Abstract
This work presents a comprehensive model for lignocellulosic biomass pyrolysis, addressing kinetics, energy balances, and gas product composition with the aim of its application in wood combustion. The model consists of a two-stage global mechanism in which biomass initially reacts into tar, char, and light gases (non-condensable gases), which is followed by tar reacting into light gases and char. Experimental data from the literature are employed for determining Arrhenius kinetic parameters and key energy parameters, like tar and char heating values and the specific enthalpy of primary and secondary reactions. A methodology is introduced to derive correlations, allowing the model’s application to diverse biomass types. This work introduces several novel approaches. Firstly, a pyrolysis model that determines the composition of light gases by solving mass, species, and energy balances is developed, limiting the use of correlations from the literature only for tar and char elemental composition. The mass rate of light gases, tar, and char being produced is also determined. Secondly, kinetic parameters for primary and secondary reactions are determined following a Shafizadeh and Chin scheme but with a modified Arrhenius form dependent on , significantly enhancing the accuracy of product composition prediction. Additionally, correlations for the enthalpies of reactions, both primary and secondary, are determined as a function of pyrolysis temperature. Primary reactions exhibit an overall endothermic behavior, while secondary reactions exhibit an overall exothermic behavior. Finally, the model is validated using cases reported in the literature, and results for light gases composition are presented.
1. Introduction
Biomass as a fuel has been and is used in various ways to generate thermal energy for various purposes. Traditionally, it has been used as fuel for cooking and home heating. In this sense, this use has represented 10% of the world’s primary energy use, typically using inefficient equipment due to the difficulty of ensuring complete combustion from solid fuels [1]. These poor combustion represent an important source of pollution both on the indoor and environmental air quality, mainly contributing to health problems within the population [1,2,3]. On the other hand, when processed efficiently, biomass emerges as a sustainable alternative energy source to fossil fuels, contributing to the reduction in greenhouse gas emissions, as it is inherently a neutral process in generating them [4,5]. From both points of view, traditional use and use as a sustainable alternative fuel, there arises the need to investigate the various processes of biomass transformation to generate energy: on one hand to improve existing technologies and on the other hand to develop new technologies. In this sense, biomass can be burned directly or undergo thermal, thermochemical, biochemical, and chemical conversion processes to produce various biofuels including bio-oils, biogas, char, bioethanol, and biodiesel, among others [5]. Within thermochemical processes, direct combustion, gasification, pyrolysis, torrefaction, and hydrothermal carbonization stand out. Pyrolysis, defined as the thermal decomposition of organic material in the absence of oxygen [6], can be approached as an independent process to obtain fuel or chemical derivatives, but it also represents the first stage, after drying, of biomass gasification or combustion, representing an indispensable phenomenon to understand biomass conversion processes [7]. This study investigates pyrolysis as a stage within biomass combustion, aiming to develop a simplified model suitable for integration into a comprehensive engineering-focused combustion model. The research is centered on the investigation of lignocellulosic biomass that is specifically sourced from forests. However, this does not restrict the model’s application to other types of agricultural crops, provided that the biomass composition does not differ significantly from those considered in this work or by applying the proposed methodology to adjust the parameters accordingly.
Biomass combustion can be divided into four distinct stages: drying, pyrolysis, external gas phase reactions, and surface char reactions [8]. All these phenomena, except for drying, are related to pyrolysis, since the carbonaceous matrix (char) and combustible gases are formed during it. The pyrolysis model must provide information on the composition of the pyrolysis products, their formation rate, and thermodynamic properties to solve mass, temperature, and composition evolution. This information is essential for solving the combustion of both gases and the carbonaceous matrix, completing the combustion model. The generation of each of the products depends mainly on the heating rate and temperatures of both the particle and the reactor [6,9].
Biomass pyrolysis is a highly complex process that has been addressed through a variety of models. These range from simple global single-stage models [10,11,12], competitive and parallel models, to multi-stage semi-global models. Additionally, there are structural models that detail the evolution of the macromolecular structure of biomass as well as models that delve into reaction mechanisms at the molecular level [13]. Global models do not provide detailed information about the whole process; however, they are practical for engineering applications as long as their limitations are acknowledged [14,15]. In that sense, they are ideal for reactor design, seeking to reduce the enormous amount of calculations time when simulating biomass combustors using detailed models [11,16].
In general, the products of pyrolysis are typically lumped into groups that include a wide range of species, which are commonly classified as char, light gases, and tar. Char represents the carbonaceous matrix post-pyrolysis, light gases represent non-condensable gases or permanent gases (, CO, , , etc.), and tar consists of gases that are condensable at room temperature [11]. Light gases and condensable gases are commonly grouped as volatiles. The composition of volatiles depends mainly on the temperature: at room temperature, volatiles are composed entirely of light gases, while at pyrolysis temperatures, they consist of both condensable and non-condensable gases [17]. Regarding biomass combustion models, most of the works model the pyrolysis stage based on the Shafizadeh and Chin scheme [6,7,11,17,18,19]. They propose an approach to characterize the kinetics and products of pyrolysis. Initially, the biomass decomposes through three parallel reactions, referred to as primary reactions, leading to the formation of light gases, char, and tar. Subsequently, under favorable process conditions, tar undergoes additional reactions, known as secondary reactions, transforming into light gases and char. This process is illustrated in Figure 1.
Figure 1.
Scheme of reactions in the pyrolysis process.
While many global kinetics models typically adopt a two-stage scheme, variations in model structure and approach can be observed across the literature. These variations include the formation of an intermediate solid, which eventually contributes to the char composition [20], or the presence of a single intermediate product that further reacts to generate light gases, tar, and char [7,17]. Koufopanos et al. [19] and Sadhukhan et al. [11] present a scheme that varies slightly as it considers light gases and tar together. Chen et al. [10] present a combustion model for a biomass particle where pyrolysis is modeled by a single global reaction. Values for the kinetics parameters under the different schemes, presented in the form of Arrhenius correlations, can be found in the the different works [6,7,11,12,17,19,20,21,22,23,24,25,26].
A wide range of theoretical and experimental works explore pyrolysis under this product configuration, presenting various methods for determining the composition of pyrolysis products, kinetic parameters, and energy parameters as heating values and enthalpies of reaction. Within these studies, diverse forms of biomass, varying particle sizes, and a range of operating parameters (including temperature, pressure, heating rate, atmosphere type, and volatiles’ residence time) are investigated, yielding a broad spectrum of information [22]. Regarding experimental studies, different thermogravimetric analyses stand out [7,11,12,18,22,27,28,29], including tube pyrolyzers with various configurations [7,11,12,21,22,23,24,30,31], fluidized beds [22,24,32] and numerical models contrasted with experimental tests [20]. Depending on the type of pyrolysis and the configuration of the reactor, the phenomena referring to the primary and secondary reactions can be isolated. To isolate the primary reactions and quantify the tar production, experiments must be designed to achieve high heating rates and short residence times [9,12,24]. These conditions restrict tar reactions, maximizing tar yield [21]. Otherwise, the tar residence time influences the activity of the secondary reactions, promoting mainly light gases formation [9]. Regarding reaction temperatures, secondary reactions begin to have an impact at temperatures around K [30].
