Abstract
Per- and polyfluoroalkyl substances (PFAS) are a group of fluorinated synthetic chemicals that are highly recalcitrant, toxic, and bio-accumulative and have been detected in biosolids worldwide, posing potential risks to humans and the environment. Recent studies suggest that the organic C-F bond in PFAS can be destructed and potentially mineralised into inorganic fluorides during thermal treatment. This study focuses on thermodynamic equilibrium investigations and the fate of fluorine compounds post-PFAS destruction during biosolid thermal treatment. The results indicate that gas-phase fluorine compounds are mainly hydrogen fluoride (HF) and alkali fluorides, whereas solid-phase fluorine compounds include alkaline earth fluorides and their spinels. High moisture and oxygen content in the volatiles increased the concentration of HF in the gas phase. However, adding minerals reduced the emission of HF in the gas phase significantly and enhanced the capture of fluorine as CaF2 spinel in the solid phase. This study also investigates the effect of feedstock composition on the fate of fluorine. High ash content and low volatile matter in the feedstock reduced HF gas emissions and increased fluorine capture in the solid product. The findings of this work are useful in designing thermal systems with optimised operating conditions for minimising the release of fluorinated species during the thermal treatment of PFAS-containing biosolids.
1. Introduction
Per- and polyfluoroalkyl substances (PFAS) are a group of more than 4000 manufactured chemicals that have been used in a plethora of industrial and household applications, including non-stick cookware, furniture and carpet stain protection, cosmetics, fabric, food packaging, firefighting foams, leather products, and medical equipment since the 1950s [1,2]. Perfluorooctane sulfonate (PFOS), perfluorooctanoic acid (PFOA), and perfluorohexanesulfonic acid (PFHxS) are the most studied and regulated PFAS compounds. PFAS are considered recalcitrant to physical, chemical, and biological degradation and are known to be persistent, bioaccumulative, and toxic [3]. The biological half-life of PFOS and PFOA in the human body has been reported to be between 2 and 9 years [4], while for PFHxS, it is between 5.3 and 35 years, which is the highest among the PFAS constituents [5]. PFAS compounds are ubiquitous and have been detected in air, soil, water, and biota samples worldwide [6].
Wastewater treatment plants (WWTPs) usually aggregate PFAS from different influent sources, including municipal sewage, septic materials, firefighting areas, and wastewater from various industries, and transfer PFAS to the solid effluent, leading to their accumulation in sewage sludges and resulting biosolids [7,8,9,10]. Biosolids refer to sewage sludges, which have been stabilised via digestion (aerobic, anaerobic, lagon), thermal drying, chemical dosing, and stockpiling, and they meet local regulations around the pathogen and contaminant load for safe use on land [11]. During the wastewater treatment process, PFAS undergo a biochemical transformation which converts the larger PFAS precursor chemicals present in the influent, such as 6:2/8:2 fluorotelomer alcohols, perfluorooctanesulfonamides, and polyfluoroalkyl phosphates, into perfluoroalkyl acids (PFAAs), such as PFOS, PFOA, PFHxS, and other forms of short-chain PFAS molecules [12,13,14]. The various short and long-chain PFAS compounds are variably partitioned into sewage solids, depending on the compounds’ organic solid–liquid partitioning coefficient [15]. Hence, PFAS are sorbed strongly onto the biosolid matrix via hydrophobic and electrostatic interactions due to the presence of organic carbon, leading to greater accumulation [16]. For instance, the influent and effluent analysis of 10 out of 14 Australian WWTPs showed an increase in the concentration of PFAS by an average of 10 times during the wastewater treatment process, owing to the degradation of PFAS precursors during the wastewater treatment process [12]. Therefore, the wastewater treatment process does not generally reduce the amount of perfluorinated compounds but instead increases their concentration in the effluent solids.
To date, land application is the primary end use of biosolids in Australia, and about 80% of total biosolids (372,000 dry tonnes) produced in 2023 were used in agricultural soils [17]. The Σ44PFAS concentration in Australian biosolids ranged from 4.2 to 910 ng/g with a mean concentration of 260 ng/g [18]. Specifically, the biosolids contained 0.9–190 ng/g PFOS, <MRL-45 ng/g PFOA, ND-17 ng/g PFHxS, and MRL-17 ng/g PFHxA [18]. The land application of biosolids-containing PFAS may lead to their diffuse entry into the environment, further contaminating groundwater and the food chain [19]. The Environment Protection Authority has released guidelines for PFAS management in several states in Australia and globally under the PFAS National Environmental Management Plan [20,21]. Under these guidelines, future land application of biosolids may be restricted. Therefore, an effective method is required to destroy or remove PFAS from biosolids for their safe use on agricultural land.
Thermal treatment processes, such as pyrolysis, gasification, hydrothermal, and incineration, are considered effective for the destruction of PFAS, pathogens, and other toxic organic compounds in biosolids with substantial volume reduction and materials and energy generation (i.e., heat, char, bio-oil, and syngas) because of their high-temperature operating conditions [22,23,24]. Hakeem et al. [16] recently reviewed the efficacy of various thermal treatment techniques on the transformation and fate of PFAS in biosolids under typical industrial processing conditions. It was found that PFAS are substantially transformed and destroyed into non-PFAS compounds, mainly perfluorocarbons, hydrogen fluoride (HF), and metal fluorides, during the oxidative and non-oxidative thermal treatment of biosolids. Weber et al. [25] studied the decomposition kinetics of PFOS under pyrolysis conditions and reported the presence of HF and SO2 in the gas phase. Ventia [26] conducted a full-scale PFAS thermal destruction and stabilisation trial at the Suez Ventia Joint Venture soil processing facility in Victoria, Australia. High-temperature conditions destroyed the carbon–fluorine bond in PFAS, allowing the element of fluorine to form a new bond with other elements, including hydrogen, alkali, and alkaline earth metals [27]. The mineralisation of PFAS, characterised by the conversion of the organic C-F bond in PFAS to inorganic fluorine compounds, is considered evidence of successful PFAS thermal destruction [28]. Therefore, understanding the fate of fluorine during the post-thermal destruction of PFAS is crucial. The gaseous emissions from PFAS destruction during thermal treatment may contain fluorine as a toxic HF and volatile perfluorocarbons, such as CF4, C2F6, COF, C2F4, and -CF2/CF3 radicals [29,30,31]. Many works have consistently reported HF release in the gas phase during the thermal destruction of PFAS compounds. For instance, Altarawneh et al. [32] studied the decomposition kinetics of PFOA and reported HF as the main compound in the gas phase of the pyrolysis process. Zhang et al. [33] performed the co-combustion of sludge and coal at 1100–1400 °C to investigate fluorinated pollutant emissions. They observed an increase in the gas-phase HF emission with an increase in the amount of sludge feed. Hydrogen fluoride is highly corrosive and can easily penetrate the skin, causing severe tissue damage. In addition, the inhalation of HF vapours can lead to throat irritation and coughing and even permanent damage to the lungs in severe cases [34,35]. Therefore, an effective measure or process is required for the in-situ capture of fluorine species during thermal treatment or the ex-situ treatment of HF-containing gas during the post-thermal treatment of PFAS-containing biosolids. Calcium oxide and calcium hydroxide have been demonstrated as effective reagents for the in-situ capture of fluorine as calcium fluoride and their spinels [29,30,36,37]. Back-end abatement units, such as scrubbers, electrostatic precipitators, baghouse, and bed filters, may play a role in the ex-situ capture of HF post-thermal treatment [38].
