Influence of Ambient Pressure on the Jet-Ignition Combustion Performance and Flame Propagation Characteristics of Gasoline in a Constant Volume Combustion Chamber
Abstract
1. Introduction
2. Experimental Setup
2.1. Pre-Chamber Design and Experiment Operating Conditions
2.2. Combustion Performance Parameters
2.3. Jet Flame Analysis Method
3. Results and Discussion
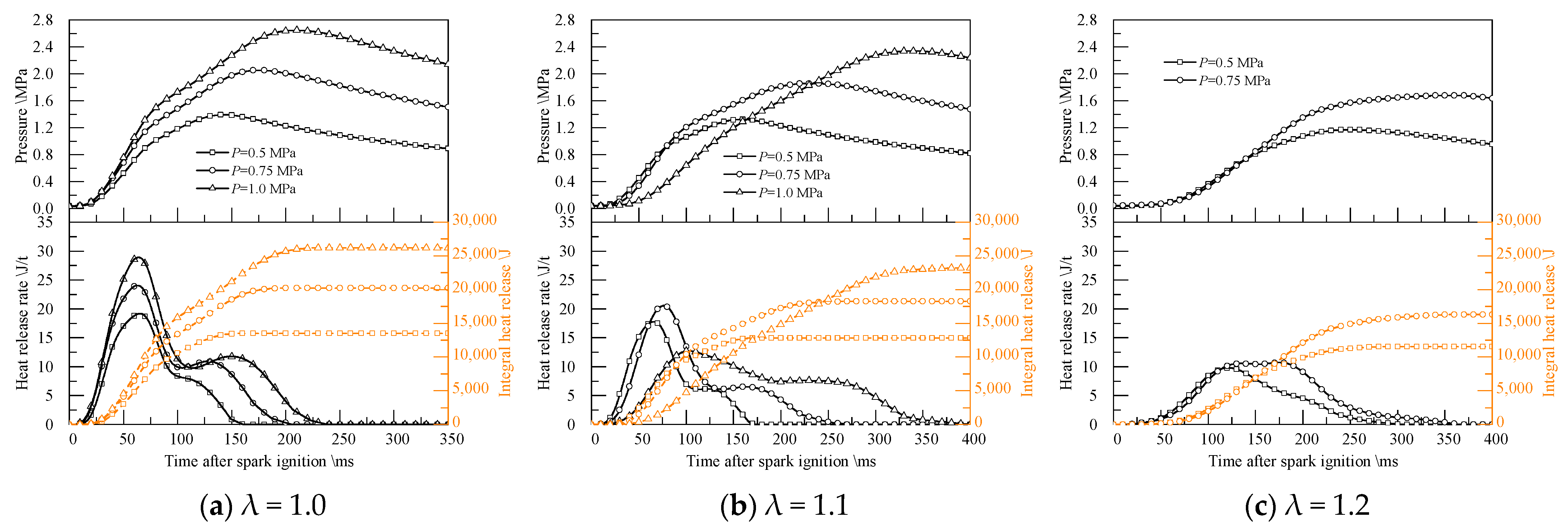
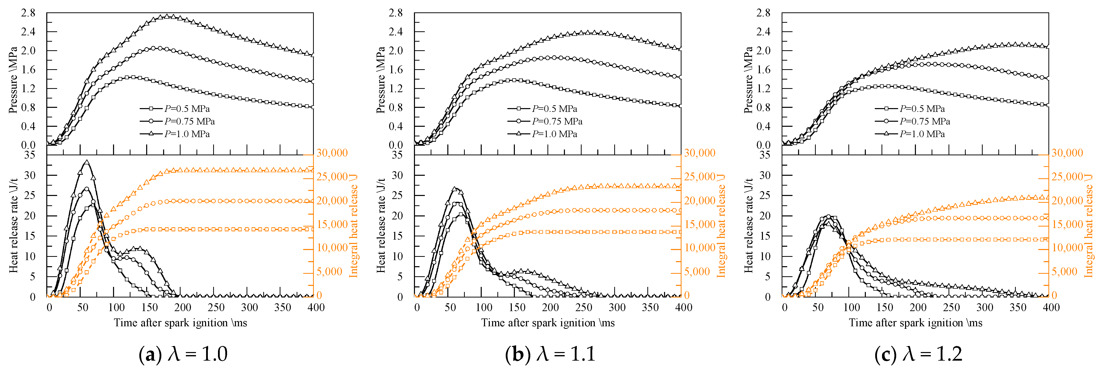
3.1. Combustion Pressure and Heat Release Rate
3.2. Jet Flame Image Analysis
4. Conclusions
- The APC could expand the lean limit to premixed λ = 1.5 compared with premixed λ = 1.2 of PPC at different ambient pressures.
- At stoichiometric and slightly lean combustion conditions, appropriately increasing the ambient pressure can promote ignition and combustion performance of APC and PPC with the heat release peak increased and the combustion period shortened. At lean combustion conditions, the ignition and combustion performance decrease rapidly after the premixed λ exceeds a certain value at high ambient pressure, while APC could increase the premixed λ corresponding to this turning point.