The char derived from biomass consists predominantly of carbon with lower amounts of oxygen, hydrogen, sulfur, and nitrogen compared to the original fuel. Its structure and reactivity differ significantly from graphite [6]. Diverse experimental works present results of the char composition as a function of temperature [21,33,34,35]. Additionally, Neves et al. [36] present empirical correlations based on literature data as a function of pyrolysis temperature. These correlations are presented by Equations (11)–(14). It is observed that char formed at lower temperatures has a lower carbon content, indicating that it may undergo further pyrolysis as the temperature increases. Typically, the carbon mass content varies between 65% and 85% for char generated at temperatures ranging from 600 to 1000 K, respectively.
Regarding the composition of tar, the information is less accurate. Some studies consider the composition of tar to be similar to that of the biomass [28], while others use formulas like [6,37,38]. Neves et al. [36] propose using the composition of bio-oil generated from biomass to establish a correlation for each component (C, H, O) based on the reaction temperature and the original composition of the biomass.
The composition of light gases under various test conditions is determined by different studies [21,22,23,30,31]. In these cases, the data exhibit more scattered values. However, as mentioned earlier, different behaviors are observed for composition depending on the temperature. At temperatures below K, the mass fraction of is in the range of 50 to , the fraction of CO is in the range of 20 to , with fractions below 1% and the presence of hydrocarbons, mainly , between 5 and 10%. Nevertheless, at higher temperatures, the amount of is lower and the amount of hydrocarbons, , and CO are higher [31]. This indicates that secondary reactions of the tar favor the formation of CO and hydrocarbons over the formation of [15]. Regarding pyrolysis models, the light gases are generally modeled as CO, , , , and light hydrocarbons (, , , ) [6,10,37].
In general, there is a consensus that carbon formation reactions are predominantly exothermic, while tar formation reactions are globally endothermic [27,28]. With respect to light gases, their formation reactions from biomass and tar are exothermic. Consequently, in the scheme of Shafizadeh and Chin [18], primary reactions are mostly endothermic, while secondary reactions are mostly exothermic [19,20,25,29]. The specific enthalpy of reaction values for different experiments have been reported in the literature. The model presented by Milosavljevic et al. [28] and the one by Park et al. [20] show that the pyrolysis reaction changes from endothermic to exothermic when the mass percentage of formed carbon exceeds 20%, which occurs at temperatures below 670 K. The enthalpy range varies between and 526 kJ/kg using the correlation proposed by Milosavljevic et al. [28], and it varies between −25.2 and 53.7 kJ/kg according to the correlation developed by Park et al. [20]. Thus, the enthalpy of primary reactions shows a strong correlation with the amount of char formed [27,28,29]. Regarding secondary reactions, there is no clear correlation with the char formed [29].
Considering the heating values of char and tar, several works present them in relation to the temperature at which they were formed [32,35,39,40,41,42,43,44]. According to these works, the heating value of tar is in the range of 20 to 26 MJ/kg, while that of char is in the range of 30 to 35 MJ/kg.
In the context of biomass pyrolysis numerical modeling, many approaches effectively simulate temperature and mass evolution, offering insights into product composition categorized broadly as tar, char, and light gases, although there is no detailed composition breakdown within these groups [7,11,16,17,19]. Those who manage to characterize the composition of the products typically use fixed empirical correlations regardless of the conditions of the process [6,45,46]. In general, they address energy and mass balances but do not explicitly verify the consistency in species balance. Other models, like the one by Chen et al. [10], solve element by element, assuming enthalpies of reactions and the percentage of tar formed as tuning parameters. Thunman et al. [37] and Mehrabian et al. [47] successfully address element-by-element resolution by introducing empirical constraints for the light gases composition. Thunman et al. [37] incorporate literature correlations for different light gases species (, ) as functions of reaction temperature. On the other hand, Mehrabian et al. [47] present a combustion model where the light gases composition, including CO, , , , , , and , is determined based on constraints from the literature in the form of , which limits the amount of each light gases species relative to .
Summarizing, numerous models can be found in the literature; nevertheless, achieving a comprehensive element-to-element balance is a challenging task, resulting in inconsistencies when characterizing the formed products [37]. Consequently, the main objective of this work is to develop a straightforward model for biomass pyrolysis that ensures a comprehensive element-to-element balance and provides insights into the evolution of both the solid and gaseous products for integration into a biomass combustion model. Additionally, a methodology is presented that allows the model to be adapted to different types of biomass.
This work introduces several novel approaches. Firstly, it develops a pyrolysis model that determines the composition of light gases by solving mass, species, and energy balances, limiting the use of correlations from the literature only for tar and char elemental composition with the only condition being that all values must be positive. The mass rate of light gases, tar, and char that has been produced is also determined. Secondly, it determines kinetic parameters for primary and secondary reactions following the scheme of Shafizadeh and Chin but with a modified Arrhenius form dependent on , significantly enhancing the accuracy of product composition prediction. Additionally, correlations for the enthalpies of reactions, both primary and secondary, are determined as a function of pyrolysis temperature. The model is validated using cases from the literature.
2. Pyrolysis Model and Methodology
In this section, the pyrolysis model for a lignocellulosic biomass particle is presented based on chemical kinetics, mass balance, species balance, and energy balance. The present model is applicable to particles under homogeneous conditions, meaning it assumes uniform temperature, pressure, and composition throughout the particle. This simplification is typically suitable for small particles. However, the model can be extended to account for non-homogeneous conditions in larger particles. In such cases, incorporating internal transport effects, such as energy and mass transfer, would allow the model to capture the gradients in temperature and species concentration that arise within the particle. Regarding the reactor, the model is applicable to reactors operating at atmospheric pressure.
First, the model for primary reactions is introduced, which is followed by that for secondary reactions. In each case, the assumptions and simplifications used to derive a compatible system of equations are detailed, enabling the modeling of the mass and composition of pyrolysis products at each moment. Additionally, this section provides a detailed account of the parameters to be determined and the methodology employed for their determination. It incorporates parameters derived from experimental findings in the literature, along with those identified in this study, to ensure positive values for the light gases products within the system of equations.
2.1. Model
Considering the relatively low concentrations of and in the light gases composition reported in the literature [21,22,23,30,31], the overall balance for the primary reactions is determined according to Equation (1). The the biomass, tar and char are represented with formulas of the type , in which subscripts a, b, c and d represent the mass fraction of carbon, oxygen, hydrogen and nitrogen per mass of fuel. The coefficients , , and represent the mass of char, tar, light gases, and water formed per mass of biomass reacting. The coefficients , , , and represent the kilomoles of each species of the light gases per kilogram of light gases.
The unknown variables in the equation system are a, b, c for tar and char, , , , , , , and .