Lab and pilot scale studies on PFAS destruction during pyrolysis and gasification of sewage sludge and biosolids are rapidly increasing [22,29,39,40,41,42,43,44,45,46]. These studies have investigated the effect of thermal treatment parameters on the transformation and distribution of PFAS in the resulting product streams, as well as the changes in PFAS concentration in the solid residues (biochar or ash). However, there is a limited focus on the fate of PFAS compounds, particularly fluorine, post-PFAS destruction [39,40]. The effect of lime addition and temperature on the distribution of fluorine compounds reaching the gas and solid phases during the thermal treatment of PFOS-spiked sewage sludge at 300–900 °C was studied by Wang et al. [29]. The addition of lime enhanced the fluorine mineralisation mechanism, leading to the significant formation of calcium fluoride (CaF2) and its spinel (Ca5(PO4)3F) at low temperatures of 300–600 °C in the solid-phase product. To the best of the authors’ knowledge, no thermodynamic studies have been reported investigating the effects of different treatment conditions, such as mineral additions, fluorine concentration, and feedstock compositions, on the fate of fluorine during the post-thermal destruction of PFAS in biosolids. Thermodynamic studies are required for analysing the complex interactions of different organic and inorganic compounds in the volatile and solid phases during the thermochemical decomposition of PFAS-containing biosolids.
This study investigates the distribution and fate of fluorine during the thermal treatment of PFAS-containing biosolids under thermodynamic equilibrium conditions using a FactSage-based model. Figure 1 shows the proposed PFAS destruction pathways under different thermal conditions and mineral addition. The specific objectives of the study are as follows: (i) to understand the speciation of fluorine under different treatment conditions (i.e., temperature and oxygen concentration), (ii) to study the effect of the addition of different minerals on the solid-phase capture and mineralisation of fluorine, and (iii) to investigate the effect of different feedstock compositions, such as primary sludge and biosolids, on fluorine mineralisation pathways during thermal treatment.
Figure 1.
Proposed pathways of PFAS destruction during different thermal treatments of biosolids [16].
2. Materials and Methods
The fate of fluorine during the thermal decomposition of PFAS-containing biosolids was investigated using the thermochemical equilibrium software FactSageTM 7.2 (Thermfact/CRCT, Montreal, Canada/GTT-Technologies, Aachen, Germany). Calculations were performed in the equilibrium module of the software, which works on a Gibbs free energy minimisation principle. The FactPS database was considered for the prediction of gaseous compounds, pure solids as well as possible solid solution phases. This module calculates the concentrations of chemical species when the specified compounds fully or partially react to reach a state of equilibrium. This state of equilibrium indicates the lowest possible Gibbs free energy for a given selection of likely products [41,42]. The number and quantity of products generated are also considered in the overall mass balance. The equilibrium module of FactSage 7.2 offers excellent flexibility in selecting the units, conditions of the reaction, input and likely output compounds. Therefore, this model offers flexibility regarding the variable nature of biosolids (i.e., varying moisture and mineral contents), different thermal treatment conditions (i.e., temperature and oxygen content) and a wide range of possibilities for the products of the reaction.
The equilibrium module of FactSage 7.2 was considered the best choice to model the reaction mechanism owing to the rapid thermal decomposition nature of PFAS [47]. In the current study, the fate of fluorine post-PFAS destruction was investigated for biosolids and primary sludge obtained from South East Water (SEW) and Melbourne Water (MW), respectively. Both wastewater treatment facilities are located in Victoria, Australia. Table 1 shows the model input parameters for biosolids and primary sludge obtained from SEW and MW, respectively. The ultimate, proximate, and elemental compositions of the feedstocks (primary sludge and biosolids) were compared with municipal sludge data obtained from the literature. However, SEW and MW proximate and ultimate analyses were performed employing a TGA Q500IR, TA Instrument, New Castle, DE, USA and a LECO CHNS 932 elemental analyser, St. Joseph, MI, USA. PFAS was introduced as elemental fluorine with the assumption that all PFAS in biosolids would become destroyed during the thermal treatment process. Values for C, H, O, N, and S and Si, Ca, Fe, Al, Mg, Na, K and P were adapted from previous studies on municipal sludge [48,49]. The municipal sludge was used to investigate the effects of oxygen, moisture, fluorine concentration, and the addition of minerals. Water and oxygen concentrations were varied in SEW and MW biosolids to reflect the typical moisture content range of biosolids and the different thermal treatment conditions, specifically pyrolysis (inert conditions) and gasification (partly oxidising conditions).
Table 1.
Input data for the FactSage thermochemical model.
The following assumptions were made during FactSage modelling:
- The reaction would reach equilibrium; that is, the reaction time would be indefinite.
- Biosolids were introduced in the software platform in their elemental form.
- PFAS present in biosolids were introduced into the model as elemental fluorine with the assumption that PFAS would be fully destroyed.
- Pyrolysis and gasification temperatures were considered at 600 and 900 °C, respectively.