- At the stoichiometric combustion and slightly lean combustion (λ = 1.0 and λ = 1.1) conditions with APC, the peak heat release rate positively correlates with the initial ambient pressure increase. As the premixed λ increases, the peak heat release rate and ambient pressure negatively correlate.
- The ignition delay increases with the increase in premixed λ. At the same time, the ignition delay period of APC is directly related to the fuel concentration in the PC. The ignition delay can be minimized by controlling the excess air coefficient in the pre-chamber near the stoichiometric ratio.
- The high initial ambient pressure in the constant volume chamber dramatically reduces the volume of the jet flame and the mixture entrainment capacity at lean combustion conditions, thereby reducing the combustion speed and peak heat release. At the same time, the APC can significantly increase the jet intensity, which could weaken the ambient pressure effect on the jet penetration at lean combustion conditions.
Author Contributions
Funding
Data Availability Statement
Conflicts of Interest
Abbreviations
| Combustion heat release change ratio | |
| Integral heat release rate | |
| Integral heat release rate at stoichiometric combustion condition | |
| Fuel injection mass | |
| Fuel injection mass at stoichiometric combustion condition | |
| The average jet flame penetration length | |
| X’ | The jet length in the axis direction |
| S | The cumulative flame area |
| R | The approximate spherical radius |
| The equivalent jet flame volume | |
| The jet flame volume of stoichiometric combustion at 0.5 MPa initial ambient pressure | |
| Percentage change rate of the jet flame volume | |
| APC | Active pre-chamber |
| CVCC | Constant volume combustion chamber |
| HEI | High-energy spark ignition |
| MCP | Main chamber combustion period |
| PC | Pre-chamber |
| PPC | Passive pre-chamber |
References
- Toulson, E.; Schock, H.; Attard, W. A Review of Pre-Chamber Initiated Jet Ignition Combustion Systems; SAE Technical Paper 2010-01-2263; SAE International: Warrendale PA, USA, 2010. [Google Scholar] [CrossRef]
- Joshi, A. Review of Vehicle Engine Efficiency and Emissions. SAE Int. J. Adv. Curr. Pract. Mobil. 2020, 2, 2479–2507. [Google Scholar] [CrossRef]
- Atis, C.; Chowdhury, S.; Ayele, Y.; Stuecken, T.; Schock, H.; Voice, A.K. Ultra-Lean and High EGR Operation of Dual Mode, Turbulent Jet Ignition (DM-TJI) Engine with Active Pre-chamber Scavenging; SAE Technical Paper 2020-01-1117; SAE International: Warrendale, PA, USA, 2020. [Google Scholar] [CrossRef]
- Ayala, F.; Gerty, M.; Heywood, J. Effects of Combustion Phasing, Relative Air-fuel Ratio, Compression Ratio, and Load on SI Engine Efficiency; SAE Technical Paper 2006-01-0229; SAE International: Warrendale, PA, USA, 2006. [Google Scholar] [CrossRef]
- Li, F.; Wang, Z.; Wang, Y.; Wang, B. High-Efficiency and Clean Combustion Natural Gas Engines for Vehicles. Automot. Innov. 2019, 2, 284–304. [Google Scholar] [CrossRef]
- Jamrozik, A.; Tutak, W. A study of performance and emissions of SI engine with a two-stage combustion system. Chem. Process Eng. 2011, 32, 453–471. [Google Scholar] [CrossRef]
- Shi, J.; Wang, J.; Deng, J.; Miao, X.; Liu, Y.; Li, L. Study on Combustion and Emission Characteristics of High Compression Ratio Gasoline Engine Based on Two-stage High Energy Ignition and Passive Pre-chamber. Automot. Eng. 2021, 43, 1300–1307. [Google Scholar] [CrossRef]
- Wimmer, D.; Lee, R. An Evaluation of the Performance and Emissions of a CFR Engine Equipped with a Prechamber; SAE Technical Paper 730474; SAE International: Warrendale, PA, USA, 1973. [Google Scholar] [CrossRef]
- Wu, J.; Chen, J.; Du, J.; Chen, H.; Li, Y.; Zhan, W. Combustion and Emission Characteristics of a Lean Burn Gasoline Direct Injection Engine with Active Pre-chamber. Chin. Intern. Combust. Engine Eng. 2021, 42, 55–60. [Google Scholar]
- Attard, W.P.; Fraser, N.; Parsons, P.; Toulson, E. A Turbulent Jet Ignition Pre-Chamber Combustion System for Large Fuel Economy Improvements in a Modern Vehicle Powertrain. SAE Int. J. Engines 2010, 3, 20–37. [Google Scholar] [CrossRef]