An important consideration is to identify where the water is quantified in the literature data. In this regard, most authors include water in the condensable products [12,20,21,22,24,30], while others incorporate water within the light gases [6,23]. In this work, the term “tar” is used to refer to waterless condensable products, while the term “condensable” is employed for all condensable products, including tar and water. According to this, the variables , , and are required to satisfy Equation (2).
The kinetics of the reactions are described using modified Arrhenius-type correlations [48]. Primary reactions are represented by Equations (3)–(5) numbered from to . The rate of biomass reaction and the variables with are determined by Equations (6) and (7).
Due to the significant dispersion and potential bias of kinetic parameters obtained from the literature through experimental determination procedures, the aim here is to find an optimal set of values that effectively represent both the fractions of pyrolysis products and the overall reaction rate. Generally, the available models are derived from thermogravimetric analysis (TGA) and its derivative, DTG, using various kinetic models to determine the kinetic parameters [49]. These models are effective in determining the reaction rate but do not guarantee accurate modeling of the pyrolysis products. Therefore, in this work, an inverse method will be applied in which the kinetic parameters will be determined based on the composition of the products and finally validated with TGA. The majority of models also assume that the exponent n of temperature in Arrhenius equations is equal to zero, which will be evaluated in the Results section. Thus, an approach is proposed to adjust the kinetic parameters by fitting them to experimental data on the final composition using Perturbed Gauss–Newton method (PGN) [50].
For char and tar composition, correlations from the literature are utilized. The char composition, determined from Equations (8)–(10) as presented by Neves et al. [36], are considered as inputs. Regarding the composition of tar, since there is no clear consensus in the literature, it is assumed to be the same as the biomass [28].
The species balance can be expressed by Equations (11)–(14), where 9 unknowns can be identified (, , , , , , , , ). Up to this point, there are 4 equations from the species balance, 3 from the kinetics (derived from Equations (3)–(7)), and 1 from the condensable definition shown in Equation (2).
By incorporating the energy balance expressed in Equation (15), a new equation is added to the system, introducing a new unknown (). Here, represents the specific enthalpy of reaction for primary reactions, and denotes the standardized enthalpies of the substances, including both sensible and formation enthalpies (). is a crucial parameter for closing the system and ensuring the positivity of the products. This correlation is determined later as a result of this work and is the one that closes the system for primary reactions.
The formation enthalpies of biomass, char, and tar are determined based on their high heating values (HHVs) and composition. Considering the complete and stoichiometric combustion of a generic fuel under the defined conditions to determine the HHV, the specific formation enthalpy at the reference temperature is determined through the energy balance expressed in Equation (16).
The HHVs of tar and char are determined using correlations derived from the literature data, as described by Equations (17) and (18). These correlations are represented by the trend lines in Figure 2. Both correlations fit the data points in the graphs reasonably well. However, the tar correlation shows a lower correlation coefficient (), which is largely due to the smaller amount of experimental data available for fitting.
Figure 2.
Higher heating value of tar and char from literature along with their respective linear trends [32,35,39,40,41,42,43,44].
Secondary reactions are represented by Equation (19), which is detailed within the species balances presented in Equations (20)–(22).
where and represent the mass of char and light gases per kilogram of tar consumed, respectively. The kinetics of the secondary reactions, which determine the rate of light gases and char produced from tar, are modeled using modified Arrhenius-type correlations [48]. Equations (23) and (24), labeled from to , determine the rate of light gases and char produced by secondary reactions, while Equation (25) determines the rate of tar consumption. The variables and are determined by Equation (26) with and .
With the compositions of tar and char already known from primary reactions, and by including the energy balance given in Equation (27), the system can be formulated as a set of four equations with four unknowns (, , , ). In an analogous manner to the primary reactions, as a result of this work, the correlation of for the secondary reaction will be determined.
Considering both primary and secondary reactions, the total production of light gases is determined as follows:
To integrate time-varying equations over time, an explicit Euler first-order method is adopted. The model code was developed and implemented in Fortran 90 by the authors of this article.
2.2. Parameters Determination Methodology
The kinetic parameters are determined by comparing the accumulated product fractions from the model against experimental results from literature data. The various experimental systems establish a heating rate until reaching a constant temperature, which is considered the pyrolysis temperature. Depending on the type of reactor (TGA, tubular pyrolyzer, fluidized bed), the heating rates range from orders of 50 to 50,000 °C/min. Typically, rates higher than 1000 °C/min are used to promote secondary reactions at high temperatures. In the simulation, a heating rate of 50 °C/min is established for evaluating primary reactions, while a heating rate of 1000 °C/min is used for secondary reactions.
Both experimental and numerical simulation are completed when a constant mass of the solid is achieved. Since the model does not account for species transport, the mass of tar is accumulated within the particle, resulting in high residence times. The final amount of tar is represented by the tar mass remaining in the particle at the end of the biomass reaction, which is when the solid mass becomes constant. However, in experiments, tar is carried out of the particle and condensed, leading to shorter residence times. Although some experiments manage to extend the tar’s reaction time before condensation, replicating similar residence time conditions is challenging. This introduces a degree of uncertainty in the results, particularly at temperatures above 750 K, where secondary reactions become more significant.
The particle sizes utilized in the various experiments enable the assumption that the temperature is uniform inside the particle. The kinetics parameters are adjusted using the Perturbed Gauss–Newton method (PGN) [50]. The objective function aimed to minimize the difference in the composition of the products between experimental results and those obtained by the model, simultaneously considering the condensable, char, and light gases fractions.
Initially, the modified Arrhenius equations (Equations (3)–(5), (23) and (24)) were tested with , as commonly observed in the literature. However, achieving accurate solutions above 750 K with inadequately captured secondary reactions, either underestimating or overestimating them across the entire temperature range of interest. Consequently, kinetic reactions with are considered. Under this configuration, there are 15 parameters to ascertain. To reduce the quantity of unknowns, initially, the 9 parameters for the primary reaction are determined, considering cases below 750 °C where mainly primary reactions occur. Subsequently, all parameters and reactions are considered for the entire temperature range, excluding data points from the literature where secondary reactions were not allowed to occur above 750 °C. Establishing initial conditions close to the potential solution is crucial to ensure the success of the optimization process. Without proper initial conditions, the Perturbed Gauss–Newton (PGN) method may diverge, especially when dealing with a large number of parameters that need to be determined.
After determining the kinetic parameters, the next step is to establish the enthalpies of the primary and secondary reactions to ensure positive compositions for the pyrolysis products. For these cases, the same conditions used to determine the kinetic parameters are established, but including the energy balance of both primary and secondary reactions, as shown in Equations (15) and (27). To determine these correlations, the enthalpies of reaction for both primary and secondary reactions are varied at each reaction temperature to observe whether the values of the final products are positive or negative. This process establishes upper and lower limits of the enthalpies of reaction where both the primary and secondary reaction systems yield positive values for the product compositions. Since the correlations for both stages are interconnected, it is necessary to first define the correlation for the primary reactions before determining those for the secondary reactions.
After establishing the various parameters within the pyrolysis model, validation stages are conducted to ensure that the mass reaction rates, reaction times, and final composition of the products align with experimental data from the literature across different temperatures and heating rates.