3. Results and Discussions
3.1. Effect of Oxygen Concentration
The gas and solid composition of the PFAS decomposition product were compared under different oxygen molar concentrations at 600 and 900 °C, as shown in Figure 2. The operating temperature significantly affected the distribution of fluorine compounds in the gas and solid phases. A higher operating temperature (900 °C) was observed to increase the fluorine compounds in the gas phase. An increase in oxygen concentration enhanced the volatilisation and subsequent oxidation of fluorine-containing substances. The model captured this behaviour at a higher operating temperature of 900 °C, as shown in Figure 2. The mass fraction of fluorine in the gas phase at 900 °C increased from 5% to 25% when the oxygen concentration increased from 1 O2 to 2.1 O2. At 600 °C, no fluorine compounds were observed in the gas phase at all oxygen concentrations. In the gas phase at 900 °C, the fluorine compound was obtained mainly as HF, which further increased with an increase in oxygen concentration. For instance, approximately 65 wt.% HF and 35 wt.% alkali fluoride compounds (i.e., sodium fluoride and potassium fluoride) were observed at 1 O2, whereas the 2.1 O2 concentration generated only HF. Hence, it is essential to closely monitor the concentration of both HF and alkali fluorides in the gas phase during the thermal treatment of biosolids at high temperatures under different oxygen concentrations.
Figure 2.
Effect of oxygen concentration on product compositions.
In the solid phase, a significant re-crystallisation or annealing was observed with the increase in oxygen concentration. The solid phase fluorine was observed as calcium fluoride at a lower oxygen concentration for both temperatures. Calcium fluoride is considered the primary fluorine source in many industries, including metallurgy, infrared devices and window manufacture [50]. When oxygen concentration increased by 50% from 1 O2 to 1.5 O2, a shift in equilibrium was observed, and fluorine was captured as magnesium silicate fluoride spinel (Mg5Si2F2O8) at both temperatures. A further increase in oxygen concentration to 2.1 O2 resulted in fluorine capture in the form of calcium phosphate fluoride spinel (Ca10(PO4)6F2) at 600 °C and 900 °C. The current findings are in line with the findings of a previous study [29], in which the authors investigated the thermal degradation of a mixture of sewage sludge, PFOS and various amounts of Ca(OH)2 and observed fluorine mineralisation as CaF2 and Ca5(PO4)3F at the temperature range of 300–900 °C.
3.2. Effects of Moisture Content
Fluorine is a strong reactive and oxidising agent, reacting vigorously with water to form HF and free oxygen molecules [51]. The effect of moisture content under different thermal decomposition conditions was investigated in detail, and the result is shown in Figure 3. At 600 °C, only solid-phase fluorine compounds were identified, and no impact of the increase in moisture content was observed on the distribution of the fluorine compound. At 900 °C, gas-phase fluorine increased with the increase in moisture content, and the FactSage model at 1.2 H2O under thermodynamic equilibrium conditions predicted that all the fluorine existed in the gas phase. In the gas phase, the hydrogen fluoride proportion was higher than alkali fluoride; this proportion increased with the increase in the moisture content at 900 °C and reached 100 wt.% hydrogen fluoride at 1.2 H2O. This was mainly due to the high electronegative nature and low dissociation energy of fluorine, which enhanced the formation of bonds with hydrogen from the increased water content to form hydrogen fluoride [52]. Therefore, the high-temperature thermal treatment of biosolids with higher moisture content requires an efficient capture and condensation process for hydrogen fluoride at the back end of the thermal treatment process. Similar to the oxygen content, a lower moisture content produced CaF2. In contrast, fluorine was captured as alkaline earth fluoride spinels (i.e., Mg5Si2F2O8 and Ca10(PO4)6F2) in the solid phase at a higher moisture content (i.e., 1.1 H2O and 1.2 H2O) for both 600 and 900 °C.
Figure 3.
Effect of moisture content on product compositions.
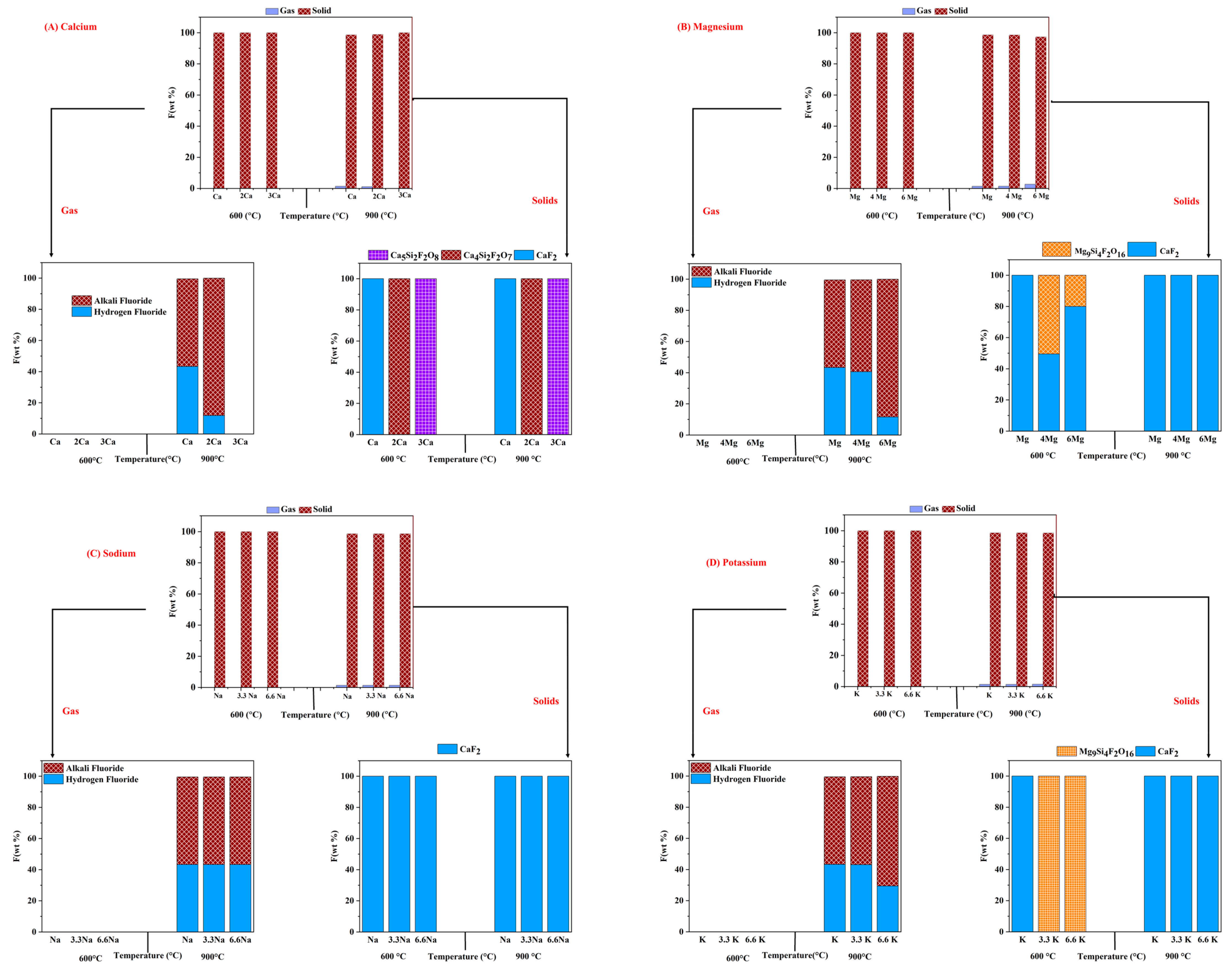
3.3. Effect of Minerals Addition
The effect of variations in the concentration of different minerals, such as calcium, magnesium, potassium, and sodium, on the gas-phase release and solid-phase capture of fluorine substances is shown in Figure 4. It was observed that the addition of minerals, irrespective of their concentrations, had a significantly positive and dominating effect of reducing the gas-phase fluorine emissions and capturing 100% of fluorine in the solid phase as alkaline earth fluorides and their spinels at 600 °C. A very small amount of fluorine volatilisation was observed at a higher temperature (900 °C) for all the minerals, irrespective of their concentration. The gas phase of fluorine was released as hydrogen fluoride and alkali fluoride, and the mass fraction of hydrogen fluoride in the gas phase decreased with the increase in the concentration of all minerals except sodium. No change in gas-phase fluorine composition was noticed with an increase in the sodium concentration. At a higher calcium concentration (i.e., 2 Ca), the hydrogen fluoride concentration decreased from 45% to 15%, and at a further higher calcium concentration (i.e., 3 Ca), and no gas-phase fluorine emission was observed.
