIR spectrum of ZAC LDH before and after adsorption of CR. (b) FTIR spectrum of CZA LDH before and after adsorption of CR.
3.2. The Influence of IDC and Contact Time
As illustrated in Figure 8, the impact of IDC on CR adsorption by two adsorbents was investigated. With an increase in the IDC from 25 mg/L to 100 mg/L at a temperature of 30 °C, the dye removal efficiency decreased from 95.65% to 89.62% for uncalcined LDH and from 97.96% to 89.25% for calcined LDH. The availability of active spots on the adsorbent is greater for lower concentrations of adsorbate, leading to more adsorption than at the higher concentration. Concurrently, the maximum achievable adsorption rate of CRD per unit mass for both adsorbents rose, corresponding to the initial concentration increase from 25 mg/L to 100 mg/L at 30 °C, from 47.83 mg/g to 179.23 mg/g for uncalcined LDH, and from 97.96 mg/g to 356.99 mg/g for calcined LDH. Both instances demonstrated an initial surge in the contact duration of the dye adsorption during the initial phases. This was attributed to the presence of more active spots on the adsorbent surface, which promoted efficient adsorption. Subsequently, the rate of increase slowed down, indicating a reduction in available sites [52]. After it reached equilibrium nearing at 60 min, there was no significant change in the extent of quantity adsorbed. This was explained by the IDC acting as a driving force between the solid and aqueous phases to surmount the total mass transfer resistance of the CRD. As a result, the adsorption mechanism was enhanced at higher concentrations.
Figure 8.
IDC as a factor in CRD elimination by uncalcined and calcined LDH.
3.3. The Influence of Temperature
Experiments were conducted at three distinct temperatures—30 °C, 40 °C, and 50 °C—in order to determine whether temperature affected the removal of CR by two adsorbent materials that were synthesized. Figure 9 describes the temperature dependency of CR onto both uncalcined LDH and calcined LDH. The efficiency of adsorption of CR is significantly influenced by the solution temperature, with a more favorable outcome observed at higher temperatures. Surface diffusion facilitates the adsorption of pigment onto the surface, which is enhanced by a rise in temperature. Consequently, as the temperature rose, the percentage removal of anionic dye CR from uncalcined LDH increased from 89.62% to 92.35%, and from 89.25% to 93.55% for CZA-LDH. The IDC of the dye utilized in these observations was 100 mg/L. The endothermic characteristics of the adsorption process were demonstrated through the proportional increase in CR adsorption and temperature [53].
Figure 9.
Temperature’s effect on the eradication of CRD by uncalcined and calcined LDH.
3.4. The Implication of pH
The solution pH serves as a crucial parameter influencing the adsorption of adsorbate molecules. As illustrated in Figure 10, the consequence of the pH on the uptake of CR by two adsorbents, calcined and uncalcined LDH, was inspected by changing the initial pH of the dye from 2 to 12 for 100 mg/L IDC. The point of zero charge (PZC) of the adsorbent played a substantial role in elucidating the pH effect on dye removal, with the PZC values measured for uncalcined LDH (8.07) and calcined LDH (8.6). Higher dye removal percentages occurred at pH < PZC, and lower percentages were observed at pH > PZC for both uncalcined LDH (PZC = 8.07) and calcined LDH (PZC = 8.6). In contrast to pH > PZC, where the negatively charged anionic dye was repelled by the positively charged LDH surface, electrostatic attraction facilitated dye removal at pH < PZC [54]. The maximum dye removal of 78.38% was observed for uncalcined LDH at pH 6 and further increase in pH decreases the percentage removal due to breaking of LDH structure. Simultaneously, calcined LDH demonstrated complete dye removal, reaching 100%, within a broad pH range spanning from 3 to 7 [55,56]. The increase in the percentage of adsorption can be attributed to the positive charge that develops on the adsorbent surface at an acidic pH. This positive charge enhances the electrostatic force of attraction between the adsorbent surface and the negatively charged dye molecules [57,58].
Figure 10.
pH effect on the CRD elimination by ZAC-LDH and CZA-LDH (Ci=100 mg/L; T=30 °C).
3.5. The Implications of Adsorbent Dose
The effect of adsorbent incremental dose on CR uptake by CZA-LDH (100 mg/L DC) and uncalcined (50 mg/L DC) was examined by varying the adsorbent dose from 0.20 to 0.50 g/L. The values, which are depicted in Figure 11, indicate that, as the adsorbent dose was upsurge, the amount of dye removed increased. The observed results can be elucidated by the enlarged number of energetic spots and larger surface area of adsorbent, which promote enhanced adsorption until a state of equilibrium is achieved with the adsorbate molecules [59]. Additionally, the adsorption experiments were conducted using 0.50 g/L as the optimal dosage. With this dose, uncalcined LDH achieved a maximum removal of 92.31%, while CZA-LDH achieved 89.25% removal, and these values were fixed for further study [60].
Figure 11.
Adsorbent dosage effect on the removal of CRD by calcined and uncalcined LDH.