Following this methodology, the kinetic parameters can be set as general values; however, energy parameters such as the enthalpies of reaction, and , will depend on the heating value and composition of the biomass. The correlations determined in this article correspond to the biomasses characterized in Table 1. The properties of eucalyptus were determined for this study. The elemental composition was determined by applying the UNE-EN 16948 and UNE-EN 16994 standards at the Laboratorio Tecnológico del Uruguay (LATU) [51,52]. The ash content and higher heating value (HHV) were determined using the UNE-EN 18122 and UNE-EN 14918 standards at the facilities of the Facultad de Ingeniería of the Universidad de la República [53,54].
Table 1.
Biomass characterization.
3. Results and Discussion
This section presents the results of the determination of the kinetic parameters and enthalpies of reaction. Once these parameters are determined, the model is validated using cases reported in the literature. Finally, the application of the model is presented through a case study.
The kinetic parameters obtained are presented in Table 2, in accordance with Equation (33), alongside literature data. It is important to clarify that the reactions considered in this model are irreversible. The values obtained fall within the range of expected values, considering the significant variability found in the literature. Another way to verify this is through the relationship between and , which is known as the kinetic compensation effect (KCE) [59,60]. Figure 3 shows the selected parameters with a modified KCE considering the term . By establishing a linear correlation for the KCE, a fit with an of 0.91 is obtained, indicating a good degree of correlation. When analyzing only the values determined in this work, the factor decreases to 0.76 for the primary reactions and 0.72 for the secondary reactions. This shows that the values fit well with the predicted KCE with a better fit for the primary reaction parameters. This shows that the orders of magnitude are correct and that the reaction rates are also consistent with the literature. This is validated later against TGA results from the literature.
where i represents the species being consumed and j denotes the reaction number ().
Table 2.
Kinetic parameters for the Arrhenius model determined in the present work and some reference values from the literature.
Figure 3.
Arrhenius parameters compensation effect curve (KCE): selected kinetic parameters based on the modified Arrhenius equation compared with literature data [6,11,12,17,19,20,21,22,23,24,25,26].
As shown in Figure 4, the results reasonably reflect the effects of both primary and secondary reactions across different temperature ranges. The curves show values of 0.34, 0.38, and 0.48 for the mass fractions of light gases, condensables, and char, respectively, formed at each temperature. Although these values may seem low, they account solely for temperature dependence without accounting for other factors influencing the process, such as reactor type, residence times, and biomass composition. This is also evidenced by the scatter of the experimental data points.
Figure 4.
Final mass fractions of light gases, condensables, and char: comparison of results with selected kinetic parameters with literature (lit.) data considering primary and secondary reactions [12,21,22,23,24,30]. Points from the experimental data where secondary reactions are limited are excluded.
Analyzing the curves in Figure 4, different trends can be observed. First of all, it is important to observe that a shift in trend occurs around 720 K. This indicates that secondary reactions become more significant, which is consistent with Di Blasi et al. [30], who suggest that secondary reactions start to have a notable impact above 750 K. Regarding the amount of char, it decreases as the temperature increases, dropping from around 45% by mass at 525 K to approximately 23% for temperatures above 1000 K regardless of whether secondary reactions occur or not. This is because secondary reactions of tar primarily form light gases. The tar content varies from around 30% by mass at 525 K, increasing to about 55% for temperatures between 700 and 750 K, and then starting to decrease for higher temperatures due to secondary reactions. As for the light gases, their composition remains relatively stable, ranging between 20% and 25% by mass. At temperatures above 750 K, the behavior changes as the tar reactions become predominant, leading to the formation of mainly light gases. For temperatures above 850 K, no significant changes are observed due to the simulation conclusion criterion, which is set to end when the biomass mass in its original composition is zero. This criterion is not clearly defined in the experiments and needs to be improved in future studies. Similarly, if the tar exiting the particle is not rapidly cooled, it continues reacting, which can affect the analysis of the results. Regarding the model, incorporating transport modeling could improve the effects of residence time and potentially yield better results concerning secondary reactions.
3.1. Chemical Parameters
Regarding the primary specific enthalpy of reaction, the proposed system provides positive solutions within a constrained range of enthalpy values, as illustrated in Figure 5. This figure shows both the upper and lower limits of positive solutions along with the selected correlation. The correlation presented in Equation (34) with the coefficients presented in Table 3 ensures positive results for each biomass in the range between 500 and 1000 K. The greatest restrictions occur at high temperatures where the margin for error is very tight. According to these correlations, the primary reactions are endothermic within the whole considered temperature range.
Figure 5.
Specific enthalpy, expressed per kilogram of biomass consumed, for the adjustment curves of primary reactions for eucalyptus.
Table 3.
Correlation coefficients for the specific enthalpy of primary reactions, expressed per kilogram of biomass consumed, for some biomasses.
Concerning secondary reactions, the system also exhibits a high sensitivity to the enthalpies of reaction, which is similar to the primary reactions. Testing the model across different temperatures and varying the enthalpy of secondary reactions revealed its consistency within a very narrow range, as illustrated in Figure 6. These boundary curves can be approximated using third-order polynomials. The correlation presented in Equation (35), with the coefficients presented in Table 4, is established to ensure the model’s consistency.
Figure 6.
Specific enthalpy, expressed per kilogram of tar consumed, for the adjustment curves of secondary reactions for eucalyptus.
Table 4.
Correlation coefficients for the specific enthalpy of secondary reactions, expressed per kilogram of tar consumed, for some biomasses.
According to this correlation, secondary reactions exhibit exothermic behavior throughout the entire temperature range, between 500 and 1000 K.
The obtained results are consistent with those presented in the literature regarding the sign of the enthalpies of reactions. However, according to both correlations, it is not initially possible to determine whether the overall process is endothermic or exothermic. This depends on the temperatures at which the reactions occur and the degree of advancement of the pyrolysis process, which will determine the predominance of either primary or secondary reactions. It also depends on whether secondary reactions actually occur inside or outside the particle.
Initially, it is possible to predict that at temperatures below 720 K, primary reactions will dominate with reaction enthalpies of approximately −1000 kJ/kg of biomass that reacts. Above this temperature, secondary reactions, which are primarily exothermic, become significant. Depending on the proportion of tar reacting inside the particle, the process may tend to be exothermic.
3.2. Validation
Validation stages are conducted to ensure that the mass reaction rates and final composition of the products align with experimental data from the literature across different temperatures and heating rates.