Figure 4.
Effect of different minerals on product compositions: (A) effect of calcium addition, (B) effect of magnesium addition, (C) effect of sodium addition and (D) effect of potassium addition.
Both calcium and magnesium are part of the alkaline metals group and are known to lose their outermost electrons to form cations. The current model used in this study accurately predicted this behaviour. In the solid phase, adding sodium resulted in only CaF2 (Figure 4C), irrespective of its concentration and operating temperature. In contrast, magnesium and potassium addition formed only CaF2 at 900 °C for all concentrations. At 600 °C, a lower concentration of magnesium and potassium favoured the formation of CaF2 (Figure 4B,D). In contrast, an increase in the concentration of the metals promoted the formation of magnesium fluoride spinels. Similarly, for calcium addition, CaF2 formation was observed at a lower concentration (Figure 4A) in the solid phase, and alkaline earth fluoride spinels were noticed at a higher concentration at both operating temperatures. A previous study also reported the formation of CaF2 during the removal of hydrogen fluoride using Ca-based salts [53].
3.4. Effect of Fluorine Concentration
The effect of fluorine concentration on the volatilisation of fluorine substances and their distribution in the gas and solid phases is presented in Figure 5. The fluorine concentration varied at 1 F, 2 F and 3 F for both operating temperatures (i.e., 600 and 900 °C). It was observed that an increase in fluorine concentration had no effect on volatilisation at a lower operating temperature, and the fluorine substances were released only in the gas phase at 900 °C. At a higher temperature (900 °C), volatilisation rates of 1.41%, 1.52%, and 1.63% were noticed for 1 F, 2 F, and 3 F, respectively. This result indicated the insignificant effect of fluorine concentration on the volatilisation of fluorine. It was also observed that fluorine concentration had minimal Impact on the alkali fluoride and gas-phase equilibrium ratio of hydrogen fluoride. For example, 1 F and 2 F concentrations resulted in the same distribution of gas-phase alkali fluoride and hydrogen fluoride, while only a 3–4% hydrogen fluoride increase was noticed at a 3 F concentration. In the solid phase, fluorine was captured as CaF2, irrespective of the fluorine concentration for both temperatures, except for the 3 F concentration at 900 °C. Only 2–3% Mg9Si4F2O16 formation was observed for the 3 F concentration at 900 °C.
Figure 5.
Effect of fluorine concentration on product compositions.
3.5. Effect of Variation in Biosolids’ Composition
The composition of biosolids, including the PFAS concentration, varies based on the treatment process, location, and source of the sewage sludge. Two feedstocks (i.e., biosolids and primary sludge) were collected from two different wastewater treatment facilities after different treatments (primary and secondary) and studied to understand the effect of variation in biosolids’ composition on fluorine pathways. Proximate analysis in Table 1 indicates that primary sludge contained a higher volatile matter (78.3%) than biosolids (60.6%). However, biosolids contained a significantly higher ash content (28.9%) than primary sludge (10.7%). Four PFAS treatments, as shown in Figure 6, were included to distinguish the effect of the feedstock composition on the resulting fluorine composition in both gas and solid phases.
Figure 6.
Effect of variation in feedstock composition on product compositions.
At no PFAS spike condition for pyrolysis, more than 96 wt.% fluorine was captured as calcium phosphate fluoride spinel (Ca10(PO4)6F2) in the solid phase with no significant difference in gas-phase fluorine substances between the primary sludge and biosolids. With PFAS spiked, primary sludge resulted in about 40 wt.% gas-phase fluorine, particularly hydrogen fluoride, which was significantly decreased for biosolids, and about 98 wt.% of fluorine was captured as Ca10(PO4)6F2 in the solid phase. This was due to the higher ash content in the biosolids, as the minerals in ash promoted the capturing of fluorine in the form of its spinel in the solid phase [54]. Compared to the pyrolysis process, gasification produced more gas-phase fluorine, particularly hydrogen fluoride, for biosolids and primary sludge under no PFAS or PFAS spike conditions. This was due to the higher oxygen concentration in the gasification process, which enhanced fluorine volatilisation and hydrogen fluoride formation. However, the rate of increase in hydrogen fluoride for biosolids was lower than that for primary sludge due to the higher ash content in the biosolids. Overall, it was evident that feedstock with higher ash content and lower volatile matter resulted in less harmful hydrogen fluoride emissions.