3.6. Kinetic Studies
3.6.1. Pseudo First Order (PFO) Model
To examine and understand the adsorption processes, including chemical reactions and mass transfer, three kinetic models—namely, PFO, PSO (pseudo-second order) [61], and intra-particle diffusion models—were employed for studying the adsorption of CRD on both uncalcined and calcined materials. Lagergren [62] proposed the pseudo-first-order rate equation, which is denoted as follows:
where qe and qt represent the amounts of dye adsorbed at equilibrium and time, t (min) respectively; and k1 symbolizes PFO rate constant (min−1).
The values of qe and k1 were calculated from intercept and slope of the plot log (qe-qt) vs ‘t’ for different ‘Ci’ and ‘temperatures’ for both adsorbents. Table 2 and Table 3 summarize the calculated kinetic parameters (KPs). It is apparent from the R2 value that the adsorption characteristics of both adsorbents for the removal of CRD were better described by a pseudo-second-order equation as opposed to a PFO equation.
Table 2.
KP for the adsorption of CRD by calcined and uncalcined LDH at a temperature of 30 °C for various IDCs.
Table 3.
KP governing the adsorption of CRD by calcined and uncalcined LDH at varying temperatures (100 mg/L IDC).
3.6.2. PSO Model
The following is the representation of the PSO kinetic equation,
The consensus adsorption capacity, qe, and second order rate constant, k2, were derived from the relationship between the values of t/qt and time for various concentrations of Ci (75 mg/L, 50 mg/L, 25 mg/L, and 100 mg/L) and temperatures (30 °C, 40 °C, and 50 °C). To determine the values of qe and k2, the slope and intercept of the plots in Figure 12a,b and Figure 13a,b were utilized. The second-order calculated KPs are displayed in Table 1 and Table 2. It was observed that the qe values calculated for both adsorbents were in close proximity to the experimental qe values. The adsorption behavior of the dye by both adsorbents was highly consistent. For all concentrations, the PSO kinetics model provided a more accurate fit than the PFO kinetics model, as evidenced by the high R2 values with low standard deviation values (approximately in the range from 0.082 to 0.30) for the adsorptive elimination of CR by both adsorbents [62].
Figure 12.
PSO kinetic model for ZAC-LDH and CZA- LDH uptake of CRD.
Figure 13.
PSO kinetic model for the uptake of CRD at different temperature by ZAC-LDH and CZA- LDH.
3.6.3. IPDM (Intra-Particle Diffusion Model)
The kinetic results were subjected to the intra-particle diffusion model so as to elucidate the mechanism of diffusion. Intense agitation of the solution mixture containing adsorbent and adsorbate during the adsorbent process may result in the adsorbate migration into the pores available on the adsorbent, potentially serving as a tool in the rate-determination step. The intra-particle diffusion model’s determination of the relationship among the quantity of dye adsorbed (qt) and t1/2 (kid + C) at various time intermissions for various concentrations is shown in the graph diagram in Figure 14a,b. The values of kid were computed from the gradients for all concentrations at 30 °C and for various temperatures, fixing the IDC as 100 mg/L. Since the intra-particle diffusion plot did not intersect the origin, the adsorption process by both calcined and uncalcined LDH appears to have substantially followed boundary layer diffusion [63].
Figure 14.
PSO kinetic model for the uptake of CRD at different temperature by ZAC- LDH and CZA-LDH.
3.7. Adsorption Isotherm
At constant temperatures, the equilibrium relationship between the adsorbate and the adsorbate adsorbed onto the surface of the adsorbent can be analyzed using the adsorption isotherm. In this investigation, the adsorption equilibrium for CR uptake by the two materials was studied through Langmuir [64] and Freundlich [65] isotherm models.
3.7.1. Langmuir Isotherm
The Langmuir adsorption isotherm, a widely recognized linear method for determining the adsorption of a monolayer onto a homogeneous surface, is represented by the subsequent equation:
where Qo and bL are constants representing the energy of adsorption (L/mg) and mono-layer adsorption capacity, respectively. The equilibrium concentration of the adsorbate is denoted as Ce in mg/L, while qe represents the quantity of adsorbate adsorbed/unit mass of adsorbent in g/g. Table 4 provides a summary of the calculated values. A value between 0 and 1, known as the Langmuir dimensionless constant (RL), denotes the favorable nature of adsorption. The maximal mono-layer converges capacity (Qo) for uncalcined LDH and calcined LDH at 30 °C was determined to be 769.23 mg/g and 526.32 mg/g, respectively, based on the plot of Ce/qe against Ce. The low correlation coefficient (R2) of the Langmuir isotherm model makes it less suitable to explain the nature of CR adsorption.
Table 4.
KP governing the adsorption of CRD by calcined and uncalcined LDH at varying temperatures (100 mg/L ICD).