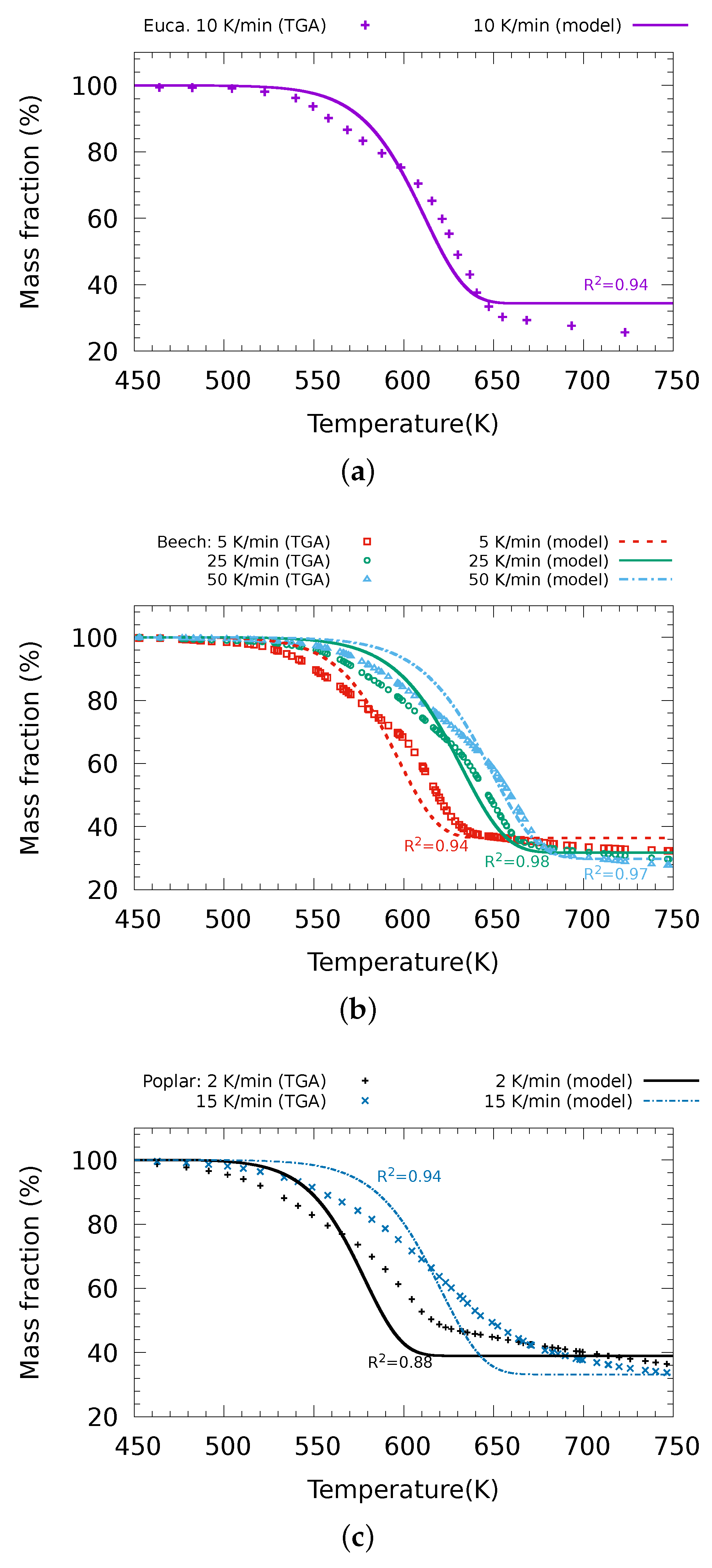
In Figure 7, a comparison of the model performance against thermogravimetric analysis data from the literature [55,56,61] for different biomasses and heating rates is presented. Observing that the coefficients of determination are greater than 0.84 in all cases, it can be stated that the model accurately represents the relationship between temperature and mass consumption. This high value suggests that the model explains a significant portion of the variability in mass consumption based on temperature changes, indicating a strong fit between the model and the observed data. However, due to the characteristics of , which compares the variability explained by the model with the total variability of the data, it is not sufficient to assert that the correlation is perfectly adequate. Indeed, the model exhibits a delay in the temperature at which reaction rates become significant, and it shows slightly higher reaction rates compared to the experimental data. The reaction rates for eucalyptus and beech seem to be adequately reproduced, while somewhat higher differences are observed for poplar. However, final mass fractions are more accurately reproduced for poplar and beech than for eucalyptus. This behavior is expected given that it is a global reaction model.
Figure 7.
Comparison of the mass fraction adjustment with respect to TGA for different biomass and heating rates. (a) Eucalyptus at 10 K/min [61]. (b) Beech at 5 K/min, 25 K/min and 50 K/min [55]. (c) Poplar at 2 K/min and 15 K/min [56].
Similarly, although the final mass is comparable in both simulations and experiments, a discrepancy is observed in the slope of the curves at this final stage. In the simulations, the slope is zero, whereas in the experiments it is not, suggesting that certain reactions continue to occur in the solid in the latter. This discrepancy could be attributed to secondary reactions occurring in char produced at low temperatures. This char, characterized by higher levels of hydrogen and oxygen, has the potential to continue undergoing pyrolysis as temperatures increase.
The next step is to validate the composition of the pyrolysis products, focusing particularly on the composition of the light gases. This composition depends directly on the correlations established for the enthalpies of both primary and secondary reactions. Therefore, verifying the composition of the light gases serves as an indicator to validate the reaction enthalpies.
Specifically, to determine the composition of light gases, the system of equations presented in Section 2.1 is solved, incorporating the previously found kinetic parameters and correlations for formation enthalpies. The points from the literature correspond to a wide variety of biomasses. Although the behavior of the products changes slightly with different biomasses, this change is minimal. Therefore, results are presented considering the properties of beech. This completes the system of equations for both primary and secondary reactions, enabling their solution and the determination of pyrolysis product compositions for each reaction temperature, particularly the light gases compositions in , CO, and . A heating rate of 1000 °C/min is applied until reaching the reaction temperature to ensure both primary and secondary reactions. Each simulation ends when the mass of the biomass in its original composition reaches zero.
The analysis of the condensable fraction, char, and light gases has been previously conducted. The results provide insight into the behavior of the light gases. The curves represented in Figure 8 show that the model provides a reasonable estimation of the order of magnitude of the three gases considered. Specifically, with the aim of performing a more qualitative rather than quantitative analysis, the mass fractions of the light gases are kept within a certain limited range. The mass fraction of is around 5–7%, while that of CO is around 5–15%, and that of is around 2–7% across the entire temperature range. For temperatures above 700 °C, where secondary reactions are favored, there is a positive trend in the amounts of CO and . This suggests that secondary reactions primarily contribute to the generation of CO. For temperatures below 750 °C, the model seems to overestimate the amounts of CO and , which can be attributed to the experimental conditions established in most of the literature works limiting tar residence time, thereby also limiting secondary reactions.
Figure 8.
Mass fraction of pyrolysis products inducing light gases composition [21,22,23,30,31].