Calcium spiking had a positive effect on locking fluorine as Ca10(PO4)6F2 in the solid phase for both pyrolysis and gasification processes, irrespective of the biosolids’ composition. Approximately 98 wt.% fluorine was captured as Ca10(PO4)6F2 in the solid phase. Spiking calcium and PFAS also resulted in similar solid-phase fluorine capture, eliminating hydrogen fluoride emissions for both pyrolysis and gasification processes, irrespective of biosolids’ composition. These findings indicated the dominating effect of calcium spiking on solid-phase capture of fluorine as Ca10(PO4)6F2 over the impact of feedstock composition, PFAS spiking and oxygen concentration on the gas-phase release of hydrogen fluoride.
4. Limitations and Future Directions
This thermodynamic investigation into the fate of fluorine during the post-thermal destruction of PFAS in biosolids provides some understanding of the viability of thermal techniques for the safe destruction of PFAS. The formation of potentially toxic fluorine-containing gas emissions was observed to be largely controlled by the feed compositions and process conditions. This finding can be useful in designing large-scale thermal systems specific to biosolids compositional peculiarities. The fate of fluorine in gas products needs to be monitored and effectively captured in post-thermal treatment gas cleaning operations. The current study only restricted gas-phase fluorine species to HF and alkali/alkaline earth metal fluorides; however, in practice, gas-phase fluorine compounds generated during the thermal destruction of PFAS can be diverse rather than these two components. For example, gas-phase perfluorocarbons, such as CF4, C2F6, and C3F8, are commonly detected in the gas product of the thermal destruction of some PFAS [31,55,56,57]. Specifically, CHF, COF2, HF, and carbon oxides are gas-phase components reported during PFAS thermal destruction under oxidative conditions [31]. These compounds have two orders of magnitude higher global warming potential than CO2 [58]. It is crucial to adequately optimise the thermal process to abate the formation of HF and volatile perfluorocarbons by adding water, lime, and porous solids, such as GAC, and lowering the overall fluorine concentration in the feedstock [59]. It is also important to design effective gas cleaning systems that can capture the extremely volatile gaseous fluorine component. These two aspects are essential to the overall viability of large-scale thermal units for PFAS destruction. Future works should validate the findings from this investigation through properly designed experiments.
In addition, the full spectrum of fluorinated compounds reaching the solid products (biochar/ash) can exceed those identified in the thermodynamic modelling. Biosolids contain diverse mineral components beyond Na, K, Mg, and Ca, the major mineral-bearing elements in biosolids and their derived char products also includes Si, Al, Fe, and P [60]. These elements typically exist as complex minerals and are rarely present in their free form; thus, the thermodynamic pathway of fluorine combination with the inherent/added minerals in biosolids, may differ from the speciation reactions depicted in this model. The profile of fluorine-containing compounds in the solid product obtained from thermal treatment of PFAS-contaminated biosolids needs to be fully characterised. The potential toxicity and final fate of the residual fluorine compounds retained in the biochar/ash products remain unknown. Although CaF2 is considered a less-toxic fluorine compound compared to the gas-phase HF/NaF [28], the presence of other fluorine compounds implies that the final application of the solid products needs to be carefully considered to minimise any environmental risks.
5. Conclusions
In this study, a FactSage model simulation was conducted to predict the fate of fluorine qualitatively and quantitatively post-PFAS destruction during the thermal treatment of biosolids. The major conclusions from this work are as follows:
- Operating temperatures played an important role in determining the capture of fluorine post-PFAS destruction. Most fluorine was locked as calcium fluoride at low-temperature treatment (600 °C). In comparison, at higher temperature treatment (900 °C), fluorine was primarily available as hydrogen fluoride in the gas phase, and some were locked as CaF2 and their spinels, depending on the thermodynamic minimum Gibbs free energy.
- High oxygen and moisture concentrations at a higher temperature, such as 900 °C, significantly affected the product gas composition, with hydrogen fluoride as the major component. Increasing oxygen and moisture concentration affected the thermodynamic equilibrium and captured fluorine as magnesium and calcium fluoride spinels in the solid phase, irrespective of the operating temperature.
- Alkaline earth metals reduced hydrogen fluoride emissions. A significant decrease in hydrogen fluoride formation was observed at a higher concentration of calcium and magnesium. On the other hand, sodium and potassium had no major impact on gas-phase mass fraction distribution, with sodium being the least influencing element.
- Fluorine concentration had minimal effect on the volatilisation of fluorine even at a higher temperature and did not significantly affect the thermodynamic equilibrium during solid-phase reactions.
- Feedstock compositions directly influenced the fluorine pathway. Feedstock with less organic volatile matter and a high ash content decreased hydrogen fluoride emissions and locked most fluorine as solid-phase calcium fluoride compounds.
Author Contributions
S.P.: Conceptualisation, Methodology, Software, Formal analysis, Writing—original draft, Visualisation, Writing—Review and Editing. P.H.: Conceptualisation, Methodology, Software, Formal analysis, Writing—original draft, Visualisation, Writing—Review and Editing. I.G.H.: Writing—original draft, validation, Writing—Review and Editing. E.S.: Methodology, Writing—Review and Editing. M.K.J.: Visualisation, Writing—Review and Editing. G.V.: Writing—original draft, Visualisation, Writing—Review and Editing. N.R.: Visualisation, Writing—Review and Editing. A.K.S.: Writing—Review and Editing. A.S. (Aravind Surapaneni): Writing—Review and Editing, resources. A.S. (Abhishek Sharma): Writing—Review and Editing. R.N.: Writing—Review and Editing. M.M.: Writing—Review and Editing, project administration, A.K.V.: Supervision, resources, validation. K.S.: Supervision, Conceptualisation, Investigation, Writing—Review and Editing. All authors have read and agreed to the published version of the manuscript.
Funding
This study received funding from the Australian Research Council (Grant number: SR180100036) for the present study, the support from RMIT University, Melbourne, Australia.
Data Availability Statement
No new data were created or analysed in this study. Data sharing is not applicable to this article.
Acknowledgments
The authors gratefully acknowledge the financial support provided by the Australian Research Council for the present study. The authors also appreciate the support from RMIT University, Melbourne, Australia.
Conflicts of Interest
Author Aravind Surapaneni was employed by the company South East Water. The remaining authors declare that the research was conducted in the absence of any commercial or financial relationships that could be construed as a potential conflict of interest.