3.7.2. Freundlich Model
The heterogeneity of the adsorption system and multilayer adsorption are described using the Freundlich isotherm model. The Freundlich equation’s linearized form is written as follows:
where the adsorption intensity (n) and the adsorption capacity (kf) are determined from the slope and intercept of a linear plot of logqe versus logCe. For the removal of CRD onto uncalcined LDH and calcined LDH, a favorable adsorption process is suggested by the reciprocal value of n (1/n < 1). With a high correlation coefficient value (R2), the computed equilibrium values fit the Freundlich isotherm well, demonstrating the multilayer adsorption and heterogeneity nature of the process by both adsorbents [48].
3.8. Thermodynamic Parameters
Thermodynamic parameters related to adsorption, such as Gibb’s free energy change (ΔG0), enthalpy change (ΔH0), and entropy change (ΔS0), were determined using the formulae given below:
Table 5 lists the thermodynamic characteristics for both adsorbents that were determined using Van’t Hoff plots [66]. The negative ΔG0 value in the range of −5.33 kJ mol−1 to −7.18 kJ mol−1, which falls below the threshold of −20 kJ mol−1, indicates a spontaneous physisorption process with a high attraction of CR onto the adsorbent material surface. In addition, the positive values of the enthalpy changes (ΔH0) indicate that the adsorption process occurs at an endothermic temperature across all the temperatures examined. The endothermic characteristics of the adsorption process are corroborated by the increase in pigment adsorption as the temperature rises. Additionally, after the adsorption of the CRD, the positive ΔS° values suggest an upsurge in degrees of freedom and randomness at the boundary between the solid and the liquid [67].
Table 5.
At various temperatures, the thermodynamic parameters of CRD adsorption by uncalcined and calcined LDH.
3.9. Reusability of the Adsorbents
The spent adsorbents uncalcined LDH and calcined LDH were calcined at 450 °C for two hours in an air environment in a muffle furnace. To assess the materials’ reusability, a constant heating and cooling rate of 10 °C per cycle was maintained. As shown in Figure 15, the calcined materials from both were then utilized again to remove CR from aqueous solution using the identical adsorbent dosages of 0.5 g/L and 0.25 g/L for both uncalcined and calcined LDH material, respectively. The decline in the percentage of dye removed during consecutive cycles may be attributed to the reduction in weight during adsorbent recovery. However, both calcined adsorbent materials exhibited remarkable dye removal (83.53% and 64.71%, respectively), indicating their potential for effective reuse. This suggests that as-prepared adsorbent materials can be utilized, recovered, and successfully reused in the treatment of dye wastewater [68]. The adsorption capacities of various sorbents for the removal of CR in the present work and previous literature works are discussed in the Table 6.
Figure 15.
Effectiveness of reusability of both calcined LDHs for removal of CRD.
Table 6.
Comparison of adsorption capacities of various sorbents for removal of CR.
4. Conclusions
This work substantiates the synthesis and analysis of the adsorption of the anionic dye CR using two different adsorbents: uncalcined LDH and its calcined counterpart, both of which are used in a batch mode adsorption procedure. The CR elimination decreased for uncalcined LDH (from 95.65% to 89.62%) and calcined LDH (from 97.96% to 89.25%) as the ICD increased from 25 mg/L to 100 mg/L at 30 °C. The highest quantity of CRD eliminated rose with temperature; for uncalcined LDH, it was 179.23 mg/g to 184.70 mg/g, and for calcined LDH, it was 356.99 mg/g to 374.19 mg/g. The temperature range for this rise was 30 °C to 50 °C. The uncalcined LDH exhibited optimal dye removal (78.38%) at pH 6, while calcined LDH showed 100% removal in the broader acidic pH range (below 7) for a 100 mg/L ICD. Kinetic data aligned well with the PSO model, demonstrating high correlation coefficients (R2) and lower standard deviation values for both adsorbent materials. The maximum adsorption capacity for uncalcined LDH (769.23 mg/g) surpassed that of calcined LDH (526.32 mg/g) at 30 °C. Negative ΔG° values indicated a spontaneous physisorption process, while positive ΔH° values confirmed the endothermic nature of adsorption process at all temperatures under investigation. Langmuir and Freundlich isotherm representations substantiated the favorability of the adsorption process. The adsorption process’s favorability was confirmed by models of the Langmuir and Freundlich isotherms. Thermally treated uncalcined LDH and calcined LDH demonstrated reusability with CR removal percentages of 83.53% and 64.71%, respectively, in the third cycle. Pre- and post-adsorption XRD spectra of calcined LDH demonstrated improved dye adsorption by reconstructing its initial layered structure through CR intercalation with a ‘memory effect’. Moreover, the BET analysis has revealed that both uncalcined ZAC-LDH and calcined LDH possess a comparatively large pore size and mesoporosity. This characteristic makes them highly effective as adsorbents for wastewater treatment, as it facilitates the easy passage of dye molecules.
Accordingly, both uncalcined LDH and calcined LDH proved effective in CR removal, with calcined LDH exhibiting superior efficiency. The findings underscore the potential of these synthesized materials as efficient and reusable for the elimination of CR from dye wastewater. Additionally, this research will be expanded to generate M2+/M3+ LDH and assess its efficacy as a photo-catalyst and adsorbent for the removal of heavy metals from aqueous solutions and dye effluent, respectively.