However, when analyzing the values for each of the gas fraction curves predicted by the model, negative values are obtained. This indicates that the model performs worse than a simple approach that predicts the fractions using the mean values from the literature data. Nonetheless, assuming the mean values of experimental results as accurate is not consistent with energy and species balances. In contrast, while the present model satisfies energy and species balances, some of the model assumptions may be affecting these results. One such assumption is the assumption of not considering H2 or hydrocarbons heavier than CH4. Additionally, there is a significant uncertainty in the characterization of tar, both in its composition and its calorific value. Although the presented methodology is easy to reproduce, analyzing the sensitivity to changes in these assumptions can be a laborious task. Since the goal of this work is to model the composition of pyrolysis products in a manner consistent with energy, mass, and species balances for application in global combustion models, these results are considered adequate. The location of reactions can vary, which could affect particle temperature and flame behavior. This is also related to the limitation of not considering species transport, which restricts the ability to determine where reactions actually occur in the tar. Nevertheless, given these limitations, the model is consistent and applicable up to a certain level of detail.
4. Conclusions
This article examines lignocellulosic biomass pyrolysis, with a particular emphasis on its kinetics, energy balances, and the composition of gas products for biomass combustion. It also delves into the energy aspects of pyrolysis, including enthalpies of reactions and heating values, presenting a comprehensive pyrolysis model that considers mass and energy balance in both primary and secondary reactions. The significance of this research lies in its contribution to the field of biomass pyrolysis modeling, as it establishes a method to find important correlations, making the methodology adaptable to various types of biomass.
The research successfully determined primary and secondary reaction kinetics using the PGN method. This was achieved by employing modified Arrhenius equations, considering a factor . This adjustment allows for a more effective differentiation between the influence of primary and secondary reactions with the latter beginning to have a greater impact starting from 750 K.
The study also addresses chemical parameters, such as the enthalpy of pyrolysis reactions and heating values for char and tar, proposing empirical correlations to ensure positive values for light gases composition.
The simulation illustrates distinct stages marked by the dominance of primary and secondary reactions, providing valuable insights into temperature profiles, mass evolution, and changes in light gases compositions throughout the pyrolysis process. Additionally, it was observed that primary reactions are primarily endothermic, whereas secondary reactions are predominantly exothermic.
An important consideration for future works is the development of a detailed model for species transport within the particle with a special emphasis on tar. This would enable the distinction between the tar’s reactions within the particle and in the flame region, consequently impacting the temperature profile, particularly during stages characterized by endothermic secondary reactions.
Another aspect that has potential for improvement in the model is to evaluate the possibility of pyrolysis reactions occurring in the char produced at low temperatures. This char is characterized by higher levels of hydrogen and oxygen, which have the potential to continue to undergo pyrolysis as temperatures increase.
In summary, this research enriches the understanding of biomass pyrolysis and offers a practical modeling framework for adapting the process to various biomass compositions, contributing to the field of biomass combustion and engineering modeling applications.
Author Contributions
Conceptualization, G.N.C., P.G.K. and P.C.-R.; methodology, G.N.C.; software, G.N.C.; validation, G.N.C., P.G.K. and P.C.-R.; formal analysis, G.N.C., P.G.K. and P.C.-R.; investigation, G.N.C.; resources, G.N.C. and P.C.-R.; data curation, G.N.C.; writing—original draft preparation, G.N.C.; writing—review and editing, G.N.C., P.G.K. and P.C.-R.; visualization, G.N.C.; supervision, P.G.K. and P.C.-R.; project administration, P.G.K. and P.C.-R.; funding acquisition, G.N.C. All authors have read and agreed to the published version of the manuscript.
Funding
This research was partly funded by Agencia Nacional de Investigación e Innovación, Uruguay (ANII) POS NAC 2018 1 152083.
Data Availability Statement
Data are contained within the article.
Conflicts of Interest
The authors declare no conflicts of interest.
Nomenclature
| Latin letters | |
| Enthalpy of reaction i per mass of reactant (kJ/kg) | |
| Mass flow rate (kg/s) | |
| a | Mass fraction of carbon per fuel unit |
| b | Mass fraction of oxygen per fuel unit |
| c | Mass fraction of hydrogen per fuel unit |
| d | Mass fraction of hydrogen per fuel unit |
| Activation energy for reaction i (kJ/mol) | |
| Enthalpy of formation at reference temperature and pressure (kJ/kg) | |
| Sensible specific enthalpy change of species i between T and (kJ/kg) | |
| High heating value at constant pressure (kJ/kg) | |
| Frequency factor for reaction i () | |
| m | Mass (kg) |
| n | Temperature exponent in Arrhenius equation |
| R | Universal gas constant() |
| T | Temperature (K) |
| Mass of substance j per mass of reactant | |
| Y | Mass fraction |
| Greek letters | |
| Kmoles of CO2 per mass of light gases (kmol/kg) | |
| Kmoles of H2O per mass of light gases (kmol/kg) | |
| Kmoles of N2 per mass of light gases (kmol/kg) | |
| Kmoles of O2 per mass of light gases (kmol/kg) | |
| Kmoles of CH4 per mass of light gases (kmol/kg) | |
| Kmoles of H2 per mass of light gases (kmol/kg) | |
| Kmoles of CO per mass of light gases (kmol/kg) | |
| Particle emissivity | |
| Subscipts | |
| 1 | Primary reactions |
| 2 | Secondary reactions |
| Biomass | |
| C | Carbon |
| Char | |
| Condensables | |
| H | Hydrogen |
| Light gases | |
| N | Nitrogen |
| O | Oxygen |
| t | Tar |
References