References
- Wang, Z.; DeWitt, J.C.; Higgins, C.P.; Cousins, I.T. A Never-Ending Story of Per-and Polyfluoroalkyl Substances (PFASs)? Environ. Sci. Technol. 2017, 51, 2508–2518. [Google Scholar] [CrossRef] [PubMed]
- Kannan, K.; Corsolini, S.; Falandysz, J.; Fillmann, G.; Kumar, K.S.; Loganathan, B.G.; Mohd, M.A.; Olivero, J.; Van Wouwe, N.; Yang, J.H.; et al. Perfluorooctanesulfonate and Related Fluorochemicals in Human Blood from Several Countries. Environ. Sci. Technol. 2004, 38, 4489–4495. [Google Scholar] [CrossRef] [PubMed]
- Clara, M.; Scharf, S.; Weiss, S.; Gans, O.; Scheffknecht, C. Emissions of Perfluorinated Alkylated Substances (PFAS) from Point Sources—Identification of Relevant Branches. Water Sci. Technol. 2008, 58, 59–66. [Google Scholar] [CrossRef] [PubMed]
- CRC CARE. A Human Health Review of PFOS and PFOA; CRC CARE Technical Report No. 42, CRC for Contamination Assessment and Remediation of the Environment; CRC CARE: Newcastle, Australia, 2016. [Google Scholar]
- CSWAB. Perfluorohexane Sulfonic Acid (PFHxS), Its Salts and PFHxS-Related Compounds DRAFT RISK PROFILE Persistent Organic Pollutants Review Committee; CSWAB: Merrimac, WI, USA, 2018. [Google Scholar]
- Boulanger, B.; Vargo, J.D.; Schnoor, J.L.; Hornbuckle, K.C. Evaluation of Perfluorooctane Surfactants in a Wastewater Treatment System and in a Commercial Surface Protection Product. Environ. Sci. Technol. 2005, 39, 5524–5530. [Google Scholar] [CrossRef] [PubMed]
- Huset, C.A.; Chiaia, A.C.; Barofsky, D.F.; Jonkers, N.; Kohler, H.-P.E.; Ort, C.; Giger, W.; Field, J.A. Occurrence and Mass Flows of Fluorochemicals in the Glatt Valley Watershed, Switzerland. Environ. Sci. Technol. 2008, 42, 6369–6377. [Google Scholar] [CrossRef]
- Dauchy, X.; Boiteux, V.; Bach, C.; Colin, A.; Hemard, J.; Rosin, C.; Munoz, J.F. Mass Flows and Fate of per- and Polyfluoroalkyl Substances (PFASs) in the Wastewater Treatment Plant of a Fluorochemical Manufacturing Facility. Sci. Total Environ. 2017, 576, 549–558. [Google Scholar] [CrossRef] [PubMed]
- Phong Vo, H.N.; Ngo, H.H.; Guo, W.; Hong Nguyen, T.M.; Li, J.; Liang, H.; Deng, L.; Chen, Z.; Hang Nguyen, T.A. Poly-and Perfluoroalkyl Substances in Water and Wastewater: A Comprehensive Review from Sources to Remediation. J. Water Process Eng. 2020, 36, 101393. [Google Scholar] [CrossRef]
- Zhang, C.; Yan, H.; Li, F.; Hu, X.; Zhou, Q. Sorption of Short- and Long-Chain Perfluoroalkyl Surfactants on Sewage Sludges. J. Hazard. Mater. 2013, 260, 689–699. [Google Scholar] [CrossRef]
- Kor-Bicakci, G.; Eskicioglu, C. Recent Developments on Thermal Municipal Sludge Pretreatment Technologies for Enhanced Anaerobic Digestion. Renew. Sustain. Energy Rev. 2019, 110, 423–443. [Google Scholar] [CrossRef]
- Houtz, E.F.; Sutton, R.; Park, J.S.; Sedlak, M. Poly- and Perfluoroalkyl Substances in Wastewater: Significance of Unknown Precursors, Manufacturing Shifts, and Likely AFFF Impacts. Water Res. 2016, 95, 142–149. [Google Scholar] [CrossRef]
- Eriksson, U.; Haglund, P.; Kärrman, A. Contribution of Precursor Compounds to the Release of per- and Polyfluoroalkyl Substances (PFASs) from Waste Water Treatment Plants (WWTPs). J. Environ. Sci. 2017, 61, 80–90. [Google Scholar] [CrossRef] [PubMed]
- Xiao, F.; Halbach, T.R.; Simcik, M.F.; Gulliver, J.S. Input Characterization of Perfluoroalkyl Substances in Wastewater Treatment Plants: Source Discrimination by Exploratory Data Analysis. Water Res. 2012, 46, 3101–3109. [Google Scholar] [CrossRef] [PubMed]
- Ebrahimi, F.; Lewis, A.J.; Sales, C.M.; Suri, R.; McKenzie, E.R. Linking PFAS Partitioning Behavior in Sewage Solids to the Solid Characteristics, Solution Chemistry, and Treatment Processes. Chemosphere 2021, 271, 129530. [Google Scholar] [CrossRef] [PubMed]
- Hakeem, I.G.; Halder, P.; Patel, S.; Selezneva, E.; Rathnayake, N.; Marzbali, M.H.; Veluswamy, G.; Sharma, A.; Kundu, S.; Surapaneni, A.; et al. Current Understanding on the Transformation and Fate of per- and Polyfluoroalkyl Substances Before, During, and after Thermal Treatment of Biosolids. Chem. Eng. J. 2024, 493, 152537. [Google Scholar] [CrossRef]
- ANZBP. Australian Biosolids Statistics. Available online: https://www.biosolids.com.au/guidelines/australian-biosolids-statistics/ (accessed on 30 March 2024).
- Moodie, D.; Coggan, T.; Berry, K.; Kolobaric, A.; Fernandes, M.; Lee, E.; Reichman, S.; Nugegoda, D.; Clarke, B.O. Legacy and Emerging per- and Polyfluoroalkyl Substances (PFASs) in Australian Biosolids. Chemosphere 2021, 270, 129143. [Google Scholar] [CrossRef]
- Hamid, H.; Li, L. Role of Wastewater Treatment Plant in Environmental Cycling of Poly- and Perfluoroalkyl Substances. Ecocycles 2016, 2, 43–53. [Google Scholar] [CrossRef]
- EPA Victoria PFAS NEMP 2.0. Available online: https://www.epa.vic.gov.au/for-community/environmental-information/pfas/pfas-national-environmental-management-plan (accessed on 15 June 2024).