Author Contributions
K.M.R., investigation and writing—original draft preparation; P.N.P., resources and supervision; V.N.K., conceptualization and writing—original draft preparation; A.T., writing—original draft preparation; R.P., conceptualization and investigation; S.C.K., conceptualization and investigation. All authors have read and agreed to the published version of the manuscript.
Funding
This research received no external funding.
Data Availability Statement
The original contributions presented in the study are included in the article, further inquiries can be directed to the corresponding author/s.
Conflicts of Interest
The authors declare no conflict of interest.
Nomenclature
| BET | Brunauer–Emmett–Teller |
| CLDH | calcined layered double hydroxide |
| CR | Congo red |
| CRD | Congo red dye |
| CTAB | cetyltrimethylammonium bromide |
| CZA-LDH | calcined Zn/Al layered double hydroxide |
| DC | Dye Concentration |
| FESEM | Field Emission Scanning Electron Microscope |
| FTIR | Fourier-Transform Infrared Spectroscopy |
| IDC | Initial Dye Concentration |
| IPDM | intra-particle diffusion model |
| KP | kinetic parameter |
| LDH | layered double hydroxide |
| PFO | pseudo-first order |
| PSO | pseudo-second order |
| XRD | X-ray diffraction |
| ZAC-LDH | Zn/Al carbonate layered double hydroxide |
References
- Smetana, G.; Grosser, A. The Application of an Upflow Anaerobic Sludge Blanket Reactor in the Treatment of Brewery and Dairy Wastewater: A Critical Review. Energies 2024, 17, 1504. [Google Scholar] [CrossRef]
- Smol, M. Circular Economy in Wastewater Treatment Plant—Water, Energy and Raw Materials Recovery. Energies 2023, 16, 3911. [Google Scholar] [CrossRef]
- Benkhaya, S.; M’rabet, S.; El Harfi, A. A review on classifications, recent synthesis and applications of textile dyes. Inorg. Chem. Commun. 2020, 115, 107891. [Google Scholar] [CrossRef]
- Wang, Y.; Dai, X.; Zhan, Y.; Ding, X.; Wang, M.; Wang, X. In situ growth of ZIF-8 nanoparticles on chitosan to form the hybrid nanocomposites for high-efficiency removal of Congo Red. Int. J. Biol. Macromol. 2019, 137, 77–86. [Google Scholar] [CrossRef]
- Zhu, S.; Xu, J.; Wang, B.; Xie, J.; Ying, G.; Li, J.; Cheng, Z.; Li, J.; Chen, K. Highly efficient and rapid purification of organic dye wastewater using lignin-derived hierarchical porous carbon. J. Colloid Interface Sci. 2022, 625, 158–168. [Google Scholar] [CrossRef] [PubMed]
- Kafshgari, L.A.; Ghorbani, M.; Azizi, A. Fabrication and investigation of MnFe2O4/MWCNTs nanocomposite by hydrothermal technique and adsorption of cationic and anionic dyes. Appl. Surf. Sci. 2017, 419, 70–83. [Google Scholar] [CrossRef]
- Wei, Y.; Hao, J.-G.; Zhang, J.-L.; Huang, W.-Y.; Ouyang, S.-b.; Yang, K.; Lu, K.-Q. Integrating Co(OH)2 nanosheet arrays on graphene for efficient noble-metal-free EY-sensitized photocatalytic H2 evolution. Dalton Trans. 2023, 52, 13923–13929. [Google Scholar] [CrossRef] [PubMed]
- Zhang, F.; Ma, B.; Jiang, X.; Ji, Y. Dual function magnetic hydroxyapatite nanopowder for removal of malachite green and Congo red from aqueous solution. Powder Technol. 2016, 302, 207–214. [Google Scholar] [CrossRef]
- Lan, D.; Zhu, H.; Zhang, J.; Li, S.; Chen, Q.; Wang, C.; Wu, T.; Xu, M. Adsorptive removal of organic dyes via porous materials for wastewater treatment in recent decades: A review on species, mechanisms and perspectives. Chemosphere 2022, 293, 133464. [Google Scholar] [CrossRef]
- Zhang, P.; Qian, G.; Shi, H.; Ruan, X.; Yang, J.; Frost, R.L. Mechanism of interaction of hydrocalumites (Ca/Al-LDH) with methyl orange and acidic scarlet GR. J. Colloid Interface Sci. 2012, 365, 110–116. [Google Scholar] [CrossRef]
- Włodarczyk-Makuła, M.; Myszograj, S.; Włodarczyk, M. Removal of Organic Micro-Pollutants from Wastewater in Electrochemical Processes—Review. Energies 2023, 16, 5591. [Google Scholar] [CrossRef]