- Romieu, I.; Schilmann, A. Household Use of Biomass Fuels. In Air Pollution and Cancer; IARC Scientific Publication-161, 2013; Chapter 6; pp. 63–74. [Google Scholar]
- Canha, N.; Lage, J.; Galinha, C.; Coentro, S.; Alves, C.; Almeida, S.M. Impact of biomass home heating, cooking styles, and bread toasting on the indoor air quality at Portuguese dwellings: A case study. Atmosphere 2018, 9, 214. [Google Scholar] [CrossRef]
- European Public Health Alliance. The Impact of Residential Heating and Cooking on Air Quality in Europe; Position Paper; European Public Health Alliance: Brussels, Belgium, 2022. [Google Scholar]
- Ekpeni, L.E.; Benyounis, K.Y.; Nkem-Ekpeni, F.; Stokes, J.; Olabi, A.G. Energy diversity through Renewable Energy Source (RES)—A case study of biomass. Energy Procedia 2014, 61, 1740–1747. [Google Scholar] [CrossRef]
- Kalak, T. Potential Use of Industrial Biomass Waste as a Sustainable Energy Source in the Future. Energies 2023, 16, 1783. [Google Scholar] [CrossRef]
- Lu, H.; Robert, W.; Peirce, G.; Ripa, B.; Baxter, L.L. Comprehensive study of biomass particle combustion. Energy Fuels 2008, 22, 2826–2839. [Google Scholar] [CrossRef]
- Koufopanos, C.A.; Lucchesi, A.; Maschio, G. Kinetic modelling of the pyrolysis of biomass and biomass components. Can. J. Chem. Eng. 1989, 67, 75–84. [Google Scholar] [CrossRef]
- Bryden, K.M.; Ragland, K.W. Combustion of a Single Wood Log Under Furnace Conditions. In Developments in Thermochemical Biomass Conversion; Bridgwater, A.V., Boocock, D.G.B., Eds.; Springer Science+Business Media: Dordrecht, The Netherlands, 1997; pp. 1331–1345. [Google Scholar] [CrossRef]
- Di Blasi, C. Combustion and gasification rates of lignocellulosic chars. Prog. Energy Combust. Sci. 2009, 35, 121–140. [Google Scholar] [CrossRef]
- Chen, T.; Ku, X.; Lin, J.; Fan, L. New Pyrolysis Model for Biomass Particles in a Thermally Thick Regime. Energy Fuels 2018, 32, 9399–9414. [Google Scholar] [CrossRef]
- Sadhukhan, A.K.; Gupta, P.; Saha, R.K. Modelling and experimental studies on pyrolysis of biomass particles. J. Anal. Appl. Pyrolysis 2008, 81, 183–192. [Google Scholar] [CrossRef]
- Wagenaar, B.; Prins, W.; van Swaaij, W. Flasch Pyrolysis Kinetics of Pine Wood. Fuel Process. Technol. 1993, 36, 291–298. [Google Scholar] [CrossRef]
- Vikram, S.; Rosha, P.; Kumar, S. Recent modeling approaches to biomass pyrolysis: A review. Energy Fuels 2021, 35, 7406–7433. [Google Scholar] [CrossRef]
- Turns, S.R. An Introduction to Combustion. Concepts and Applications, 3rd ed.; McGraw-Hill: New York, NY, USA, 2012; p. 732. [Google Scholar]
- Silva, J.; Teixeira, S.; Teixeira, J. A Review of Biomass Thermal Analysis, Kinetics and Product Distribution for Combustion Modeling: From the Micro to Macro Perspective. Energies 2023, 16, 6705. [Google Scholar] [CrossRef]
- Ström, H.; Thunman, H. CFD simulations of biofuel bed conversion: A submodel for the drying and devolatilization of thermally thick wood particles. Combust. Flame 2013, 160, 417–431. [Google Scholar] [CrossRef]
- Di Blasi, C. Analysis of convection and secondary reaction effects within porous solid fuels undergoing pyrolysis. Combust. Sci. Technol. 1993, 90, 315–340. [Google Scholar] [CrossRef]
- Shafizadeh, F.; Chin, P.P.S. Thermal Deterioration of Wood. In Wood Technology: Chemical Aspects; American Chemical Society: Washington, DC, USA, 1977; pp. 57–81. [Google Scholar] [CrossRef]
- Koufopanos, C.A.; Papayannakos, N.; Maschio, G.; Lucchesi, A. Modelling of the pyrolysis of biomass particles. Studies on kinetics, thermal and heat transfer effects. Can. J. Chem. Eng. 1991, 69, 907–915. [Google Scholar] [CrossRef]
- Park, W.C.; Atreya, A.; Baum, H.R. Experimental and theoretical investigation of heat and mass transfer processes during wood pyrolysis. Combust. Flame 2010, 157, 481–494. [Google Scholar] [CrossRef]
- Thurner, F.; Mann, U. Kinetic Investigation of Wood Pyrolysis. Ind. Eng. Chem. Process Des. Dev. 1981, 20, 482–488. [Google Scholar] [CrossRef]
- Font, R.; Marcilla, A.; Verdú, E.; Devesa, J. Kinetics of the Pyrolysis of Almond Shells and Almond Shells Impregnated with CoCl2 in a Fluidized Bed Reactor and in a Pyroprobe 100. Ind. Eng. Chem. Res. 1990, 29, 1846–1855. [Google Scholar] [CrossRef]
- Boroson, M.L.; Howard, J.B.; Longwell, J.P.; Peters, W.A. Product yields and kinetics from the vapor phase cracking of wood pyrolysis tars. AIChE J. 1989, 35, 120–128. [Google Scholar] [CrossRef]
- Liden, A.G.; Berruti, F.; Scott, D.S. A kinetic model for the production of liquids from the flash pyrolysis of biomass. Chem. Eng. Commun. 1988, 65, 207–221. [Google Scholar] [CrossRef]
- Chan, W.C.R.; Kelbon, M.; Krieger, B.B. Modelling and experimental verification of physical and chemical processes during pyrolysis of a large biomass particle. Fuel 1985, 64, 1505–1513. [Google Scholar] [CrossRef]
- Diebold, J.P.; Bridgwater, A.V. Overview of Fast Pyrolysis of Biomass for the Production of Liquid Fuels. In Developments in Thermochemical Biomass Conversion; Springer: Dordrecht, The Netherlands, 1997; pp. 5–23. [Google Scholar] [CrossRef]
- Di Blasi, C.; Branca, C.; Masotta, F.; De Biase, E. Experimental analysis of reaction heat effects during beech wood pyrolysis. Energy Fuels 2013, 27, 2665–2674. [Google Scholar] [CrossRef]
- Milosavljevic, I.; Oja, V.; Suuberg, E.M. Thermal effects in cellulose pyrolysis: Relationship to char formation processes. Ind. Eng. Chem. Res. 1996, 35, 653–662. [Google Scholar] [CrossRef]
- Rath, J.; Wolfinger, M.G.; Steiner, G.; Krammer, G.; Barontini, F.; Cozzani, V. Heat of wood pyrolysis. Fuel 2003, 82, 81–91. [Google Scholar] [CrossRef]
- Di Blasi, C.; Branca, C.; Santoro, A.; Gonzalez Hernandez, E. Pyrolytic behavior and products of some wood varieties. Combust. Flame 2001, 124, 165–177. [Google Scholar] [CrossRef]
- Fagbemi, L.; Khezami, L.; Capart, R. Pyrolysis products from different biomasses: Application to the thermal cracking of tar. Appl. Energy 2001, 69, 293–306. [Google Scholar] [CrossRef]
- Islam, M.N.; Zailani, R.; Ani, F.N. Pyrolytic oil from fluidised bed pyrolysis of oil palm shell and itscharacterisation. Renew. Energy 1999, 17, 73–84. [Google Scholar] [CrossRef]
- Cao, X.; Pignatello, J.J.; Li, Y.; Lattao, C.; Chappell, M.A.; Chen, N.; Miller, L.F.; Mao, J. Characterization of wood chars produced at different temperatures using advanced solid-state 13C NMR spectroscopic techniques. Energy Fuels 2012, 26, 5983–5991. [Google Scholar] [CrossRef]