- Zheng, Z.; Wang, L.; Pan, J.; Pan, M.; Wei, H. Numerical Investigations on Turbulent Jet Ignition with Gasoline as an Auxiliary Fuel in Rapid Compression Machines. Combust. Sci. Technol. 2023, 195, 672–691. [Google Scholar] [CrossRef]
- Yang, X.; Cheng, Y.; Zhao, Q.; Wang, P.; Chen, J. Effect of spark ignition location on the turbulent jet ignition characteristics in a lean burning natural gas engine. Int. J. Engine Res. 2023, 24, 702–719. [Google Scholar] [CrossRef]
- Wang, Q.; Hu, L.; Chung, S.H. Blow-out of nonpremixed turbulent jet flames at sub-atmospheric pressures. Combust. Flame 2017, 176, 358–360. [Google Scholar] [CrossRef]
- Kim, H.J.; Van, K.; Lee, D.K.; Yoo, C.S.; Park, J.; Chung, S.H. Laminar flame speed, Markstein length, and cellular instability for spherically propagating methane/ethylene–air premixed flames. Combust. Flame 2020, 214, 464–474. [Google Scholar] [CrossRef]
- Zhang, C. 3-D CFD Simulation of the Working Process of a Marine Gas Engine. Master’s Thesis, Dalian University of Technology, Dalian, China, 2013. [Google Scholar]
- Shah, A.; Tunestal, P.; Johansson, B. Effect of Relative Mixture Strength on Performance of Divided Chamber ‘Avalanche Activated Combustion’ Ignition Technique in a Heavy Duty Natural Gas Engine; SAE Technical Paper 2014-01-1327; SAE International: Warrendale, PA, USA, 2014. [Google Scholar] [CrossRef]
- Busch, S.; Bohac, S.V.; Assanis, D.N. A Study of the Transition Between Lean Conventional Diesel Combustion and Lean, Premixed, Low-Temperature Diesel Combustion. J. Eng. Gas Turbines Power 2008, 130, 052804. [Google Scholar] [CrossRef]
- Deng, J.; Zhong, H.; Gong, Y.; Gong, X.; Li, L. Studies on injection and mixing characteristics of high pressure hydrogen and oxygen jet in argon atmosphere. Fuel 2018, 226, 454–461. [Google Scholar] [CrossRef]



















| Parameter | Value |
|---|---|
| Fuel | RON95 |
| Premix λ | From 1.0 to the lean-limit |
| Initial ambient pressure Pa [MPa] | 0.5, 0.75, 1.0 |
| Initial temperature T [K] | 373 |
| Low-flow injection mass in APC [mg] | 0.64 |
| Gasoline injection pressure [MPa] | 20 |
| Spark plug ignition energy [mJ] | 120 |
| Frames per second [fps] | 10,000 |
| Image resolution [pixels] | 560 × 516 |
Disclaimer/Publisher’s Note: The statements, opinions and data contained in all publications are solely those of the individual author(s) and contributor(s) and not of MDPI and/or the editor(s). MDPI and/or the editor(s) disclaim responsibility for any injury to people or property resulting from any ideas, methods, instructions or products referred to in the content. |
© 2024 by the authors. Licensee MDPI, Basel, Switzerland. This article is an open access article distributed under the terms and conditions of the Creative Commons Attribution (CC BY) license (https://creativecommons.org/licenses/by/4.0/).
Share and Cite
Hu, Z.; Li, M.; Miao, X.; Wang, Z.; Tang, Y.; Wu, X.; Yu, W.; Kang, Z.; Deng, J. Influence of Ambient Pressure on the Jet-Ignition Combustion Performance and Flame Propagation Characteristics of Gasoline in a Constant Volume Combustion Chamber. Energies 2024, 17, 3101. https://doi.org/10.3390/en17133101
Hu Z, Li M, Miao X, Wang Z, Tang Y, Wu X, Yu W, Kang Z, Deng J. Influence of Ambient Pressure on the Jet-Ignition Combustion Performance and Flame Propagation Characteristics of Gasoline in a Constant Volume Combustion Chamber. Energies. 2024; 17(13):3101. https://doi.org/10.3390/en17133101
Chicago/Turabian StyleHu, Zongjie, Minglong Li, Xinke Miao, Zhiyu Wang, Yuanzhi Tang, Xijiang Wu, Wangchao Yu, Zhe Kang, and Jun Deng. 2024. "Influence of Ambient Pressure on the Jet-Ignition Combustion Performance and Flame Propagation Characteristics of Gasoline in a Constant Volume Combustion Chamber" Energies 17, no. 13: 3101. https://doi.org/10.3390/en17133101
APA StyleHu, Z., Li, M., Miao, X., Wang, Z., Tang, Y., Wu, X., Yu, W., Kang, Z., & Deng, J. (2024). Influence of Ambient Pressure on the Jet-Ignition Combustion Performance and Flame Propagation Characteristics of Gasoline in a Constant Volume Combustion Chamber. Energies, 17(13), 3101. https://doi.org/10.3390/en17133101