- Sherino, B.; Abdul Halim, S.N.; Shahabuddin, S.; Mohamad, S. Simultaneous removal of carcinogenic anionic and cationic dyes from environmental water using a new Zn-based metal–organic framework. Sep. Sci. Technol. 2021, 56, 330–343. [Google Scholar] [CrossRef]
- Wekoye, J.N.; Wanyonyi, W.C.; Wangila, P.T.; Tonui, M.K. Kinetic and equilibrium studies of Congo red dye adsorption on cabbage waste powder. Environ. Chem. Ecotoxicol. 2020, 2, 24–31. [Google Scholar] [CrossRef]
- Arab, C.; El Kurdi, R.; Patra, D. Zinc curcumin oxide nanoparticles for enhanced adsorption of Congo red: Kinetics and adsorption isotherms study. Mater. Today Chem. 2022, 23, 100701. [Google Scholar] [CrossRef]
- Kaur, N.; Kaushal, J.; Mahajan, P.; Mantri, A. Phytoremediation of methylene blue dye (triarylmethane) and Congo red (diazo) by T. ammi L.: Kinetic studies. Int. J. Environ. Sci. Technol. 2024, 21, 1697–1714. [Google Scholar] [CrossRef]
- Xu, Y.; Wang, Q.; Ding, Z. Synthesis of Superparamagnetic Fe3O4 Nano-Adsorbent Using an Energy-Saving and Pollution-Reducing Strategy for the Removal of Xylenol Orange Dye in Water. Energies 2022, 15, 7378. [Google Scholar] [CrossRef]
- Abas, K.M.; Fathy, N.A. Sodalite zeolitic materials produced from coal fly ash for removal of congo red dye from aqueous solutions. Int. J. Environ. Sci. Technol. 2024, 21, 5165–5184. [Google Scholar] [CrossRef]
- Abbas, S.H.; Ridha, A.M.; Rashid, K.H.; Khadom, A.A. Biosorption of Congo red dye removal from aqueous solution using fennel seed spent and garlic peel. Int. J. Environ. Sci. Technol. 2023, 20, 13845–13858. [Google Scholar] [CrossRef]
- Mielcarek, A.; Bryszewski, K.Ł.; Rodziewicz, J.; Kłobukowska, K.; Janczukowicz, W. Phosphorus Removal Rate and Efficiency in an Electrochemical Sequencing Reactor for the Treatment of Wastewater with Low Organic Carbon Content. Energies 2024, 17, 1352. [Google Scholar] [CrossRef]
- Gusiatin, M.Z.; Pasieczna-Patkowska, S.; Bálintová, M.; Kuśmierz, M. Treatment of Wastewater from Soil Washing with Soluble Humic Substances Using Biochars and Activated Carbon. Energies 2023, 16, 4311. [Google Scholar] [CrossRef]
- Hu, M.; Yan, X.; Hu, X.; Zhang, J.; Feng, R.; Zhou, M. Ultra-high adsorption capacity of MgO/SiO2 composites with rough surfaces for Congo red removal from water. J. Colloid Interface Sci. 2018, 510, 111–117. [Google Scholar] [CrossRef] [PubMed]
- Chen, H.; Zheng, Y.; Cheng, B.; Yu, J.; Jiang, C. Chestnut husk-like nickel cobaltite hollow microspheres for the adsorption of Congo red. J. Alloys Compd. 2018, 735, 1041–1051. [Google Scholar] [CrossRef]
- Moosavi, S.; Lai, C.W.; Gan, S.; Zamiri, G.; Akbarzadeh Pivehzhani, O.; Johan, M.R. Application of efficient magnetic particles and activated carbon for dye removal from wastewater. ACS Omega 2020, 5, 20684–20697. [Google Scholar] [CrossRef] [PubMed]
- Yang, R.; Li, D.; Li, A.; Yang, H. Adsorption properties and mechanisms of palygorskite for removal of various ionic dyes from water. Appl. Clay Sci. 2018, 151, 20–28. [Google Scholar] [CrossRef]
- Mansha, M.; Waheed, A.; Ahmad, T.; Kazi, I.W.; Ullah, N. Synthesis of a novel polysuccinimide based resin for the ultrahigh removal of anionic azo dyes from aqueous solution. Environ. Res. 2020, 184, 109337. [Google Scholar] [CrossRef]
- Ohemeng-Boahen, G.; Sewu, D.D.; Tran, H.N.; Woo, S.H. Enhanced adsorption of congo red from aqueous solution using chitosan/hematite nanocomposite hydrogel capsule fabricated via anionic surfactant gelation. Colloids Surf. A Physicochem. Eng. Asp. 2021, 625, 126911. [Google Scholar] [CrossRef]
- Hashem, A.H.; Saied, E.; Hasanin, M.S. Green and ecofriendly bio-removal of methylene blue dye from aqueous solution using biologically activated banana peel waste. Sustain. Chem. Pharm. 2020, 18, 100333. [Google Scholar] [CrossRef]