- Guerrero, M.; Ruiz, M.P.; Alzueta, M.U.; Bilbao, R.; Millera, A. Pyrolysis of eucalyptus at different heating rates: Studies of char characterization and oxidative reactivity. J. Anal. Appl. Pyrolysis 2005, 74, 307–314. [Google Scholar] [CrossRef]
- Qi, J.; Zhao, J.; Xu, Y.; Wang, Y.; Han, K. Segmented heating carbonization of biomass: Yields, property and estimation of heating value of chars. Energy 2018, 144, 301–311. [Google Scholar] [CrossRef]
- Neves, D.; Thunman, H.; Matos, A.; Tarelho, L.; Gómez-Barea, A. Characterization and prediction of biomass pyrolysis products. Prog. Energy Combust. Sci. 2011, 37, 611–630. [Google Scholar] [CrossRef]
- Thunman, H.; Niklasson, F.; Johnsson, F.; Leckner, B. Composition of volatile gases and thermochemical properties of wood for modeling of fixed or fluidized beds. Energy Fuels 2001, 15, 1488–1497. [Google Scholar] [CrossRef]
- Bryden, K.M.; Ragland, K.W. Numerical modeling of a deep, fixed bed combustor. Energy Fuels 1996, 10, 269–275. [Google Scholar] [CrossRef]
- Muley, P.D.; Henkel, C.E.; Aguilar, G.; Klasson, K.T.; Boldor, D. Ex situ thermo-catalytic upgrading of biomass pyrolysis vapors using a traveling wave microwave reactor. Appl. Energy 2016, 183, 995–1004. [Google Scholar] [CrossRef]
- Pereira, B.L.C.; Oliveira, A.C.; Carvalho, A.M.M.L.; Carneiro, A.d.C.O.; Santos, L.C.; Vital, B.R. Quality of Wood and Charcoal from Eucalyptus Clones for Ironmaster Use. Int. J. For. Res. 2012, 2012, 1–8. [Google Scholar] [CrossRef]
- Oasmaa, A.; Sipilä, K.; Solantausta, Y.; Kuoppala, E. Quality improvement of pyrolysis liquid: Effect of light volatiles on the stability of pyrolysis liquids. Energy Fuels 2005, 19, 2556–2561. [Google Scholar] [CrossRef]
- Chhiti, Y.; Salvador, S.; Commandré, J.M.; Broust, F. Thermal decomposition of bio-oil: Focus on the products yields under different pyrolysis conditions. Fuel 2012, 102, 274–281. [Google Scholar] [CrossRef]
- Apaydin-Varol, E.; Pütün, A.E. Preparation and characterization of pyrolytic chars from different biomass samples. J. Anal. Appl. Pyrolysis 2012, 98, 29–36. [Google Scholar] [CrossRef]
- Horne, P.A.; Williams, P.T. Influence of temperature on the products from the flash pyrolysis of biomass. Fuel 1996, 75, 1051–1059. [Google Scholar] [CrossRef]
- Weber, K.; Li, T.; Løvås, T.; Perlman, C.; Seidel, L.; Mauss, F. Stochastic reactor modeling of biomass pyrolysis and gasification. J. Anal. Appl. Pyrolysis 2017, 124, 592–601. [Google Scholar] [CrossRef]
- He, F.; Behrendt, F. A new method for simulating the combustion of a large biomass particle-A combination of a volume reaction model and front reaction approximation. Combust. Flame 2011, 158, 2500–2511. [Google Scholar] [CrossRef]
- Mehrabian, R.; Shiehnejadhesar, A.; Scharler, R.; Obernberger, I. Multi-physics modelling of packed bed biomass combustion. Fuel 2014, 122, 164–178. [Google Scholar] [CrossRef]
- Glassman, I.; Yetter, R.A. Combustion, 4th ed.; Elsevier Inc.: Amsterdam, The Netherlands, 2008; p. 794. [Google Scholar]
- Alvarado Flores, J.J.; Alcaraz Vera, J.V.; Ávalos Rodríguez, M.L.; López Sosa, L.B.; Rutiaga Quiñones, J.G.; Pintor Ibarra, L.F.; Márquez Montesino, F.; Aguado Zarraga, R. Analysis of Pyrolysis Kinetic Parameters Based on Various Mathematical Models for More than Twenty Different Biomasses: A Review. Energies 2022, 15, 6524. [Google Scholar] [CrossRef]
- Gratton, S.; Lawless, A.S.; Nichols, N.K. Approximate Gauss-newton methods for nonlinear least squares problems. SIAM J. Optim. 2007, 18, 106–132. [Google Scholar] [CrossRef]
- UNE-EN ISO 16948; Determinación del Contenido Total de Carbono, Hidrógeno y Nitrógeno. Asociación Española de Normalización y Certificación: Madrid, Spain, 2015.
- UNE-EN 16994; Biocombustibles Sólidos Determinación del Contenido Total de Azufre y Cloro. Asociación Española de Normalización y Certificación: Madrid, Spain, 2017.
- UNE-EN ISO 18122; Biocombustibles Sólidos Determinación del Contenido de Ceniza. Asociación Española de Normalización y Certificación: Madrid, Spain, 2023.
- UNE-EN 14918; Biocombustibles Sólidos. Determinación del Poder Calorífico. Asociación Española de Normalización y Certificación: Madrid, Spain, 2011.
- Soria-Verdugo, A.; Morgano, M.T.; Mätzing, H.; Goos, E.; Leibold, H.; Merz, D.; Riedel, U.; Stapf, D. Comparison of wood pyrolysis kinetic data derived from thermogravimetric experiments by model-fitting and model-free methods. Energy Convers. Manag. 2020, 212, 112818. [Google Scholar] [CrossRef]
- Slopiecka, K.; Bartocci, P.; Fantozzi, F. Thermogravimetric analysis and kinetic study of poplar wood pyrolysis. Appl. Energy 2012, 97, 491–497. [Google Scholar] [CrossRef]
- Jenkins M., B.; Bexter L., L.; Miles R. Jr., T.; Miles R., T. Combustion Properties of Biomass. Fuel Process. Technol. 1998, 54, 17–46. [Google Scholar] [CrossRef]
- Klasnja, B.; Kopitovic, S.; Orlovic, S. Wood and bark of some poplar and willow clones as fuelwood. Biomass Bioenergy 2002, 23, 427–432. [Google Scholar] [CrossRef]
- Xu, D.; Chai, M.; Dong, Z.; Rahman, M.M.; Yu, X.; Cai, J. Kinetic compensation effect in logistic distributed activation energy model for lignocellulosic biomass pyrolysis. Bioresour. Technol. 2018, 265, 139–145. [Google Scholar] [CrossRef] [PubMed]
- Shi, L.; Zhai, C.; Gong, J. A method for addressing compensation effect in determining kinetics of biomass pyrolysis. Fuel 2023, 335, 127123. [Google Scholar] [CrossRef]
- Pena-Vergara, G.; Castro, L.R.; Gasparetto, C.A.; Bizzo, W.A. Energy from planted forest and its residues characterization in Brazil. Energy 2022, 239, 122243. [Google Scholar] [CrossRef]
Disclaimer/Publisher’s Note: The statements, opinions and data contained in all publications are solely those of the individual author(s) and contributor(s) and not of MDPI and/or the editor(s). MDPI and/or the editor(s) disclaim responsibility for any injury to people or property resulting from any ideas, methods, instructions or products referred to in the content. |
© 2024 by the authors. Licensee MDPI, Basel, Switzerland. This article is an open access article distributed under the terms and conditions of the Creative Commons Attribution (CC BY) license (https://creativecommons.org/licenses/by/4.0/).