- Naidu, R.; Nadebaum, P.; Fang, C.; Cousins, I.; Pennell, K.; Conder, J.; Newell, C.J.; Longpré, D.; Warner, S.; Crosbie, N.D.; et al. Per- and Poly-Fluoroalkyl Substances (PFAS): Current Status and Research Needs. Environ. Technol. Innov. 2020, 19, 100915. [Google Scholar] [CrossRef]
- Kundu, S.; Patel, S.; Halder, P.; Patel, T.; Hedayati Marzbali, M.; Pramanik, B.K.; Paz-Ferreiro, J.; De Figueiredo, C.C.; Bergmann, D.; Surapaneni, A.; et al. Removal of PFASs from Biosolids Using a Semi-Pilot Scale Pyrolysis Reactor and the Application of Biosolids Derived Biochar for the Removal of PFASs from Contaminated Water. Environ. Sci. Water Res. Technol. 2021, 7, 638–649. [Google Scholar] [CrossRef]
- Chen, R.; Sheng, Q.; Dai, X.; Dong, B. Upgrading of Sewage Sludge by Low Temperature Pyrolysis: Biochar Fuel Properties and Combustion Behavior. Fuel 2021, 300, 121007. [Google Scholar] [CrossRef]
- Chanaka Udayanga, W.D.; Veksha, A.; Giannis, A.; Lisak, G.; Chang, V.W.C.; Lim, T.T. Fate and Distribution of Heavy Metals during Thermal Processing of Sewage Sludge. Fuel 2018, 226, 721–744. [Google Scholar] [CrossRef]
- Weber, N.H.; Stockenhuber, S.P.; Delva, C.S.; Fara, A.A.; Grimison, C.C.; Lucas, J.A.; Mackie, J.C.; Stockenhuber, M.; Kennedy, E.M. Kinetics of Decomposition of PFOS Relevant to Thermal Desorption Remediation of Soils. Ind. Eng. Chem. Res. 2021, 60, 9080–9087. [Google Scholar] [CrossRef]
- Ventia PFAS Remediation. Available online: https://www.ventia.com/what-we-do/capabilities/pfas-remediation (accessed on 15 June 2024).
- Winchell, L.J.; Ross, J.J.; Wells, M.J.M.; Fonoll, X.; Norton, J.W.; Bell, K.Y. Per- and Polyfluoroalkyl Substances Thermal Destruction at Water Resource Recovery Facilities: A State of the Science Review. Water Environ. Res. 2021, 93, 826–843. [Google Scholar] [CrossRef]
- Longendyke, G.K.; Katel, S.; Wang, Y. PFAS Fate and Destruction Mechanisms during Thermal Treatment: A Comprehensive Review. Environ. Sci. Process. Impacts 2022, 24, 196–208. [Google Scholar] [CrossRef]
- Wang, F.; Shih, K.; Lu, X.; Liu, C. Mineralization Behavior of Fluorine in Perfluorooctanesulfonate (PFOS) during Thermal Treatment of Lime-Conditioned Sludge. Environ. Sci. Technol. 2013, 47, 2621–2627. [Google Scholar] [CrossRef]
- Wang, F.; Lu, X.; Shih, K.; Liu, C. Influence of Calcium Hydroxide on the Fate of Perfluorooctanesulfonate under Thermal Conditions. J. Hazard. Mater. 2011, 192, 1067–1071. [Google Scholar] [CrossRef] [PubMed]
- García, A.N.; Viciano, N.; Font, R. Products Obtained in the Fuel-Rich Combustion of PTFE at High Temperature. J. Anal. Appl. Pyrolysis 2007, 80, 85–91. [Google Scholar] [CrossRef]
- Altarawneh, M.; Almatarneh, M.H.; Dlugogorski, B.Z. Thermal Decomposition of Perfluorinated Carboxylic Acids: Kinetic Model and Theoretical Requirements for PFAS Incineration. Chemosphere 2022, 286, 131685. [Google Scholar] [CrossRef]
- Zhang, S.; Jiang, X.; Lv, G.; Liu, B.; Jin, Y.; Yan, J. SO2, NOx, HF, HCl and PCDD/Fs Emissions during Co-Combustion of Bituminous Coal and Pickling Sludge in a Drop Tube Furnace. Fuel 2016, 186, 91–99. [Google Scholar] [CrossRef]
- WHO. WHO Fluorine and Fluorides; WHO: Geneva, Switzerland, 1984.