- Munagapati, V.S.; Yarramuthi, V.; Kim, Y.; Lee, K.M.; Kim, D.-S. Removal of anionic dyes (Reactive Black 5 and Congo Red) from aqueous solutions using Banana Peel Powder as an adsorbent. Ecotoxicol. Environ. Saf. 2018, 148, 601–607. [Google Scholar] [CrossRef]
- Bukhari, A.; Ijaz, I.; Zain, H.; Gilani, E.; Nazir, A.; Bukhari, A.; Raza, S.; Ansari, J.; Hussain, S.; Alarfaji, S.S.; et al. Removal of Eosin dye from simulated media onto lemon peel-based low cost biosorbent. Arab. J. Chem. 2022, 15, 103873. [Google Scholar] [CrossRef]
- Gomaa, H.; Hussein, M.A.; Motawea, M.M.; Aboraia, A.M.; Cheira, M.F.; Alotaibi, M.T.; El-Bahy, S.M.; Ali, H.M. A hybrid mesoporous CuO@barley straw-derived SiO2 nanocomposite for adsorption and photocatalytic degradation of methylene blue from real wastewater. Colloids Surf. A Physicochem. Eng. Asp. 2022, 644, 128811. [Google Scholar] [CrossRef]
- Lin, T.-Y.; Chai, W.S.; Chen, S.-J.; Shih, J.-Y.; Koyande, A.K.; Liu, B.-L.; Chang, Y.-K. Removal of soluble microbial products and dyes using heavy metal wastes decorated on eggshell. Chemosphere 2021, 270, 128615. [Google Scholar] [CrossRef] [PubMed]
- Chikri, R.; Elhadiri, N.; Benchanaa, M.; Maguana, Y. Efficiency of sawdust as low-cost adsorbent for dyes removal. J. Chem. 2020, 2020, 8813420. [Google Scholar] [CrossRef]
- Malik, A.; Khan, A.; Anwar, N.; Naeem, M. A comparative study of the adsorption of Congo red dye on rice husk, rice husk char and chemically modified rice husk char from aqueous media. Bull. Chem. Soc. Ethiop. 2020, 34, 41–54. [Google Scholar] [CrossRef]
- Astuti, W.; Chafidz, A.; Wahyuni, E.T.; Prasetya, A.; Bendiyasa, I.M.; Abasaeed, A.E. Methyl violet dye removal using coal fly ash (CFA) as a dual sites adsorbent. J. Environ. Chem. Eng. 2019, 7, 103262. [Google Scholar] [CrossRef]
- Sarkar, S.; Tiwari, N.; Basu, A.; Behera, M.; Das, B.; Chakrabortty, S.; Sanjay, K.; Suar, M.; Adhya, T.K.; Banerjee, S.; et al. Sorptive removal of malachite green from aqueous solution by magnetite/coir pith supported sodium alginate beads: Kinetics, isotherms, thermodynamics and parametric optimization. Environ. Technol. Innov. 2021, 24, 101818. [Google Scholar] [CrossRef]
- Nehaba, S.S.; Abdullah, R.H.; Oda, A.M.; Omran, A.R.; Mottaleb, A.S. Evaluation of the efficiency of tea waste powder to remove the Safranin O dye compared to the activated carbon as adsorbent. Orient. J. Chem. 2019, 35, 1201–1207. [Google Scholar] [CrossRef]
- Tuli, F.; Hossain, A.; Kibria, A.F.; Tareq, A.; Mamun, S.M.; Ullah, A.A. Removal of methylene blue from water by low-cost activated carbon prepared from tea waste: A study of adsorption isotherm and kinetics. Environ. Nanotechnol. Monit. Manag. 2020, 14, 100354. [Google Scholar] [CrossRef]
- Chen, Y.; Chen, S.; Deng, Z.; Xu, X.; Qin, J.; Guo, X.; Bai, Z.; Chen, X.; Lu, Z. Highly efficient removal of Congo red on calcined MgAl-layered double hydroxide with microporous structure. Int. J. Environ. Sci. Technol. 2023, 20, 10141–10152. [Google Scholar] [CrossRef]
- Lu, K.-Q.; Hao, J.-G.; Wei, Y.; Weng, B.; Ge, S.; Yang, K.; Lu, S.; Yang, M.-Q.; Liao, Y. Photocatalytic Conversion of Diluted CO2 into Tunable Syngas via Modulating Transition Metal Hydroxides. Inorg. Chem. 2024, 63, 795–802. [Google Scholar] [CrossRef]
- Bobde, P.; Sharma, A.K.; Panchal, D.; Sharma, A.; Patel, R.K.; Dhodapkar, R.S.; Pal, S. Layered double hydroxides (LDHs)-based photocatalysts for dye degradation: A review. Int. J. Environ. Sci. Technol. 2023, 20, 5733–5752. [Google Scholar] [CrossRef]
- Farghali, M.A.; Selim, A.M.; Khater, H.F.; Bagato, N.; Alharbi, W.; Alharbi, K.H.; Radwan, I.T. Optimized adsorption and effective disposal of Congo red dye from wastewater: Hydrothermal fabrication of MgAl-LDH nanohydrotalcite-like materials. Arab. J. Chem. 2022, 15, 104171. [Google Scholar] [CrossRef]
- Xie, J.; Yamaguchi, T.; Oh, J.-M. Synthesis of a mesoporous Mg–Al–mixed metal oxide with P123 template for effective removal of Congo red via aggregation-driven adsorption. J. Solid State Chem. 2021, 293, 121758. [Google Scholar] [CrossRef]
- Khalil, A.K.; Almanassra, I.W.; Chatla, A.; Ihsanullah, I.; Laoui, T.; Atieh, M.A. Insights into the adsorption of lead ions by Mg-Al LDH doped activated carbon composites: Implications for fixed bed column and batch applications. Chem. Eng. Sci. 2023, 281, 119192. [Google Scholar] [CrossRef]
- Manea, Y.K.; Khan, A.M.; Wani, A.A.; Saleh, M.A.; Qashqoosh, M.T.; Shahadat, M.; Rezakazemi, M. In-grown flower like Al-Li/Th-LDH@CNT nanocomposite for enhanced photocatalytic degradation of MG dye and selective adsorption of Cr (VI). J. Environ. Chem. Eng. 2022, 10, 106848. [Google Scholar] [CrossRef]
- Shirin, V.A.; Sankar, R.; Johnson, A.P.; Gangadharappa, H.; Pramod, K. Advanced drug delivery applications of layered double hydroxide. J. Control. Release 2021, 330, 398–426. [Google Scholar] [CrossRef]
- El Khanchaoui, A.; Sajieddine, M.; Mansori, M.; Essoumhi, A. Anionic dye adsorption on ZnAl hydrotalcite-type and regeneration studies based on “memory effect”. Int. J. Environ. Anal. Chem. 2022, 102, 3542–3560. [Google Scholar] [CrossRef]
- Wang, P.; Zhang, X.; Zhou, B.; Meng, F.; Wang, Y.; Wen, G. Recent Advance of Layered Double Hydroxides Materials: Structure, Properties, Synthesis, Modification and Applications of Wastewater Treatment. J. Environ. Chem. Eng. 2023, 11, 111191. [Google Scholar] [CrossRef]
- Manjula Rani, K.; Palanisamy, P.N. Synthesis and Characterization of Mesoporous, Nanostructured Zinc Aluminium Carbonate Layered Double Hydroxides (ZAC-LDHs) and Its Calcined Product (CZA-LDH). J. Inorg. Organomet. Polym. Mater. 2018, 28, 1127–1135. [Google Scholar] [CrossRef]
- Rani, K.M.; Palanisamy, P. Comparative studies on the adsorptive removal of Acid Violet-17 dye from aqueous solution by using zinc aluminium carbonate-LDH (ZAC-LDH) and modified LDH. Desalination Water Treat. 2017, 65, 337–345. [Google Scholar] [CrossRef]
- Tamilvanan, A.; Balamurugan, D.K.; Ponappa, D.K.; Kumar, B.M. Using Response Surface Methodology in Synthesis of Ultrafine Copper Nanoparticles by Electrolysis. Int. J. Nanosci. 2016, 15, 1650001. [Google Scholar] [CrossRef]
- Boukhalfa, N.; Boutahala, M.; Djebri, N. Synthesis and characterization of ZnAl-layered double hydroxide and organo-K10 montmorillonite for the removal of diclofenac from aqueous solution. Adsorpt. Sci. Technol. 2017, 35, 20–36. [Google Scholar] [CrossRef]
- Ahmed, D.N.; Naji, L.A.; Faisal, A.A.; Al-Ansari, N.; Naushad, M. Waste foundry sand/MgFe-layered double hydroxides composite material for efficient removal of Congo red dye from aqueous solution. Sci. Rep. 2020, 10, 2042. [Google Scholar] [CrossRef]
- Mahmood, T.; Noreen, U.; Ali, R.; Ullah, A.; Naeem, A.; Aslam, M. Adsorptive removal of Congo red from aqueous phase using graphene–tin oxide composite as a novel adsorbent. Int. J. Environ. Sci. Technol. 2022, 19, 10275–10290. [Google Scholar] [CrossRef]
- Daud, M.; Hai, A.; Banat, F.; Wazir, M.B.; Habib, M.; Bharath, G.; Al-Harthi, M.A. A review on the recent advances, challenges and future aspect of layered double hydroxides (LDH)–Containing hybrids as promising adsorbents for dyes removal. J. Mol. Liq. 2019, 288, 110989. [Google Scholar] [CrossRef]
- Rathee, G.; Awasthi, A.; Sood, D.; Tomar, R.; Tomar, V.; Chandra, R. A new biocompatible ternary Layered Double Hydroxide Adsorbent for ultrafast removal of anionic organic dyes. Sci. Rep. 2019, 9, 16225. [Google Scholar] [CrossRef]
- Huang, Y.; Yin, W.; Zhao, T.-L.; Liu, M.; Yao, Q.-Z.; Zhou, G.-T. Efficient Removal of Congo Red, Methylene Blue and Pb(II) by Hydrochar–MgAlLDH Nanocomposite: Synthesis, Performance and Mechanism. Nanomaterials 2023, 13, 1145. [Google Scholar] [CrossRef]
- Wai, T.T.; Aung, E.M.; Kyaw, N.C. Potential of neem leaf powder as bio-adsorbents for dye colour removal. Int. J. Trend Sci. Res. Dev. 2019, 3, 2502–2505. [Google Scholar]