- Lee, Y.J.; Jeong, I.B. Chemical Pneumonitis by Prolonged Hydrogen Fluoride Inhalation. Respir. Med. Case Rep. 2021, 32, 101338. [Google Scholar] [CrossRef]
- Riedel, T.P.; Wallace, M.A.G.; Shields, E.P.; Ryan, J.V.; Lee, C.W.; Linak, W.P. Low Temperature Thermal Treatment of Gas-Phase Fluorotelomer Alcohols by Calcium Oxide. Chemosphere 2021, 272, 129859. [Google Scholar] [CrossRef]
- Wang, F.; Lu, X.; Li, X.; Shih, K. Effectiveness and Mechanisms of Defluorination of Perfluorinated Alkyl Substances by Calcium Compounds during Waste Thermal Treatment. Environ. Sci. Technol. 2015, 49, 5672–5680. [Google Scholar] [CrossRef] [PubMed]
- DiStefano, R.; Feliciano, T.; Mimna, R.A.; Redding, A.M.; Matthis, J. Thermal Destruction of PFAS during Full-Scale Reactivation of PFAS-Laden Granular Activated Carbon. Remediat. J. 2022, 32, 231–238. [Google Scholar] [CrossRef]
- Kim, J.H.; Ok, Y.S.; Choi, G.H.; Park, B.J. Residual Perfluorochemicals in the Biochar from Sewage Sludge. Chemosphere 2015, 134, 435–437. [Google Scholar] [CrossRef] [PubMed]
- Bioforcetech. Eliminating PFAS from Biosolids Is No Longer a Mystery; Bioforcetech Corporation: South San Francisco, CA, USA, 2019. [Google Scholar]
- Bamdad, H.; Papari, S.; Moreside, E.; Berruti, F. High-Temperature Pyrolysis for Elimination of Per- and Polyfluoroalkyl Substances (PFAS) from Biosolids. Processes 2022, 10, 2187. [Google Scholar] [CrossRef]
- Thoma, E.D.; Wright, R.S.; George, I.; Krause, M.; Presezzi, D.; Villa, V.; Preston, W.; Deshmukh, P.; Kauppi, P.; Zemek, P.G. Pyrolysis Processing of PFAS-Impacted Biosolids, a Pilot Study. J. Air Waste Manag. Assoc. 2022, 72, 309–318. [Google Scholar] [CrossRef] [PubMed]
- Hušek, M.; Semerád, J.; Skoblia, S.; Moško, J.; Kukla, J.; Beňo, Z.; Jeremiáš, M.; Cajthaml, T.; Komárek, M.; Pohořelý, M. Removal of per- and Polyfluoroalkyl Substances and Organic Fluorine from Sewage Sludge and Sea Sand by Pyrolysis. Biochar 2024, 6, 31. [Google Scholar] [CrossRef]
- McNamara, P.; Samuel, M.S.; Sathyamoorthy, S.; Moss, L.; Valtierra, D.; Cortes Lopez, H.; Nigro, N.; Somerville, S.; Liu, Z. Pyrolysis Transports, and Transforms, PFAS from Biosolids to Py-Liquid. Environ. Sci. Water Res. Technol. 2023, 9, 386–395. [Google Scholar] [CrossRef]
- Logan City Council. Technical Report for Loganholme Wastewater Treatment Plant: Biosolids Gasification Demonstration Plant (PBE-075); Loganholme Council: Queensland, Australia, 2021. [Google Scholar]
- Sørmo, E.; Castro, G.; Hubert, M.; Licul-Kucera, V.; Quintanilla, M.; Asimakopoulos, A.G.; Cornelissen, G.; Arp, H.P.H. The Decomposition and Emission Factors of a Wide Range of PFAS in Diverse, Contaminated Organic Waste Fractions Undergoing Dry Pyrolysis. J. Hazard. Mater. 2023, 454, 131447. [Google Scholar] [CrossRef]
- Khan, M.Y.; So, S.; da Silva, G. Decomposition Kinetics of Perfluorinated Sulfonic Acids. Chemosphere 2020, 238, 124615. [Google Scholar] [CrossRef]
- Wang, Z.; Ma, X.; Yao, Z.; Yu, Q.; Wang, Z.; Lin, Y. Study of the Pyrolysis of Municipal Sludge in N2/CO2 Atmosphere. Appl. Therm. Eng. 2018, 128, 662–671. [Google Scholar] [CrossRef]
- RMRC Sewage Sludge Ash. Available online: https://rmrc.wisc.edu/ug-mat-sewage-sludge-ash/ (accessed on 10 June 2024).
- Oguz, E. Adsorption of Fluoride on Gas Concrete Materials. J. Hazard. Mater. 2005, 117, 227–233. [Google Scholar] [CrossRef] [PubMed]
- Appelman, E.H.; Thompson, R.C. Studies of the Aqueous Chemistry of Fluorine and Hypofluorous Acid. J. Am. Chem. Soc. 2002, 106, 4167–4172. [Google Scholar] [CrossRef]
- O’Hagan, D. Understanding Organofluorine Chemistry. An Introduction to the C–F Bond. Chem. Soc. Rev. 2008, 37, 308–319. [Google Scholar] [CrossRef] [PubMed]
- Park, J.-H.C.Y.T.-H.I.Y.-S. Treatment of Hydrogen Fluoride Generated from the F-Gases Decomposition Processes. Asian J. Atmos. Environ. 2016, 10, 190–196. [Google Scholar] [CrossRef]
- Rampersadh, P. Removal of Hydrogen Fluoride from Gas Streams; University of Witwatersrand: Johannesburg, South Africa, 2005. [Google Scholar]
- Conesa, J.A.; Font, R. Polytetrafluoroethylene Decomposition in Air and Nitrogen. Polym. Eng. Sci. 2001, 41, 2137–2147. [Google Scholar] [CrossRef]
- Simon, C.M.; Kaminsky, W. Chemical Recycling of Polytetrafluoroethylene by Pyrolysis. Polym. Degrad. Stab. 1998, 62, 1–7. [Google Scholar] [CrossRef]
- Weber, N.H.; Delva, C.S.; Stockenhuber, S.P.; Grimison, C.C.; Lucas, J.A.; Mackie, J.C.; Stockenhuber, M.; Kennedy, E.M. Thermal Decomposition of Perfluorooctanesulfonic Acid (PFOS) in the Presence of Water Vapor. Ind. Eng. Chem. Res. 2022, 61, 15146–15155. [Google Scholar] [CrossRef]
- Uhle, J.M. ¨; Ganesan, A.L.; Miller, B.R.; Salameh, P.K.; Harth, C.M.; Greally, B.R.; Rigby, M.; Porter, L.W.; Steele, L.P.; Trudinger, C.M.; et al. Perfluorocarbons in the Global Atmosphere: Tetrafluoromethane, Hexafluoroethane, and Octafluoropropane. Atmos. Chem. Phys 2010, 10, 5145–5164. [Google Scholar] [CrossRef]
- Wang, J.; Lin, Z.; He, X.; Song, M.; Westerhoff, P.; Doudrick, K.; Hanigan, D. Critical Review of Thermal Decomposition of Per- and Polyfluoroalkyl Substances: Mechanisms and Implications for Thermal Treatment Processes. Environ. Sci. Technol. 2022, 56, 5355–5370. [Google Scholar] [CrossRef]
- Hakeem, I.G.; Halder, P.; Patel, S.; Sharma, A.; Gupta, R.; Surapaneni, A.; Paz-Ferreiro, J.; Shah, K. Enhancing the Pyrolytic Conversion of Biosolids to Value-Added Products via Mild Acid Pre-Treatment. J. Anal. Appl. Pyrolysis 2023, 173, 106087. [Google Scholar] [CrossRef]
Disclaimer/Publisher’s Note: The statements, opinions and data contained in all publications are solely those of the individual author(s) and contributor(s) and not of MDPI and/or the editor(s). MDPI and/or the editor(s) disclaim responsibility for any injury to people or property resulting from any ideas, methods, instructions or products referred to in the content. |
© 2024 by the authors. Licensee MDPI, Basel, Switzerland. This article is an open access article distributed under the terms and conditions of the Creative Commons Attribution (CC BY) license (https://creativecommons.org/licenses/by/4.0/).