- Feng, L.; Zhang, Q.; Ji, F.; Jiang, L.; Liu, C.; Shen, Q.; Liu, Q. Phosphate removal performances of layered double hydroxides (LDH) embedded polyvinyl alcohol/lanthanum alginate hydrogels. Chem. Eng. J. 2022, 430, 132754. [Google Scholar] [CrossRef]
- Dovi, E.; Aryee, A.A.; Kani, A.N.; Mpatani, F.M.; Li, J.; Li, Z.; Qu, L.; Han, R. Functionalization of walnut shell by grafting amine groups to enhance the adsorption of Congo red from water in batch and fixed-bed column modes. J. Environ. Chem. Eng. 2021, 9, 106301. [Google Scholar] [CrossRef]
- Constantin, M.; Asmarandei, I.; Harabagiu, V.; Ghimici, L.; Ascenzi, P.; Fundueanu, G. Removal of anionic dyes from aqueous solutions by an ion-exchanger based on pullulan microspheres. Carbohydr. Polym. 2013, 91, 74–84. [Google Scholar] [CrossRef]
- Shaban, M.; Ashraf, A.M.; Abukhadra, M.R. TiO2 nanoribbons/carbon nanotubes composite with enhanced photocatalytic activity; fabrication, characterization, and application. Sci. Rep. 2018, 8, 781. [Google Scholar] [CrossRef] [PubMed]
- Lagergren, S. Zur theorie der sogenannten adsorption geloster stoffe. Kungliga svenska vetenskapsakademiens. Handlingar 1898, 24, 1–39. [Google Scholar]
- Singh, P.K.; Banerjee, S.; Srivastava, A.L.; Sharma, Y.C. Kinetic and equilibrium modeling for removal of nitrate from aqueous solutions and drinking water by a potential adsorbent, hydrous bismuth oxide. RSC Adv. 2015, 5, 35365–35376. [Google Scholar] [CrossRef]
- Langmuir, I. The adsorption of gases on plane surfaces of glass, mica and platinum. J. Am. Chem. Soc. 1918, 40, 1361–1403. [Google Scholar] [CrossRef]
- Freundlich, H. Over the adsorption in solution. J. Phys. Chem. 1906, 57, 1100–1107. [Google Scholar]
- Zhang, C.; Yang, S.; Chen, H.; He, H.; Sun, C. Adsorption behavior and mechanism of reactive brilliant red X-3B in aqueous solution over three kinds of hydrotalcite-like LDHs. Appl. Surf. Sci. 2014, 301, 329–337. [Google Scholar] [CrossRef]
- Ahmed, M.; Mohamed, A. An efficient adsorption of indigo carmine dye from aqueous solution on mesoporous Mg/Fe layered double hydroxide nanoparticles prepared by controlled sol-gel route. Chemosphere 2017, 174, 280–288. [Google Scholar] [CrossRef] [PubMed]
- Mensah, K.; Mahmoud, H.; Fujii, M.; Shokry, H. Novel nano-ferromagnetic activated graphene adsorbent extracted from waste for dye decolonization. J. Water Process Eng. 2022, 45, 102512. [Google Scholar] [CrossRef]
- Palapa, N.R.; Juleanti, N.; Normah; Taher, T.; Mohadi, R.; Rachmat, A.; Lesbani, A. Adsorptive Performance of Congo Red using Copper-Aluminum LDHS Load to Rice Husk Biochar. Sains Malays. 2022, 51, 161–173. [Google Scholar] [CrossRef]
- Brahma, D.; Priyom Nath, K.; Patgiri, M.; Saikia, H. Synthesis of Ternary CaNiAl-Layered Double Hydroxide as Potential Adsorbent for Congo Red Dye Removal in Aqueous Solution. Asian J. Chem. 2022, 34, 3215–3223. [Google Scholar] [CrossRef]
- Kong, X.-q.; Zhang, N.-n.; Lian, Y.-m.; Tang, Q.-j. Removal of Congo red using the chlorinated Ca-al layered double hydroxide produced from the desulfurization circulating wastewater. Desalination Water Treat. 2021, 238, 294–305. [Google Scholar] [CrossRef]
Disclaimer/Publisher’s Note: The statements, opinions and data contained in all publications are solely those of the individual author(s) and contributor(s) and not of MDPI and/or the editor(s). MDPI and/or the editor(s) disclaim responsibility for any injury to people or property resulting from any ideas, methods, instructions or products referred to in the content. |
© 2024 by the authors. Licensee MDPI, Basel, Switzerland. This article is an open access article distributed under the terms and conditions of the Creative Commons Attribution (CC BY) license (https://creativecommons.org/licenses/by/4.0/).















